Advancements in Carbazole-Based Sensitizers and Hole-Transport Materials for Enhanced Photovoltaic Performance
Abstract
1. Introduction
2. Working Principle of DSSCs
3. Carbazole-Based Dyes for DSSCs
3.1. Recent Developments on Carbazole-Based Dyes
3.1.1. D-π-A Architecture
| Dye No. | Electrolyte | λmax nm, (ε × 104 M−1 cm−1) | PCE (%) | FF | VOC (V) | JSC (mA cm−2) | Refs. |
|---|---|---|---|---|---|---|---|
| D1 | I−/I3− | 495 (5.13) a | 6.06 | 0.75 | 0.56 | 14.43 | [39] |
| D2 | I−/I3− | 491 (5.39) a | 7.39 | 0.66 | 0.70 | 16.00 | [39] |
| D3 | I−/I3− | 522 (4.27) a | 8.38 | 0.69 | 0.72 | 16.88 | [39] |
| D4 | I−/I3− | 499 (3.15) a | 9.55 | 0.70 | 0.78 | 17.50 | [39] |
| D5 | I−/I3− | 476 (4.51) b | 6.04 | 0.64 | 0.601 | 15.78 | [40] |
| D6 | I−/I3− | 478 (4.47) b | 5.48 | 0.64 | 0.612 | 14.00 | [40] |
| D7 | I−/I3− Co3+/Co2+ | 435 (3.42) c | 7.10 9.00 | 0.65 0.67 | 0.645 0.725 | 17.20 18.30 | [41] |
| D8 | I−/I3− | 492 (5.64) d | 6.63 | 0.64 | 0.71 | 14.55 | [42] |
| D9 | I−/I3− | 496 (6.25) d | 6.50 | 0.63 | 0.70 | 14.71 | [42] |
| D10 | I−/I3− | 493 (1.89) b | 5.57 | 0.52 | 0.71 | 15.12 | [43] |
| D11N | I−/I3− | 492 (2.43) e | 7.44 | 0.67 | 0.701 | 15.73 | [44] |
| D11O | I−/I3− | 476 (2.69) e | 7.68 | 0.69 | 0.714 | 15.61 | [44] |
| D11S | I−/I3− | 477 (2.78) e | 7.18 | 0.67 | 0.691 | 15.43 | [44] |
| D12 | I−/I3− | 551 (1.15) a | 7.38 | 0.67 | 0.78 | 14.12 | [45] |
| D13 | I−/I3− | 552 (1.01) a | 6.90 | 0.69 | 0.76 | 13.19 | [45] |
| D14 | I−/I3− | 433 (1.46) e | 6.16 | 0.694 | 0.706 | 12.51 | [46] |
| D15 | I−/I3− | 449 (1.07) e | 7.21 | 0.672 | 0.723 | 14.84 | [46] |
| D16 | I−/I3− | 447 (1.17) e | 6.97 | 0.683 | 0.707 | 14.44 | [46] |
| D17 | I−/I3− | 458 (2.02) b | 6.01 | 0.660 | 0.729 | 12.40 | [47] |
| D18 | I−/I3− | 462 (2.15) b | 6.93 | 0.660 | 0.757 | 13.80 | [47] |
| D19 | I−/I3− | 477 (3.24) b | 7.54 | 0.680 | 0.744 | 14.80 | [47] |
| D20 | I−/I3− Co3+/Co2+ | 535 (4.71) b | 7.80 8.67 | 0.690 0.680 | 0.754 0.880 | 15.00 14.50 | [48] |
| D21 | I−/I3− Co3+/Co2+ | 518 (3.81) b | 5.43 4.65 | 0.680 0.690 | 0.650 0.763 | 12.30 8.80 | [48] |
| D22 | I−/I3− Co3+/Co2+ | 517 (5.39) b | 6.73 7.06 | 0.690 0.680 | 0.723 0.845 | 13.50 12.30 | [48] |
| D23 | I−/I3− Co3+/Co2+ | 511 (4.04) b | 6.27 6.77 | 0.670 0.680 | 0.709 0.830 | 13.20 12.00 | [48] |
| D24 | I−/I3− | 442 (2.95) f | 5.92 | 0.589 | 0.740 | 13.6 | [49] |
| D25 | I−/I3− | 435 (1.65) g | 5.10 | 0.730 | 0.720 | 9.89 | [50] |
| D26 | I−/I3− | 500 (5.48) b | 5.41 | 0.590 | 0.745 | 12.55 | [51] |
| D27 | I−/I3− | 463 (1.58) b | 5.01 | 0.660 | 0.744 | 10.16 | [51] |
| D28 | I−/I3− | 442 a | 5.68 | 0.761 | 0.726 | 11.69 | [52] |
| D29 | Co3+/Co2+ | 492 (3.39) h | 5.27 | 0.620 | 0.775 | 11.05 | [53] |
| D30 | Co3+/Co2+ | 492 (3.35) h | 5.60 | 0.600 | 0.783 | 11.93 | [53] |
| D31 | Cu2+/Cu+ | 625 (4.32) b | 6.00 | 0.754 | 0.95 | 8.30 | [54] |
| D32 | Cu2+/Cu+ | 422 (5.08) b | 5.10 | 0.647 | 1.100 | 7.10 | [54] |
| D33 | I−/I3− | 478 i | 6.72 | 0.690 | 0.780 | 11.18 | [55] |
| D34 | I−/I3− | 466 i | 7.46 | 0.710 | 0.810 | 13.57 | [55] |
| D35 | I−/I3− | 481 i | 8.12 | 0.680 | 0.850 | 14.72 | [55] |
3.1.2. D-D-π-A Architecture
| Dye No. | λmax nm, (ε × 104 M−1 cm−1) | PCE (%) | FF | VOC (V) | JSC (mA cm−2) |
|---|---|---|---|---|---|
| D36 | 442 (3.00) | 5.59 | 0.678 | 0.741 | 11.12 |
| D37 | 468 (3.67) | 6.68 | 0.661 | 0.724 | 13.26 |
| D38 | 468 (3.64) | 6.35 | 0.666 | 0.737 | 12.31 |
| D39 | 468 (3.35) | 6.04 | 0.655 | 0.722 | 12.14 |
3.1.3. D-(π-A)2 Architecture
3.1.4. D-π-D-A, D-(π-D-A)2, D-(π-D-A)3 Architecture
| Dye No. | λmax nm, (ε × 104 M–1 cm–1) | PCE (%) | FF | VOC (V) | JSC (mA cm–2) |
|---|---|---|---|---|---|
| D41 | 423 (4.55) | 5.31 | 0.682 | 0.731 | 10.65 |
| D42 | 397 (6.50) | 4.70 | 0.665 | 0.758 | 9.40 |
| D43 | 402 (7.50) | 5.44 | 0.572 | 0.770 | 12.41 |
3.1.5. D-A-π-A Architecture
| Dye No. | λmax nm, (ε × 104 M−1 cm−1) | PCE (%) | FF | VOC (V) | JSC (mA cm−2) |
|---|---|---|---|---|---|
| D44 | 486 (3.06) | 5.07 | 0.690 | 0.610 | 12.08 |
| D45 | 507 (4.54) | 1.65 | 0.710 | 0.560 | 4.12 |
| D46 | 441 (2.17) | 5.40 | 0.690 | 0.710 | 10.99 |
