Bioactive Potential of Wild Plants from Gardunha Mountain: Phytochemical Characterization and Biological Activities
Abstract
1. Introduction
2. Results and Discussion
2.1. Phytochemical Characterisation
2.2. Anti-Inflammatory Activity
2.3. Antioxidant Activity
2.4. Antimicrobial Activity
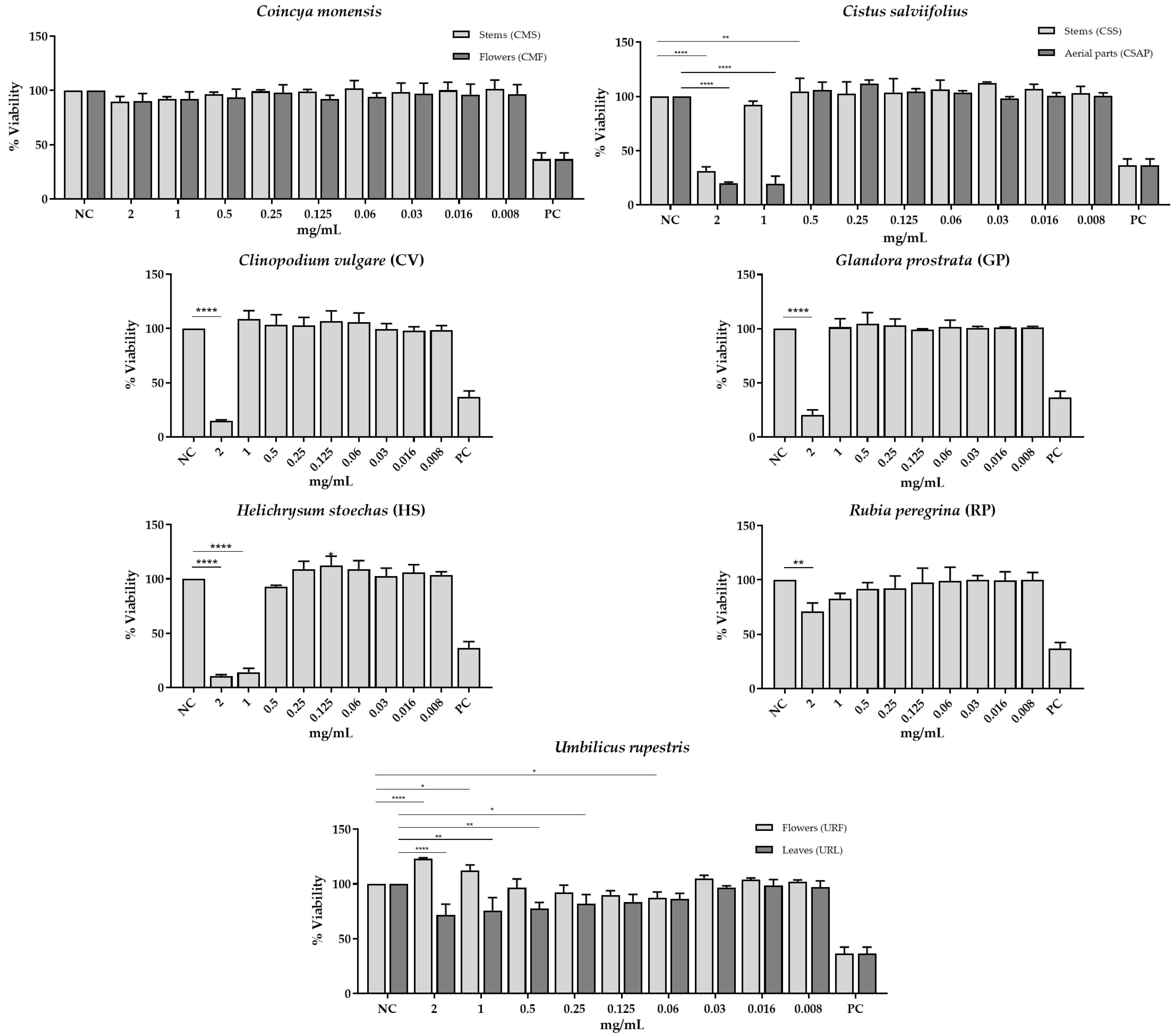
2.5. Biocompatibility
3. Materials and Methods
3.1. Collection of Plant Material
3.2. Extraction
3.3. Phytochemical Analysis
3.3.1. Determination of Total Phenolic Content
3.3.2. Determination of Total Flavonoid Content
3.3.3. Analysis of the Extracts Using Ultra-High-Performance Liquid Chromatography Coupled with Trapped Ion Mobility Spectrometry Time-of-Flight Mass Spectrometry (UHPLC timsTOF-MS)
3.4. Anti-Inflammatory Activity
3.5. Antioxidant Activity
3.5.1. DPPH Method
3.5.2. β-Carotene-Bleaching Assay
3.6. Antimicrobial Activity
3.6.1. Plant Extracts, Microorganisms and Culture Media
3.6.2. Disc Diffusion Method
3.6.3. Determination of the Minimum Inhibitory Concentration (MIC)
3.7. Evaluation of Extracts Biocompatibility
3.8. Statistical Analysis
4. Conclusions
Supplementary Materials
Author Contributions
Funding
Institutional Review Board Statement
Informed Consent Statement
Data Availability Statement
Acknowledgments
Conflicts of Interest
References
- Rahayu, Y.Y.S.; Araki, T.; Rosleine, D. Factors Affecting the Use of Herbal Medicines in the Universal Health Coverage System in Indonesia. J. Ethnopharmacol. 2020, 260, 112974. [Google Scholar] [CrossRef]
- Kim, J.K.; Kim, K.H.; Shin, Y.C.; Jang, B.H.; Ko, S.G. Utilization of Traditional Medicine in Primary Health Care in Low-and Middle-Income Countries: A Systematic Review. Health Policy Plan 2020, 35, 1070–1083. [Google Scholar] [CrossRef] [PubMed]
- Olas, B.; Różański, W.; Urbańska, K.; Sławińska, N.; Bryś, M. New Light on Plants and Their Chemical Compounds Used in Polish Folk Medicine to Treat Urinary Diseases. Pharmaceuticals 2024, 17, 435. [Google Scholar] [CrossRef] [PubMed]
- Zhou, P.; Hu, H.; Wu, X.; Feng, Z.; Li, X.; Tavakoli, S.; Wu, K.; Deng, L.; Luo, H. Botany, Traditional Uses, Phytochemistry, Pharmacological Activities, and Toxicity of the Mangrove Plant Avicennia Marina: A Comprehensive Review. Phytochem. Rev. 2025, 74, 1061–1084. [Google Scholar] [CrossRef]
- Vazquez-Marquez, A.M.; Correa-Basurto, J.; Varela-Guerrero, V.; González-Pedroza, M.G.; Zepeda-Gómez, C.; Burrola-Aguilar, C.; Nieto-Trujillo, A.; Estrada-Zúñiga, M.E. Phytoremediation and Ethnomedicinal Potential of Buddleja, Eremophila, Scrophularia, and Verbascum Genera Belonging to the Scrophulariaceae Family: A Review. Future J. Pharm. Sci. 2024, 10, 173. [Google Scholar] [CrossRef]
