Next Article in Journal
Cytotoxic and Antibacterial Activity of Koninginins Isolated from the Mangrove-Derived Endophytic Fungus Trichoderma sp.
Previous Article in Journal
The CH3D Absorption Spectrum Near 1.58 μm: Extended Line Lists and Rovibrational Assignments
 
 
Font Type:
Arial Georgia Verdana
Font Size:
Aa Aa Aa
Line Spacing:
Column Width:
Background:
Review

Photo-Induced Aerobic Oxidation of C–H Bonds

Department of Chemistry, Fudan University, Shanghai 200438, China
*
Author to whom correspondence should be addressed.
Molecules 2024, 29(22), 5277; https://doi.org/10.3390/molecules29225277
Submission received: 11 October 2024 / Revised: 26 October 2024 / Accepted: 28 October 2024 / Published: 8 November 2024
(This article belongs to the Section Organic Chemistry)

Abstract

The photo-induced aerobic oxidation of C–H bonds has become an increasingly valuable strategy in organic synthesis, offering a green and efficient method for introducing oxygen into organic molecules. The utilization of molecular oxygen as an oxidant, coupled with visible-light photocatalysis, has gained significant attention due to its sustainability, atom economy, and environmentally benign nature. This review highlights the recent advancements in the field, focusing on the development of metal-free and transition-metal-based photocatalytic systems and novel photosensitizers capable of promoting selective C–H bond oxidation. The mechanistic pathways involved in various substrate oxidations, including benzylic, alkyl, alkene, and alkyne C–H bond transformations, are discussed. This review concludes with insights into the potential for integrating photocatalysis with renewable energy sources, positioning photo-induced aerobic oxidation as a cornerstone of sustainable chemical processes.

1. Introduction

Oxygen-containing functional groups, such as hydroxyl, carbonyl, carboxyl, sulfonyl, and nitro groups, are widely found in various compounds in nature and confer specific chemical properties to organic compounds [1]. These functional groups allow organic molecules to exhibit different reactivities and selectivities under specific reaction conditions, facilitating further functional group transformations. Oxygen-containing functional groups have various reaction types and participate in many chemical reactions, playing an essential role in organic synthesis. Therefore, studying methods to synthesize these functional groups is of great importance for developing the field of organic synthesis [2].
Oxidation reactions, which introduce oxygen atoms into organic molecules, are the most direct way to construct oxygen-containing functional groups and synthesize oxygenated compounds [3]. These reactions have been widely applied in organic synthesis. However, most traditional methods rely on oxidants such as peroxides and metal oxides, which are often costly and have low atom economy [4]. With the advent of green chemistry, the search for environmentally friendly, non-polluting or low-polluting, efficient, and renewable oxidants that can operate under mild conditions has become increasingly important [5]. Oxygen, a usable oxidant in organic synthesis, stands out for its green, environmentally friendly nature. Additionally, reactions involving oxygen as an oxidant exhibit high atom economy [6]. Oxygen is abundant in nature and easily accessible, and its use in oxidation reactions does not introduce harmful substances, typically producing only water as a byproduct. Using oxygen as an oxidant can reduce environmental pollution and the risk of equipment corrosion [7]. However, the use of oxygen as an oxidant also presents challenges [8]. Some reactions require expensive catalysts and harsh reaction conditions. For example, the oxygen in sulfuric acid production requires vanadium pentoxide as a catalyst [9]. Additionally, in organic reactions, using oxygen as an oxidant can lead to over-oxidation, which prevents the formation of the desired oxidation product [10]. To some extent, these limitations have restricted the widespread application of oxygen as an oxidant [11]. Nevertheless, the potential for oxygen as an oxidant in organic synthesis remains immense, and, by optimizing reaction conditions and methods, it is possible to overcome existing drawbacks and achieve greener, more efficient synthetic processes [12].
Photocatalysis has demonstrated significant advantages in activating oxygen molecules. It is not only environmentally friendly and efficient but also avoids using harmful chemical reagents [13]. Furthermore, photocatalysis can harness sunlight—a renewable energy source—under mild conditions, significantly reducing operational costs. The photocatalytic process is highly tunable, allowing for optimization based on practical needs. It also offers high safety and broad application prospects, making it suitable for environmental protection and new energy, providing a green and sustainable solution for oxygen activation [14]. Below, we briefly overview visible-light photocatalysis in oxidation reactions.

2. Visible-Light Photocatalytic Oxidation Reactions

As an inexhaustible energy source in nature, visible light has the advantage of being green and non-polluting. Sunlight, the most common form of green energy, is used by plants in nature to conduct photosynthesis. In 1912, inspired by plant photosynthesis, the organic photochemistry pioneer Ciamician proposed using clean and environmentally friendly photochemical reactions to replace energy-intensive thermal synthesis reactions [15]. If sunlight can be properly utilized as a green energy source, it can significantly alleviate humanity’s energy problems. However, most organic compounds have poor absorption in the visible-light region and cannot directly absorb visible-light energy to undergo reactions. Therefore, we need to use organic or inorganic materials that absorb in the visible-light region as photosensitizers to facilitate reactions, overcoming this barrier and further advancing photochemical research [13].
Photosensitizers are molecules or compounds capable of absorbing light of a certain wavelength and reacting under light irradiation (Figure 1) [16]. They play a key role in photochemical reactions. Photosensitizers absorb light within specific wavelength ranges, which vary depending on the specific photosensitizer, typically focusing on the ultraviolet (250–420 nm) and visible-light (400–800 nm) regions. After absorbing light energy, photosensitizer molecules are excited to a higher energy state, where they exhibit high reactivity and can participate in various photochemical reactions. After reacting with a substrate, the photosensitizer typically returns to its ground state, allowing it to catalyze multiple reactions [17].

