Combination of a Deep Eutectic Solvent and Macroporous Resin for Green Recovery of Iridoids, Chlorogenic Acid, and Flavonoids from Eucommia ulmoides Leaves
Abstract
1. Introduction
2. Results and Discussion
2.1. Selection of DESs
2.2. Investigation of the Extraction Process by Single-Factor
2.3. Response Surface Methodology (RSM)-Based Extraction Condition Optimization
2.3.1. Quadratic Multiple Regression Model Analysis
2.3.2. Determination and Verification of Optimized Conditions
2.4. Adsorption Capacity and Desorption Ratio
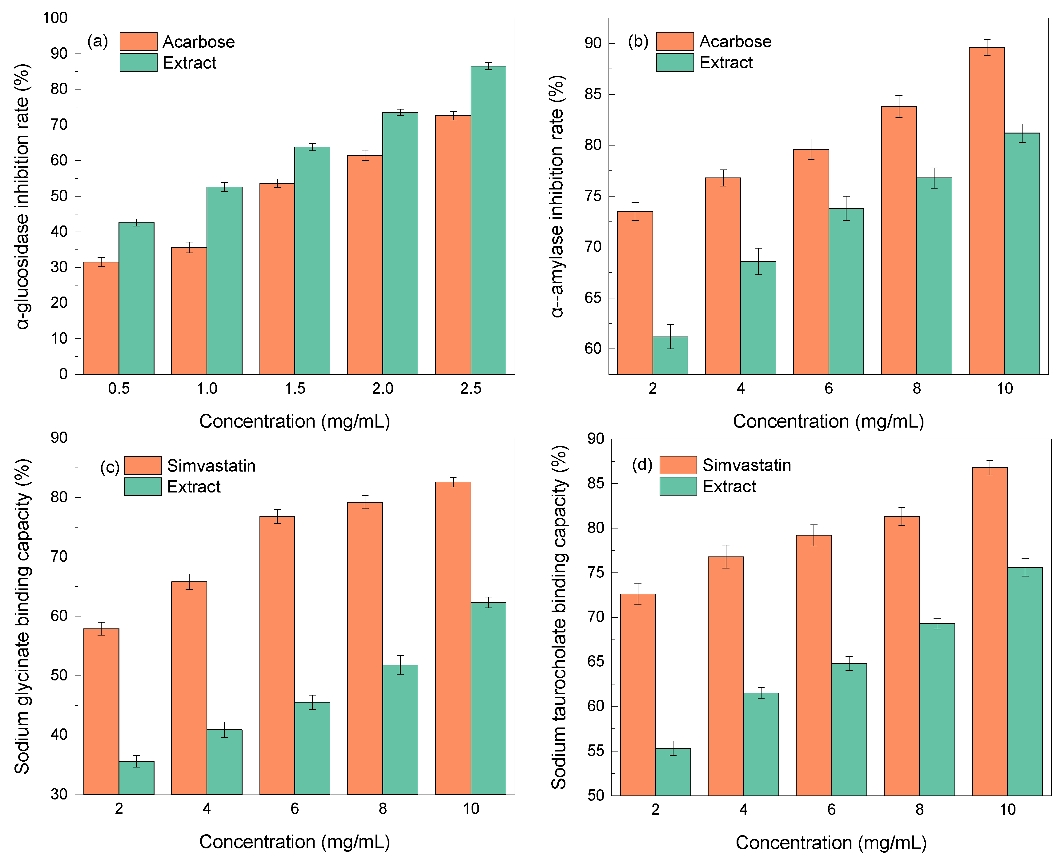
2.5. In Vitro Hypoglycemic and Hypolipidemic Effect
Inhibition of α-Glucosidase and α-Amylase Activity
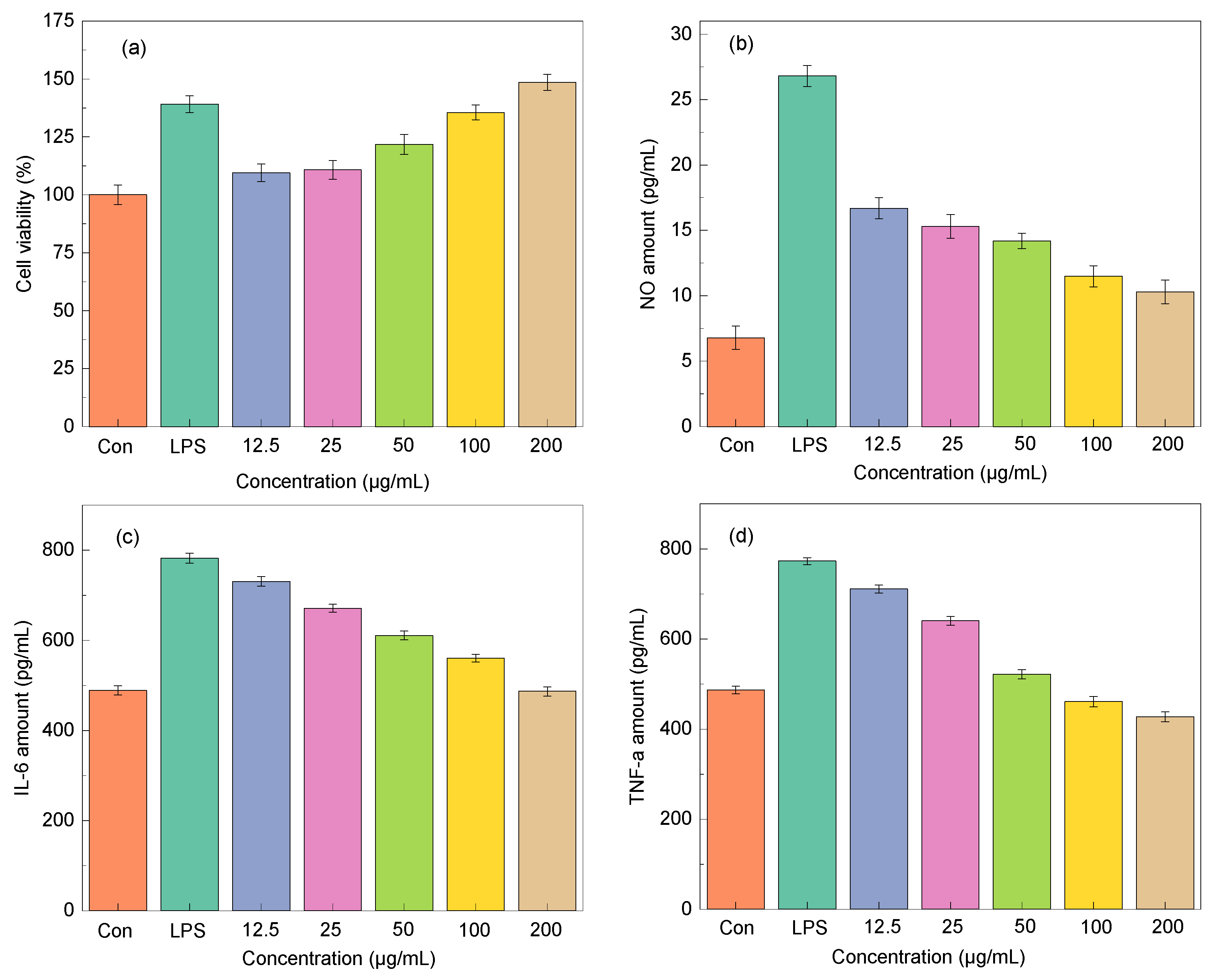
2.6. Immunomodulatory Activity and Anti-Inflammatory Test
2.7. Correlation Analysis
3. Material and Methods
3.1. Raw Materials and Chemicals
3.2. Preparation and Characterization of Deep Eutectic Solvents
3.3. Preparation of Standard Solution
3.4. Characterization of EUL after Extraction
3.5. Selection of Optimal DESs
3.6. Single-Factor Experiment Design
3.7. HPLC Analysis and Quantification
3.8. The Design of Response Surface Optimization
3.9. Static Adsorption and Desorption Tests
3.10. Recyclability Tests
3.11. Hypoglycemic In Vitro
3.11.1. Inhibition of α-Glucosidase Activity
3.11.2. Inhibition of α-Amylase Activity
3.12. Hypolipidemic In Vitro
3.13. Immunomodulatory Activity of Extract
3.13.1. Cell Culture
3.13.2. Cell Viability
3.14. Anti-Inflammatory Activity of EUL Extract
4. Conclusions
Supplementary Materials
Author Contributions
Funding
Institutional Review Board Statement
Informed Consent Statement
Data Availability Statement
Acknowledgments
Conflicts of Interest
References
- Ma, L.; Meng, N.; Liu, B.; Wang, C.; Chai, X.; Huang, S.; Yu, H.; Wang, Y. Quantitative Analysis and Stability Study on Iridoid Glycosides from Seed Meal of Eucommia ulmoides Oliver. Molecules 2022, 27, 5924. [Google Scholar] [CrossRef] [PubMed]
- Tian, S.; Zou, Y.X.; Wang, J.; Li, Y.; An, B.Z.; Liu, Y.Q. Protective effect of Du-Zhong-Wan against osteoporotic fracture by targeting the osteoblastogenesis and angiogenesis couple factor SLIT3. J. Ethnopharmacol. 2022, 295, 115399. [Google Scholar] [CrossRef] [PubMed]
- Sayed, S.M.A.; Siems, K.; Schmitz-Linneweber, C.; Luyten, W.; Saul, N. Enhanced healthspan in Caenorhabditis elegans treated with extracts from the traditional Chinese medicine plants Cuscuta chinensis Lam. and Eucommia ulmoides Oliv. Front. Pharmacol. 2021, 12, 604435. [Google Scholar] [CrossRef] [PubMed]
