Elucidation of the Effect of Solar Light on the Near-Infrared Excitation Raman Spectroscopy-Based Analysis of Fabric Dyes
Abstract
1. Introduction
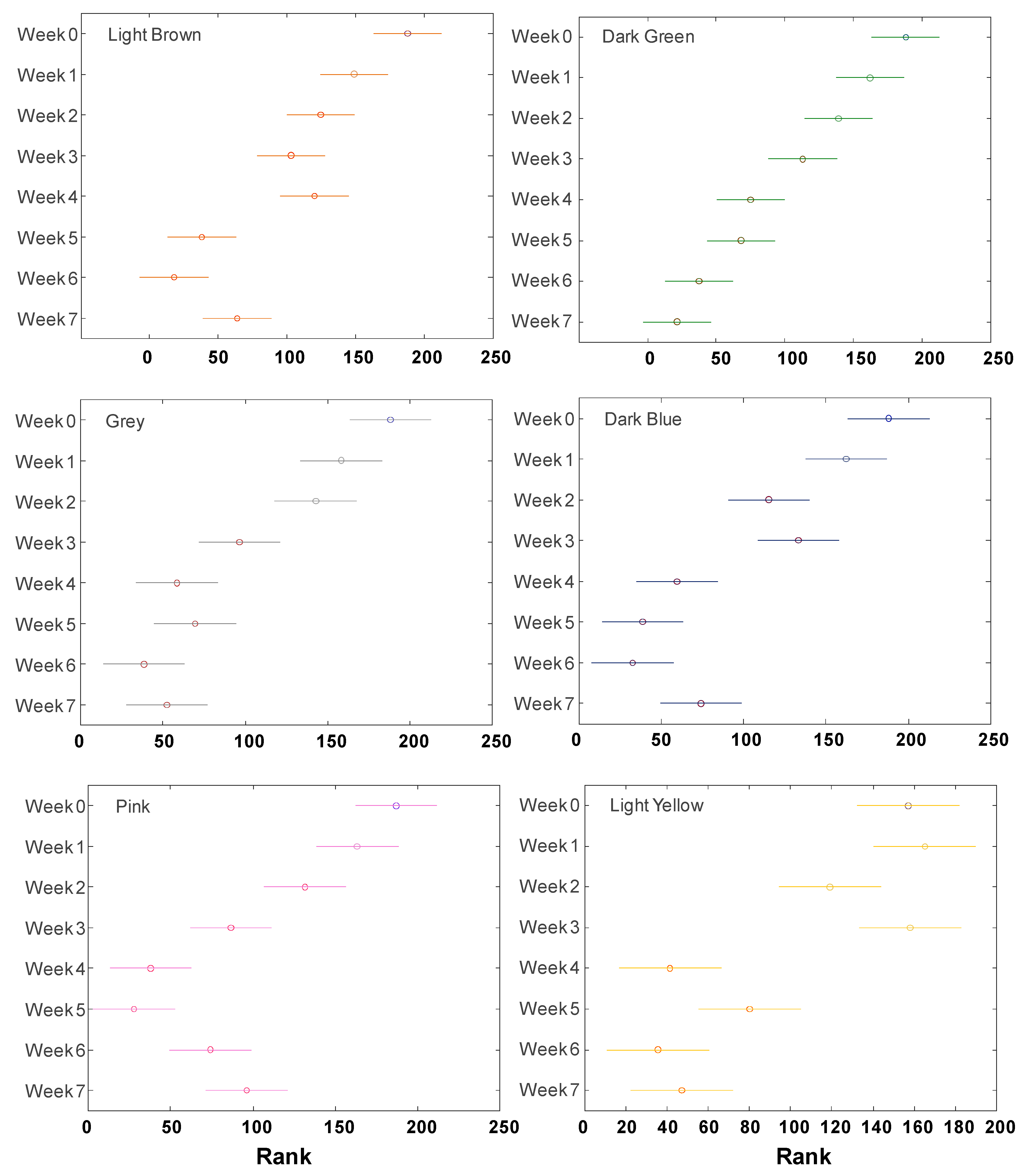
2. Results and Discussion
3. Experimental
3.1. Materials
3.2. Methods for Exposure
3.3. Near-Infrared Excitation Raman Spectroscopy (NIeRS)
3.3.1. Spectral Processing and Statistical Analysis
3.3.2. Spectral Processing and Statistical Analysis
4. Conclusions
Supplementary Materials
Author Contributions
Funding
Institutional Review Board Statement
Informed Consent Statement
Data Availability Statement
Conflicts of Interest
References
- Saferstein, R. Hairs, fibers, and paint. In Criminalistics: An Introduction to Forensic Science, 5th ed.; Schuster, P.-H.-S., Ed.; Springer: Jersey City, NJ, USA, 1995; pp. 202–242. [Google Scholar]
- Robertson, J. Forensic and microscopic examination of human hair. In Forensic Examination of Hair; Francis, T.A., Ed.; Taylor and Francis Group: London, UK, 1999; pp. 79–154. [Google Scholar]
- Casadio, F.; Leona, M.; Lombardi, J.R.; Van Duyne, R. Identification of organic colorants in fibers, paints, and glazes by surface enhanced Raman spectroscopy. Acc Chem. Res. 2010, 43, 782–791. [Google Scholar] [CrossRef] [PubMed]
- Luber, C.K.; Doty, K.C.; Bueno, J.; Halamkova, L.; Lednev, I.K. Vibrational Spectroscopy: Recent Developments to Revolutionize Forensic Science. Anal. Chem. 2014, 87, 306–327. [Google Scholar]
- Bierman, T.W. Blocks of Colour IV: The evidential value of blue and red cotton fibres. Sci. Justice 2007, 47, 68–87. [Google Scholar] [CrossRef] [PubMed]
- Macrae, R.; Dudley, R.J.; Smalldon, K.W. The characterization of dyestuffs on wool fibers with special reference to microspectrophotometry. J. For. Sci. 1976, 27, 117–129. [Google Scholar] [CrossRef]
- Jakobsson, G.; Kronstrand, R. Segmental analysis of amphetamines in hair using a sensitive UHPLC-MS/MS method. Drug Test Anal. 2013, 6, 22–29. [Google Scholar] [CrossRef]
- Tzatzarakis, M.N.; Barbounis, E.G.; Kavvalakis, M.P.; Vakonaki, E.; Renieri, E.; Vardavas, A.I.; Tsatsakis, A.M. Rapid method for the simultaneous determination of DDTs and PCBs in hair of children by headspace solid phase microextraction and gas chromatography-mass spectrometry (HSSPME/GC-MS). Drug Test Anal. 2013, 6, 85–92. [Google Scholar] [CrossRef]
- Casadio, F.; Daher, C.; Bellot-Gurlet, L. Raman Spectroscopy of cultural heritage Materials: Overview of Applications and New Frontiers in Instrumentation, Sampling Modalities, and Data Processing. Top. Curr. Chem. 2016, 374, 62. [Google Scholar] [CrossRef]
