Solid-State [2+2] Photoreaction of Isostructural Cd(II) Metal Complexes and Solid-State Fluorescence
Abstract
1. Introduction
2. Results and Discussions
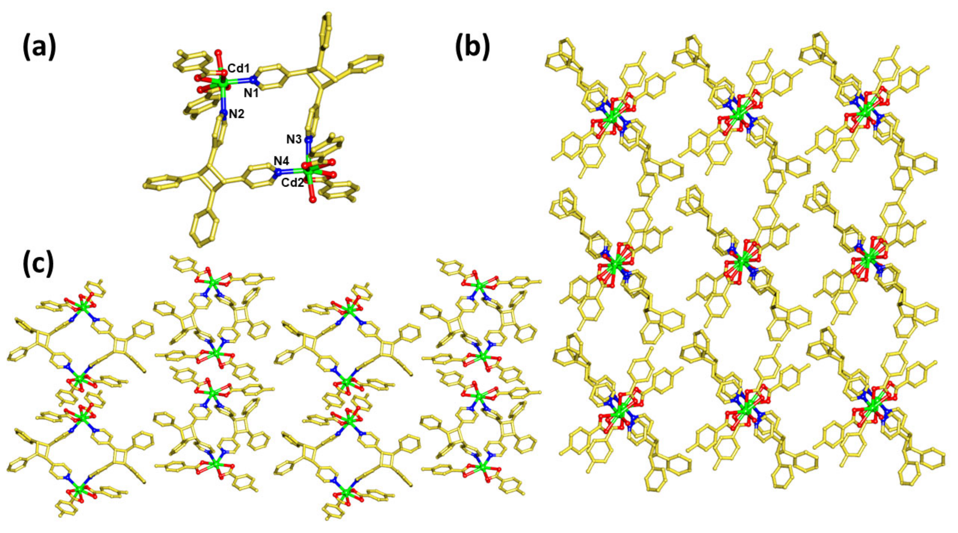
2.1. Structural Description of [Cd2(p-tol)4(4spy)4] (1)
2.2. Photoreactivity of 1
2.3. Structural Description of [Cd2(4FBA)4(4spy)4] (2)
2.4. Structural Description of [Cd2(3FBA)4(4spy)4] (3)
2.5. Photoluminescence
2.6. Thermal Stability
3. Materials and Methods
3.1. General
3.2. X-ray Crystallography
3.3. Synthesis of 4spy Linker
3.4. Preparation of Salts
3.5. Preparation of [Cd2(p-tol)4(4spy)4] (1)
3.6. Preparation of [Cd2(4FBA)4(4spy)4] (2)
3.7. Preparation of [Cd2(3FBA)4(4spy)4] (3)
3.8. Preparation of [Cd2(p-tol)4(rctt-ppcb)2(H2O)2] (4r, Recrystallized Compound of 4 (Photoproduct of 1))
4. Conclusions
Supplementary Materials
Author Contributions
Funding
Institutional Review Board Statement
Informed Consent Statement
Data Availability Statement
Acknowledgments
Conflicts of Interest
References
- Rath, B.B.; Vittal, J.J. Photoreactive Crystals Exhibiting [2+2] Photocycloaddition Reaction and Dynamic Effects. Acc. Chem. Res. 2022, 55, 1445–1455. [Google Scholar] [CrossRef] [PubMed]
- Medishetty, R.; Park, I.-H.; Lee, S.S.; Vittal, J.J. Solid-state polymerisation via [2+2] cycloaddition reaction involving coordination polymers. Chem. Commun. 2016, 52, 3989–4001. [Google Scholar] [CrossRef] [PubMed]
- Vittal, J.J. Supramolecular structural transformations involving coordination polymers in the solid state. Coord. Chem. Rev. 2007, 251, 1781–1795. [Google Scholar] [CrossRef]
- Khan, S.; Dutta, B.; Mir, M.H. Impact of solid-state photochemical [2+2] cycloaddition on coordination polymers for diverse applications. Dalton Trans. 2020, 49, 9556–9563. [Google Scholar] [CrossRef] [PubMed]
- Biradha, K.; Santra, R. Crystal engineering of topochemical solid state reactions. Chem. Soc. Rev. 2013, 42, 950–967. [Google Scholar] [CrossRef]
- Lee, D.H.; An, J.; Oh, J.; Park, I.-H. Zinc(II) and Copper(II) Complexes of 4-Styrylpyridine and 1-Adamantanecarboxylic Acid: Syntheses, Crystal Structures, and Photopolymerization. Crystals 2023, 13, 1226. [Google Scholar] [CrossRef]
- MacGillivray, L.R. Organic Synthesis in the Solid State via Hydrogen-Bond-Driven Self-Assembly. J. Org. Chem. 2008, 73, 3311–3317. [Google Scholar] [CrossRef]
- Georgiev, I.G.; MacGillivray, L.R. Metal-mediated reactivity in the organic solid state: From self-assembled complexes to metal-organic frameworks. Chem. Soc. Rev. 2007, 36, 1239–1248. [Google Scholar] [CrossRef]
- Kole, G.K.; Vittal, J.J. Solid-state reactivity and structural transformations involving coordination polymers. Chem. Soc. Rev. 2013, 42, 1755–1775. [Google Scholar] [CrossRef]
