Facilely Fabricating F-Doped Fe3N Nanoellipsoids Grown on 3D N-Doped Porous Carbon Framework as a Preeminent Negative Material
Abstract
1. Introduction
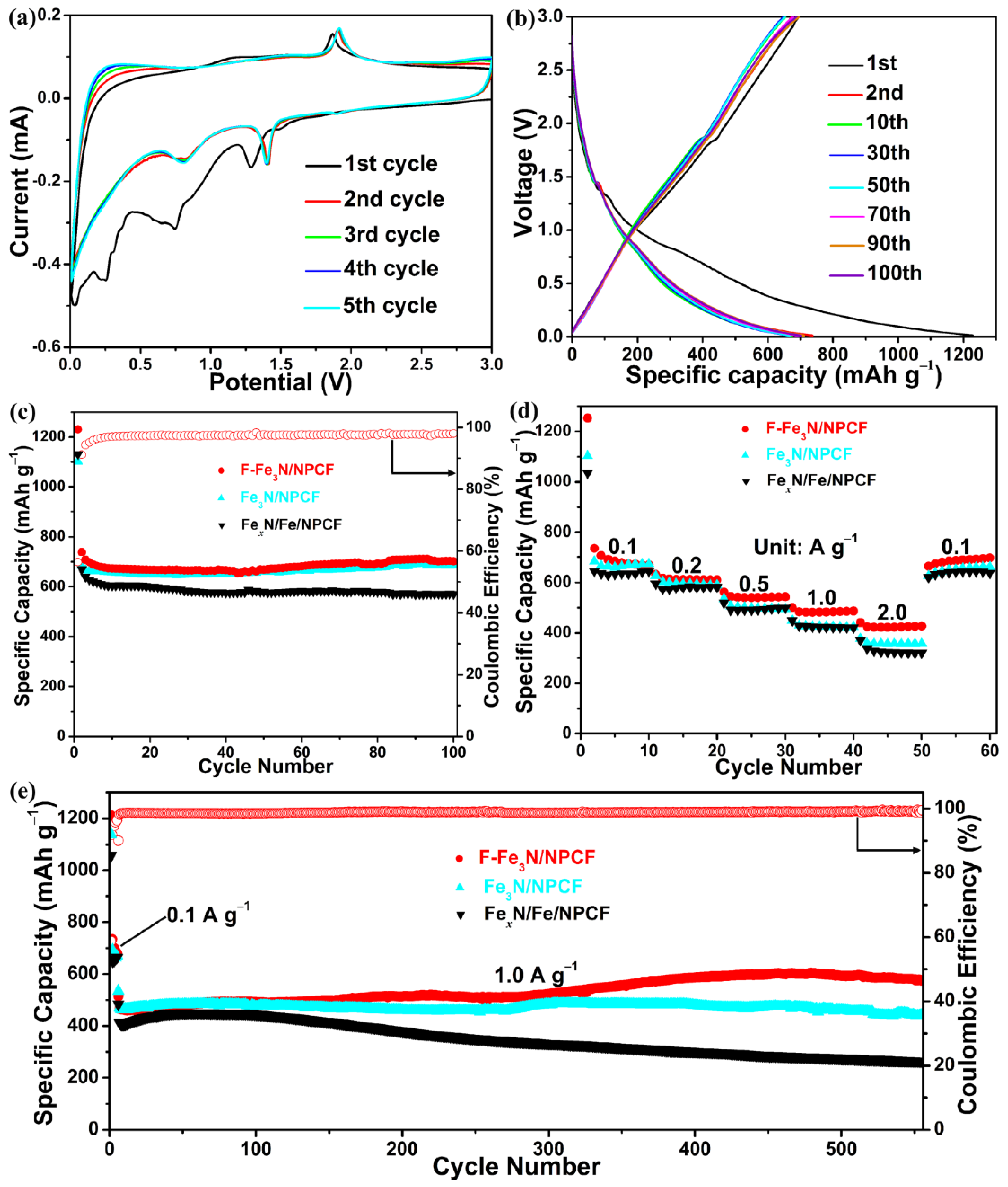
2. Results and Discussion
3. Experimental Section
3.1. Synthesis of F-Fe3N/NPCF Composite
3.2. Materials Characterization
4. Conclusions
Supplementary Materials
Author Contributions
Funding
Institutional Review Board Statement
Informed Consent Statement
Data Availability Statement
Conflicts of Interest
References
- Chen, S.; Yu, C.; Jiang, Z.; Zhang, Z.; Peng, L.; Cheng, S.; Xie, J. Unraveling electrochemical stability and reversible redox of Y-doped Li2ZrCl6 solid electrolytes. Energy Mater. Adv. 2023, 4, 0019. [Google Scholar] [CrossRef]
- Li, X.; Zhu, L.; Yang, C.; Wang, Y.; Gu, S.; Zhou, G. Core–shell structure trimetallic sulfide@N-doped carbon composites as anodes for enhanced lithium-ion storage performance. Molecules 2023, 28, 7580. [Google Scholar] [CrossRef]
- Wei, C.; Liu, C.; Xiao, Y.; Wu, Z.; Luo, Q.; Jiang, Z.; Wang, Z.; Zhang, L.; Cheng, S.; Yu, C. SnF2-induced multifunctional interface-stabilized Li5.5PS4.5Cl1.5-based all-solid-state lithium metal batteries. Adv. Funct. Mater. 2024, 2314306. [Google Scholar] [CrossRef]
- Xu, J.; Cai, X.; Cai, S.; Shao, Y.; Hu, C.; Lu, S.; Ding, S. High-energy lithium-ion batteries: Recent progress and a promising future in applications. Energy Environ. Mater. 2023, 6, e12450. [Google Scholar] [CrossRef]
- Fu, Q.; Schwarz, B.; Ding, Z.; Sarapulova, A.; Weidler, P.G.; Missyul, A.; Etter, M.; Welter, E.; Hua, W.; Knapp, M.; et al. Guest ion-dependent reaction mechanisms of new pseudocapacitive Mg3V4(PO4)6/carbon composite as negative electrode for monovalent-ion batteries. Adv. Sci. 2023, 10, 2207283. [Google Scholar] [CrossRef] [PubMed]
- Liu, Y.; Shi, H.; Wu, Z.-S. Recent status, key strategies and challenging perspectives of fast-charging graphite anodes for lithium-ion batteries. Energy Environ. Sci. 2023, 16, 4834–4871. [Google Scholar] [CrossRef]
- Weng, C.; Huang, S.; Lu, T.; Li, J.; Li, J.; Li, J.; Pan, L. NiM (Sb, Sn)/N-doped hollow carbon tube as high-rate and high-capacity anode for lithium-ion batteries. J. Colloid Interf. Sci. 2023, 652, 208–217. [Google Scholar] [CrossRef] [PubMed]
- Yang, X.; Wang, H.; Song, Y.; Liu, K.; Huang, T.; Wang, X.; Zhang, C.; Li, J. Low-temperature synthesis of a porous high-entropy transition-metal oxide as an anode for high-performance lithium-ion batteries. ACS Appl. Mater. Interfaces 2022, 14, 26873–26881. [Google Scholar] [CrossRef]
- Wang, R.; Wang, Y.; Xiong, W.; Liu, J.; Li, H. Synthesis and characterization of zinc/iron composite oxide heterojunction porous anode materials for high-performance lithium-ion batteries. Molecules 2023, 28, 7665. [Google Scholar] [CrossRef]