- Brosseau, C.L.; Gambardella, A.; Casadio, F.; Grzywacz, C.M.; Wouters, J.; Van Duyne, R.P. Ad-hoc surface-enhanced Raman spectroscopy methodologies for the detection of artist dyestuffs: Thin layer chromatography-surface enhanced Raman spectroscopy and in situ on the fiber analysis. Anal. Chem. 2009, 81, 3056–3062. [Google Scholar] [CrossRef]
- Idone, A.; Gulmini, M.; Henry, A.I.; Casadio, F.; Chang, L.; Appolonia, L.; Van Duyne, R.P.; Shah, N.C. Silver colloidal pastes for dye analysis of reference and historical textile fibers using direct, extractionless, non-hydrolysis surface-enhanced Raman spectroscopy. Analyst 2013, 138, 5895–5903. [Google Scholar] [CrossRef]
- Edwards, H.G.M.; Farwell, D.W.; Williams, A.C. FT-Raman spectrum of cotton: A polymeric biomolecular analysis. Spectrochim Acta A Mol. Spectrosc. 1994, 50, 807–811. [Google Scholar] [CrossRef]
- Grieve, M.C.; Biermann, T.W.; Schaub, K. The individuality of fibres used to provide forensic evidence—Not all blue polyesters are the same. Sci. Justice 2005, 45, 13–28. [Google Scholar] [CrossRef] [PubMed]
- Haes, A.J.; Haynes, C.; McFarland, A.D.; Schatz, G.C.; Van Duyne, R.P.; Zou, S. Plasmonic Materials for Surface-Enhanced Sensing and Spectroscopy. MRS Bull. 2005, 30, 368–375. [Google Scholar] [CrossRef]
- McFarland, A.D.; Young, M.A.; Dieringer, J.A.; Van Duyne, R.P. Wavelength-scanned surface-enhanced Raman excitation spectroscopy. J. Phys. Chem. B 2005, 109, 11279–11285. [Google Scholar] [CrossRef]
- Wustholz, K.L.; Henry, A.-I.; McMahon, J.M.; Freeman, R.G.; Valley, N.; Piotti, M.E.; Natan, M.J.; Schatz, G.C.; Van Duyne, R.P. Structure—Activity relationships in gold nanoparticle dimers and trimers for surface-enhanced Raman spectroscopy. J. Am. Chem. Soc. 2010, 132, 10903–10910. [Google Scholar] [CrossRef]
- Kleinman, S.L.; Frontiera, R.R.; Henry, A.I.; Dieringer, J.A.; Van Duyne, R.P. Creating, characterizing, and controlling chemistry with SERS hot spots. Phys. Chem. Chem. Phys. 2013, 15, 21–36. [Google Scholar] [CrossRef]
- Kleinman, S.L.; Sharma, B.; Blaber, M.G.; Henry, A.I.; Valley, N.; Freeman, R.G.; Natan, M.J.; Schatz, G.C.; Van Duyne, R.P. Structure enhancement factor relationships in single gold nanoantennas by surface-enhanced Raman excitation spectroscopy. J. Am. Chem. Soc. 2013, 135, 301–308. [Google Scholar] [CrossRef] [PubMed]
- Sharma, B.; Frontiera, R.R.; Henry, A.I.; Ringe, E.; Van Duyne, R.P. SERS: Materials, applications, and the future. Mater. Today 2012, 15, 16–25. [Google Scholar] [CrossRef]
- Valley, N.; Greeneltch, N.; Van Duyne, R.P.; Schatz, G.C. A look at the origin and magnitude of the chemical contribution to the enhancement mechanism of surface-enhanced Raman spectroscopy (SERS): Theory and experiment. J. Phys. Chem. Lett. 2013, 4, 2599–2604. [Google Scholar] [CrossRef]