- Liu, Z.; Ma, W.; Chen, B.; Pan, H.; Zhu, M.; Pang, X.; Zhang, Q. Deep eutectic solvents in the extraction of active compounds from Eucommia Ulmoides Oliv. leaves. J. Food Meas. Charact. 2022, 16, 3410–3422. [Google Scholar] [CrossRef]
- Ren, N.; Gong, W.W.; Zhao, Y.C.; Zhao, D.G.; Xu, Y.W. Innovation in sweet rice wine with high antioxidant activity: Eucommia ulmoides leaf sweet rice wine. Front. Nutr. 2023, 9, 1108843. [Google Scholar] [CrossRef]
- Chen, Y.; Pan, R.; Zhang, J.; Liang, T.; Guo, J.; Sun, T.; Fu, X.; Wang, L.; Zhang, L. Pinoresinol diglucoside (PDG) attenuates cardiac hypertrophy via AKT/mTOR/NF-κB signaling in pressure overload-induced rats. J. Ethnopharmacol. 2021, 272, 113920. [Google Scholar] [CrossRef]
- Xu, X.; Tian, W.; Duan, W.; Pan, C.; Huang, M.; Wang, Q.; Yang, Q.; Wen, Z.; Tang, Y.; Xiong, Y.; et al. Quanduzhong capsules for the treatment of grade 1 hypertension patients with low-to-moderate risk: A multicenter, randomized, double-blind, placebo-controlled clinical trial. Front. Pharmacol. 2023, 13, 1014410. [Google Scholar] [CrossRef]
- Yang, P.; Zhang, Q.; Shen, H.; Bai, X.; Liu, P.; Zhang, T. Research progress on the protective effects of aucubin in neurological diseases. Pharm. Biol. 2022, 60, 1088–1094. [Google Scholar] [CrossRef]
- Liang, X.; Zhou, K.; Li, P.; Wan, D.; Liu, J.; Yi, X.; Peng, Y. Characteristics of endophytic bacteria and active ingredients in the Eucommiae cortex from different origins. Front. Microbiol. 2023, 14, 1164674. [Google Scholar] [CrossRef]
- Peng, M.F.; Tian, S.; Song, Y.G.; Li, C.X.; Miao, M.S.; Ren, Z.; Li, M. Effects of total flavonoids from Eucommia ulmoides Oliv. leaves on polycystic ovary syndrome with insulin resistance model rats induced by letrozole combined with a high-fat diet. J. Ethnopharmacol. 2021, 273, 113947. [Google Scholar] [CrossRef]
- Yan, J.; Hu, R.; Li, B.; Tan, J.; Wang, Y.; Tang, Z.; Liu, M.; Fu, C.; He, J.; Wu, X. Effect of Eucommia ulmoides leaf extract on growth performance, carcass traits, parameters of oxidative stress, and lipid metabolism in broiler chickens. Front. Vet. Sci. 2022, 9, 945981. [Google Scholar] [CrossRef] [PubMed]