- Wang, X.; Liu, J.; Hu, Y.; Ma, R.; Wang, J. Oxygen vacancy-expedited ion diffusivity in transition-metal oxides for high-performance lithium-ion batteries. Sci. China Mater. 2022, 65, 1421–1430. [Google Scholar] [CrossRef]
- Liang, Z.; Tu, H.; Kong, Z.; Yao, X.; Xu, D.; Liu, S.; Shao, Y.; Wu, Y.; Hao, X. Urchin like inverse spinel manganese doped NiCo2O4 microspheres as high performances anode for lithium-ion batteries. J. Colloid Interf. Sci. 2022, 616, 509–519. [Google Scholar] [CrossRef] [PubMed]
- He, C.; Li, J.; Zhao, X.; Peng, X.; Lin, X.; Ke, Y.; Xiao, X.; Zuo, X.; Nan, J. In situ anchoring of MnO nanoparticles into three-dimensional nitrogen-doped porous carbon framework as a stable anode for high-performance lithium storage. Appl. Surf. Sci. 2023, 614, 156217. [Google Scholar] [CrossRef]
- Xu, H.; Gao, C.; Cheng, Z.; Kong, L.; Li, W.; Dong, X.; Lin, J. Metal oxyacid salts-confined pyrolysis towards hierarchical porous metal oxide@carbon (MO@C) composites as lithium-ion battery anodes. Nano Res. 2023, 16, 6903–6913. [Google Scholar] [CrossRef]
- Luo, Q.; Lu, C.; Liu, L.; Zhu, M. A review on the synthesis of transition metal nitride nanostructures and their energy related applications. Green Energy Environ. 2023, 8, 406–437. [Google Scholar] [CrossRef]
- Wang, H.; Li, J.; Li, K.; Lin, Y.; Chen, J.; Gao, L.; Nicolosi, V.; Xiao, X.; Lee, J.-M. Transition metal nitrides for electrochemical energy applications. Chem. Soc. Rev. 2021, 50, 1354–1390. [Google Scholar] [CrossRef]
- Mahadik, S.; Surendran, S.; Kim, J.Y.; Janani, G.; Lee, D.-K.; Kim, T.-H.; Kim, J.K.; Sim, U. Syntheses and electronic structure engineering of transition metal nitrides for supercapacitor applications. J. Mater. Chem. A 2022, 10, 14655–14673. [Google Scholar] [CrossRef]
- Zeng, R.; Yang, Y.; Feng, X.; Li, H.; Gibbs, L.M.; DiSalvo, F.J.; Abruña, H.D. Nonprecious transition metal nitrides as efficient oxygen reduction electrocatalysts for alkaline fuel cells. Sci. Adv. 2022, 8, 1584. [Google Scholar] [CrossRef]
- Wang, P.; Zhao, B.; Bai, J.; Tong, P.; Zhu, X.; Sun, Y. Transition metal nitrides in lithium- and sodium-ion batteries: Recent progress and perspectives. Adv. Mater. Interfaces 2022, 9, 2200606. [Google Scholar] [CrossRef]
- Zou, B.; Li, S.; Wang, J.; Li, G.; Zhao, Y.; Qiu, J.; Ng, D.H.L.; Liu, X.; Lian, J.; Li, H. A general strategy towards transition metal nitrides (TMNs)/rGO nanocomposites for superior lithium ion storage. J. Alloys Compd. 2021, 865, 158968. [Google Scholar] [CrossRef]