| D47 | 446 (3.47) | 3.81 | 0.870 | 0.630 | 6.98 |
3.1.6. A-π-D-π-A-π-A Architecture
| Dye No. | λmax nm, (ε × 104 M−1 cm−1) | PCE (%) | FF | VOC (V) | JSC (mA cm−2) |
|---|---|---|---|---|---|
| D48 | 397 (5.25) | 2.14 | 0.720 | 0.520 | 5.66 |
| D49 | 426 (6.93) | 2.27 | 0.710 | 0.540 | 5.95 |
| D50 | 392 (4.53) | 1.69 | 0.710 | 0.480 | 4.99 |
3.1.7. Comparison of Carbazole with Different Donor Materials
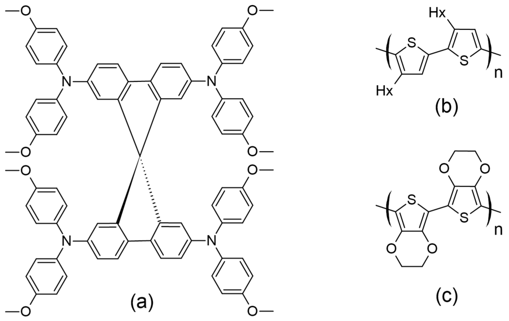
4. Carbazole-Based Hole-Transporting Materials for Solid-State DSSCs
4.1. Dopants for Hole-Transport Materials
4.2. Spiro-OMeTAD
4.3. Advancements in Carbazole-Based HTMs
5. Conclusions and Future Outlook
Supplementary Materials
Author Contributions
Funding
Institutional Review Board Statement
Informed Consent Statement
Data Availability Statement
Conflicts of Interest
References
- Devadiga, D.; Selvakumar, M.; Shetty, P.; Santosh, M.; Chandrabose, R.S.; Karazhanov, S. Recent developments in metal-free organic sensitizers derived from carbazole, triphenylamine, and phenothiazine for dye-sensitized solar cells. Int. J. Energy Res. 2021, 45, 6584–6643. [Google Scholar] [CrossRef]
- Kumar, D.; Wong, K.-T. Organic dianchor dyes for dye-sensitized solar cells. Mater. Today Energy 2017, 5, 243–279. [Google Scholar] [CrossRef]
- Murakami, T.N.; Koumura, N. Development of next-generation organic-based solar cells: Studies on dye-sensitized and perovskite solar cells. Adv. Energy Mater. 2018, 9, 1802967. [Google Scholar] [CrossRef]
- Konidena, R.K.; Thomas, K.R.J.; Park, J.W. Recent advances in the design of multi-substituted carbazoles for optoelectronics: Synthesis and structure-property outlook. ChemPhotoChem 2022, 6, e202200059. [Google Scholar] [CrossRef]
- Han, P.; Zhang, Y. Recent advances in carbazole-based self-assembled monolayer for solution-processed optoelectronic devices. Adv. Mater. 2024, 36, 2405630. [Google Scholar] [CrossRef]
- Bekkar, F.; Bettahar, F.; Moreno, I.; Meghabar, R.; Hamadouche, M.; Hernáez, E.; Vilas-Vilela, J.L.; Ruiz-Rubio, L. Polycarbazole and Its Derivatives: Synthesis and Applications. A Review of the Last 10 Years. Polymers 2020, 12, 2227. [Google Scholar] [CrossRef]
- Karon, K.; Lapkowski, M. Carbazole electrochemistry: A short review. J. Solid State Electrochem. 2015, 19, 2601–2610. [Google Scholar] [CrossRef]
- Krucaite, G.; Grigalevicius, S. 2,7(3,6)-diaryl(arylamino)-substituted carbazoles as components of oleds: A review of the last decade. Materials 2021, 14, 6754. [Google Scholar] [CrossRef] [PubMed]
- Sathiyan, G.; Sivakumar, E.K.T.; Ganesamoorthy, R.; Thangamuthu, R.; Sakthivel, P. Review of carbazole based conjugated molecules for highly efficient organic solar cell application. Tetrahedron Lett. 2016, 57, 243–252. [Google Scholar] [CrossRef]
- Chetri, R.; Devadiga, D.; Ahipa, T.N. A review on 4,4′-Dimethoxydiphenylamines bearing carbazoles as hole transporting materials for highly efficient perovskite solar cell. Sol. Energy 2024, 278, 112791. [Google Scholar] [CrossRef]
- Sambathkumar, S.; Shakila, P.B. Chapter Six—Organic hole-transporting materials for perovskite solar cells: Progress and prospects. In Photovoltaics Beyond Silicon; Sundaram, S., Subramaniam, V., Raffaelle, R.P., Nazeeruddin, M.K., Morales-Acevedo, A., Navarro, M.B., Hepp, A.F., Eds.; Elsevier: Amsterdam, The Netherlands, 2024; pp. 195–220. [Google Scholar] [CrossRef]
- Radhakrishna, K.; Manjunath, S.B.; Devadiga, D.; Chetri, R.; Nagaraja, A.T. Review on Carbazole-Based Hole Transporting Materials for Perovskite Solar Cell. ACS Appl. Energy Mater. 2023, 6, 3635–3664. [Google Scholar] [CrossRef]
- Zhao, Y.; Ma, F.; Qu, Z.; Yu, S.; Shen, T.; Deng, H.X.; Chu, X.; Peng, X.; Yuan, Y.; Zhang, X.; et al. Inactive (PbI2)2RbCl stabilizes perovskite films for efficient solar cells. Science 2022, 377, 531–534. [Google Scholar] [CrossRef] [PubMed]
- Yang, S.; Liu, Y.; Lian, X.; Chu, J. Inactive impurity stabilizes the highly efficient perovskite photovoltaics. Joule 2022, 6, 2248–2250. [Google Scholar] [CrossRef]