3. Alkane Oxidation

In 1984, Barbier et al. reported an early example of photocatalytic benzylic C–H bond oxidation, in which secondary C–H bonds in substrate 9 were oxidized to ketone 10 (Scheme 1) [18]. Under UV light irradiation, in the presence of FeCl3 and water, tetrahydronaphthalene 9 underwent oxidation to produce 1-tetralone 10. But, the substrate was limited to indane and diphenylmethane, and the oxidation products of toluene and ethylbenzene yielded less than 10%.
In 1996, Bakac reported that an aqueous solution containing toluene, UO22+, and oxygen formed benzaldehyde as the major product and a small amount of benzyl alcohol under visible-light irradiation [19]. In 2019, Arnold’s research group used a novel uranyl complex with a phenanthroline ligand to achieve the highly selective catalytic oxidation of benzylic C–H substrates 11 by tuning the electronic structure of the uranyl complex to modulate its photocatalytic performance (Scheme 2) [20].
In 2003, Fukuzumi’s group reported the photocatalytic oxidation of substituted toluene using oxygen (Scheme 3) [21]. In this reaction, using a mercury lamp (λ > 300 nm) and tetrafluorodicyanobenzene as the photocatalyst, p-cyanotoluene was oxidized to p-cyanobenzaldehyde by oxygen; using 9-phenyl-10-methylacridinium ion (Acr+-Ph) as the photocatalyst, p-xylene 16 was oxidized to p-methylbenzaldehyde 17.
In 2008, Itoh’s group reported a photo-promoted benzylic C–H bond oxidation, wherein substrates 18 with various substituents was oxidized at the benzylic position to the corresponding carbonyl compound 19 at the benzylic position with good yields (Scheme 4) [22]. This reaction required only a catalytic amount of iodine to catalyze the oxidation of substrates by oxygen. In 2010, Itoh’s group proposed that hydrobromic acid and calcium hydroxide could also catalyze this oxidative carbonylation reaction. Unlike previous reactions, which required a 500 W xenon lamp as a light source, this reaction proceeded under ordinary incandescent light irradiation [23]. In 2014, they published another study in which 2-chloroanthraquinone catalyzed benzylic C–H bond oxidation, achieving good yields and demonstrating good functional group tolerance across various substituted substrates 22 [24].
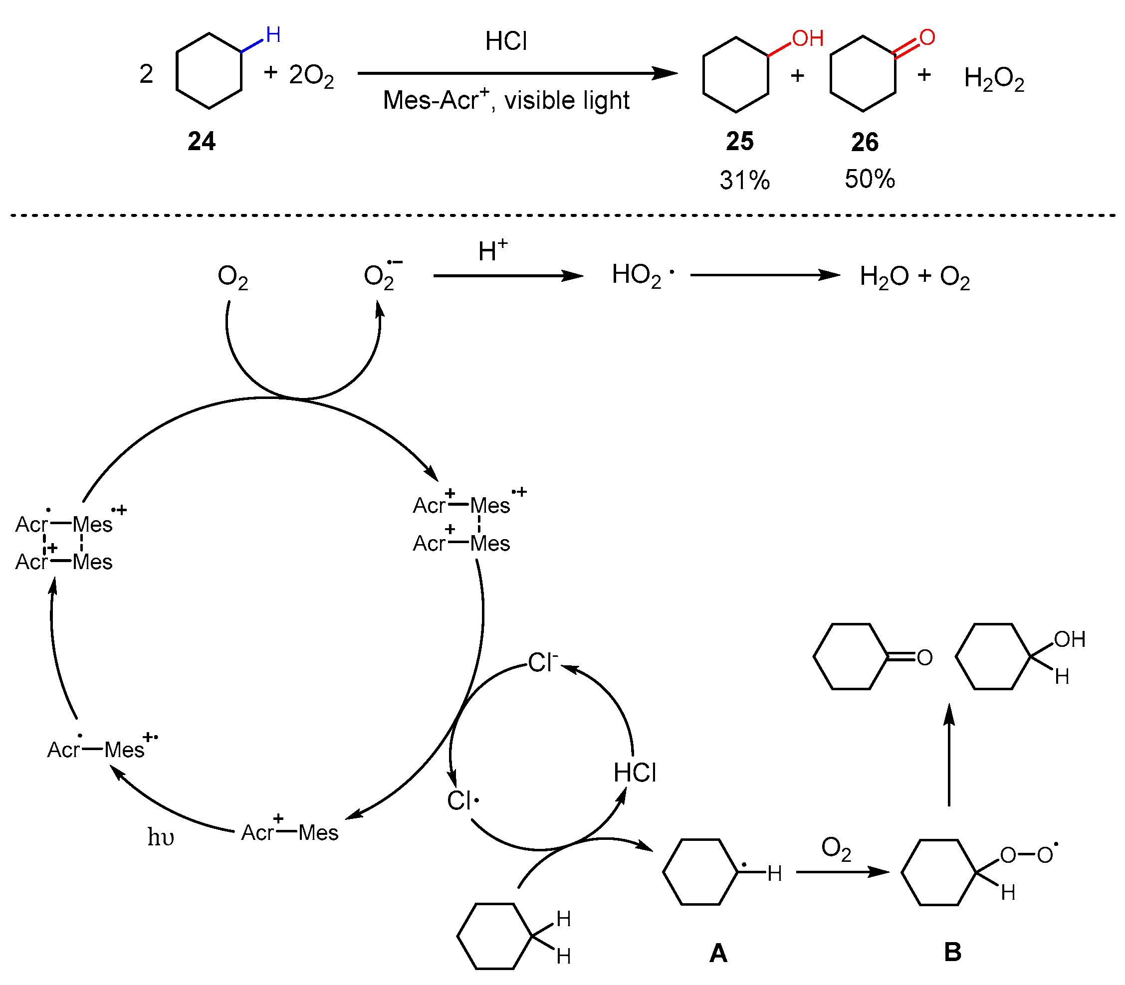
In 2011, Fukuzumi’s group used acridinium ion as the photocatalyst to achieve cyclohexane 24 oxidation at room temperature (Scheme 5) [25]. Mechanistic studies showed that the reaction involves hydrogen abstraction from cyclohexane by a chlorine radical, generating an alkyl radical. This alkyl radical subsequently reacts with oxygen to form the corresponding alcohol 25 and ketone 26 products.
In 2011, Ning Jiao’s group reported a visible-light- and ruthenium-salt-catalyzed oxidation of benzylic halides 27 (Scheme 6) [26]. The proposed mechanism begins with nucleophilic attack by 4-methoxypyridine to form a quaternary ammonium salt, which undergoes the single-electron transfer (SET) oxidation of Ru(I) to generate a radical intermediate. The 4-methoxypyridine then undergoes elimination to regenerate the catalyst while forming an alkyl radical intermediate, which undergoes subsequent oxidation reactions.
In 2014, Kanai’s group reported a light-promoted ruthenium-salt-catalyzed oxidation reaction. This reaction was compatible with that of various substituted 9H-fluorene derivatives 29, yielding 9-fluorenone 30 products (Scheme 7) [27].
In 2015, a joint effort by Lan’s and Rao’s groups resulted in the oxidation of aryl alkanes 31 using rhodium complexes as catalysts (Scheme 8) [28]. Various toluene derivatives 31 were oxidized to the corresponding benzaldehyde products 32 with good yields. Through computational modeling, the researchers proposed two possible mechanisms involving the key intermediate Rh2(TFA)4. In the first mechanism, Rh2(TFA)4 activates the C–H bond of the methyl group in the presence of fluoride, forming a four-membered ring transition state (TS1), followed by HF elimination to promote further reaction. In the second mechanism, trifluoroacetic acid induces C–H activation via coordination and hydrogen bonding, forming transition state TS2.