- Kang, B.K.; Choi, Y.J.; Choi, H.W.; Kwon, S.B.; Kim, S.; Kim, Y.J.; Park, J.S.; Yang, W.S.; Yoon, D.H.; Ryu, W.-H. Rational design and in-situ formation of nickel–cobalt nitride multi-core/hollow N-doped carbon shell anode for Li-ion batteries. Chem. Eng. J. 2021, 420, 129630. [Google Scholar] [CrossRef]
- Wang, J.; Yang, C.; Wang, J.; Han, L.; Wei, M. Two-dimensional MoN@N-doped carbon hollow spheres as an anode material for high performance lithium-ion battery. Electrochim. Acta 2019, 295, 246–252. [Google Scholar] [CrossRef]
- Li, X.; Deng, C.; Wang, H.; Si, J.; Zhang, S.; Huang, B. Iron nitride@C nanocubes inside core–shell fibers to realize high air-stability, ultralong life, and superior lithium/sodium storages. ACS Appl. Mater. Interfaces 2021, 13, 7297–7307. [Google Scholar] [CrossRef]
- Luo, Q.; Ming, L.; Zhang, D.; Wei, C.; Wu, Z.; Jiang, Z.; Liu, C.; Liu, S.; Cao, K.; Zhang, L.; et al. Constructing Br-doped Li10SnP2S12-based all-solid-state batteries with superior performances. Energy Mater. Adv. 2023, 4, 0065. [Google Scholar] [CrossRef]
- Li, S.; Wang, K.; Zhang, G.; Li, S.; Xu, Y.; Zhang, X.; Zhang, X.; Zheng, S.; Sun, X.; Ma, Y. Fast charging anode materials for lithium-ion batteries: Current status and perspectives. Adv. Funct. Mater. 2022, 32, 2200796. [Google Scholar] [CrossRef]
- Oh, P.; Yun, J.; Park, S.; Nam, G.; Liu, M.; Cho, J. Recent advances and prospects of atomic substitution on layered positive materials for lithium-ion battery. Adv. Energy Mater. 2021, 11, 2003197. [Google Scholar] [CrossRef]
- Zheng, J.; Lin, Y.; Du, C.; Chen, X.; Li, J.; Zheng, Y.; Feng, Q.; Huang, Z. Fluorine-doped MnO@fluorographene with high conductivity for improved capacity and prolonged cycling stability of lithium-ion anode. J. Alloys Compd. 2023, 945, 169255. [Google Scholar] [CrossRef]
- Huo, J.; Zhang, Y.; Kang, W.; Shen, Y.; Li, X.; Yan, Z.; Pan, Y.; Sun, W. Synthesis of F-doped materials and applications in catalysis and rechargeable batteries. Nanoscale Adv. 2023, 5, 2846–2864. [Google Scholar] [CrossRef] [PubMed]
- Sbrascini, L.; Staffolani, A.; Bottoni, L.; Darjazi, H.; Minnetti, L.; Minicucci, M.; Nobili, F. Structural and interfacial characterization of a sustainable Si/hard carbon composite anode for lithium-ion batteries. ACS Appl. Mater. Interfaces 2022, 14, 33257–33273. [Google Scholar] [CrossRef] [PubMed]
- Wang, W.; Liu, L.; Leng, W.C.; Cui, L.L.; Gong, Y. Coordination polymer-derived Fe3N nanoparticles for efficient electrocatalytic oxygen evolution. Inorg. Chem. 2021, 60, 12136–12150. [Google Scholar] [CrossRef] [PubMed]
- Ma, X.; Xiong, X.; Zeng, J.; Zou, P.; Lin, Z.; Liu, M. Melamine-assisted synthesis of Fe3N featuring highly reversible crystalline-phase transformation for ultrastable sodium ion storage. J. Mater. Chem. A 2020, 8, 6768–6775. [Google Scholar] [CrossRef]