- Qin, Y.; Wang, N.; Pan, H.; Lei, X.; Li, X. Hellenia speciosa: A Comprehensive Review of Traditional Applications, Phytonutrients, Health Benefits and Safety. Food Chem. 2025, 465, 142003. [Google Scholar] [CrossRef]
- Yesilada, E. Scientific Evaluation of the Remedies Used in Turkish Folk Medicine to Treat Possible Viral Infections. Curr. Tradit. Med. 2022, 9, e271222212218. [Google Scholar] [CrossRef]
- Chrzanowska, E.; Denisow, B.; Ekiert, H.; Pietrzyk, Ł. Metabolites Obtained from Boraginaceae Plants as Potential Cosmetic Ingredients—A Review. Molecules 2024, 29, 5088. [Google Scholar] [CrossRef]
- Gautam, S.; Lapčík, L.; Lapčíková, B. Pharmacological Significance of Boraginaceae with Special Insights into Shikonin and Its Potential in the Food Industry. Foods 2024, 13, 1350. [Google Scholar] [CrossRef]
- Zhang, Z.; Bai, J.; Zeng, Y.; Cai, M.; Yao, Y.; Wu, H.; You, L.; Dong, X.; Ni, J. Pharmacology, Toxicity and Pharmacokinetics of Acetylshikonin: A Review. Pharm. Biol. 2020, 58, 950–958. [Google Scholar] [CrossRef]
- Cicio, A.; Serio, R.; Zizzo, M.G. Anti-Inflammatory Potential of Brassicaceae-Derived Phytochemicals: In Vitro and In Vivo Evidence for a Putative Role in the Prevention and Treatment of IBD. Nutrients 2023, 15, 31. [Google Scholar] [CrossRef]
- Mattosinhos, P.d.S.; Sarandy, M.M.; Novaes, R.D.; Esposito, D.; Gonçalves, R.V. Anti-Inflammatory, Antioxidant, and Skin Regenerative Potential of Secondary Metabolites from Plants of the Brassicaceae Family: A Systematic Review of In Vitro and In Vivo Preclinical Evidence (Biological Activities Brassicaceae Skin Diseases). Antioxidants 2022, 11, 1346. [Google Scholar] [CrossRef]
- Rahman, M.; Khatun, A.; Liu, L.; Barkla, B.J. Brassicaceae Mustards: Phytochemical Constituents, Pharmacological Effects, and Mechanisms of Action against Human Disease. Int. J. Mol. Sci. 2024, 25, 9039. [Google Scholar] [CrossRef]
- Zhang, N.; Jing, P. Anthocyanins in Brassicaceae: Composition, Stability, Bioavailability, and Potential Health Benefits. Crit. Rev. Food Sci. Nutr. 2022, 62, 2205–2220. [Google Scholar] [CrossRef]
- Bedoya, L.M.; Bermejo, P.; Abad, M.J. Anti-Infectious Activity in the Cistaceae Family in the Iberian Peninsula. Mini. Rev. Med. Chem. 2009, 9, 519–525. [Google Scholar] [CrossRef]