- Yu, L.; Cao, L.; Chang, Y.H.; Duan, C.J.; Liu, C.; Zhao, X.L.; Yue, G.L.; Wang, X.Q.; Fu, Y.J. Enhanced extraction performance of iridoids, phenolic acids from Eucommia ulmoides leaves by tailor-made ternary deep eutectic solvent. Microchem. J. 2021, 161, 105788. [Google Scholar] [CrossRef]
- Ijardar, S.P.; Singh, V.; Gardas, R.L. Revisiting the physicochemical properties and applications of deep eutectic solvents. Molecules 2022, 27, 1368. [Google Scholar] [CrossRef] [PubMed]
- Plastiras, O.-E.; Samanidou, V. Applications of deep eutectic solvents in sample preparation and extraction of organic molecules. Molecules 2022, 27, 7699. [Google Scholar] [CrossRef] [PubMed]
- Yan, X.Y.; Cai, Z.H.; Zhao, P.Q.; Wang, J.D.; Fu, L.N.; Gu, Q.; Fu, Y.J. Application of a novel and green temperature-responsive deep eutectic solvent system to simultaneously extract and separate different polar active phytochemicals from Schisandra chinensis (Turcz.) Baill. Food Res. Int. 2023, 165, 112541. [Google Scholar] [CrossRef] [PubMed]
- Husanu, E.; Mero, A.; Rivera, J.G.; Mezzetta, A.; Ruiz, J.C.; D’Andrea, F.; Pomelli, C.S.; Guazzelli, L. Exploiting Deep Eutectic Solvents and Ionic Liquids for the Valorization of Chestnut Shell Waste. ACS Sustain. Chem. Eng. 2020, 8, 18386–18399. [Google Scholar] [CrossRef]
- Francisco, M.; van den Bruinhorst, A.; Kroon, M.C. Low-transition-temperature mixtures (LTTMs): A new generation of designer solvents. Angew. Chem. Int. Ed. 2013, 52, 3074–3085. [Google Scholar] [CrossRef]
- Hikmawanti, N.P.E.; Ramadon, D.; Jantan, I.; Mun’im, A. Natural deep eutectic solvents (NADES): Phytochemical extraction performance enhancer for pharmaceutical and nutraceutical product development. Plants 2021, 10, 2091. [Google Scholar] [CrossRef]
- Della Posta, S.; Gallo, V.; Gentili, A.; Fanali, C. Strategies for the recovery of bioactive molecules from deep eutectic solvents extracts. TrAC Trend. Anal. Chem. 2022, 157, 116798. [Google Scholar] [CrossRef]
- Mero, A.; Koutsoumpos, S.; Giannios, P.; Stavrakas, I.; Moutzouris, K.; Mezzetta, A.; Guazzelli, L. Comparison of physicochemical and thermal properties of choline chloride and betaine-based deep eutectic solvents: The influence of hydrogen bond acceptor and hydrogen bond donor nature and their molar ratios. J. Mol. Liq. 2023, 377, 121563. [Google Scholar] [CrossRef]