In 2015, Lei’s group reported a visible-light-mediated sp3 benzylic C–H oxidation reaction (Scheme 9) [29]. The reaction also utilized Acr+-Mes as a catalyst, achieving moderate-to-good yields of ketone derivatives 34 from various substrates 33. Based on previous studies and experimental results, they proposed a mechanism in which the photocatalyst Acr+-Mes is excited by blue light to generate the excited state [Acr+-Mes]*, which undergoes a SET process with the substrate to form a radical cation and [Acr+-Mes]•. [Acr+-Mes]• is subsequently oxidized back to its initial state by oxygen, thus completing the photocatalytic cycle. The radical cation loses a proton to form a radical, which then combines with O2 or O2 to generate a peroxide intermediate, which is dehydrated to form the ketone.
In 2016, Fukuzumi’s group discovered that benzoquinone can also act as a catalyst for the oxidation of cyclohexane 35, yielding a mixture of peroxides 38 as the major products (Scheme 10) [30]. The reaction of linear alkanes produced more complex mixtures with products from multiple positions.
In 2018, Jiang’s group developed a method for oxidizing secondary benzylic C–H bonds to ketones 46. Under blue-light irradiation, in the presence of FeCl3·6H2O and LiBr, substrates 45 such as ethylbenzene, fluorene, and oxanthrene were oxidized at the benzylic position to yield the desired products 46 with moderate-to-high yields (Scheme 11) [31]. Compared to reactions using FeCl3 alone, adding an equal amount of LiBr improved the reaction, producing the desired oxygenated products with higher yields. The authors proposed that the mechanism did not involve HAT by Cl· generated from photoexcited FeCl3 but instead proceeded via SET from the substrate to photoexcited iron. This was confirmed by the fact that the same oxidation reaction proceeded well in the presence of Fe(NO3)2 and FeSO4. Since FeCl3 as a photosensitizer can produce Cl·, both HAT and SET mechanisms are possibly involved in this reaction.
In 2021, Zeng’s group reported that inexpensive and readily available ferric chloride could serve as a photocatalyst to mediate the oxidative cleavage of aromatic hydrocarbons, yielding benzoic acid derivatives 48 (Scheme 12) [32]. Using only ferric chloride as a photocatalyst, various substituted toluenes 47 were oxidized under 390 nm LED-light irradiation, producing benzoic acids 48. Isopropylbenzene, cyclohexylbenzene, and other aromatic hydrocarbons also underwent good C-C bond cleavage in this catalytic system, converting to benzoic acid. The proposed mechanism involves iron’s photogeneration of chlorine or oxygen radicals, which abstracts a hydrogen atom to generate alkyl radicals. These alkyl radicals are then captured by oxygen, forming alcohol or peroxide intermediates, which are further oxidized to the final benzoic acid products.
In 2021, Shi’s group reported a method for the oxidation of aryl alkanes (Scheme 13) [33]. Using cerium salts as the photosensitizer, they achieved the oxidation of aryl alkanes 54 under mild conditions, with good to excellent yields across various substrates. They proposed a potential reaction mechanism. In this reaction, cerium salts play two roles: (1) Ce(III) reduces oxygen to form superoxide radical anions via a SET process, and (2) Ce(IV) oxidizes alcohols to alkoxy radicals via a ligand-to-metal charge transfer (LMCT) process. The alkoxy radical then abstracts hydrogen from the substrate, generating the benzyl radical intermediate A. Benzyl radical A reacts with superoxide to form peroxide anion B, which undergoes protonation and subsequent elimination to form the intermediate aldehyde. This aldehyde is further oxidized under light irradiation to form the final carboxylic acid product 55.
In 2022, the group led by Qingmin Wang reported a radical-mediated photocatalytic oxidation reaction that could oxidize benzylic positions in alkylbenzenes 56 to carbonyl groups under air and violet-LED-light irradiation (Scheme 14) [34]. Their study revealed that the presence of HCl was necessary for the reaction to proceed. The proposed mechanism suggests that substrate 56 is first excited by light, followed by a reaction between the excited substrate and the triplet oxygen to generate singlet oxygen. The singlet oxygen abstracts a hydrogen atom from HCl, producing a chlorine radical. The chlorine radical then abstracts a hydrogen atom from the substrate to generate a carbon radical, which reacts with oxygen to form the final carbonyl product 57.
In 2022, Jiang’s group utilized uranyl cations as photosensitizers and achieved the stepwise oxidation of benzylic positions, converting primary, secondary, and tertiary carbons 58 into carboxylic acids 61, ketones 60, and aldehydes 59, respectively (Scheme 15) [35].