- Moskovits, M. Surface roughness and the enhanced intensity of Raman scattering by molecules adsorbed on metals. J. Chem. Phys. 1978, 69, 4159–4161. [Google Scholar] [CrossRef]
- Kneipp, K.; Wang, Y.; Kneipp, H.; Perelman, L.T.; Itzkan, I.; Dasari, R.R.; Feld, M.S. Single molecule detection using surface-enhanced Raman scattering (SERS). Phys. Rev. Lett. 1997, 78, 1667. [Google Scholar] [CrossRef]
- Higgins, S.; Kurouski, D. Surface-enhanced Raman spectroscopy enables highly accurate identification of different brands, types and colors of hair dyes. Talanta 2022, 251, 123762. [Google Scholar] [CrossRef] [PubMed]
- Esparza, I.; Wang, R.; Kurouski, D. Surface-Enhanced Raman Analysis of Underlaying Colorants on Redyed Hair. Anal. Chem. 2019, 91, 7313–7318. [Google Scholar] [CrossRef] [PubMed]
- Holman, A.P.; Kurouski, D. Surface-enhanced Raman spectroscopy enables confirmatory detection of dyes on hair submerged in hypolimnion water for up to twelve weeks. J. Forensic. Sci. 2023, 68, 2163–2168. [Google Scholar] [CrossRef] [PubMed]
- Holman, A.P.; Peterson, M.; Linhart, E.; Kurouski, D. Using surface-enhanced Raman spectroscopy to probe artificial dye degradation on hair buried in multiple soils for up to eight weeks. Sci. Rep. 2024, 14, 6469. [Google Scholar] [CrossRef] [PubMed]
- Peterson, M.; Kurouski, D. Non-Destructive Identification of Dyes on Fabric Using Near-Infrared Raman Spectroscopy. Molecules 2023, 28, 7864. [Google Scholar] [CrossRef]
- Bober, S.; Kurouski, D. Near-infrared excitation Raman analysis of Underlying colorants on redyed fabric. Anal. Methods 2024, 16, 1069–1073. [Google Scholar] [CrossRef]
- Holman, A.; Kurouski, D. The effects of sun exposure on colorant identification of permanently and semi-permanently dyed hair. Sci. Rep. 2023, 13, 2168. [Google Scholar] [CrossRef]
- Kurouski, D.; Zaleski, S.; Casadio, F.; Van Duyne, R.P.; Shah, N.C. Tip-enhanced Raman spectroscopy (TERS) for in situ identification of indigo and iron gall ink on paper. J. Am. Chem. Soc. 2014, 136, 8677–8684. [Google Scholar] [CrossRef]
- Hager, E.; Farber, C.; Kurouski, D. Forensic identification of urine on cotton and polyester fabric with a hand-held Raman spectrometer. Forensic Chem. 2018, 9, 44–49. [Google Scholar] [CrossRef]
- Kurouski, D.; Van Duyne, R.P. In situ detection and identification of hair dyes using surface-enhanced Raman spectroscopy (SERS). Anal. Chem. 2015, 87, 2901–2906. [Google Scholar] [CrossRef]



| Samples | Vibration Bands (cm−1) | 
|---|---|
| Pink | 379, 437, 494, 519, 567, 611, 648, 720, 828, 969, 995, 1095, 1119, 1183, 1200, 1215, 1331, 1353, 1377, 1409, 1469, 1579 *, 1601 | 
| Grey | 380, 438, 454, 496, 520, 567, 611, 829, 969, 990, 1096, 1120, 1183, 1215, 1227, 1243, 1330, 1407, 1470, 1560, 1588 | 
