A CD Study of a Structure-Based Selection of N-Heterocyclic Bis-Carbene Gold(I) Complexes as Potential Ligands of the G-Quadruplex-Forming Human Telomeric hTel23 Sequence
Abstract
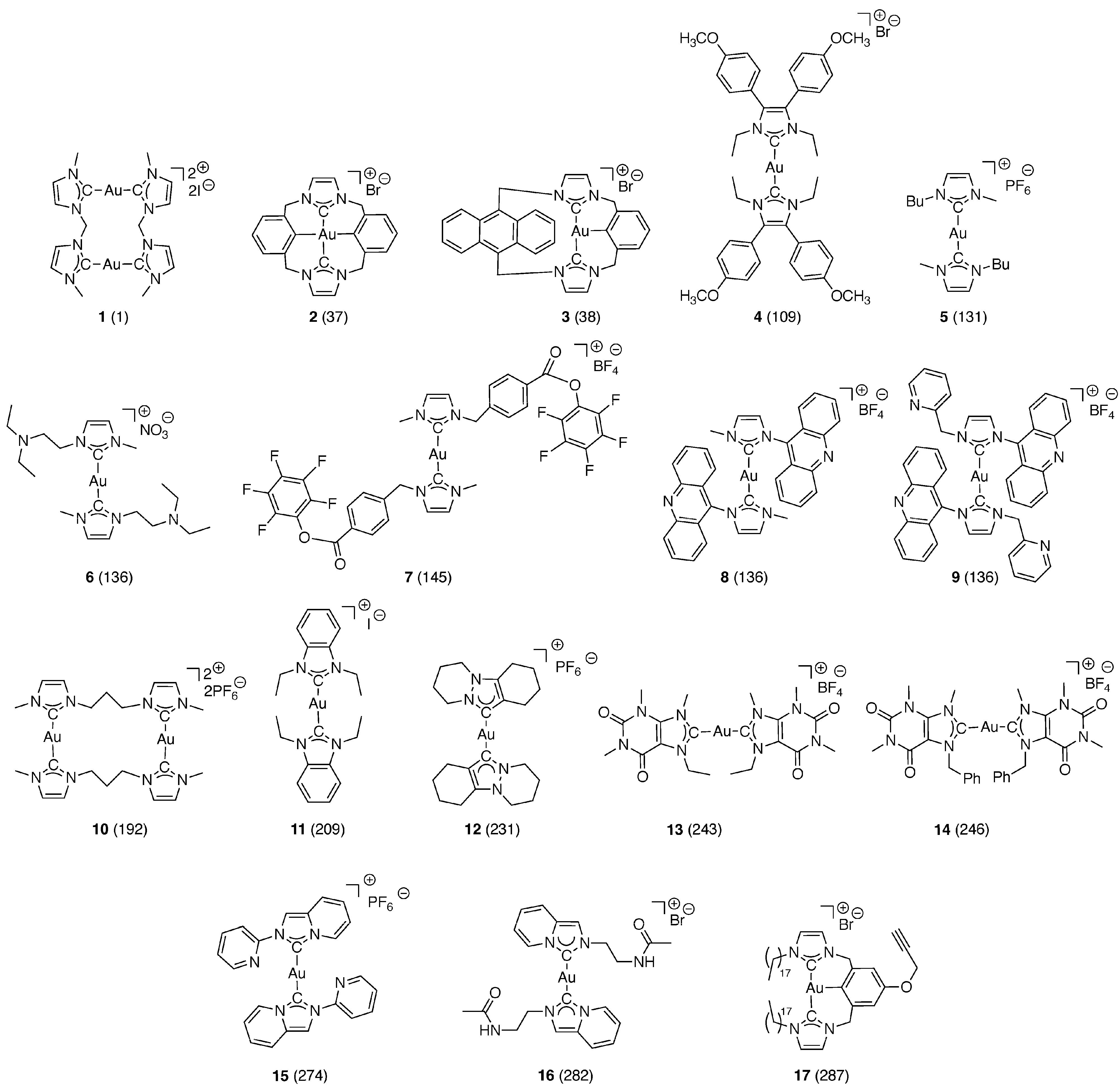
1. Introduction
2. Results and Discussion
2.1. Molecular Docking Simulations
2.2. Synthesis of Complexes 4, 9, 12 and 16
2.3. CD Titration Studies Among Complexes 4, 9, 12, and 16 and the Model Human Telomeric G-Quadruplex-Forming hTel23 Oligonucleotide
2.4. Non-Denaturing Polyacrylamide Gel Electrophoresis (PAGE)
3. Materials and Methods
3.1. General Methods
3.2. Chemistry
3.2.1. 2-(2-Acetamidoethyl)-2H-imidazo[1,5-a]pyridin-4-ium Chloride 19
3.2.2. 2-(2-Acetamidoethyl)-2H-imidazo[1,5-a]pyridin-4-ylium Hexafluorophosphate 20
3.2.3. Bis-[2-(2-Acetamidoethyl)-2H-imidazo[1,5-a]pyridin-4-ylium]-gold(I) Bromide 16
3.2.4. Preparation of the hTel23 Oligonucleotide
3.2.5. Preparation of the hTel23 G-Quadruplex
3.3. CD Experiments
3.4. Non-Denaturing Polyacrylamide Gel Electrophoresis (PAGE)
3.5. Molecular Docking Simulations
4. Conclusions
Supplementary Materials
Author Contributions
Funding
Institutional Review Board Statement
Informed Consent Statement
Data Availability Statement
Acknowledgments
Conflicts of Interest
References
- Kelland, L. The Resurgence of Platinum-Based Cancer Chemotherapy. Nat. Rev. Cancer 2007, 7, 573–584. [Google Scholar] [CrossRef] [PubMed]
- D’Errico, S.; Falanga, A.P.; Greco, F.; Piccialli, G.; Oliviero, G.; Borbone, N. State of Art in the Chemistry of Nucleoside-Based Pt(II) Complexes. Bioorg. Chem. 2023, 131, 106325. [Google Scholar] [CrossRef] [PubMed]
- D’Errico, S.; Falanga, A.P.; Capasso, D.; Di Gaetano, S.; Marzano, M.; Terracciano, M.; Roviello, G.N.; Piccialli, G.; Oliviero, G.; Borbone, N. Probing the DNA Reactivity and the Anticancer Properties of a Novel Tubercidin-Pt(II) Complex. Pharmaceutics 2020, 12, 627. [Google Scholar] [CrossRef] [PubMed]
- Galluzzi, L.; Senovilla, L.; Vitale, I.; Michels, J.; Martins, I.; Kepp, O.; Castedo, M.; Kroemer, G. Molecular Mechanisms of Cisplatin Resistance. Oncogene 2012, 31, 1869–1883. [Google Scholar] [CrossRef] [PubMed]
- Barabas, K.; Milner, R.; Lurie, D.; Adin, C. Cisplatin: A Review of Toxicities and Therapeutic Applications. Vet. Comp. Oncol. 2008, 6, 1–18. [Google Scholar] [CrossRef]
- Loreto, D.; Esposito, A.; Demitri, N.; Guaragna, A.; Merlino, A. Digging into Protein Metalation Differences Triggered by Fluorine Containing-Dirhodium Tetracarboxylate Analogues. Dalton Trans. 2022, 51, 7294–7304. [Google Scholar] [CrossRef]