4. Alkene Oxidation

Alkenes, which are unsaturated hydrocarbons containing C=C double bonds, exhibit unique reactivity due to their functional group structure. In organic synthesis, the double bonds in alkenes can participate in various addition reactions, such as hydrogenation, halogenation, and hydration, as well as oxidation reactions to produce aldehydes, carboxylic acids, and other important compounds. These reactive properties make alkenes key raw materials for the synthesis of polymers, rubber, and fine chemicals. In recent years, the visible-light-catalyzed oxidation of alkenes has developed rapidly, offering efficient catalytic conversion of alkenes into oxygenated compounds and providing new methods and avenues for organic synthesis.
In 2005, Fukuzumi’s group developed a method for the oxidative carbonylation of tetraphenylethylene 62, leading to C=C bond cleavage and the formation of aldehyde and ketone products 63 (Scheme 16) [36]. In 2006, they found that this reaction was also applicable to diphenylethylene-type compounds [37]. Mechanistic studies ruled out the involvement of singlet oxygen and confirmed via laser flash photolysis and low-temperature EPR experiments that the reaction proceeded via electron transfer from excited [Acr+-Mes]* to the alkene. They also isolated 1,2-dioxetane and confirmed its structure using NMR and IR spectroscopy. They proposed that [Acr+-Mes] is photoexcited to [Acr+-Mes]*, which undergoes SET with the alkene, generating an alkene radical cation. This radical cation couples with O2 to form 1,2-dioxetane, which subsequently undergoes C-O bond cleavage under photocatalysis to yield benzophenone.
In 2009, Itoh et al. reported an epoxidation reaction of alkenes using the peroxybenzoic acid generated during the oxidation of benzoic acid (Scheme 17) [38]. This reaction showed moderate-to-excellent yields for various aliphatic and aromatic alkenes 64, with yields reaching up to 99%.
In 2010, Itoh’s group reported a photocatalytic carbonylation reaction of styrenes using I2 as the catalyst (Scheme 18) [39]. This reaction demonstrated moderate-to-good yields for various styrene derivatives 66 and 1,2-disubstituted alkenes, producing the desired products 67.
In 2014, Xiao’s group reported a visible-light-induced photocatalytic oxidation–Pinacol rearrangement reaction (Scheme 19) [40], in which indoles 68 were converted into 2,2-disubstituted indole-3-ones 69 under mild conditions using Ru(bpy)3Cl2 as the catalyst. The indole substrate 68 was first oxidized to form the cation radical A, facilitated by photo excited Ru(II)* through a reductive quenching pathway. The resulting Ru(I) species is then reoxidized by molecular oxygen to regenerate Ru(II) and produce a superoxide radical anion. This superoxide radical anion can subsequently react with A to yield intermediates B or C. Proton transfer to form peroxide D, O–O bond cleavage to give the tertiary alcohol E, then chemospecific semipinacol rearrangement occurred to produce product 69.
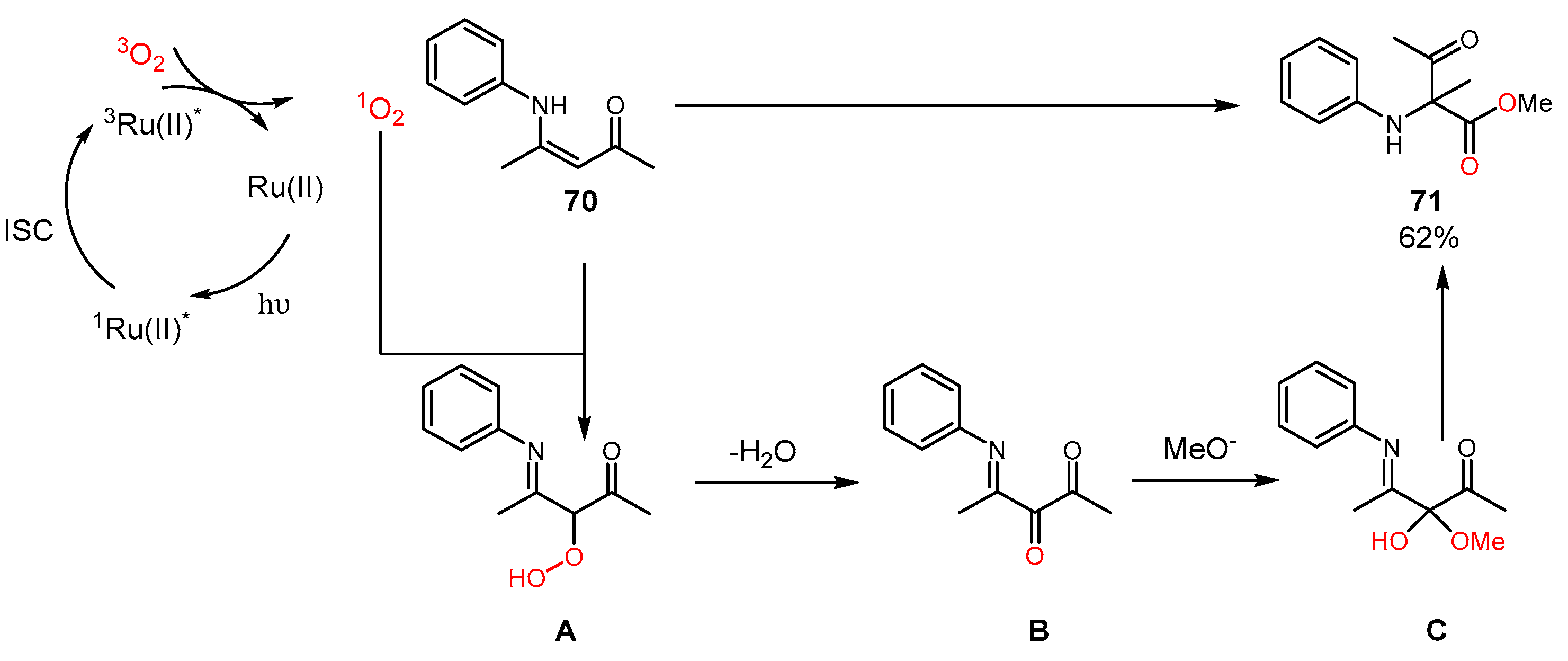
In the same year, Li’s group reported a similar rearrangement reaction of secondary enaminones (Scheme 20) [41]. In this reaction, the secondary enaminones 70 were oxidized by singlet oxygen, followed by addition to an alcohol and a 1,2-acyl migration. The reaction proceeds through the generation of singlet oxygen from excited 1Ru(II)*, which is produced via intersystem crossing (ISC) from the excited 3Ru(II)* after light absorption.
That same year, Wu’s group reported a similar 1,2-acyl migration reaction (Scheme 21) [42], using a designed platinum complex as the photocatalyst. This reaction was also catalyzed via a singlet oxygen mechanism.
In 2015, Yadav and colleagues reported a visible-light-mediated difunctionalization of styrene 74, yielding 5-aryl-2-imino-1,3-oxathiolanes 75 in the presence of Eosin Y (EY) (Scheme 22) [43]. Optimization experiments showed that green LEDs were more effective, suggesting that higher-intensity green light increased the photocatalytic activity of EY. The authors proposed a radical addition pathway, wherein the thiol radical adds to the styrene 74, followed by nucleophilic addition to produce the target product 75.
That same year, Yadav’s group also reported a reaction in which Eosin Y catalyzed the oxidative cleavage of C=C bonds in styrene derivatives 76 under visible light, with air as the oxidant (Scheme 23) [44]. This reaction enabled the efficient oxidation of styrene derivatives 76 and was used to achieve a one-pot synthesis of benzothiazolines 80.
In 2016, the Itoh group developed a one-pot synthesis method for epoxidizing alkenes 81 (Scheme 24) [45]. In this reaction, toluene 82 was photo-oxidized to form peroxybenzoic acid, which then oxidized alkenes 81 to produce epoxide products 83.
In 2017, the group led by Wang reported an oxidation reaction of styrene derivatives 84 using substituted disulfides as the photocatalyst, which yielded aldehydes and ketones 85 via carbon–carbon bond cleavage (Scheme 25) [46]. Based on DFT calculations, the authors proposed that the reaction proceeds through the homolytic cleavage of the S-S bond of the activated disulfide under visible light, followed by radical addition of the sulfur radical to the C=C bond.
In 2018, Meng’s group published a visible-light-induced epoxidation reaction of α,β-unsaturated ketones 86 with yields up to 94% (Scheme 26) [47]. Based on mechanistic studies, the authors proposed the following mechanism: Under light irradiation, the photosensitizer catalyzes the generation of singlet oxygen, which oxidizes amidines to form peroxyamidine intermediates. The peroxyamidine intermediates then oxidize the substrate 86 to yield the epoxide product 87.