- Wei, H.; Wang, J.; Lin, Q.; Zou, Y.; Chen, X.; Zhao, H.; Li, J.; Jin, H.; Lei, Y.; Wang, S. Incorporating ultra-small N-doped Mo2C nanoparticles onto 3D N-doped flower-like carbon nanospheres for robust electrocatalytic hydrogen evolution. Nano Energy 2021, 86, 106047. [Google Scholar] [CrossRef]
- Xiao, Y.; Wen, Z.; Su, D.; Fang, S.; Wang, X. A rational self-sacrificing template strategy to construct 2D layered porosity Fe3N-NC catalyst for high-performance zinc-air battery. J. Alloys Compd. 2023, 938, 168517. [Google Scholar] [CrossRef]
- Qi, Y.; Li, Q.-J.; Wu, Y.; Bao, S.-J.; Li, C.; Chen, Y.; Wang, G.; Xu, M. A Fe3N/carbon composite electrocatalyst for effective polysulfides regulation in room-temperature Na-S batteries. Nat. Commun. 2021, 12, 6347. [Google Scholar] [CrossRef]
- Liang, M.; Xie, H.; Liu, E.; Shi, C.; He, C.; Zhao, N. Ultrafine Fe3N nanocrystals coupled with N doped 3D porous carbon networks induced atomically dispersed Fe for superior sodium ion storage. Carbon 2022, 196, 795–806. [Google Scholar] [CrossRef]
- Ding, R.; Zhang, J.; Zhang, J.; Li, Z.; Wang, C.; Chen, M. Core-shell Fe2N@ amorphous carbon nanocomposite-filled 3D graphene framework: An additive-free anode material for lithium-ion batteries. Chem. Eng. J. 2019, 360, 1063–1070. [Google Scholar] [CrossRef]
- Zhu, S.; Liang, B.; Mou, X.; Liang, X.; Huang, H.; Huang, D.; Zhou, W.; Xu, S.; Guo, J. In-situ synthesis of F-doped FeOOH nanorods on graphene as anode materials for high lithium storage. J. Alloys Compd. 2022, 905, 164142. [Google Scholar] [CrossRef]
- Choi, Y.S.; Choi, W.; Yoon, W.-S.; Kim, J.M. Unveiling the genesis and effectiveness of negative fading in nanostructured iron oxide anode materials for lithium-ion batteries. ACS Nano 2022, 16, 631–642. [Google Scholar] [CrossRef] [PubMed]
- Chchiyai, Z.; Ghali, O.E.; Lahmar, A.; Alami, J.; Manoun, B. Design and performance of a new Zn0.5Mg0.5FeMnO4 porous spinel as anode material for Li-ion batteries. Molecules 2023, 28, 7010. [Google Scholar] [CrossRef] [PubMed]
- Park, S.; Seo, B.; Shin, D.; Kim, K.; Choi, W. Sodium-chloride-assisted synthesis of nitrogen-doped porous carbon shells via one-step combustion waves for supercapacitor electrodes. Chem. Eng. J. 2022, 433, 134486. [Google Scholar] [CrossRef]
- Zhang, H.; Xu, Y.; Zhou, W.; Xu, M.; Li, C.M.; Jiang, J. Can domestic wastes-evolved Fe2N@Carbon hybrids serve as competitive anodes for sustainable Li/Na storage applications? Mater. Res. Bull. 2021, 134, 111088. [Google Scholar] [CrossRef]