- Loreto, D.; Esposito, A.; Demitri, N.; Guaragna, A.; Merlino, A. Reactivity of a Fluorine-Containing Dirhodium Tetracarboxylate Compound with Proteins. Dalton Trans. 2022, 51, 3695–3705. [Google Scholar] [CrossRef]
- Casini, A.; Messori, L. Molecular Mechanisms and Proposed Targets for Selected Anticancer Gold Compounds. Curr. Top. Med. Chem. 2011, 11, 2647–2660. [Google Scholar] [CrossRef]
- Ott, I. On the Medicinal Chemistry of Gold Complexes as Anticancer Drugs. Coord. Chem. Rev. 2009, 253, 1670–1681. [Google Scholar] [CrossRef]
- Cox, A.G.; Brown, K.K.; Arner, E.S.J.; Hampton, M.B. The Thioredoxin Reductase Inhibitor Auranofin Triggers Apoptosis through a Bax/Bak-Dependent Process That Involves Peroxiredoxin 3 Oxidation. Biochem. Pharmacol. 2008, 76, 1097–1109. [Google Scholar] [CrossRef]
- Kim, N.-H.; Park, H.J.; Oh, M.-K.; Kim, I.-S. Antiproliferative Effect of Gold(I) Compound Auranofin through Inhibition of STAT3 and Telomerase Activity in MDA-MB 231 Human Breast Cancer Cells. BMB Rep. 2013, 46, 59–64. [Google Scholar] [CrossRef] [PubMed]
- Oehninger, L.; Rubbiani, R.; Ott, I. N-Heterocyclic Carbene Metal Complexes in Medicinal Chemistry. Dalton Trans. 2013, 42, 3269–3284. [Google Scholar] [CrossRef] [PubMed]
- Porchia, M.; Pellei, M.; Marinelli, M.; Tisato, F.; Del Bello, F.; Santini, C. New Insights in Au-NHCs Complexes as Anticancer Agents. Eur. J. Med. Chem. 2018, 146, 709–746. [Google Scholar] [CrossRef] [PubMed]
- Karaaslan, M.G.; Aktaş, A.; Gürses, C.; Gök, Y.; Ateş, B. Chemistry, Structure, and Biological Roles of Au-NHC Complexes as TrxR Inhibitors. Bioorg. Chem. 2020, 95, 103552. [Google Scholar] [CrossRef] [PubMed]
- Bazzicalupi, C.; Ferraroni, M.; Papi, F.; Massai, L.; Bertrand, B.; Messori, L.; Gratteri, P.; Casini, A. Determinants for Tight and Selective Binding of a Medicinal Dicarbene Gold(I) Complex to a Telomeric DNA G-Quadruplex: A Joint ESI MS and XRD Investigation. Angew. Chem. Int. Ed. 2016, 55, 4256–4259. [Google Scholar] [CrossRef]
- Stefan, L.; Bertrand, B.; Richard, P.; Le Gendre, P.; Denat, F.; Picquet, M.; Monchaud, D. Assessing the Differential Affinity of Small Molecules for Noncanonical DNA Structures. ChemBioChem 2012, 13, 1905–1912. [Google Scholar] [CrossRef]
- Falanga, A.P.; D’Urso, A.; Travagliante, G.; Gangemi, C.M.A.; Marzano, M.; D’Errico, S.; Terracciano, M.; Greco, F.; De Stefano, L.; Dardano, P.; et al. Higher-Order G-Quadruplex Structures and Porphyrin Ligands: Toward a Non-Ambiguous Relationship. Int. J. Biol. Macromol. 2024, 268, 131801. [Google Scholar] [CrossRef]
- Marzano, M.; D’Errico, S.; Greco, F.; Falanga, A.P.; Terracciano, M.; Di Prisco, D.; Piccialli, G.; Borbone, N.; Oliviero, G. Polymorphism of G-Quadruplexes Formed by Short Oligonucleotides Containing a 3′-3′ Inversion of Polarity: From G:C:G:C Tetrads to π–π Stacked G-Wires. Int. J. Biol. Macromol. 2023, 253, 127062. [Google Scholar] [CrossRef]