5. Alkyne Oxidation

In 2010, the Itoh group used HBr as a catalyst to oxidize terminal alkynes 88 to α,α-dibromo ketones 89 (Scheme 27) [48]. This reaction was tolerant to a variety of electron-withdrawing and electron-donating substituents under mild conditions. The proposed mechanism begins with the generation of bromine radicals through the combined action of oxygen and light. These bromine radicals then add to the alkyne substrate 88 to form a vinyl radical intermediate, which reacts with oxygen and is reduced by hydrobromic acid to form an enol. The enol is further brominated to yield the final α,α-dibromo ketone product 89.
In 2011, Itoh’s group reported an oxidation reaction of aryl alkynes 90 (Scheme 28) [49]. This reaction used a magnesium bromide–ether complex as the photocatalyst. The reaction mechanism was similar to that of the HBr-catalyzed reaction [48], with the main difference being the method of bromine radical generation. The final α,α-dibromo ketone products E were hydrolyzed to produce 1,2-dicarbonyl compounds 91.
In 2015, Hwang’s group reported a visible-light-mediated, copper(I)-catalyzed C-N coupling reaction between anilines 92 and terminal alkynes 93, yielding α-keto amides 94 in one step (Scheme 29) [50].
In 2016, Peipei Sun’s group reported a visible-light-catalyzed alkyne oxidation reaction using Eosin Y as the photosensitizer. This reaction enabled the oxidation of alkynes 95 to 1,2-diones 96 under metal-free conditions, using oxygen as the oxidant (Scheme 30) [51]. The authors proposed the following mechanism: Eosin Y is excited by visible light to eosin Y* and undergoes single-electron oxidation of thiophenol to generate the thiophenol radical cation and Eosin Y radical anion. The Eosin Y radical anion is oxidized by oxygen to produce superoxide anions (O2). The thiophenol radical cation undergoes deprotonation by O2 to form a thiophenol radical. This radical then combines with oxygen, and the resulting intermediate reacts with 1,2-diphenylethyne 95 to generate a vinyl radical. The vinyl radical undergoes rearrangement, eliminating the thiophenol radical and forming the final 1,2-diketone product 96.

6. Conclusions and Perspectives

In conclusion, the photo-induced aerobic oxidation of C–H bonds has emerged as a powerful and green strategy in organic synthesis, providing efficient and selective oxidation methods under mild conditions. The use of oxygen as the terminal oxidant offers several advantages, such as high atom economy and environmentally benign byproducts, primarily water. Through the development of visible-light photocatalysis, significant advances have been made in activating otherwise inert C–H bonds, enabling the formation of valuable oxygen-containing functional groups without the need for expensive or toxic oxidants.
Despite the considerable progress made in this field, several challenges remain. One of the key obstacles is controlling the selectivity of oxidation to prevent over-oxidation, particularly in reactions involving complex molecules or sensitive functional groups. Additionally, although the development of metal-free photocatalysts and transition-metal complexes has broadened the scope of C–H oxidation reactions, the scalability and practicality of these methods for industrial applications need further improvement. Developing more robust and widely applicable photocatalytic systems that can operate efficiently under ambient conditions is essential for their future implementation. In the future, further exploration of reaction mechanisms, including detailed studies on reactive intermediates, will provide deeper insights into the pathways of C–H bond activation and oxidation. Moreover, integrating photocatalytic oxidation systems with renewable energy sources, such as solar energy, holds great promise for sustainable chemical manufacturing. By combining innovative catalyst design with green energy approaches, the photo-induced aerobic oxidation of C–H bonds could become a cornerstone of environmentally friendly and economically viable synthetic chemistry.

Author Contributions

H.C. collected the references and drafted the manuscript, F.L. reviewed and revised the manuscript. All authors have read and agreed to the published version of the manuscript.

Funding

This research was funded by National Science Foundation of China, grant number 21988101, 22071029.

Conflicts of Interest

The authors declare no conflict of interest.