- Vieira Sanches, M.; Freitas, R.; Oliva, M.; Mero, A.; De Marchi, L.; Cuccaro, A.; Fumagalli, G.; Mezzetta, A.; Colombo Dugoni, G.; Ferro, M.; et al. Are natural deep eutectic solvents always a sustainable option? A bioassay-based study. Environ. Sci. Pollut. Res. 2022, 30, 17268–17279. [Google Scholar] [CrossRef]
- Pontes, P.V.d.A.; Czaikoski, A.; Almeida, N.A.; Fraga, S.; Rocha, L.d.O.; Cunha, R.L.; Maximo, G.J.; Batista, E.A.C. Extraction optimization, biological activities, and application in O/W emulsion of deep eutectic solvents-based phenolic extracts from olive pomace. Food Res. Int. 2022, 161, 111753. [Google Scholar] [CrossRef]
- Lou, R.; Zhang, X. Evaluation of pretreatment effect on lignin extraction from wheat straw by deep eutectic solvent. Bioresour. Technol. 2022, 344, 126174. [Google Scholar] [CrossRef] [PubMed]
- Wang, X.S.; Peng, M.J.; He, C.T. The antihypertensive effects of Eucommia ulmoides leaf water/ethanol extracts are chlorogenic acid dependent. J. Funct. Foods 2022, 94, 105129. [Google Scholar] [CrossRef]
- Han, R.; Yu, Y.; Zhao, K.; Wei, J.; Hui, Y.; Gao, J.-M. Lignans from Eucommia ulmoides Oliver leaves exhibit neuroprotective effects via activation of the PI3K/Akt/GSK-3β/Nrf2 signaling pathways in H2O2-treated PC-12 cells. Phytomedicine 2022, 101, 154124. [Google Scholar] [CrossRef] [PubMed]
- Liu, X.; Yan, S.; Zhou, H.; Wu, H.; Wang, S.; Yong, X.; Zhou, J. Separation and purification of glabridin from a deep eutectic solvent extract of Glycyrrhiza glabra residue by macroporous resin and its mechanism. Sep. Purif. Technol. 2023, 315, 123731. [Google Scholar] [CrossRef]
- Tang, W.; Yao, W.; Lei, X.; Zhou, Y.; Liu, M.; Zeng, Z.; Zhao, C. Efficient enrichment and purification of anti-inflammatory nuezhenoside G13 from Osmanthus fragrans fruit by macroporous resin adsorption. Ind. Crops Prod. 2023, 192, 116092. [Google Scholar] [CrossRef]
- Wu, M.; Zhuang, Q.; Lin, J.; Peng, Y.; Luo, F.; Liu, Z.; Farooq, U.; Zhang, Q. Enrichment of the flavonoid fraction from Eucommia ulmoides leaves by a liquid antisolvent precipitation method and evaluation of antioxidant activities in vitro and in vivo. RSC Adv. 2023, 13, 17406–17419. [Google Scholar] [CrossRef] [PubMed]
- Shen, Z.; Ji, X.; Yao, S.; Zhang, H.; Xiong, L.; Li, H.; Chen, X.; Chen, X. Solid-liquid extraction of chlorogenic acid from Eucommia ulmoides Oliver leaves: Kinetic and mass transfer studies. Ind. Crops Prod. 2023, 205, 117544. [Google Scholar] [CrossRef]