- NREL. Best Research-Cell Efficiency Chart. Available online: https://www.nrel.gov/pv/interactive-cell-efficiency.html (accessed on 16 August 2024).
- O'Regan, B.; Grätzel, M. A low-cost, high-efficiency solar cell based on dye-sensitized colloidal TiO2 films. Nature 1991, 353, 737–740. [Google Scholar] [CrossRef]
- Zhang, L.; Yang, X.; Wang, W.; Gurzadyan, G.G.; Li, J.; Li, X.; An, J.; Yu, Z.; Wang, H.; Cai, B.; et al. 13.6% Efficient organic dye-sensitized solar cells by minimizing energy losses of the excited state. ACS Energy Lett. 2019, 4, 943–951. [Google Scholar] [CrossRef]
- Ren, Y.; Zhang, D.; Suo, J.; Cao, Y.; Eickemeyer, F.T.; Vlachopoulos, N.; Zakeeruddin, S.M.; Hagfeldt, A.; Grätzel, M. Hydroxamic acid pre-adsorption raises the efficiency of cosensitized solar cells. Nature 2023, 613, 60–65. [Google Scholar] [CrossRef]
- Michaels, H.; Rinderle, M.; Freitag, R.; Benesperi, I.; Edvinsson, T.; Socher, R.; Gagliardi, A.; Freitag, M. Dye-sensitized solar cells under ambient light powering machine learning: Towards autonomous smart sensors for the internet of things. Chem. Sci. 2020, 11, 2895–2906. [Google Scholar] [CrossRef]
- Ho, J.K.W.; Yin, H.; So, S.K. From 33% to 57%—An elevated potential of efficiency limit for indoor photovoltaics. J. Mater. Chem. A 2020, 8, 1717–1723. [Google Scholar] [CrossRef]
- Shoaee, S.; Stolterfoht, M.; Neher, D. The role of mobility on charge generation, recombination, and extraction in polymer-based solar cells. Adv. Energy Mater. 2018, 8, 1703355. [Google Scholar] [CrossRef]
- Grätzel, M. Dye-Sensitized Solid-State Heterojunction Solar Cells. MRS Bull. 2005, 30, 23–27. [Google Scholar] [CrossRef]
- Brédas, J.-L.; Norton, J.E.; Cornil, J.; Coropceanu, V. Molecular understanding of organic solar cells: The challenges. Acc. Chem. Res. 2009, 42, 1691–1699. [Google Scholar] [CrossRef] [PubMed]
- Maldon, B.; Thamwattana, N. Review of diffusion models for charge-carrier densities in dye-sensitized solar cells. J. Phys. Commun. 2020, 4, 082001. [Google Scholar] [CrossRef]
- Korir, B.K.; Kibet, J.K.; Ngari, S.M. A review on the current status of dye-sensitized solar cells: Toward sustainable energy. Energy Sci. Eng. 2024, 12, 3188–3226. [Google Scholar] [CrossRef]
- Koumura, N.; Wang, Z.-S.; Miyashita, M.; Uemura, Y.; Sekiguchi, H.; Cui, Y.; Mori, A.; Mori, S.; Hara, K. Substituted carbazole dyes for efficient molecular photovoltaics: Long electron lifetime and high open circuit voltage performance. J. Mater. Chem. 2009, 19, 4829–4836. [Google Scholar] [CrossRef]
- Periyasamy, K.; Sakthivel, P.; Venkatesh, G.; Vennila, P.; Sheena Mary, Y. Synthesis and design of carbazole-based organic sensitizers for DSSCs applications: Experimental and theoretical approaches. Chem. Pap. 2024, 78, 447–461. [Google Scholar] [CrossRef]
- Chandra Sil, M.; Chen, L.-S.; Lai, C.-W.; Lee, Y.-H.; Chang, C.-C.; Chen, C.-M. Enhancement of power conversion efficiency of dye-sensitized solar cells for indoor applications by using a highly responsive organic dye and tailoring the thickness of photoactive layer. J. Power Sources 2020, 479, 229095. [Google Scholar] [CrossRef]
- Elsherbiny, D.; Yildirim, E.; El-Essawy, F.; Abdel-Megied, A.; El-Shafei, A. Structure-property relationships: Influence of number of anchoring groups in triphenylamine-carbazole motifs on light harvesting and photovoltaic performance for dye-sensitized solar cells. Dye. Pigment. 2017, 147, 491–504. [Google Scholar] [CrossRef]
- Kakiage, K.; Aoyama, Y.; Yano, T.; Otsuka, T.; Kyomen, T.; Unno, M.; Hanaya, M. An achievement of over 12 percent efficiency in an organic dye-sensitized solar cell. Chem. Commun. 2014, 50, 6379–6381. [Google Scholar] [CrossRef]
- Kakiage, K.; Aoyama, Y.; Yano, T.; Oya, K.; Fujisawa, J.-i.; Hanaya, M. Highly-efficient dye-sensitized solar cells with collaborative sensitization by silyl-anchor and carboxy-anchor dyes. Chem. Commun. 2015, 51, 15894–15897. [Google Scholar] [CrossRef]
- Kumavat, P.P.; Sonar, P.; Dalal, D.S. An overview on basics of organic and dye sensitized solar cells, their mechanism and recent improvements. Renew. Sustain. Energy Rev. 2017, 78, 1262–1287. [Google Scholar] [CrossRef]