- Vittal, J.J.; Quah, H.S. Photochemical reactions of metal complexes in the solid state. Dalton Trans. 2017, 46, 7120–7140. [Google Scholar] [CrossRef]
- Medishetty, R.; Yap, T.T.S.; Koh, L.L.; Vittal, J.J. Thermally reversible single-crystal to single-crystal transformation of mononuclear to dinuclear Zn(ii) complexes by [2+2] cycloaddition reaction. Chem. Commun. 2013, 49, 9567–9569. [Google Scholar] [CrossRef] [PubMed]
- Yadava, K.; Gallo, G.; Bette, S.; Mulijanto, C.E.; Karothu, D.P.; Park, I.-H.; Medishetty, R.; Naumov, P.; Dinnebier, R.E.; Vittal, J.J. Extraordinary anisotropic thermal expansion in photosalient crystals. IUCrJ 2020, 7, 83–89. [Google Scholar] [CrossRef] [PubMed]
- Kannan, T.S.; Munan, S.; Kathiresan, M.; Samanta, A.; Kole, G.K. Solid-State Photodimerization Reaction with Photosalient Effect and Photophysical and Electrochemical Properties of N-Methylated 1-Naphthylvinyl-4-Quinoline. Cryst. Growth Des. 2023, 23, 8261–8269. [Google Scholar] [CrossRef]
- Vittal, J.J.; Quah, H.S. Engineering solid state structural transformations of metal complexes. Coord. Chem. Rev. 2017, 342, 1–18. [Google Scholar] [CrossRef]
- Schmidt, G.M.J. Photodimerization in the solid state. Pure Appl. Chem. 1971, 27, 647–678. [Google Scholar] [CrossRef]
- Kole, G.K.; Mir, M.H. Isolation of elusive cyclobutane ligands via a template-assisted photochemical [2+2] cycloaddition reaction and their utility in engineering crystalline solids. CrystEngComm 2022, 24, 3993–4007. [Google Scholar] [CrossRef]
- Hu, F.-L.; Mi, Y.; Zhu, C.; Abrahams, B.F.; Braunstein, P.; Lang, J.-P. Stereoselective Solid-State Synthesis of Substituted Cyclobutanes Assisted by Pseudorotaxane-like MOFs. Angew. Chem. Int. Ed. 2018, 57, 12696–12701. [Google Scholar] [CrossRef] [PubMed]
- Wang, M.-F.; Deng, Y.-H.; Hong, Y.-X.; Gu, J.-H.; Cao, Y.-Y.; Liu, Q.; Braunstein, P.; Lang, J.-P. In situ observation of a stepwise [2+2] photocycloaddition process using fluorescence spectroscopy. Nat. Commun. 2023, 14, 7766. [Google Scholar] [CrossRef]
- Xue, X.-R.; Cao, C.; Ge, Y.; Li, Q.-Y.; Zhang, M.-J.; Liu, Q.; Lang, J.-P. Carboxylic acid and metal ion co-driven assembly of triene coordination polymers for [2+2] photocycloaddition. Inorg. Chem. Front. 2023, 10, 4102–4108. [Google Scholar] [CrossRef]
- Yang, Z.-Y.; Sang, X.; Liu, D.; Li, Q.-Y.; Lang, F.; Abrahams, B.F.; Hou, H.; Braunstein, P.; Lang, J.-P. Photopolymerization-Driven Macroscopic Mechanical Motions of a Composite Film Containing a Vinyl Coordination Polymer. Angew. Chem. Int. Ed. 2023, 62, e202302429. [Google Scholar] [CrossRef]