- Jiang, H.; Li, J.; Zhang, N.; He, H.Y.; An, J.M.; Dou, Y.N. Optimization of the extraction technology and assessment of antioxidant activity of chlorogenic acid-rich extracts from Eucommia ulmoides Leaves. Nat. Prod. Commun. 2021, 16, 1–10. [Google Scholar] [CrossRef]
- Wang, R.; Yang, Z.; Lv, W.; Tan, Z.; Zhang, H. Extraction and separation of flavonoids and iridoids from Eucommia ulmoides leaves using choline tryptophan ionic liquid-based aqueous biphasic systems. Ind. Crops Prod. 2022, 187, 115465. [Google Scholar] [CrossRef]
- Liu, T.; Sui, X.; Li, L.; Zhang, J.; Liang, X.; Li, W.; Zhang, H.; Fu, S. Application of ionic liquids based enzyme-assisted extraction of chlorogenic acid from Eucommia ulmoides leaves. Anal. Chim. Acta 2016, 903, 91–99. [Google Scholar] [CrossRef]
- Qin, G.; Ma, J.; Wei, W.; Li, J.; Yue, F. The enrichment of chlorogenic acid from Eucommia ulmoides leaves extract by mesoporous carbons. J. Chromatogr. B 2018, 1087–1088, 6–13. [Google Scholar] [CrossRef]
- Vaz, B.M.C.; Martins, M.; de Souza Mesquita, L.M.; Neves, M.C.; Fernandes, A.P.M.; Pinto, D.C.G.A.; Neves, M.G.P.M.S.; Coutinho, J.A.P.; Ventura, S.P.M. Using aqueous solutions of ionic liquids as chlorophyll eluents in solid-phase extraction processes. Chem. Eng. J. 2022, 428, 131073. [Google Scholar] [CrossRef]
- Haghi, M.; Ranjbar, Z.; Kazemian, H.; Aghili, M. Synthesis, characterization and corrosion resistance behavior of waterborne cationic acrylic resins. Prog. Color Color. Coat. 2023, 16, 31–45. [Google Scholar]
- Shang, X.C.; Dou, Y.Q.; Zhang, Y.J.; Tan, J.N.; Liu, X.M.; Zhang, Z.F. Tailor-made natural deep eutectic solvents for green extraction of isoflavones from chickpea (Cicer arietinum L.) sprouts. Ind. Crops Prod. 2019, 140, 111724. [Google Scholar] [CrossRef]
- Fan, Y.; Wu, H.; Cai, D.; Yang, T.; Yang, L. Effective extraction of harmine by menthol/anise alcohol-based natural deep eutectic solvents. Sep. Purif. Technol. 2020, 250, 117211. [Google Scholar] [CrossRef]
- Fan, X.H.; Wang, L.T.; Chang, Y.H.; An, J.Y.; Zhu, Y.W.; Yang, Q.; Meng, D.; Fu, Y.J. Application of green and recyclable menthol-based hydrophobic deep eutectic solvents aqueous for the extraction of main taxanes from Taxus chinensis needles. J. Mol. Liq. 2021, 326, 114970. [Google Scholar] [CrossRef]
- Liu, B.; Tan, Z. Separation and Purification of Astragalus membranaceus Polysaccharides by Deep Eutectic Solvents-Based Aqueous Two-Phase System. Molecules 2022, 27, 5288. [Google Scholar] [CrossRef] [PubMed]