- Frasson, I.; Pirota, V.; Richter, S.N.; Doria, F. Multimeric G-Quadruplexes: A Review on Their Biological Roles and Targeting. Int. J. Biol. Macromol. 2022, 204, 89–102. [Google Scholar] [CrossRef]
- Xu, Y.; Komiyama, M. G-Quadruplexes in Human Telomere: Structures, Properties, and Applications. Molecules 2023, 29, 174. [Google Scholar] [CrossRef]
- Kosiol, N.; Juranek, S.; Brossart, P.; Heine, A.; Paeschke, K. G-Quadruplexes: A Promising Target for Cancer Therapy. Mol. Cancer 2021, 20, 40. [Google Scholar] [CrossRef] [PubMed]
- Xu, J.; Huang, H.; Zhou, X. G-Quadruplexes in Neurobiology and Virology: Functional Roles and Potential Therapeutic Approaches. JACS Au 2021, 1, 2146–2161. [Google Scholar] [CrossRef] [PubMed]
- Lam, E.Y.N.; Beraldi, D.; Tannahill, D.; Balasubramanian, S. G-Quadruplex Structures Are Stable and Detectable in Human Genomic DNA. Nat. Commun. 2013, 4, 1796. [Google Scholar] [CrossRef] [PubMed]
- Lipps, H.J.; Rhodes, D. G-Quadruplex Structures: In Vivo Evidence and Function. Trends Cell Biol. 2009, 19, 414–422. [Google Scholar] [CrossRef] [PubMed]
- Awadasseid, A.; Ma, X.; Wu, Y.; Zhang, W. G-Quadruplex Stabilization via Small-Molecules as a Potential Anti-Cancer Strategy. Biomed. Pharmacother. 2021, 139, 111550. [Google Scholar] [CrossRef]
- Falanga, A.P.; Terracciano, M.; Oliviero, G.; Roviello, G.N.; Borbone, N. Exploring the Relationship between G-Quadruplex Nucleic Acids and Plants: From Plant G-Quadruplex Function to Phytochemical G4 Ligands with Pharmaceutic Potential. Pharmaceutics 2022, 14, 2377. [Google Scholar] [CrossRef]
- Platella, C.; Ghirga, F.; Zizza, P.; Pompili, L.; Marzano, S.; Pagano, B.; Quaglio, D.; Vergine, V.; Cammarone, S.; Botta, B.; et al. Identification of Effective Anticancer G-Quadruplex-Targeting Chemotypes through the Exploration of a High Diversity Library of Natural Compounds. Pharmaceutics 2021, 13, 1611. [Google Scholar] [CrossRef]
- Greco, F.; Musumeci, D.; Borbone, N.; Falanga, A.P.; D’Errico, S.; Terracciano, M.; Piccialli, I.; Roviello, G.N.; Oliviero, G. Exploring the Parallel G-Quadruplex Nucleic Acid World: A Spectroscopic and Computational Investigation on the Binding of the C-Myc Oncogene NHE III1 Region by the Phytochemical Polydatin. Molecules 2022, 27, 2997. [Google Scholar] [CrossRef]
- Mazzini, S.; Princiotto, S.; Musso, L.; Passarella, D.; Beretta, G.L.; Perego, P.; Dallavalle, S. Synthesis and Investigation of the G-Quadruplex Binding Properties of Kynurenic Acid Derivatives with a Dihydroimidazoquinoline-3,5-Dione Core. Molecules 2022, 27, 2791. [Google Scholar] [CrossRef]