References

  1. Jacobsen, E.N. Oxidation Catalysis: Bringing Together the Interests of Academic and Industrial Researchers. Adv. Synth. Catal. 2004, 346, 109. [Google Scholar] [CrossRef]
  2. Hermans, I.; Spier, E.S.; Neunschwanedr, U.; Turra, N.; Baiker, A. Selective oxidation catalysis: Opportunities and challenges. Top. Catal. 2009, 52, 1162–1174. [Google Scholar] [CrossRef]
  3. Janey, J.M. Recent Advances in Catalytic, Enantioselectivea-Aminations and a-Oxygenations of Carbonyl Compounds. Angew. Chem. Int. Ed. 2005, 44, 4292–4300. [Google Scholar] [CrossRef]
  4. Limberg, C. The Role of Radicals in Metal-Assisted Oxygenation Reactions. Angew. Chem. Int. Ed. 2003, 42, 5932–5954. [Google Scholar] [CrossRef]
  5. Bordeaux, M.; Galareau, A.; Drone, J. Catalytic, Mild, and Selective Oxyfunctionalization of Linear Alkanes: Current Challenges. Angew. Chem. Int. Ed. 2012, 51, 10712–10723. [Google Scholar] [CrossRef] [PubMed]
  6. Cheng, X.; Hu, X.; Lu, Z. Visible-Light-Promoted Aerobic Homogenous Oxygenation Reactions. Chin. J. Org. Chem. 2017, 31, 251–266. [Google Scholar] [CrossRef][Green Version]
  7. Stahl, S.S. Palladium Oxidase Catalysis: Selective Oxidation of Organic Chemicals by DirectDioxygen-Coupled Turnover. Angew. Chem. Int. Ed. 2004, 43, 3400–3420. [Google Scholar] [CrossRef] [PubMed]
  8. Mallat, T.; Baiker, A. Oxidation of Alcohols with Molecular Oxygen on Solid Catalysts. Chem. Rev. 2004, 104, 3037–3058. [Google Scholar] [CrossRef]
  9. Zhan, B.-Z.; Thompson, A. Recent Developments in the Aerobic Oxidation of Alcohols. Terahedron 2004, 60, 2917–2935. [Google Scholar] [CrossRef]
  10. Punniyamurthy, T.; Velusamy, S.; Igbal, J. Recent Advances in Transition Metal Catalyzed Oxidation of Organic Substrates with Molecular Oxygen. Chem. Rev. 2005, 105, 2329–2363. [Google Scholar] [CrossRef]
  11. Schultz, M.J.; Sigman, M.S. Recent Advances in Homogeneous Transition Metal-Catalyzed Aerobic Alcohol Oxidations. Tetrahedron 2006, 62, 8227–8241. [Google Scholar] [CrossRef]
  12. Shi, Z.; Zhang, C.; Tang, C.; Jiao, N. Recent Advances in Transition-Metal Catalyzed Reactions Using Molecular Oxygen as the Oxidant. Chem. Soc. Rev. 2012, 41, 3381–3430. [Google Scholar] [CrossRef] [PubMed]
  13. Narayanam, J.M.; Stephenson, C.R. Visible Light Photoredox Catalysis: Applications in Organic Synthesis. Chem. Soc. Rev. 2011, 40, 102–113. [Google Scholar] [CrossRef]
  14. Shi, L.; Xia, W. PhotoredoxFumctionalization of C–H Bonds Adjacent to a Nitrogen Atom. Chem. Soc. Rev. 2012, 41, 7687–7697. [Google Scholar] [CrossRef] [PubMed]
  15. Ciamician, G. The Photochemistry of the Futre. Science 1912, 36, 385–394. [Google Scholar] [CrossRef]
  16. Prier, C.K.; Rankic, D.A.; MacMillan, D.W. Visible Light Photoredox Catalysis with Transition Metal Complexes: Applications in Organic Synthesis. Chem. Rev. 2013, 113, 5322–5363. [Google Scholar] [CrossRef]
  17. Xuan, J.; Xiao, W.J. Visible-Light Photoredox Catalysis. Angew. Chem. Int. Ed. 2012, 51, 6828–6838. [Google Scholar] [CrossRef]
  18. Barbier, M. Selective Photoinduced Oxidation of Benzylic Methylen Groups through Uv Irradiation in Presence of Ferric-Chloride. Helv. Chim. Acta 1984, 67, 866–869. [Google Scholar] [CrossRef]
  19. Mao, Y.; Bakac, A. Photocatalytic oxidation of aromatic hydrocarbons. Inorg. Chem. 1996, 35, 3925–3930. [Google Scholar] [CrossRef]
  20. Arnold, P.L.; Purkis, J.M.; Rutkauskaite, R.; Kovacs, D.; Love, J.B.; Austin, J. Controlled Photocatalytic Hydrocarbon Oxidation by Uranyl Complexes. ChemCatChem. 2019, 11, 3786–3790. [Google Scholar] [CrossRef]
  21. Ohkubo, K.; Suga, K.; Morikawa, K.; Fukuzumi, S. Selective Oxygenation of Ring-Substituted Toluenes with Electron-Donating and -Withdrawing Substituents by Molecular Oxygen via Photoinduced Electron Transfer. J. Am. Chem. Soc. 2003, 125, 12850–12859. [Google Scholar] [CrossRef] [PubMed]
  22. Nakayama, H.; Itoh, A. Aerobic photooxidation of benzylamide in the presence of catalytic iodine. Synlett 2008, 2008, 675–678. [Google Scholar]
  23. Tada, N.; Ban, K.; Yoshida, M.; Hirashima, S.; Miura, T.; Itoh, A. Aerobic photooxidation of benzylamide under visible light irradiation with a combination of 48% aq HBr and Ca(OH)2. Tetrahedron Lett. 2010, 51, 6098–6100. [Google Scholar] [CrossRef]
  24. Itoh, I.; Matsusaki, Y.; Fujiya, A.; Tada, N.; Miura, T.; Itoh, A. 2-Chloroanthraquinone-catalyzed aerobic photo-oxidative synthesis of diacylamines from benzylamides. Tetrahedron Lett. 2014, 55, 3160–3162. [Google Scholar] [CrossRef]
  25. Ohkubo, K.; Fujimoto, A.; Fukuzumi, S. Metal-free oxygenation of cyclohexane with oxygen catalyzed by 9-mesityl-10-methylacridinium and hydrogen chloride under visible light irradiation. Chem. Commun. 2011, 47, 8515. [Google Scholar] [CrossRef]
  26. Su, Y.J.; Zhang, L.R.; Jiao, N. Utilization of Natural Sunlight and Air in the Aerobic Oxidation of Benzyl Halides. Org. Lett. 2011, 13, 2168–2171. [Google Scholar] [CrossRef] [PubMed]
  27. Kojima, M.; Oisaki, K.; Kanai, M. Chemoselective aerobic photo-oxidation of 9-fluorenes for the synthesis of 9-fluorenones. Tetrahedron Lett. 2014, 55, 4736–4738. [Google Scholar] [CrossRef]
  28. Lin, Y.; Zhu, L.; Lan, Y.; Rao, Y. Development of a Rhodium(II)-Catalyzed Chemoselective C(sp3)-H Oxygenation. Chem-Eur. J. 2015, 21, 14937–14942. [Google Scholar] [CrossRef]
  29. Yi, H.; Bian, C.; Hu, X.; Niu, L.; Lei, A. Visible light mediated efficient oxidative benzylic sp3 C–H to ketone derivatives obtained under mild conditions using O2. Chem. Commun. 2015, 51, 14046–14049. [Google Scholar] [CrossRef]