- Martins, M.A.R.; Pinho, S.P.; Coutinho, J.A.P. Journal of Solution ChemistryInsights into the nature of eutectic and deep eutectic mixtures. J. Solut. Chem. 2018, 48, 962–982. [Google Scholar] [CrossRef]
- Mero, A.; Moody, N.R.; Husanu, E.; Mezzetta, A.; D’Andrea, F.; Pomelli, C.S.; Bernaert, N.; Paradisi, F.; Guazzelli, L. Challenging DESs and ILs in the valorization of food waste: A case study. Front. Chem. 2023, 11, 1270221. [Google Scholar] [CrossRef] [PubMed]
- Duan, L.; Dou, L.L.; Guo, L.; Li, P.; Liu, E.H. Comprehensive evaluation of deep eutectic solvents in extraction of bioactive natural products. ACS Sustain. Chem. Eng. 2016, 4, 2405–2411. [Google Scholar] [CrossRef]
- Xing, C.; Cui, W.Q.; Zhang, Y.; Zou, X.S.; Hao, J.Y.; Zheng, S.D.; Wang, T.T.; Wang, X.Z.; Wu, T.; Liu, Y.Y.; et al. Ultrasound-assisted deep eutectic solvents extraction of glabridin and isoliquiritigenin from Glycyrrhiza glabra: Optimization, extraction mechanism and in vitro bioactivities. Ultrason. Sonochem. 2022, 83, 105946. [Google Scholar] [CrossRef] [PubMed]
- Yuan, Z.; Liu, H.; Yong, W.F.; She, Q.; Esteban, J. Status and advances of deep eutectic solvents for metal separation and recovery. Green Chem. 2022, 24, 1895–1929. [Google Scholar] [CrossRef]
- Huang, R.; He, Y.; Yao, X.; Yu, Y.; Song, W.; Yang, W.; Cheng, J. Disintegration of wet microalgae biomass with deep-eutectic-solvent-assisted hydrothermal treatment for sustainable lipid extraction. Green Chem. 2022, 24, 1615–1626. [Google Scholar] [CrossRef]
- Roldán-Ruiz, M.J.; Jiménez-Riobóo, R.J.; Gutiérrez, M.C.; Ferrer, M.L.; del Monte, F. Brillouin and NMR spectroscopic studies of aqueous dilutions of malicine: Determining the dilution range for transition from a “water-in-DES” system to a “DES-in-water” one. J. Mol. Liq. 2019, 284, 175–181. [Google Scholar] [CrossRef]
- Ali Redha, A. Review on Extraction of Phenolic Compounds from Natural Sources Using Green Deep Eutectic Solvents. J. Agric. Food. Chem. 2021, 69, 878–912. [Google Scholar] [CrossRef]
- Zhang, J.; Ye, Z.; Liu, G.; Liang, L.; Wen, C.; Liu, X.; Li, Y.; Ji, T.; Liu, D.; Ren, J.; et al. Subcritical Water Enhanced with Deep Eutectic Solvent for Extracting Polysaccharides from Lentinus edodes and Their Antioxidant Activities. Molecules 2022, 27, 3612. [Google Scholar] [CrossRef]