- Dash, J.; Saha, P.; Fatma, K. Click and Combinatorial Approaches to Quadruplex Ligand Discovery. In Annual Reports in Medicinal Chemistry; Academic Press Inc.: Cambridge, MA, USA, 2020; Volume 54, pp. 287–324. [Google Scholar]
- Pirota, V.; Stasi, M.; Benassi, A.; Doria, F. An Overview of Quadruplex Ligands: Their Common Features and Chemotype Diversity. In Annual Reports in Medicinal Chemistry; Academic Press Inc.: Cambridge, MA, USA, 2020; Volume 54, pp. 163–196. [Google Scholar]
- Zegers, J.; Peters, M.; Albada, B. DNA G-Quadruplex-Stabilizing Metal Complexes as Anticancer Drugs. JBIC J. Biol. Inorg. Chem. 2022, 28, 117–138. [Google Scholar] [CrossRef]
- Guarra, F.; Marzo, T.; Ferraroni, M.; Papi, F.; Bazzicalupi, C.; Gratteri, P.; Pescitelli, G.; Messori, L.; Biver, T.; Gabbiani, C. Interaction of a Gold(I) Dicarbene Anticancer Drug with Human Telomeric DNA G-Quadruplex: Solution and Computationally Aided X-Ray Diffraction Analysis. Dalton Trans. 2018, 47, 16132–16138. [Google Scholar] [CrossRef]
- Tialiou, A.; Chin, J.; Keppler, B.K.; Reithofer, M.R. Current Developments of N-Heterocyclic Carbene Au(I)/Au(III) Complexes toward Cancer Treatment. Biomedicines 2022, 10, 1417. [Google Scholar] [CrossRef] [PubMed]
- Kaußler, C.; Wragg, D.; Schmidt, C.; Moreno-Alcántar, G.; Jandl, C.; Stephan, J.; Fischer, R.A.; Leoni, S.; Casini, A.; Bonsignore, R. “Dynamical Docking” of Cyclic Dinuclear Au(I) Bis-N-Heterocyclic Complexes Facilitates Their Binding to G-Quadruplexes. Inorg. Chem. 2022, 61, 20405–20423. [Google Scholar] [CrossRef] [PubMed]
- Sciortino, G.; Rodríguez-Guerra Pedregal, J.; Lledós, A.; Garribba, E.; Maréchal, J. Prediction of the Interaction of Metallic Moieties with Proteins: An Update for Protein-ligand Docking Techniques. J. Comput. Chem. 2018, 39, 42–51. [Google Scholar] [CrossRef] [PubMed]
- Liu, W.; Bensdorf, K.; Proetto, M.; Hagenbach, A.; Abram, U.; Gust, R. Synthesis, Characterization, and in Vitro Studies of Bis [1,3-Diethyl-4,5-Diarylimidazol-2-Ylidene]Gold(I/III) Complexes. J. Med. Chem. 2012, 55, 3713–3724. [Google Scholar] [CrossRef]
- Visbal, R.; Fernández-Moreira, V.; Marzo, I.; Laguna, A.; Gimeno, M.C. Cytotoxicity and Biodistribution Studies of Luminescent Au(I) and Ag(I) N-Heterocyclic Carbenes. Searching for New Biological Targets. Dalton Trans. 2016, 45, 15026–15033. [Google Scholar] [CrossRef]
- Sivaram, H.; Tan, J.; Huynh, H.V. Syntheses, Characterizations, and a Preliminary Comparative Cytotoxicity Study of Gold(I) and Gold(III) Complexes Bearing Benzimidazole- and Pyrazole-Derived N-Heterocyclic Carbenes. Organometallics 2012, 31, 5875–5883. [Google Scholar] [CrossRef]