- Mishra, A.; Fischer, M.K.R.; Bäuerle, P. Metal-free organic dyes for dye-sensitized solar cells: From structure: Property relationships to design rules. Angew. Chem. Int. Ed. 2009, 48, 2474–2499. [Google Scholar] [CrossRef] [PubMed]
- Nalzala Thomas, M.R.; Kanniyambatti Lourdusamy, V.J.; Dhandayuthapani, A.A.; Jayakumar, V. Non-metallic organic dyes as photosensitizers for dye-sensitized solar cells: A review. Environ. Sci. Pollut. Res. 2021, 28, 28911–28925. [Google Scholar] [CrossRef] [PubMed]
- Ooyama, Y.; Harima, Y. Molecular designs and syntheses of organic dyes for dye-sensitized solar cells. Eur. J. Org. Chem. 2009, 2009, 2903–2934. [Google Scholar] [CrossRef]
- Naik, P.; Su, R.; Elmorsy, M.R.; El-Shafei, A.; Adhikari, A.V. New carbazole based dyes as effective co-sensitizers for DSSCs sensitized with ruthenium (II) complex (NCSU-10). J. Energy Chem. 2018, 27, 351–360. [Google Scholar] [CrossRef]
- Bouchard, J.; Belletête, M.; Durocher, G.; Leclerc, M. Solvatochromic properties of 2,7-carbazole-based conjugated polymers. Macromolecules 2003, 36, 4624–4630. [Google Scholar] [CrossRef]
- Damit, E.F.; Nordin, N.; Ariffin, A.; Sulaiman, K. Synthesis of novel derivatives of carbazole-thiophene, their electronic properties, and computational studies. J. Chem. 2016, 2016, 9360230. [Google Scholar] [CrossRef][Green Version]
- Elmorsy, M.R.; Badawy, S.A.; Salem, K.E.; Fadda, A.A.; Abdel-Latif, E. New photosensitizers that are based on carbazoles and have thiophene bridges with a low bandgap do 32% better than N719 metal complex dye. J. Photochem. Photobiol. A 2023, 436, 114421. [Google Scholar] [CrossRef]
- Venkateswararao, A.; Thomas, K.R.J.; Lee, C.-P.; Li, C.-T.; Ho, K.-C. Organic dyes containing carbazole as donor and π-linker: Optical, electrochemical, and photovoltaic properties. ACS Appl. Mater. Interfaces 2014, 6, 2528–2539. [Google Scholar] [CrossRef]
- Soni, S.S.; Fadadu, K.B.; Vaghasiya, J.V.; Solanki, B.G.; Sonigara, K.K.; Singh, A.; Das, D.; Iyer, P.K. Improved molecular architecture of D–π–A carbazole dyes: 9% PCE with a cobalt redox shuttle in dye sensitized solar cells. J. Mater. Chem. A 2015, 3, 21664–21671. [Google Scholar] [CrossRef]
- Zhang, H.; Iqbal, Z.; Chen, Z.-E.; Hong, Y.-P. Effect of structural optimization on the photovoltaic performance of dithieno[3,2-b:2′,3′-d]pyrrole-based dye-sensitized solar cells. RSC Adv. 2017, 7, 35598–35607. [Google Scholar] [CrossRef]
- Jiao, Y.; Mao, L.; Liu, S.; Tan, T.; Wang, D.; Cao, D.; Mi, B.; Gao, Z.; Huang, W. Effects of meta or para connected organic dyes for dye-sensitized solar cell. Dye. Pigment. 2018, 158, 165–174. [Google Scholar] [CrossRef]
- Zhang, H.; Iqbal, Z.; Chen, Z.-E.; Hong, Y. Effects of various heteroatom donor species on the photophysical, electrochemical and photovoltaic performance of dye-sensitized solar cells. Electrochim. Acta 2018, 290, 303–311. [Google Scholar] [CrossRef]
- Duvva, N.; Giribabu, L. Hexyl dithiafulvalene (HDT)-substituted carbazole (CBZ) D–π–A based sensitizers for dye-sensitized solar cells. New J. Chem. 2020, 44, 18481–18488. [Google Scholar] [CrossRef]
- Tian, L.; Zhang, X.; Xu, X.; Pang, Z.; Li, X.; Wu, W.; Liu, B. The planarization of side chain in carbazole sensitizer and its effect on optical, electrochemical, and interfacial charge transfer properties. Dye. Pigment. 2020, 174, 108036. [Google Scholar] [CrossRef]
- Qian, X.; Zhu, Y.-Z.; Chang, W.-Y.; Song, J.; Pan, B.; Lu, L.; Gao, H.-H.; Zheng, J.-Y. Benzo[a]carbazole-Based Donor−π–Acceptor Type Organic Dyes for Highly Efficient Dye-Sensitized Solar Cells. ACS Appl. Mater. Interfaces 2015, 7, 9015–9022. [Google Scholar] [CrossRef]
- Su, J.; Chen, Y.; Wu, Y.; Ghimire, R.P.; Xu, Y.; Liu, X.; Wang, Z.; Liang, M. New triarylamine organic dyes containing the 9-hexyl-2-(hexyloxy)-9H-carbazole for dye-sensitized solar cells. Electrochim. Acta 2017, 254, 191–200. [Google Scholar] [CrossRef]