- Ozturk, B.; Parkinson, C.; Gonzalez-Miquel, M. Extraction of Polyphenolic Antioxidants from Orange Peel Waste using Deep Eutectic Solvents. Sep. Purif. Technol. 2018, 206, 1–13. [Google Scholar] [CrossRef]
- Hou, P.; Wang, Q.; Qi, W.; Zhang, Y.; Xie, J. Comprehensive determination of seven polyphenols in Eucommia ulmoides and its anti-oxidative stress activity in C. elegans. J. Food Meas. Charact. 2019, 13, 2903–2909. [Google Scholar] [CrossRef]
- Silva, E.M.; Pompeu, D.R.; Larondelle, Y.; Rogez, H. Optimisation of the adsorption of polyphenols from Inga edulis leaves on macroporous resins using an experimental design methodology. Sep. Purif. Technol. 2007, 53, 274–280. [Google Scholar] [CrossRef]
- Jiang, F.; Sheng, Y.; Wang, F.; Pan, H.; Chen, W.; Kong, F. Characterization and biological activity of acidic sugarcane leaf polysaccharides by microwave-assisted hot alkali extraction. Food Biosci. 2023, 54, 102852. [Google Scholar] [CrossRef]
- Zhao, C.; Yang, F.; Lin, F.; Qu, Q.; Li, Z.; Liu, X.; Han, L.; Shi, X. Process optimization in ginseng fermentation by Monascus ruber and study on bile acid-binding ability of fermentation products in vitro. Prep. Biochem. Biotechnol. 2021, 51, 120–126. [Google Scholar] [CrossRef] [PubMed]
- Abbott, A.P.; Capper, G.; Davies, D.L.; Rasheed, R.K.; Tambyrajah, V. Novel solvent properties of choline chloride/urea mixtures. Chem. Commun. 2003, 1, 70–71. [Google Scholar] [CrossRef] [PubMed]
- Czerwińska, M.E.; Kalinowska, E.; Popowski, D.; Bazylko, A. Lamalbid, chlorogenic acid, and verbascoside as tools for standardization of Lamium album flowers-development and validation of HPLC-DAD method. Molecules 2020, 25, 1721. [Google Scholar] [CrossRef] [PubMed]







| DESs | PH | Viscosity (mPa·s) | SBET (m2/g) | Vpore (cm3/g) | ||
|---|---|---|---|---|---|---|
| Before Extraction | After Extraction | Before Extraction | After Extraction | |||
| ChUre | 7.26 | 16.5 | 2.68 | 18.55 | 1.15 | 0.21 |
| ChAce | 2.85 | 15.6 | 2.68 | 25.50 | 1.15 | 0.26 |
| ChPro | 2.26 | 13.8 | 2.68 | 21.04 | 1.15 | 0.24 |
| ChCit | 0.48 | 27.6 | 2.68 | 12.93 | 1.15 | 0.17 |
| ChOxa | 0.11 | 50.8 | 2.68 | 11.81 | 1.15 | 0.12 |
| ChMal | 0.22 | 560.1 | 2.68 | 14.08 | 1.15 | 0.18 |
| ChLac | 0.85 | 26.9 | 2.68 | 11.11 | 1.15 | 0.23 |
| ChLev | 1.09 | 103.0 | 2.68 | 18.48 | 1.15 | 0.24 |
| ChGly | 6.75 | 876.2 | 2.68 | 23.12 | 1.15 | 0.22 |
| ChEG | 6.89 | 378.1 | 2.68 | 20.92 | 1.15 | 0.20 |