- Zhao, J.; Weng, Y.; Xu, S.; Shebl, A.; Wen, X.; Yang, G. Protein-mediated synthesis of Fe3N nanoparticles embedded in hierarchical porous carbon for enhanced reversible lithium storage. J. Power Sources 2020, 464, 228246. [Google Scholar] [CrossRef]
- Idrees, M.; Haidyrah, A.S.; Rehman, A.U.; Zhang, Q.; Li, X.; Abbas, S.M. Fe2N stabilized on reduced graphene oxide to enhance the performance of a lithium-ion battery composite anode. J. Alloys Compd. 2021, 883, 160824. [Google Scholar] [CrossRef]
- Li, F.; Li, Y.; Zhao, L.; Liu, J.; Zuo, F.; Gu, F.; Liu, H.; Liu, R.; Li, Y.; Zhan, J.; et al. Revealing an intercalation-conversion-heterogeneity hybrid lithium-ion storage mechanism in transition metal nitrides electrodes with jointly fast charging capability and high energy output. Adv. Sci. 2022, 9, 2203895. [Google Scholar] [CrossRef] [PubMed]
- Kim, H.; Choi, W.; Yoon, J.; Um, J.H.; Lee, W.; Kim, J.; Cabana, J.; Yoon, W.-S. Exploring anomalous charge storage in anode materials for next-generation Li rechargeable batteries. Chem. Rev. 2020, 120, 6934–6976. [Google Scholar] [CrossRef] [PubMed]
- Liu, S.; Zheng, W.; Xie, W.; Cui, H.; Li, Y.; Zhang, C.; Ji, Z.; Liu, F.; Chen, R.; Sun, H.; et al. Synthesis of three-dimensional honeycomb-like Fe3N@NC composites with enhanced lithium storage properties. Carbon 2022, 192, 162–169. [Google Scholar] [CrossRef]
- Chen, C.; Hu, Q.; Xue, H.; Chang, S.; Zhang, K.; Cui, Q.; Yan, H.; Peng, T.; Luo, Y. Rational construction of 3D porous Fe3N@C frameworks for high-performance sodium-ion half/full batteries. J. Alloys Compd. 2023, 934, 167934. [Google Scholar] [CrossRef]
- Wang, P.; Zhao, B.; Bai, J.; Ma, H.; Li, W.; Mao, Y.; Xiao, K.; Zhu, X.; Sun, Y. Mo2N/CoN nanotube with synergistic reaction of intercalation and conversion enables high performance lithium-ion batteries. Scripta Mater. 2023, 233, 115516. [Google Scholar] [CrossRef]
- Jiang, G.; Han, H.; Zhuang, W.; Xu, X.; Kaskel, S.; Xu, F.; Wang, H. Three-dimensional ordered mesoporous cobalt nitride for fast-kinetics and stable-cycling lithium storage. J. Mater. Chem. A 2019, 7, 17561–17569. [Google Scholar] [CrossRef]
- Wang, J.; Yang, C.; Wu, J.; Zhang, L.; Wei, M. Facile synthesis of VN hollow spheres as an anode for lithium-ion battery. J. Electroanal. Chem. 2019, 848, 113360. [Google Scholar] [CrossRef]
- Liu, X.; Tao, H.; Tang, C.; Yang, X. Anthracite-derived carbon as superior anode for lithium/potassium-ion batteries. Chem. Eng. Sci. 2022, 248, 117200. [Google Scholar] [CrossRef]
- Zhang, Y.; Du, H.; Lu, J.; Li, Z.; Lu, T.; Hu, Y.; Ma, Y. Enhanced cyclic stability of Ga2O3@PDA-C nanospheres as pseudocapacitive anode materials for lithium-ion batteries. Fuel 2023, 334, 126683. [Google Scholar] [CrossRef]