| Light Yellow | 380, 438, 455 *, 495, 519, 567, 610, 661 *, 724, 830, 969, 995, 1096, 1115, 1183, 1202 *, 1215, 1227, 1238, 1330, 1409, 1560, 1602 | 
| Dark Green | 379, 437, 454*, 497, 518, 566, 606, 830, 966, 994, 1096, 1119, 1181, 1215, 1225, 1291, 1337, 1407, 1545, 1590 | 
| Dark Blue | 379, 437, 453 *, 485, 517, 566, 602, 662 *, 723, 749, 815, 830, 969, 993, 1032 *, 1119, 1183, 1215, 1243, 1330, 1406, 1565, 1601 | 
| Light Brown | 380, 438, 455 *, 492, 518, 565, 610, 701, 830, 969, 1000, 1033, 1100, 1119, 1183, 1190, 1215, 1235, 1243, 1331, 1407, 1565 | 
| Undyed | 379, 437, 494, 518, 566, 610, 723, 900, 968, 995, 1095, 1118, 1149, 1237, 1289, 1336, 1378, 1475 and 1602 | 
| Dark Blue | Dark Green | Gray | Light Brown | Light Yellow | Pink | |
|---|---|---|---|---|---|---|
| Week | TPR (%) | |||||
| 0 | 100 | 100 | 100 | 100 | 100 | 100 | 
| 1 | 100 | 100 | 100 | 100 | 100 | 100 | 
| 2 | 96 | 96 | 100 | 100 | 100 | 100 | 
| 3 | 100 | 100 | 100 | 100 | 100 | 100 | 
| 4 | 92 | 68 | 96 | 100 | 90 | 72 | 
| 5 | 96 | 96 | 92 | 96 | 96 | 92 | 
| 6 | 100 | 68 | 84 | 100 | 56 | 100 | 
| 7 | 80 | 96 | 80 | 100 | 84 | 100 | 
| Disclaimer/Publisher’s Note: The statements, opinions and data contained in all publications are solely those of the individual author(s) and contributor(s) and not of MDPI and/or the editor(s). MDPI and/or the editor(s) disclaim responsibility for any injury to people or property resulting from any ideas, methods, instructions or products referred to in the content. | 
© 2024 by the authors. Licensee MDPI, Basel, Switzerland. This article is an open access article distributed under the terms and conditions of the Creative Commons Attribution (CC BY) license (https://creativecommons.org/licenses/by/4.0/).
Share and Cite
Bober, S.; Kurouski, D. Elucidation of the Effect of Solar Light on the Near-Infrared Excitation Raman Spectroscopy-Based Analysis of Fabric Dyes. Molecules 2024, 29, 5177. https://doi.org/10.3390/molecules29215177
Bober S, Kurouski D. Elucidation of the Effect of Solar Light on the Near-Infrared Excitation Raman Spectroscopy-Based Analysis of Fabric Dyes. Molecules. 2024; 29(21):5177. https://doi.org/10.3390/molecules29215177
Chicago/Turabian StyleBober, Shannon, and Dmitry Kurouski. 2024. "Elucidation of the Effect of Solar Light on the Near-Infrared Excitation Raman Spectroscopy-Based Analysis of Fabric Dyes" Molecules 29, no. 21: 5177. https://doi.org/10.3390/molecules29215177
APA StyleBober, S., & Kurouski, D. (2024). Elucidation of the Effect of Solar Light on the Near-Infrared Excitation Raman Spectroscopy-Based Analysis of Fabric Dyes. Molecules, 29(21), 5177. https://doi.org/10.3390/molecules29215177
 
        


 
       