- Tomou, E.M.; Lytra, K.; Rallis, S.; Tzakos, A.G.; Skaltsa, H. An Updated Review of Genus Cistus L. since 2014: Traditional Uses, Phytochemistry, and Pharmacological Properties. Phytochem. Rev. 2022, 21, 2049–2087. [Google Scholar] [CrossRef]
- Assis de Andrade, E.; Machinski, I.; Terso Ventura, A.C.; Barr, S.A.; Pereira, A.V.; Beltrame, F.L.; Strangman, W.K.; Williamson, R.T. A Review of the Popular Uses, Anatomical, Chemical, and Biological Aspects of Kalanchoe (Crassulaceae): A Genus of Plants Known as “Miracle Leaf”. Molecules 2023, 28, 5574. [Google Scholar] [CrossRef]
- Hassan, M.H.A.; Elwekeel, A.; Moawad, A.; Afifi, N.; Amin, E.; El Amir, D. Phytochemical Constituents and Biological Activity of Selected Genera of Family Crassulaceae: A Review. S. Afr. J. Bot. 2021, 141, 383–404. [Google Scholar] [CrossRef]
- Salazar-Gómez, A.; Velo-Silvestre, A.A.; Alonso-Castro, A.J.; Hernández-Zimbrón, L.F. Medicinal Plants Used for Eye Conditions in Mexico—A Review. Pharmaceuticals 2023, 16, 1432. [Google Scholar] [CrossRef] [PubMed]
- Diab, F.; Zbeeb, H.; Baldini, F.; Portincasa, P.; Khalil, M.; Vergani, L. The Potential of Lamiaceae Herbs for Mitigation of Overweight, Obesity, and Fatty Liver: Studies and Perspectives. Molecules 2022, 27, 5043. [Google Scholar] [CrossRef] [PubMed]
- Islam, A.K.M.M.; Suttiyut, T.; Anwar, M.P.; Juraimi, A.S.; Kato-Noguchi, H. Allelopathic Properties of Lamiaceae Species: Prospects and Challenges to Use in Agriculture. Plants 2022, 11, 1478. [Google Scholar] [CrossRef] [PubMed]
- Kowalczyk, T.; Merecz-Sadowska, A.; Ghorbanpour, M.; Szemraj, J.; Piekarski, J.; Bijak, M.; Śliwiński, T.; Zajdel, R.; Sitarek, P. Enhanced Natural Strength: Lamiaceae Essential Oils and Nanotechnology in In Vitro and In Vivo Medical Research. Int. J. Mol. Sci. 2023, 24, 15279. [Google Scholar] [CrossRef] [PubMed]
- Michel, J.; Abd Rani, N.Z.; Husain, K. A Review on the Potential Use of Medicinal Plants From Asteraceae and Lamiaceae Plant Family in Cardiovascular Diseases. Front. Pharmacol. 2020, 11, 852. [Google Scholar] [CrossRef]
- Ramos Da Silva, L.R.; Ferreira, O.O.; Cruz, J.N.; De Jesus Pereira Franco, C.; Oliveira Dos Anjos, T.; Cascaes, M.M.; Almeida Da Costa, W.; Helena De Aguiar Andrade, E.; Santana De Oliveira, M. Lamiaceae Essential Oils, Phytochemical Profile, Antioxidant, and Biological Activities. Evid.-Based Complement. Altern. Med. 2021, 2021, 6748052. [Google Scholar] [CrossRef]