- Wu, Z.-S.; Song, X.-C.; Liu, Y.-D.; Zhang, J.; Wang, H.-S.; Chen, Z.-J.; Liu, S.; Weng, Q.; An, Z.-W.; Guo, W.-J. New organic dyes with varied arylamine donors as effective co-sensitizers for ruthenium complex N719 in dye sensitized solar cells. J. Power Sources 2020, 451, 227776. [Google Scholar] [CrossRef]
- Thongkasee, P.; Thangthong, A.; Janthasing, N.; Sudyoadsuk, T.; Namuangruk, S.; Keawin, T.; Jungsuttiwong, S.; Promarak, V. Carbazole-dendrimer-based donor−π–acceptor type organic dyes for dye-sensitized solar cells: Effect of the size of the carbazole dendritic donor. ACS Appl. Mater. Interfaces 2014, 6, 8212–8222. [Google Scholar] [CrossRef]
- Xiao, Z.; Chen, B.; Cheng, X. Novel red light-absorbing organic dyes based on indolo[3,2-b]carbazole as the donor applied in co-sensitizer-free dye-sensitized solar cells. Materials 2021, 14, 1716. [Google Scholar] [CrossRef]
- Periyasamy, K.; Sakthivel, P.; Ragavan, I.; Anbarasan, P.M.; Arunkumar, A.; Shkir, M.; Vidya, C.; Balasubramani, V.; Reddy, V.R.M.; Kim, W.K. Design, synthesis, and optical and electrochemical properties of D–π–A type organic dyes with carbazole-based donor units for efficient dye-sensitized solar cells: Experimental and theoretical studies. J. Electron. Mater. 2023, 52, 2525–2543. [Google Scholar] [CrossRef]
- Wagner, K.; Wagner, P.; Hasani, F.; Barnsley, J.E.; Gordon, K.C.; Lennert, A.; Guldi, D.M.; Officer, D.L. Carbazole-substituted dialkoxybenzodithiophene dyes for efficient light harvesting and the effect of alkoxy tail length. Dye. Pigment. 2021, 186, 109002. [Google Scholar] [CrossRef]
- An, J.; Tian, Z.; Zhang, L.; Yang, X.; Cai, B.; Yu, Z.; Zhang, L.; Hagfeldt, A.; Sun, L. Supramolecular Co-adsorption on TiO2 to enhance the efficiency of dye-sensitized solar cells. J. Mater. Chem. A 2021, 9, 13697–13703. [Google Scholar] [CrossRef]
- Saravana Kumaran, T.; Prakasam, A.; Vennila, P.; Parveen Banu, S.; Venkatesh, G. New Carbazole-based organic dyes with various acceptors for dye-sensitized solar cells: Synthesis, characterization, dsscs fabrications and DFT study. Asian J. Chem. 2021, 33, 1541–1550. [Google Scholar] [CrossRef]
- He, J.; Hua, J.; Hu, G.; Yin, X.J.; Gong, H.; Li, C. Organic dyes incorporating a thiophene or furan moiety for efficient dye-sensitized solar cells. Dye. Pigment. 2014, 104, 75–82. [Google Scholar] [CrossRef]
- Su, J.-Y.; Lo, C.-Y.; Tsai, C.-H.; Chen, C.-H.; Chou, S.-H.; Liu, S.-H.; Chou, P.-T.; Wong, K.-T. Indolo[2,3-b]carbazole synthesized from a double-intramolecular Buchwald–Hartwig reaction: Its application for a dianchor dssc organic dye. Org. Lett. 2014, 16, 3176–3179. [Google Scholar] [CrossRef]
- Han, L.; Zu, X.; Cui, Y.; Wu, H.; Ye, Q.; Gao, J. Novel D–A–π–A carbazole dyes containing benzothiadiazole chromophores for dye-sensitized solar cells. Org. Electron. 2014, 15, 1536–1544. [Google Scholar] [CrossRef]
- Ghasempour Nesheli, F.; Tajbakhsh, M.; Hosseinzadeh, B.; Hosseinzadeh, R. Design, Synthesis and Photophysical Analysis of New Unsymmetrical Carbazole-Based Dyes for Dye-Sensitized Solar Cells. J. Photochem. Photobiol. A 2020, 397, 112521. [Google Scholar] [CrossRef]
- El Fakir, Z.; Idrissi, A.; Habsaoui, A.; Bouzakraoui, S. Small carbazole-based molecules as hole transporting materials for perovskite solar cells. J. Mol. Graph. Model. 2023, 122, 108504. [Google Scholar] [CrossRef]
- Liu, Y.; Zhang, X.; Li, C.; Tian, Y.; Zhang, F.; Wang, Y.; Wu, W.; Liu, B. Energy-level control via molecular planarization and its effect on interfacial charge-transfer processes in dye-sensitized solar cells. J. Phys. Chem. C 2019, 123, 13531–13537. [Google Scholar] [CrossRef]
- Wang, Y.; Zhang, G. Effect of molecular shape on the properties of indolo[3,2,1-jk]carbazole-based compounds. Eur. J. Org. Chem. 2022, 2022, e202200494. [Google Scholar] [CrossRef]
- Zhu, Q.; Zhang, X.; Pang, Z.; Wu, W.; Liu, B. Molecular engineering of the alkyl chain in planar carbazole dyes toward efficient interfacial charge transfer processes. New J. Chem. 2020, 44, 20122–20128. [Google Scholar] [CrossRef]
- Jang, Y.; Thogiti, S.; Lee, K.-y.; Kim, J. Long-term stable solid-state dye-sensitized solar cells assembled with solid-state polymerized hole-transporting material. Crystals 2019, 9, 452. [Google Scholar] [CrossRef]