- Nandy, A.; Dey, S.K.; Das, S.; Munda, R.N.; Dinda, J.; Saha, K. Das Gold (I) N-Heterocyclic Carbene Complex Inhibits Mouse Melanoma Growth by P53 Upregulation. Mol. Cancer 2014, 13, 57. [Google Scholar] [CrossRef]
- Gimeno, M.C.; Laguna, A.; Visbal, R. N-Heterocyclic Carbene Coinage Metal Complexes as Intense Blue-Green Emitters. Organometallics 2012, 31, 7146–7157. [Google Scholar] [CrossRef]
- Liu, W.; Bensdorf, K.; Hagenbach, A.; Abram, U.; Niu, B.; Mariappan, A.; Gust, R. Synthesis and Biological Studies of Silver N-Heterocyclic Carbene Complexes Derived from 4,5-Diarylimidazole. Eur. J. Med. Chem. 2011, 46, 5927–5934. [Google Scholar] [CrossRef]
- Hutt, J.T.; Aron, Z.D. Efficient, Single-Step Access to Imidazo[1,5-a]Pyridine N-Heterocyclic Carbene Precursors. Org. Lett. 2011, 13, 5256–5259. [Google Scholar] [CrossRef] [PubMed]
- Prencipe, F.; Zanfardino, A.; Di Napoli, M.; Rossi, F.; D’errico, S.; Piccialli, G.; Mangiatordi, G.F.; Saviano, M.; Ronga, L.; Varcamonti, M.; et al. Silver (I) N-heterocyclic Carbene Complexes: A Winning and Broad Spectrum of Antimicrobial Properties. Int. J. Mol. Sci. 2021, 22, 2497. [Google Scholar] [CrossRef]
- del Villar-Guerra, R.; Trent, J.O.; Chaires, J.B. G-Quadruplex Secondary Structure Obtained from Circular Dichroism Spectroscopy. Angew. Chem. 2018, 130, 7289–7293. [Google Scholar] [CrossRef]
- Carvalho, J.; Queiroz, J.A.; Cruz, C. Circular Dichroism of G-Quadruplex: A Laboratory Experiment for the Study of Topology and Ligand Binding. J. Chem. Educ. 2017, 94, 1547–1551. [Google Scholar] [CrossRef]
- Street, S.T.G.; Peñalver, P.; O’Hagan, M.P.; Hollingworth, G.J.; Morales, J.C.; Galan, M.C. Imide Condensation as a Strategy for the Synthesis of Core-Diversified G-Quadruplex Ligands with Anticancer and Antiparasitic Activity. Chem.—A Eur. J. 2021, 27, 7712–7721. [Google Scholar] [CrossRef]
- Pickard, A.J.; Liu, F.; Bartenstein, T.F.; Haines, L.G.; Levine, K.E.; Kucera, G.L.; Bierbach, U. Redesigning the DNA-Targeted Chromophore in Platinum–Acridine Anticancer Agents: A Structure–Activity Relationship Study. Chem.—A Eur. J. 2014, 20, 16174–16187. [Google Scholar] [CrossRef]
- Rachwal, P.A.; Fox, K.R. Quadruplex Melting. Methods 2007, 43, 291–301. [Google Scholar] [CrossRef]
- Kejnovská, I.; Bednářová, K.; Renčiuk, D.; Dvořáková, Z.; Školáková, P.; Trantírek, L.; Fiala, R.; Vorlíčková, M.; Sagi, J. Clustered Abasic Lesions Profoundly Change the Structure and Stability of Human Telomeric G-Quadruplexes. Nucleic Acids Res. 2017, 45, 4294–4305. [Google Scholar] [CrossRef]