- González-Castelazo, F.; Soria-Jasso, L.E.; Torre-Villalvazo, I.; Cariño-Cortés, R.; Muñoz-Pérez, V.M.; Ortiz, M.I.; Fernández-Martínez, E. Plants of the Rubiaceae Family with Effect on Metabolic Syndrome: Constituents, Pharmacology, and Molecular Targets. Plants 2023, 12, 3583. [Google Scholar] [CrossRef]
- Jaafar, A.; Zulkipli, M.A.; Mohd Hatta, F.H.; Jahidin, A.H.; Abdul Nasir, N.A.; Hazizul Hasan, M. Therapeutic Potentials of Iridoids Derived from Rubiaceae against In Vitro and In Vivo Inflammation: A Scoping Review. Saudi Pharm. J. 2024, 32, 101876. [Google Scholar] [CrossRef]
- Roy, D.; Brar, S.; Bhatia, R.; Rangra, N.K. An Insight into the Ethnopharmacological Importance of Indian Subcontinent Medicinal Plant Species of Rubiaceae Family. Adv. Tradit. Med. 2023, 24, 947–969. [Google Scholar] [CrossRef]
- Su, G.Y.; Chen, M.L.; Wang, K.W. Natural New Bioactive Anthraquinones from Rubiaceae. Mini Rev. Org. Chem. 2020, 17, 872–883. [Google Scholar] [CrossRef]
- Pakpahan, O.P.; Moreira, L.; Camelo, A.; Karya, D.; Martins, A.C.; Gaspar, P.D.; Santo, C.E. Evaluation of Comparative Scenarios from Different Sites of Chestnut Production Using Life Cycle Assessment (LCA): Case Study in the Beira Interior Region of Portugal. Heliyon 2023, 9, e12847. [Google Scholar] [CrossRef]
- Carvalho, P.; Nogueira, A.J.A.; Soares, A.M.V.M.; Fonseca, C. Ranging Behaviour of Translocated Roe Deer in a Mediterranean Habitat: Seasonal and Altitudinal Influences on Home Range Size and Patterns of Range Use. Mammalia 2008, 72, 89–94. [Google Scholar] [CrossRef][Green Version]
- Teixeira, J.; Chaminé, H.I.; Carvalho, J.M.; Pérez-Alberti, A.; Rocha, F. Hydrogeomorphological Mapping as a Tool in Groundwater Exploration. J. Maps 2013, 9, 263–273. [Google Scholar] [CrossRef]
- Silva, B.N.; Cadavez, V.; Ferreira-Santos, P.; Alves, M.J.; Ferreira, I.C.F.R.; Barros, L.; Teixeira, J.A.; Gonzales-Barron, U. Chemical Profile and Bioactivities of Extracts from Edible Plants Readily Available in Portugal. Foods 2021, 10, 673. [Google Scholar] [CrossRef] [PubMed]
- Sytar, O.; Hemmerich, I.; Zivcak, M.; Rauh, C.; Brestic, M. Comparative Analysis of Bioactive Phenolic Compounds Composition from 26 Medicinal Plants. Saudi J. Biol. Sci. 2018, 25, 631–641. [Google Scholar] [CrossRef] [PubMed]
- Stefanovic, O.; Stankovic, M.S.; Comic, L. In Vitro Antibacterial Efficacy of Clinopodium vulgare L. Extracts and Their Synergistic Interaction with Antibiotics. J. Med. Plants Res. 2011, 5, 4074–4079. [Google Scholar] [CrossRef]
- Todorova, T.; Ventzislavov Bardarov, K.; Miteva, D.; Bardarov, V. DNA-Protective Activities of Clinopodium vulgare L. Extracts. Proc. Bulg. Acad. Sci. 2016, 69, 1019–1024. [Google Scholar]