- Zhang, L.; Zhu, B.; Xu, D.; Qian, Z.; Xie, P.; Liu, T.; Yu, J. Yolk-shell FeSe2@CoSe2/FeSe2 heterojunction as anode materials for sodium-ion batteries with high rate capability and stability. J. Mater. Sci. Technol. 2024, 172, 185–195. [Google Scholar] [CrossRef]
- Huang, H.; Gao, S.; Wu, A.M.; Cheng, K.; Li, X.N.; Gao, X.X.; Zhao, J.J.; Dong, X.L.; Cao, G.Z. Fe3N constrained inside C nanocages as an anode for Li-ion batteries through post-synthesis nitridation. Nano Energy 2017, 31, 74–83. [Google Scholar] [CrossRef]
- Tian, L.; Xie, Y.; Lu, J.; Liu, T.; Hu, Q.; Xiao, Y.; Zhu, X.; Su, X. Preparation of different FexN/rGO nanocomposites and their application as anodes for lithium-ion battery. J. Alloys Compd. 2022, 922, 166208. [Google Scholar] [CrossRef]
- Zhang, C.; Li, Y.; Liu, X.; Zheng, X.; Zhao, Y.; Zhang, D. Facile synthesis of Fe24N10/porous carbon as a novel high-performance anode material for lithium-ion batteries. Mater. Lett. 2021, 300, 130196. [Google Scholar] [CrossRef]
- Dong, Y.; Li, Y.; Shi, H.; Qin, J.; Zheng, S.; He, R.; Wu, Z.-S. Graphene encapsulated iron nitrides confined in 3D carbon nanosheet frameworks for high-rate lithium ion batteries. Carbon 2020, 159, 213–220. [Google Scholar] [CrossRef]
- Xie, Q.; Guan, Y.; Xu, Z.; Zhu, H.; Jin, Y.; Zhang, Q.; Dong, Z.; Yuan, G.; Li, X.; Cong, Y. Dual interfaces and confinements on Fe2N@Fe3O4/VN heterojunction toward high-efficient lithium storage. J. Colloid Interf. Sci. 2023, 650, 798–806. [Google Scholar] [CrossRef] [PubMed]
- Ouyang, B.; Zhang, Y.; Zhang, Z.; Fan, H.J.; Rawat, R.S. Nitrogen-plasma-activated hierarchical nickel nitride nanocorals for energy applications. Small 2017, 159, 1604265. [Google Scholar] [CrossRef] [PubMed]
- Peng, T.; Guo, Y.; Zhang, Y.; Wang, Y.; Zhang, D.; Yang, Y.; Lu, Y.; Liu, X.; Chu, P.K.; Luo, Y. Uniform cobalt nanoparticles-decorated biscuit-like VN nanosheets by in situ segregation for Li-ion batteries and oxygen evolution reaction. Appl. Surf. Sci. 2021, 536, 147982. [Google Scholar] [CrossRef]
- Zhang, X.; Liu, Z.; Wei, X.; Ali, S.; Lang, J.; Yang, B.; Hu, R.; Qi, J.; Yan, X. Unraveling the improved lithium-storage mechanism by interfacial engineering based on metallic MoS2/MoN heterostructure. J. Alloys Compd. 2023, 966, 171282. [Google Scholar] [CrossRef]







| Negative Electrode | First Discharge–Charge Capacity (mA h g–1) | Cyclic Performance | Rate Performance |
|---|---|---|---|
| F-Fe3N/NPCF (This work) | 1230/694 at 0.1 A g–1 | 701 (100 cycles, 0.1 A g–1) 574 (550 cycles, 1.0 A g–1) | 487 (1.0 A g–1) 427 (2.0 A g–1) |
| Fe3N@C [53] | 676/548 at 0.1 A g–1 | 370 (500 cycles, 0.1 A g–1) | 244 (1.0 A g–1) |
| Fe3N/rGO [54] | 615 (200 cycles, 0.2 A g–1) 513 (200 cycles, 0.5 A g–1) | 308 (1.0 A g–1) 261 (2.0 A g–1) | |