- Víglaský, V.; Tlučková, K.; Bauer, Ľ. The First Derivative of a Function of Circular Dichroism Spectra: Biophysical Study of Human Telomeric G-Quadruplex. Eur. Biophys. J. 2011, 40, 29–37. [Google Scholar] [CrossRef]
- Suntharalingam, K.; White, A.J.P.; Vilar, R. Two Metals Are Better than One: Investigations on the Interactions between Dinuclear Metal Complexes and Quadruplex DNA. Inorg. Chem. 2010, 49, 8371–8380. [Google Scholar] [CrossRef]
- Kench, T.; Rakers, V.; Bouzada, D.; Gomez-González, J.; Robinson, J.; Kuimova, M.K.; Vázquez López, M.; Vázquez, M.E.; Vilar, R. Dimeric Metal-Salphen Complexes Which Target Multimeric G-Quadruplex DNA. Bioconjug. Chem. 2023, 34, 911–921. [Google Scholar] [CrossRef] [PubMed]
- Cadoni, E.; Magalhães, P.R.; Emídio, R.M.; Mendes, E.; Vítor, J.; Carvalho, J.; Cruz, C.; Victor, B.L.; Paulo, A. New (Iso)Quinolinyl-Pyridine-2,6-Dicarboxamide G-Quadruplex Stabilizers. A Structure-Activity Relationship Study. Pharmaceuticals 2021, 14, 669. [Google Scholar] [CrossRef] [PubMed]
- Fracchioni, G.; Vailati, S.; Grazioli, M.; Pirota, V. Structural Unfolding of G-Quadruplexes: From Small Molecules to Antisense Strategies. Molecules 2024, 29, 3488. [Google Scholar] [CrossRef] [PubMed]
- Binacchi, F.; Guarra, F.; Cirri, D.; Marzo, T.; Pratesi, A.; Messori, L.; Gabbiani, C.; Biver, T. On the Different Mode of Action of Au(I)/Ag(I)-NHC Bis-Anthracenyl Complexes Toward Selected Target Biomolecules. Molecules 2020, 25, 5446. [Google Scholar] [CrossRef]
- Brčić, J.; Plavec, J. ALS and FTD Linked GGGGCC-Repeat Containing DNA Oligonucleotide Folds into Two Distinct G-Quadruplexes. Biochim. Biophys. Acta (BBA)—Gen. Subj. 2017, 1861, 1237–1245. [Google Scholar] [CrossRef]
- Terracciano, M.; De Stefano, L.; Borbone, N.; Politi, J.; Oliviero, G.; Nici, F.; Casalino, M.; Piccialli, G.; Dardano, P.; Varra, M.; et al. Solid Phase Synthesis of a Thrombin Binding Aptamer on Macroporous Silica for Label Free Optical Quantification of Thrombin. RSC Adv. 2016, 6, 86762–86769. [Google Scholar] [CrossRef]
- Honisch, C.; Ragazzi, E.; Hussain, R.; Brazier, J.; Siligardi, G.; Ruzza, P. Interaction of a Short Peptide with G-Quadruplex-Forming Sequences: An SRCD and CD Study. Pharmaceutics 2021, 13, 1104. [Google Scholar] [CrossRef]
- Sun, Z.-Y.; Wang, X.-N.; Cheng, S.-Q.; Su, X.-X.; Ou, T.-M. Developing Novel G-Quadruplex Ligands: From Interaction with Nucleic Acids to Interfering with Nucleic Acid–Protein Interaction. Molecules 2019, 24, 396. [Google Scholar] [CrossRef]
- Jones, G.; Willett, P.; Glen, R.C.; Leach, A.R.; Taylor, R. Development and Validation of a Genetic Algorithm for Flexible Docking. J. Mol. Biol. 1997, 267, 727–748. [Google Scholar] [CrossRef]