- Nakilcioğlu-Taş, E.; Ötleş, S. Influence of Extraction Solvents on the Polyphenol Contents, Compositions, and Antioxidant Capacities of Fig (Ficus carica L.) Seeds. Acad. Bras. Cienc. 2021, 93, e20190526. [Google Scholar] [CrossRef]
- Xiang, Z.; Liu, L.; Xu, Z.; Kong, Q.; Feng, S.; Chen, T.; Zhou, L.; Yang, H.; Xiao, Y.; Ding, C. Solvent Effects on the Phenolic Compounds and Antioxidant Activity Associated with Camellia polyodonta Flower Extracts. ACS Omega 2024, 9, 27192–27203. [Google Scholar] [CrossRef]
- Tourabi, M.; Faiz, K.; Ezzouggari, R.; Louasté, B.; Merzouki, M.; Dauelbait, M.; Bourhia, M.; Almaary, K.S.; Siddique, F.; Lyoussi, B.; et al. Optimization of Extraction Process and Solvent Polarities to Enhance the Recovery of Phytochemical Compounds, Nutritional Content, and Biofunctional Properties of Mentha longifolia L. Extracts. Bioresour. Bioprocess. 2025, 12, 24. [Google Scholar] [CrossRef]
- Mastino, P.M.; Marchetti, M.; Costa, J.; Juliano, C.; Usai, M. Analytical Profiling of Phenolic Compounds in Extracts of Three Cistus Species from Sardinia and Their Potential Antimicrobial and Antioxidant Activity. Chem. Biodivers 2021, 18, e2100053. [Google Scholar] [CrossRef]
- Mahmoudi, H.; Aouadhi, C.; Kaddour, R.; Gruber, M.; Zargouni, H.; Zaouali, W.; Ben Hamida, N.; Ben Nasri, M.; Ouerghi, Z.; Hosni, K. Comparison of Antioxidant and Antimicrobial activities of Two Cultivated Cistus Species from Tunisia. Biosci. J. 2016, 32, 226–237. [Google Scholar] [CrossRef]
- Hitl, M.; Bijelić, K.; Stilinović, N.; Božin, B.; Srđenović-Čonić, B.; Torović, L.; Kladar, N. Phytochemistry and Antihyperglycemic Potential of Cistus salviifolius L., Cistaceae. Molecules 2022, 27, 8003. [Google Scholar] [CrossRef]
- Petrova, M.; Dimitrova, L.; Dimitrova, M.; Denev, P.; Teneva, D.; Georgieva, A.; Petkova-Kirova, P.; Lazarova, M.; Tasheva, K. Antitumor and Antioxidant Activities of In Vitro Cultivated and Wild-Growing Clinopodium vulgare L. Plants. Plants 2023, 12, 1591. [Google Scholar] [CrossRef]
- Azab, A.; Nassar, A.; Azab, A.N. Anti-Inflammatory Activity of Natural Products. Molecules 2016, 21, 1321. [Google Scholar] [CrossRef]
- Gunathilake, K.D.P.P.; Ranaweera, K.K.D.S.; Rupasinghe, H.P.V. In Vitro Anti-Inflammatory Properties of Selected Green Leafy Vegetables. Biomedicines 2018, 6, 107. [Google Scholar] [CrossRef]
- Scherer, R.; Godoy, H.T. Antioxidant Activity Index (AAI) by the 2,2-Diphenyl-1-Picrylhydrazyl Method. Food Chem. 2009, 112, 654–658. [Google Scholar] [CrossRef]