| FeN/PC [55] | 1081/607 at 0.1 A g–1 | 558 (80 cycles, 0.1 A g–1) 420 (250 cycles, 1.0 A g–1) | 408 (1.0 A g–1) 356 (2.0 A g–1) |
| Fe2N@AC@rGO [35] | 505 (500 cycles, 0.5 A g–1) | 446 (1.0 A g–1) 406 (2.0 A g–1) | |
| Fe2N@CNFs [56] | 900/587 at 0.1 A g–1 | 551 (60 cycles, 0.1 A g–1) | 392 (1.0 A g–1) 343 (2.0 A g–1) |
| Fe2N/rGO [42] | 1256/804 at 0.1 A g–1 | 578 (500 cycles, 0.1 A g–1) | 380 (1.0 A g–1) 318 (2.0 A g–1) |
| Fe2N@Fe3O4/VN [57] | 421 (600 cycles, 1.0 A g–1) | 244 (1.0 A g–1) 212 (2.0 A g–1) | |
| GQD@hNi3N [58] | 1097/550 at 0.4 A g–1 | 450 (500 cycles, 0.4 A g–1) | 326 (0.8 A g–1) 268 (1.6 A g–1) |
| (Ni/Co)3N MC@HC [20] | 440 (130 cycles, 0.2 A g–1) 170 (130 cycles, 0.5 A g–1) | ||
| Co-VN@C [59] | 830/439 at 0.2 A g–1 | 336 (500 cycles, 0.5 A g–1) 324 (200 cycles, 1.0 A g–1) | 321 (1.0 A g–1) |
| MoS2/MoN [60] | 820/671 at 0.1 A g–1 | 475 (100 cycles, 0.1 A g–1) | 345 (2.0 A g–1) |
Disclaimer/Publisher’s Note: The statements, opinions and data contained in all publications are solely those of the individual author(s) and contributor(s) and not of MDPI and/or the editor(s). MDPI and/or the editor(s) disclaim responsibility for any injury to people or property resulting from any ideas, methods, instructions or products referred to in the content. |
© 2024 by the authors. Licensee MDPI, Basel, Switzerland. This article is an open access article distributed under the terms and conditions of the Creative Commons Attribution (CC BY) license (https://creativecommons.org/licenses/by/4.0/).
Share and Cite
Zhang, D.; Zhang, C.; Xu, H.; Huo, Z.; Shi, X.; Liu, X.; Liu, G.; Yu, C. Facilely Fabricating F-Doped Fe3N Nanoellipsoids Grown on 3D N-Doped Porous Carbon Framework as a Preeminent Negative Material. Molecules 2024, 29, 959. https://doi.org/10.3390/molecules29050959
Zhang D, Zhang C, Xu H, Huo Z, Shi X, Liu X, Liu G, Yu C. Facilely Fabricating F-Doped Fe3N Nanoellipsoids Grown on 3D N-Doped Porous Carbon Framework as a Preeminent Negative Material. Molecules. 2024; 29(5):959. https://doi.org/10.3390/molecules29050959
Chicago/Turabian StyleZhang, Dan, Chunyan Zhang, Huishi Xu, Zhe Huo, Xinyu Shi, Xiaodi Liu, Guangyin Liu, and Chuang Yu. 2024. "Facilely Fabricating F-Doped Fe3N Nanoellipsoids Grown on 3D N-Doped Porous Carbon Framework as a Preeminent Negative Material" Molecules 29, no. 5: 959. https://doi.org/10.3390/molecules29050959
APA StyleZhang, D., Zhang, C., Xu, H., Huo, Z., Shi, X., Liu, X., Liu, G., & Yu, C. (2024). Facilely Fabricating F-Doped Fe3N Nanoellipsoids Grown on 3D N-Doped Porous Carbon Framework as a Preeminent Negative Material. Molecules, 29(5), 959. https://doi.org/10.3390/molecules29050959