- Fernandez-Bartolome, E.; Martinez-Martinez, A.; Resines-Urien, E.; Piñeiro-Lopez, L.; Costa, J.S. Reversible single-crystal-to-single-crystal transformations in coordination compounds induced by external stimuli. Coord. Chem. Rev. 2022, 452, 214281. [Google Scholar] [CrossRef]
- Morimoto, K.; Kitagawa, D.; Bardeen, C.J.; Kobatake, S. Cooperative Photochemical Reaction Kinetics in Organic Molecular Crystals. Chemistry 2023, 29, e202203291. [Google Scholar] [CrossRef] [PubMed]
- Lancia, F.; Ryabchun, A.; Katsonis, N. Life-like motion driven by artificial molecular machines. Nat. Rev. Chem. 2019, 3, 536–551. [Google Scholar] [CrossRef]
- MacGillivray, L.R.; Papaefstathiou, G.S.; Friščić, T.; Hamilton, T.D.; Bučar, D.-K.; Chu, Q.; Varshney, D.B.; Georgiev, I.G. Supramolecular Control of Reactivity in the Solid State: From Templates to Ladderanes to Metal–Organic Frameworks. Acc. Chem. Res. 2008, 41, 280–291. [Google Scholar] [CrossRef] [PubMed]
- Khan, S.; Dutta, B.; Kannan, T.S.; Kole, G.K.; Mir, M.H. Cocrystals for photochemical solid-state reactions: An account on crystal engineering perspective. Coord. Chem. Rev. 2023, 483, 215095. [Google Scholar]
- Zhao, Z.-H.; Zhang, Q.; Liu, Y.-F.; Gu, J.-Z.; Shi, Z.-F. Fabrication, Crystal Structures, Catalytic, and Anti-Wear Performance of 3D Zinc(II) and Cadmium(II) Coordination Polymers Based on an Ether-Bridged Tetracarboxylate Ligand. Crystals 2023, 13, 1681. [Google Scholar] [CrossRef]
- Kim, J.; Na, C.; Son, Y.; Prabu, M.; Yoon, M. Stilbene ligand-based metal–organic frameworks for efficient dye adsorption and nitrobenzene detection. Bull. Korean Chem. Soc. 2023, 44, 507–515. [Google Scholar] [CrossRef]
- Balendra; Sanyukta; Ali, M.; Murugavel, S. Cadmium-Based coordination polymers (CPs) constructed from two different V-Shaped dicarboxylate Ligands: Synthesis, structure and dielectric properties. Inorg. Chem. Commun. 2023, 148, 110280. [Google Scholar] [CrossRef]
- Li, N.-Y.; Liu, D.; Ren, Z.-G.; Lollar, C.; Lang, J.-P.; Zhou, H.-C. Controllable Fluorescence Switching of a Coordination Chain Based on the Photoinduced Single-Crystal-to-Single-Crystal Reversible Transformation of a syn-[2.2]Metacyclophane. Inorg. Chem. 2018, 57, 849–856. [Google Scholar] [CrossRef]
- Calahorro, A.J.; San Sebastián, E.; Salinas-Castillo, A.; Seco, J.M.; Mendicute-Fierro, C.; Fernández, B.; Rodríguez-Diéguez, A. Effect of π–π stacking interactions on the emission properties of cadmium metal–organic frameworks based on 1,4-bis(4-pyridyl)-2,3-diaza-1,3-butadiene. CrystEngComm 2015, 17, 3659–3666. [Google Scholar] [CrossRef]