- Liu, J.; Li, Y.; Yong, S.; Arumugam, S.; Beeby, S. Flexible printed monolithic-structured solid-state dye sensitized solar cells on woven glass fibre textile for wearable energy harvesting applications. Sci. Rep. 2019, 9, 1362. [Google Scholar] [CrossRef] [PubMed]
- Li, D.; Qin, D.; Deng, M.; Luo, Y.; Meng, Q. Optimization the solid-state electrolytes for dye-sensitized solar cells. Energy Environ. Sci. 2009, 2, 283–291. [Google Scholar] [CrossRef]
- Schmidt-Mende, L.; Grätzel, M. TiO2 pore-filling and its effect on the efficiency of solid-state dye-sensitized solar cells. Thin Solid Films 2006, 500, 296–301. [Google Scholar] [CrossRef]
- Snaith, H.J.; Schmidt-Mende, L. Advances in liquid-electrolyte and solid-state dye-sensitized solar cells. Adv. Mater. 2007, 19, 3187–3200. [Google Scholar] [CrossRef]
- Ding, I.K.; Tétreault, N.; Brillet, J.; Hardin, B.E.; Smith, E.H.; Rosenthal, S.J.; Sauvage, F.; Grätzel, M.; McGehee, M.D. Pore-filling of spiro-OMeTAD in solid-state dye sensitized solar cells: Quantification, mechanism, and consequences for device performance. Adv. Funct. Mater. 2009, 19, 2431–2436. [Google Scholar] [CrossRef]
- Wu, J.; Lan, Z.; Lin, J.; Huang, M.; Huang, Y.; Fan, L.; Luo, G. Electrolytes in dye-sensitized solar cells. Chem. Rev. 2015, 115, 2136–2173. [Google Scholar] [CrossRef]
- Krüger, J.; Plass, R.; Cevey, L.; Piccirelli, M.; Grätzel, M.; Bach, U. High efficiency solid-state photovoltaic device due to inhibition of interface charge recombination. Appl. Phys. Lett. 2001, 79, 2085–2087. [Google Scholar] [CrossRef]
- Kim, J.-Y.; Kim, J.Y.; Lee, D.-K.; Kim, B.; Kim, H.; Ko, M.J. Importance of 4-tert-butylpyridine in electrolyte for dye-sensitized solar cells employing SnO2 electrode. J. Phys. Chem. C 2012, 116, 22759–22766. [Google Scholar] [CrossRef]
- Yang, L.; Lindblad, R.; Gabrielsson, E.; Boschloo, G.; Rensmo, H.; Sun, L.; Hagfeldt, A.; Edvinsson, T.; Johansson, E.M.J. Experimental and theoretical investigation of the function of 4-tert-butyl pyridine for interface energy level adjustment in efficient solid-state dye-sensitized solar cells. ACS Appl. Mater. Interfaces 2018, 10, 11572–11579. [Google Scholar] [CrossRef]
- Nazeeruddin, M.K.; Kay, A.; Rodicio, I.; Humphry-Baker, R.; Mueller, E.; Liska, P.; Vlachopoulos, N.; Graetzel, M. Conversion of light to electricity by cis-X2bis(2,2'-bipyridyl-4,4'-dicarboxylate)ruthenium(II) charge-transfer sensitizers (X = Cl-, Br-, I-, CN-, and SCN-) on nanocrystalline titanium dioxide electrodes. J. Am. Chem. Soc. 1993, 115, 6382–6390. [Google Scholar] [CrossRef]
- Haque, S.A.; Tachibana, Y.; Willis, R.L.; Moser, J.E.; Grätzel, M.; Klug, D.R.; Durrant, J.R. Parameters influencing charge recombination kinetics in dye-sensitized nanocrystalline titanium dioxide films. J. Phys. Chem. B 2000, 104, 538–547. [Google Scholar] [CrossRef]
- Krüger, J.; Plass, R.; Grätzel, M.; Cameron, P.J.; Peter, L.M. Charge transport and back reaction in solid-state dye-sensitized solar cells: A study using intensity-modulated photovoltage and photocurrent spectroscopy. J. Phys. Chem. B 2003, 107, 7536–7539. [Google Scholar] [CrossRef]
- Yu, Q.; Wang, Y.; Yi, Z.; Zu, N.; Zhang, J.; Zhang, M.; Wang, P. High-efficiency dye-sensitized solar cells: The influence of lithium ions on exciton dissociation, charge recombination, and surface states. ACS Nano 2010, 4, 6032–6038. [Google Scholar] [CrossRef] [PubMed]
- Juarez-Perez, E.J.; Leyden, M.R.; Wang, S.; Ono, L.K.; Hawash, Z.; Qi, Y. Role of the dopants on the morphological and transport properties of spiro-MeOTAD hole transport layer. Chem. Mater. 2016, 28, 5702–5709. [Google Scholar] [CrossRef]
- Salzmann, I.; Heimel, G.; Oehzelt, M.; Winkler, S.; Koch, N. Molecular electrical doping of organic semiconductors: Fundamental mechanisms and emerging dopant design rules. Acc. Chem. Res. 2016, 49, 370–378. [Google Scholar] [CrossRef]