  30. Ohkubo, K.; Hirose, K.; Fukuzumi, S. Photooxygenation of alkanes by dioxygen with p-benzoquinone derivatives with high quantum yields. Photoch. Photobio. Sci. 2016, 15, 731–734. [Google Scholar] [CrossRef]
  31. Li, S.L.; Zhu, B.; Lee, R.; Qiao, B.K.; Jiang, Z.Y. Visible light-induced selective aerobic oxidative transposition of vinyl halides using a tetrahalogenoferrate(III) complex catalyst. Org. Chem. Front. 2018, 5, 380–385. [Google Scholar] [CrossRef]
  32. Zhang, G.X.; Zhang, Z.N.; Zeng, R. Photoinduced FeCl3-Catalyzed Alkyl Aromatics Oxidation toward Degradation of Polystyrene at Room Temperature. Chin. J. Chem. 2021, 39, 3225–3230. [Google Scholar] [CrossRef]
  33. Wang, C.C.; Zhang, G.X.; Zuo, Z.W.; Zeng, R.; Zhai, D.D.; Liu, F.; Shi, Z.J. Photo-induced deep aerobic oxidation of alkyl aromatics. Sci. China Chem. 2021, 64, 1487–1492. [Google Scholar] [CrossRef]
  34. Niu, K.K.; Shi, X.D.; Ding, L.; Liu, Y.X.; Song, H.J.; Wang, Q.M. HCl-Catalyzed Aerobic Oxidation of Alkylarenes to Carbonyls. ChemSusChem 2022, 15, e202102326. [Google Scholar] [CrossRef] [PubMed]
  35. Hu, D.Q.; Jiang, X.F. Stepwise benzylic oxygenation uranyl-photocatalysis. Green Chem. 2022, 24, 124–129. [Google Scholar] [CrossRef]
  36. Ohkubo, K.; Nanjo, T.; Fukuzumi, S. Efficient photocatalytic oxygenation of aromatic alkene to 1,2-dioxetane with oxygen via electron transfer. Org. Lett. 2005, 7, 4265–4268. [Google Scholar] [CrossRef]
  37. Ohkubo, K.; Nanjo, T.; Fukuzumi, S. Photocatalytic oxygenation of olefins with oxygen isolation of 1,2-dioxetane and the photocatalytic O-O bond cleavage. Catal. Today 2006, 117, 356–361. [Google Scholar] [CrossRef]
  38. Tada, N.; Okubo, H.; Miura, T.; Itoh, A. Metal-Free Epoxidation of Alkenes with Molecular Oxygen and Benzaldehyde under Visible Light Irradiation. Synlett 2009, 2009, 3024–3026. [Google Scholar] [CrossRef]
  39. Nobuta, T.; Hirashima, S.; Tada, N.; Miura, T.; Itoh, A. Facile Aerobic Photo-Oxidative Synthesis of Phenacyl Iodides and Bromides from Styrenes Using I2 or Aqueous HBr. Synlett 2010, 2010, 2335–2339. [Google Scholar]
  40. Ding, W.; Zhou, Q.Q.; Xuan, J.; Li, T.R.; Lu, L.Q.; Xiao, W.J. Photocatalytic aerobic oxidation/semipinacol rearrangement sequence: A concise route to the core of pseudoindoxyl alkaloids. Tetrahedron Lett. 2014, 55, 4648–4652. [Google Scholar] [CrossRef]
  41. Fan, W.; Li, P. Visible-Light-Mediated 1,2-Acyl Migration: The Reaction of Secondary Enamino Ketones with Singlet Oxygen. Angew. Chem. Int. Ed. 2014, 53, 12201–12204. [Google Scholar] [CrossRef] [PubMed]
  42. Meng, Q.Y.; Lei, T.; Zhao, L.M.; Wu, C.J.; Zhong, J.J.; Gao, X.W.; Tung, C.H.; Wu, L.Z. A Unique 1,2-Acyl Migration for the Construction of Quaternary Carbon by Visible Light Irradiation of Platinum(II) Polypyridyl Complex and Molecular Oxygen. Org. Lett. 2014, 16, 5968–5971. [Google Scholar] [CrossRef] [PubMed]
  43. Yadav, A.K.; Yadav, L.D.S. Visible-light-mediated difunctionalization of styrenes: An unprecedented approach to 5-aryl-2-imino-1,3-oxathiolanes. Green Chem. 2015, 17, 3515–3520. [Google Scholar] [CrossRef]
  44. Singh, A.K.; Chawla, R.; Yadav, L.D.S. Eosin Y catalyzed visible light mediated aerobic photo-oxidative cleavage of the C-C double bond of styrenes. Tetrahedron Lett. 2015, 56, 653–656. [Google Scholar] [CrossRef]
  45. Taguchi, M.; Nagasawa, Y.; Yamaguchi, E.; Tada, N.; Miura, T.; Itoh, A. One-pot epoxidation of alkenes using aerobic photoperoxidation of toluenes. Tetrahedron Lett. 2016, 57, 230–232. [Google Scholar] [CrossRef]
  46. Deng, Y.; Wei, X.J.; Wang, H.; Sun, Y.; Noël, T.; Wang, X. Disulfide-Catalyzed Visible-Light-Mediated Oxidative Cleavage of C=C Bonds and Evidence of an Olefin–Disulfide Charge-Transfer Complex. Angew. Chem. Int. Ed. 2017, 56, 832–836. [Google Scholar] [CrossRef] [PubMed]
  47. Wu, Y.F.; Zhou, G.L.; Meng, Q.W.; Tang, X.F.; Liu, G.Z.; Yin, H.; Zhao, J.N.; Yang, F.; Yu, Z.Y.; Luo, Y. Visible Light-Induced Aerobic Epoxidation of α,β-Unsaturated Ketones Mediated by Amidines. J. Org. Chem. 2018, 83, 13051–13062. [Google Scholar] [CrossRef]
  48. Nobuta, T.; Hirashima, S.; Tada, N.; Miura, T.; Itoh, A. Facile aerobic photo-oxidative syntheses of α,α-dibromoacetophenones from aromatic alkynes with 48% aq HBr. Tetrahedron Lett. 2010, 51, 4576–4578. [Google Scholar] [CrossRef]
  49. Nobuta, T.; Tada, N.; Hattori, K.; Hirashima, S.; Miura, T.; Itoh, A. Facile aerobic photo-oxidative synthesis of α-diketones from alkynes. Tetrahedron Lett. 2011, 52, 875–877. [Google Scholar] [CrossRef]
  50. Sagadevan, A.; Ragupathi, A.; Lin, C.C.; Hwu, J.R.; Hwang, K.C. Visible-light initiated copper(I)-catalysed oxidative C-N coupling of anilines with terminal alkynes: One-step synthesis of α-ketoamides. Green Chem. 2015, 17, 1113–1119. [Google Scholar] [CrossRef]
  51. Liu, X.; Cong, T.; Liu, P.; Sun, P.P. Synthesis of 1, 2-diketones via a metal-free, visible-light-induced aerobic photooxidation of alkynes. J. Org. Chem. 2016, 81, 7256–7261. [Google Scholar] [CrossRef] [PubMed]
Figure 1. Photosensitizers.
Figure 1. Photosensitizers.
Molecules 29 05277 g001
Scheme 1. Photo-induced benzylic C–H oxidation.
Scheme 1. Photo-induced benzylic C–H oxidation.
Molecules 29 05277 sch001
Scheme 2. [UVI]-catalyzed benzylic C–H oxidation.
Scheme 2. [UVI]-catalyzed benzylic C–H oxidation.
Molecules 29 05277 sch002
Scheme 3. Acridinium-catalyzed oxidation of toluene substrates.
Scheme 3. Acridinium-catalyzed oxidation of toluene substrates.