- Karbalaee Hosseini, A.; Tadjarodi, A. Sonochemical synthesis of nanoparticles of Cd metal organic framework based on thiazole ligand as a new precursor for fabrication of cadmium sulfate nanoparticles. Mater. Lett. 2022, 322, 132481. [Google Scholar] [CrossRef]
- Medishetty, R.; Tandiana, R.; Wu, J.; Bai, Z.; Du, Y.; Vittal, J.J. A Step-by-Step Assembly of a 3D Coordination Polymer in the Solid-State by Desolvation and [2+2] Cycloaddition Reactions. Chem. Eur. J. 2015, 21, 11948–11953. [Google Scholar] [CrossRef]
- Medishetty, R.; Koh, L.L.; Kole, G.K.; Vittal, J.J. Solid-State Structural Transformations from 2D Interdigitated Layers to 3D Interpenetrated Structures. Angew. Chem. Int. Ed. 2011, 50, 10949–10952. [Google Scholar] [CrossRef]
- Medishetty, R.; Sahoo, S.C.; Mulijanto, C.E.; Naumov, P.; Vittal, J.J. Photosalient Behavior of Photoreactive Crystals. Chem. Mater. 2015, 27, 1821–1829. [Google Scholar] [CrossRef]
- Yadava, K.; Vittal, J.J. Photosalient Behavior of Photoreactive Zn(II) Complexes. Cryst. Growth Des. 2019, 19, 2542–2547. [Google Scholar] [CrossRef]
- Allendorf, M.D.; Bauer, C.A.; Bhakta, R.K.; Houk, R.J.T. Luminescent metal–organic frameworks. Chem. Soc. Rev. 2009, 38, 1330–1352. [Google Scholar] [CrossRef] [PubMed]
- Samanta, P.; Let, S.; Mandal, W.; Dutta, S.; Ghosh, S.K. Luminescent metal–organic frameworks (LMOFs) as potential probes for the recognition of cationic water pollutants. Inorg. Chem. Front. 2020, 7, 1801–1821. [Google Scholar] [CrossRef]
- Cui, Y.; Yue, Y.; Qian, G.; Chen, B. Luminescent Functional Metal–Organic Frameworks. Chem. Rev. 2012, 112, 1126–1162. [Google Scholar] [CrossRef]
- Dolomanov, O.V.; Bourhis, L.J.; Gildea, R.J.; Howard, J.A.K.; Puschmann, H. OLEX2: A complete structure solution, refinement and analysis program. J. Appl. Crystallogr. 2009, 42, 339–341. [Google Scholar] [CrossRef]
- Sheldrick, G. SHELXT—Integrated space-group and crystal-structure determination. Acta Crystallogr. Sect. A 2015, 71, 3–8. [Google Scholar] [CrossRef]
- Sheldrick, G. Crystal structure refinement with SHELXL. Acta Crystallogr. Sect. C 2015, 71, 3–8. [Google Scholar] [CrossRef] [PubMed]
- Horwitz, L. Notes—Studies in cis- and trans-Stilbazoles. J. Org. Chem. 1956, 21, 1039–1041. [Google Scholar] [CrossRef]
- Williams, J.L.R.; Adel, R.E.; Carlson, J.M.; Reynolds, G.A.; Borden, D.G.; Ford, J.A., Jr. A Comparison of Methods for the Preparation of 2- and 4-Styrylpyridines1. J. Org. Chem. 1963, 28, 387–390. [Google Scholar] [CrossRef]







| 1 | 2 | 3 | 4r | |
|---|---|---|---|---|
| CCDC | 2294502 | 2294503 | 2294504 | 2294505 |
| Empirical formula | C84H72Cd2N4O8 | C80H60Cd2F4N4O8 | C80H60Cd2F4N4O8 | C84H76Cd2N4O10 |
| Formula weight | 1490.25 | 1506.12 | 1506.12 | 1526.28 |