| Resins | Surface Area (m2/g) | Pore Size (Å) | Polarity | Composition |
|---|---|---|---|---|
| ADS-8 | 450 | 130 | Non-polar | Polystyrene |
| HP20 | 600 | 290 | Non-polar | SDVB |
| XAD-1 | 900 | 95 | Non-polar | Polystyrene |
| H103 | 1000 | 95 | Non-polar | SDVB |
| NKA-2 | 200 | 150 | Middle-polar | Polystyrene |
| XAD-1180 | 600 | 150 | Middle-polar | SDVB |
| LS-A40 | 700 | 150 | Middle-polar | SDVB |
| EXA-45 | 1000 | 35 | Middle-polar | SDVB |
| ADS-11 | 210 | 280 | Polar | Sulfonic group |
| S8 | 550 | 100 | Polar | Polystyrene |
| LS-305 | 1000 | 55 | Polar | SDVB |
| HPD950 | 1350 | 100 | Polar | SDVB |
Disclaimer/Publisher’s Note: The statements, opinions and data contained in all publications are solely those of the individual author(s) and contributor(s) and not of MDPI and/or the editor(s). MDPI and/or the editor(s) disclaim responsibility for any injury to people or property resulting from any ideas, methods, instructions or products referred to in the content. |
© 2024 by the authors. Licensee MDPI, Basel, Switzerland. This article is an open access article distributed under the terms and conditions of the Creative Commons Attribution (CC BY) license (https://creativecommons.org/licenses/by/4.0/).
Share and Cite
Liao, Y.; Chen, F.; Tang, H.; Dessie, W.; Qin, Z. Combination of a Deep Eutectic Solvent and Macroporous Resin for Green Recovery of Iridoids, Chlorogenic Acid, and Flavonoids from Eucommia ulmoides Leaves. Molecules 2024, 29, 737. https://doi.org/10.3390/molecules29030737
Liao Y, Chen F, Tang H, Dessie W, Qin Z. Combination of a Deep Eutectic Solvent and Macroporous Resin for Green Recovery of Iridoids, Chlorogenic Acid, and Flavonoids from Eucommia ulmoides Leaves. Molecules. 2024; 29(3):737. https://doi.org/10.3390/molecules29030737
Chicago/Turabian StyleLiao, Yunhui, Feng Chen, Haishan Tang, Wubliker Dessie, and Zuodong Qin. 2024. "Combination of a Deep Eutectic Solvent and Macroporous Resin for Green Recovery of Iridoids, Chlorogenic Acid, and Flavonoids from Eucommia ulmoides Leaves" Molecules 29, no. 3: 737. https://doi.org/10.3390/molecules29030737
APA StyleLiao, Y., Chen, F., Tang, H., Dessie, W., & Qin, Z. (2024). Combination of a Deep Eutectic Solvent and Macroporous Resin for Green Recovery of Iridoids, Chlorogenic Acid, and Flavonoids from Eucommia ulmoides Leaves. Molecules, 29(3), 737. https://doi.org/10.3390/molecules29030737