Molecules 29 05277 sch003
Scheme 4. Oxidation of benzylic C–H bonds under different conditions.
Scheme 4. Oxidation of benzylic C–H bonds under different conditions.
Molecules 29 05277 sch004
Scheme 5. Acridinium-ion-catalyzed oxidation of cycloalkanes.
Scheme 5. Acridinium-ion-catalyzed oxidation of cycloalkanes.
Molecules 29 05277 sch005
Scheme 6. [Rh(II)]-catalyzed oxidation of benzylic halides.
Scheme 6. [Rh(II)]-catalyzed oxidation of benzylic halides.
Molecules 29 05277 sch006
Scheme 7. [Ru(II)]-catalyzed oxidation of 9H-fluorene derivatives.
Scheme 7. [Ru(II)]-catalyzed oxidation of 9H-fluorene derivatives.
Molecules 29 05277 sch007
Scheme 8. [Rh(II)]-catalyzed oxidation of toluene substrates to aldehydes. ‡ means transition state, which was abbreviated by TS1 and TS2.
Scheme 8. [Rh(II)]-catalyzed oxidation of toluene substrates to aldehydes. ‡ means transition state, which was abbreviated by TS1 and TS2.
Molecules 29 05277 sch008
Scheme 9. Acridinium-catalyzed sp3 benzylic C–H bond oxidation.
Scheme 9. Acridinium-catalyzed sp3 benzylic C–H bond oxidation.
Molecules 29 05277 sch009
Scheme 10. Benzoquinone-catalyzed oxidation of alkanes.
Scheme 10. Benzoquinone-catalyzed oxidation of alkanes.
Molecules 29 05277 sch010
Scheme 11. Photocatalytic oxidation of benzylic secondary carbon to ketones.
Scheme 11. Photocatalytic oxidation of benzylic secondary carbon to ketones.
Molecules 29 05277 sch011
Scheme 12. Photocatalytic oxidative cleavage of alkyl aromatics.
Scheme 12. Photocatalytic oxidative cleavage of alkyl aromatics.
Molecules 29 05277 sch012
Scheme 13. Photocatalytic oxidation of aryl alkanes.
Scheme 13. Photocatalytic oxidation of aryl alkanes.
Molecules 29 05277 sch013
Scheme 14. Photocatalytic oxidation of sp3 benzylic C–H bonds to ketones.
Scheme 14. Photocatalytic oxidation of sp3 benzylic C–H bonds to ketones.
Molecules 29 05277 sch014
Scheme 15. Stepwise oxidation of benzylic positions catalyzed by uranyl cations.
Scheme 15. Stepwise oxidation of benzylic positions catalyzed by uranyl cations.
Molecules 29 05277 sch015
Scheme 16. Acridinium-catalyzed oxidation of sp2 C–H bonds.
Scheme 16. Acridinium-catalyzed oxidation of sp2 C–H bonds.
Molecules 29 05277 sch016
Scheme 17. Epoxidation of alkenes.
Scheme 17. Epoxidation of alkenes.
Molecules 29 05277 sch017
Scheme 18. Photocatalytic oxidative carbonylation of styrenes.
Scheme 18. Photocatalytic oxidative carbonylation of styrenes.
Molecules 29 05277 sch018
Scheme 19. Photocatalytic oxidation–Pinacol rearrangement.
Scheme 19. Photocatalytic oxidation–Pinacol rearrangement.
Molecules 29 05277 sch019
Scheme 20. Rearrangement reaction of secondary enaminones.
Scheme 20. Rearrangement reaction of secondary enaminones.
Molecules 29 05277 sch020
Scheme 21. Photocatalytic 1,2-acyl migration reaction.
Scheme 21. Photocatalytic 1,2-acyl migration reaction.
Molecules 29 05277 sch021
Scheme 22. Visible-light-catalyzed difunctionalization of styrene derivatives.
Scheme 22. Visible-light-catalyzed difunctionalization of styrene derivatives.
Molecules 29 05277 sch022
Scheme 23. Visible-light-catalyzed oxidative cleavage of styrene derivatives.
Scheme 23. Visible-light-catalyzed oxidative cleavage of styrene derivatives.
Molecules 29 05277 sch023
Scheme 24. One-pot epoxidation of alkenes.
Scheme 24. One-pot epoxidation of alkenes.
Molecules 29 05277 sch024
Scheme 25. Photocatalytic oxidative carbon–carbon bond cleavage of styrene derivatives.
Scheme 25. Photocatalytic oxidative carbon–carbon bond cleavage of styrene derivatives.
Molecules 29 05277 sch025
Scheme 26. Visible-light-induced epoxidation of α,β-unsaturated ketones.
Scheme 26. Visible-light-induced epoxidation of α,β-unsaturated ketones.
Molecules 29 05277 sch026
Scheme 27. HBr-catalyzed oxidation of terminal alkynes to α,α-dibromo ketones.
Scheme 27. HBr-catalyzed oxidation of terminal alkynes to α,α-dibromo ketones.
Molecules 29 05277 sch027
Scheme 28. Magnesium bromide–ether complex-catalyzed oxidation of aryl alkynes.
Scheme 28. Magnesium bromide–ether complex-catalyzed oxidation of aryl alkynes.
Molecules 29 05277 sch028
Scheme 29. Visible-light-catalyzed one-step synthesis of α-keto amides.
Scheme 29. Visible-light-catalyzed one-step synthesis of α-keto amides.
Molecules 29 05277 sch029
Scheme 30. Photocatalytic oxidative dicarbonylation of alkynes.
Scheme 30. Photocatalytic oxidative dicarbonylation of alkynes.
Molecules 29 05277 sch030
Disclaimer/Publisher’s Note: The statements, opinions and data contained in all publications are solely those of the individual author(s) and contributor(s) and not of MDPI and/or the editor(s). MDPI and/or the editor(s) disclaim responsibility for any injury to people or property resulting from any ideas, methods, instructions or products referred to in the content.

Share and Cite

MDPI and ACS Style

Chen, H.; Liu, F. Photo-Induced Aerobic Oxidation of C–H Bonds. Molecules 2024, 29, 5277. https://doi.org/10.3390/molecules29225277

AMA Style

Chen H, Liu F. Photo-Induced Aerobic Oxidation of C–H Bonds. Molecules. 2024; 29(22):5277. https://doi.org/10.3390/molecules29225277

Chicago/Turabian Style

Chen, Haolin, and Feng Liu. 2024. "Photo-Induced Aerobic Oxidation of C–H Bonds" Molecules 29, no. 22: 5277. https://doi.org/10.3390/molecules29225277

APA Style

Chen, H., & Liu, F. (2024). Photo-Induced Aerobic Oxidation of C–H Bonds. Molecules, 29(22), 5277. https://doi.org/10.3390/molecules29225277

Article Metrics

Back to TopTop