- Xu, B.; Bi, D.; Hua, Y.; Liu, P.; Cheng, M.; Grätzel, M.; Kloo, L.; Hagfeldt, A.; Sun, L. A low-cost spiro[fluorene-9,9′-xanthene]-based hole transport material for highly efficient solid-state dye-sensitized solar cells and perovskite solar cells. Energy Environ. Sci. 2016, 9, 873–877. [Google Scholar] [CrossRef]
- Luo, J.; Xia, J.; Yang, H.; Chen, L.; Wan, Z.; Han, F.; Malik, H.A.; Zhu, X.; Jia, C. Toward high-efficiency, hysteresis-less, stable perovskite solar cells: Unusual doping of a hole-transporting material using a fluorine-containing hydrophobic Lewis acid. Energy Environ. Sci. 2018, 11, 2035–2045. [Google Scholar] [CrossRef]
- Hou, Y.; Du, X.; Scheiner, S.; McMeekin, D.P.; Wang, Z.; Li, N.; Killian, M.S.; Chen, H.; Richter, M.; Levchuk, I.; et al. A generic interface to reduce the efficiency-stability-cost gap of perovskite solar cells. Science 2017, 358, 1192–1197. [Google Scholar] [CrossRef]
- Salbeck, J.; Yu, N.; Bauer, J.; Weissörtel, F.; Bestgen, H. Low molecular organic glasses for blue electroluminescence. Synth. Met. 1997, 91, 209–215. [Google Scholar] [CrossRef]
- Pudzich, R.; Fuhrmann-Lieker, T.; Salbeck, J. Spiro compounds for organic electroluminescence and related applications. In Emissive Materials Nanomaterials; Springer: Berlin/Heidelberg, Germany, 2006; pp. 83–142. [Google Scholar]
- Bailie, C.D.; Unger, E.L.; Zakeeruddin, S.M.; Grätzel, M.; McGehee, M.D. Melt-infiltration of spiro-OMeTAD and thermal instability of solid-state dye-sensitized solar cells. Phys. Chem. Chem. Phys. 2014, 16, 4864–4870. [Google Scholar] [CrossRef] [PubMed]
- Bach, U.; Lupo, D.; Comte, P.; Moser, J.E.; Weissörtel, F.; Salbeck, J.; Spreitzer, H.; Grätzel, M. Solid-state dye-sensitized mesoporous TiO2 solar cells with high photon-to-electron conversion efficiencies. Nature 1998, 395, 583–585. [Google Scholar] [CrossRef]
- Puckyte, G.; Schmaltz, B.; Tomkeviciene, A.; Degbia, M.; Grazulevicius, J.V.; Melhem, H.; Bouclé, J.; Tran-Van, F. Carbazole-based molecular glasses for efficient solid-state dye-sensitized solar cells. J. Power Sources 2013, 233, 86–92. [Google Scholar] [CrossRef]
- Degbia, M.; Schmaltz, B.; Bouclé, J.; Grazulevicius, J.V.; Tran-Van, F. Carbazole based hole transporting materials for solid state dye sensitizer solar cells: Role of the methoxy groups. Polym. Int. 2014, 63, 1387–1393. [Google Scholar] [CrossRef]
- Michaleviciute, A.; Degbia, M.; Tomkeviciene, A.; Schmaltz, B.; Gurskyte, E.; Grazulevicius, J.V.; Bouclé, J.; Tran-Van, F. Star-shaped carbazole derivative based efficient solid-state dye sensitized solar cell. J. Power Sources 2014, 253, 230–238. [Google Scholar] [CrossRef]
- Xu, B.; Sheibani, E.; Liu, P.; Zhang, J.; Tian, H.; Vlachopoulos, N.; Boschloo, G.; Kloo, L.; Hagfeldt, A.; Sun, L. Carbazole-based hole-transport materials for efficient solid-state dye-sensitized solar cells and perovskite solar cells. Adv. Mater. 2014, 26, 6629–6634. [Google Scholar] [CrossRef]
- Bui, T.-T.; Shah, S.K.; Abbas, M.; Sallenave, X.; Sini, G.; Hirsch, L.; Goubard, F. Carbazole-based molecular glasses as hole-transporting materials in solid state dye-sensitized solar cells. ChemNanoMat 2015, 1, 203–210. [Google Scholar] [CrossRef]
- Degbia, M.; Ben Manaa, M.; Schmaltz, B.; Berton, N.; Bouclé, J.; Antony, R.; Tran Van, F. Carbazole-based hole transporting material for solid state dye-sensitized solar cells: Influence of the purification methods. Mater. Sci. Semicond. Process. 2016, 43, 90–95. [Google Scholar] [CrossRef]
- Jung, S.; Kwon, Y. Synthesis and characterization of hole transporting materials containing bis(carbazole) groups for solid-state dye-sensitized solar cells. Mol. Cryst. Liq. Cryst. 2022, 734, 118–128. [Google Scholar] [CrossRef]
- Benhattab, S.; Nakar, R.; Rodriguez Acosta, J.W.; Berton, N.; Faure-Vincent, J.; Bouclé, J.; Tran Van, F.; Schmaltz, B. Carbazole-based twin molecules as hole-transporting materials in dye-sensitized solar cells. Dye. Pigment. 2018, 151, 238–244. [Google Scholar] [CrossRef]
- Degbia, M.; Schmaltz, B.; Van, F.T.; Melhem, H.; Bouclé, J.; Tomkeviciene, A.; Grazulevicius, J.V. Comparative study of 2,7 versus 3,6 disubstituted carbazole as hole transporting materials in solid state DSSC. In Proceedings of the 2012 International Semiconductor Conference Dresden-Grenoble (ISCDG), Grenoble, France, 24–26 September 2012; pp. 211–214. [Google Scholar]