| Temperature/K | 99.97(10) | 99.96(11) | 292.32(13) | 99.9(6) |
| Crystal system | triclinic | triclinic | triclinic | orthorhombic |
| Space group | P-1 | P-1 | P-1 | Pca21 |
| a/Å | 10.5703(2) | 10.64970(10) | 11.00600(10) | 14.7172(2) |
| b/Å | 11.2955(2) | 10.86120(10) | 11.18380(10) | 14.2024(2) |
| c/Å | 15.7407(3) | 15.7523(2) | 16.00910(10) | 33.0645(5) |
| α/° | 106.856(2) | 106.3610(10) | 94.0310(10) | 90 |
| β/° | 92.083(2) | 92.6840(10) | 106.6310(10) | 90 |
| γ/° | 109.025(2) | 110.9190(10) | 112.9150(10) | 90 |
| Volume/Å3 | 1682.51(6) | 1610.79(3) | 1701.83(3) | 6911.13(17) |
| Z | 1 | 1 | 1 | 4 |
| ρcalc g/cm3 | 1.471 | 1.553 | 1.470 | 1.467 |
| μ/mm−1 | 5.570 | 5.919 | 5.603 | 5.460 |
| Goodness-of-fit on F2 | 1.047 | 1.063 | 1.065 | 1.051 |
| Final R indexes [I > 2σ(I)] | R1 = 0.0349, wR2 = 0.0923 | R1 = 0.0328, wR2 = 0.0877 | R1 = 0.0409, wR2 = 0.1090 | R1 = 0.0674, wR2 = 0.1851 |
Disclaimer/Publisher’s Note: The statements, opinions and data contained in all publications are solely those of the individual author(s) and contributor(s) and not of MDPI and/or the editor(s). MDPI and/or the editor(s) disclaim responsibility for any injury to people or property resulting from any ideas, methods, instructions or products referred to in the content. |
© 2024 by the authors. Licensee MDPI, Basel, Switzerland. This article is an open access article distributed under the terms and conditions of the Creative Commons Attribution (CC BY) license (https://creativecommons.org/licenses/by/4.0/).
Share and Cite
Ekka, A.; Choudhury, A.; Samanta, M.; Deshmukh, A.; Halcovitch, N.R.; Park, I.-H.; Medishetty, R. Solid-State [2+2] Photoreaction of Isostructural Cd(II) Metal Complexes and Solid-State Fluorescence. Molecules 2024, 29, 351. https://doi.org/10.3390/molecules29020351
Ekka A, Choudhury A, Samanta M, Deshmukh A, Halcovitch NR, Park I-H, Medishetty R. Solid-State [2+2] Photoreaction of Isostructural Cd(II) Metal Complexes and Solid-State Fluorescence. Molecules. 2024; 29(2):351. https://doi.org/10.3390/molecules29020351
Chicago/Turabian StyleEkka, Akansha, Aditya Choudhury, Madhumita Samanta, Ayushi Deshmukh, Nathan R. Halcovitch, In-Hyeok Park, and Raghavender Medishetty. 2024. "Solid-State [2+2] Photoreaction of Isostructural Cd(II) Metal Complexes and Solid-State Fluorescence" Molecules 29, no. 2: 351. https://doi.org/10.3390/molecules29020351
APA StyleEkka, A., Choudhury, A., Samanta, M., Deshmukh, A., Halcovitch, N. R., Park, I.-H., & Medishetty, R. (2024). Solid-State [2+2] Photoreaction of Isostructural Cd(II) Metal Complexes and Solid-State Fluorescence. Molecules, 29(2), 351. https://doi.org/10.3390/molecules29020351