| Entry | λmax (nm) | λmin (nm) | TM (°C) | ΔTM (°C) * |
|---|---|---|---|---|
| hTel23 G4 # | 290 | 240 | 67 | - |
| hTel23 G4 + 4 | 290 | 238 | 65 | −2 |
| hTel23 G4 + 9 | 291 | 244 | 68 | +1 |
| hTel23 G4 + 12 | 272/287 | 250 | 63 | −4 |
| hTel23 G4 + 16 | 290 | 242 | 54 | −13 |
| Kd (µmol/L) | ||
|---|---|---|
| Entry | ∆CD/∆CDmax Calculated at 272 nm | ∆CD/∆CDmax Calculated at 290 nm |
| 12 | 5.1 | 17 |
| 16 | - | 9.7 |
Disclaimer/Publisher’s Note: The statements, opinions and data contained in all publications are solely those of the individual author(s) and contributor(s) and not of MDPI and/or the editor(s). MDPI and/or the editor(s) disclaim responsibility for any injury to people or property resulting from any ideas, methods, instructions or products referred to in the content. |
© 2024 by the authors. Licensee MDPI, Basel, Switzerland. This article is an open access article distributed under the terms and conditions of the Creative Commons Attribution (CC BY) license (https://creativecommons.org/licenses/by/4.0/).
Share and Cite
Marzano, M.; Prencipe, F.; Delre, P.; Mangiatordi, G.F.; Travagliante, G.; Ronga, L.; Piccialli, G.; Saviano, M.; D’Errico, S.; Tesauro, D.; et al. A CD Study of a Structure-Based Selection of N-Heterocyclic Bis-Carbene Gold(I) Complexes as Potential Ligands of the G-Quadruplex-Forming Human Telomeric hTel23 Sequence. Molecules 2024, 29, 5446. https://doi.org/10.3390/molecules29225446
Marzano M, Prencipe F, Delre P, Mangiatordi GF, Travagliante G, Ronga L, Piccialli G, Saviano M, D’Errico S, Tesauro D, et al. A CD Study of a Structure-Based Selection of N-Heterocyclic Bis-Carbene Gold(I) Complexes as Potential Ligands of the G-Quadruplex-Forming Human Telomeric hTel23 Sequence. Molecules. 2024; 29(22):5446. https://doi.org/10.3390/molecules29225446
Chicago/Turabian StyleMarzano, Maria, Filippo Prencipe, Pietro Delre, Giuseppe Felice Mangiatordi, Gabriele Travagliante, Luisa Ronga, Gennaro Piccialli, Michele Saviano, Stefano D’Errico, Diego Tesauro, and et al. 2024. "A CD Study of a Structure-Based Selection of N-Heterocyclic Bis-Carbene Gold(I) Complexes as Potential Ligands of the G-Quadruplex-Forming Human Telomeric hTel23 Sequence" Molecules 29, no. 22: 5446. https://doi.org/10.3390/molecules29225446
APA StyleMarzano, M., Prencipe, F., Delre, P., Mangiatordi, G. F., Travagliante, G., Ronga, L., Piccialli, G., Saviano, M., D’Errico, S., Tesauro, D., & Oliviero, G. (2024). A CD Study of a Structure-Based Selection of N-Heterocyclic Bis-Carbene Gold(I) Complexes as Potential Ligands of the G-Quadruplex-Forming Human Telomeric hTel23 Sequence. Molecules, 29(22), 5446. https://doi.org/10.3390/molecules29225446