- Wang, L.; Sheibani, E.; Guo, Y.; Zhang, W.; Li, Y.; Liu, P.; Xu, B.; Kloo, L.; Sun, L. Impact of linking topology on the properties of carbazole-based hole-transport materials and their application in solid-state mesoscopic solar cells. Sol. RRL 2019, 3, 1900196. [Google Scholar] [CrossRef]
- Kong, M.; Kim, K.S.; Nga, N.V.; Lee, Y.; Jeon, Y.S.; Cho, Y.; Kwon, Y.; Han, Y.S. Molecular weight effects of biscarbazole-based hole transport polymers on the performance of solid-state dye-sensitized solar cells. Nanomaterials 2020, 10, 2516. [Google Scholar] [CrossRef]
- Nguyen, V.N.; Kwon, Y. Synthesis of poly[n-(2-ethylhexyl)-3,6-carbazole-alt-aniline] copolymer and its potential as hole-transporting material to solid-state dye-sensitized solar cells. Mol. Cryst. Liq. Cryst. 2019, 678, 53–61. [Google Scholar] [CrossRef]
- Ryu, K.H.; Oh, D.H.; Shin, S.; Kim, M.; Han, Y.S. Effects of metal bis(trifluoromethanesulfonyl)imides as dopants of a hole-transporting tercarbazole compound on the photovoltaic performance of solid-state dye-sensitized solar cells. Mol. Cryst. Liq. Cryst. 2023, 765, 132–144. [Google Scholar] [CrossRef]
- Leijtens, T.; Ding, I.K.; Giovenzana, T.; Bloking, J.T.; McGehee, M.D.; Sellinger, A. Hole transport materials with low glass transition temperatures and high solubility for application in solid-state dye-sensitized solar cells. ACS Nano 2012, 6, 1455–1462. [Google Scholar] [CrossRef]
- Tomkeviciene, A.; Puckyte, G.; Grazulevicius, J.V.; Degbia, M.; Tran-Van, F.; Schmaltz, B.; Jankauskas, V.; Bouclé, J. Diphenylamino-substituted derivatives of 9-phenylcarbazole as glass-forming hole-transporting materials for solid state dye sensitized solar cells. Synth. Met. 2012, 162, 1997–2004. [Google Scholar] [CrossRef]
Disclaimer/Publisher’s Note: The statements, opinions, and data contained in all publications are solely those of the individual author(s) and contributor(s) and not of MDPI and/or the editor(s). MDPI and/or the editor(s) disclaim responsibility for any injury to people or property resulting from any ideas, methods, instructions, or products referred to in the content. |

















Disclaimer/Publisher’s Note: The statements, opinions and data contained in all publications are solely those of the individual author(s) and contributor(s) and not of MDPI and/or the editor(s). MDPI and/or the editor(s) disclaim responsibility for any injury to people or property resulting from any ideas, methods, instructions or products referred to in the content. |
© 2024 by the authors. Licensee MDPI, Basel, Switzerland. This article is an open access article distributed under the terms and conditions of the Creative Commons Attribution (CC BY) license (https://creativecommons.org/licenses/by/4.0/).
Share and Cite
Ibrayeva, A.; Abibulla, U.; Imanbekova, Z.; Baptayev, B.; O’Reilly, R.J.; Balanay, M.P. Advancements in Carbazole-Based Sensitizers and Hole-Transport Materials for Enhanced Photovoltaic Performance. Molecules 2024, 29, 5035. https://doi.org/10.3390/molecules29215035
Ibrayeva A, Abibulla U, Imanbekova Z, Baptayev B, O’Reilly RJ, Balanay MP. Advancements in Carbazole-Based Sensitizers and Hole-Transport Materials for Enhanced Photovoltaic Performance. Molecules. 2024; 29(21):5035. https://doi.org/10.3390/molecules29215035
Chicago/Turabian StyleIbrayeva, Ayagoz, Urker Abibulla, Zulfiya Imanbekova, Bakhytzhan Baptayev, Robert J. O’Reilly, and Mannix P. Balanay. 2024. "Advancements in Carbazole-Based Sensitizers and Hole-Transport Materials for Enhanced Photovoltaic Performance" Molecules 29, no. 21: 5035. https://doi.org/10.3390/molecules29215035
APA StyleIbrayeva, A., Abibulla, U., Imanbekova, Z., Baptayev, B., O’Reilly, R. J., & Balanay, M. P. (2024). Advancements in Carbazole-Based Sensitizers and Hole-Transport Materials for Enhanced Photovoltaic Performance. Molecules, 29(21), 5035. https://doi.org/10.3390/molecules29215035