- Neves, J.M.; Matos, C.; Moutinho, C.; Queiroz, G.; Gomes, L.R. Ethnopharmacological Notes about Ancient Uses of Medicinal Plants in Trás-Os-Montes (Northern of Portugal). J. Ethnopharmacol. 2009, 124, 270–283. [Google Scholar] [CrossRef]
- Novais, M.H.; Santos, I.; Mendes, S.; Pinto-Gomes, C. Studies on Pharmaceutical Ethnobotany in Arrabida Natural Park (Portugal). J. Ethnopharmacol. 2004, 93, 183–195. [Google Scholar] [CrossRef] [PubMed]
- Benhouda, A.; Benhouda, D.; Yahia, M. In Vivo Evaluation of Anticryptosporidiosis Activity of the Methanolic Extract of the Plant Umbilicus rupestris. Biodiversitas 2019, 20, 3478–3483. [Google Scholar] [CrossRef]
- Benhouda, A.; Yahia, M. Toxicity and Anti-Inflammatory Effects of Methanolic Extract of Umbilicus rupestris L. Leaves (Crassulaceae). Int. J. Pharma Bio Sci. 2015, 6, 395–408. [Google Scholar]
- Bremner, P.; Rivera, D.; Calzado, M.A.; Obón, C.; Inocencio, C.; Beckwith, C.; Fiebich, B.L.; Muñoz, E.; Heinrich, M. Assessing Medicinal Plants from South-Eastern Spain for Potential Anti-Inflammatory Effects Targeting Nuclear Factor-Kappa B and Other pro-Inflammatory Mediators. J. Ethnopharmacol. 2009, 124, 295–305. [Google Scholar] [CrossRef]
- Hussain, M.S.; Azam, F.; Eldarrat, H.A.; Alkskas, I.; Mayoof, J.A.; Dammona, J.M.; Ismail, H.; Ali, M.; Arif, M.; Haque, A. Anti-Inflammatory, Analgesic and Molecular Docking Studies of Lanostanoic Acid 3-O-α-D-Glycopyranoside Isolated from Helichrysum stoechas. Arab. J. Chem. 2020, 13, 9196–9206. [Google Scholar] [CrossRef]
- Hussain, M.S.; Azam, F.; Ahmed Eldarrat, H.; Haque, A.; Khalid, M.; Zaheen Hassan, M.; Ali, M.; Arif, M.; Ahmad, I.; Zaman, G.; et al. Structural, Functional, Molecular, and Biological Evaluation of Novel Triterpenoids Isolated from Helichrysum stoechas (L.) Moench. Collected from Mediterranean Sea Bank: Misurata- Libya. Arab. J. Chem. 2022, 15, 103818. [Google Scholar] [CrossRef]
- Recio, M.C.; Giner, R.; Terencio, M.C.; Sanz, M.J.; Rios, J.L. Anti-Inflammatory Activity of Helichrysum stoechas. Planta Med. 1991, 57, 365–371. [Google Scholar] [CrossRef]
- Noor, S.; Mohammad, T.; Rub, M.A.; Raza, A.; Azum, N.; Yadav, D.K.; Hassan, M.I.; Asiri, A.M. Biomedical Features and Therapeutic Potential of Rosmarinic Acid. Arch. Pharm. Res. 2022, 45, 205–228. [Google Scholar] [CrossRef] [PubMed]
- Bansal, Y.; Sethi, P.; Bansal, G. Coumarin: A Potential Nucleus for Anti-Inflammatory Molecules. Med. Chem. Res. 2013, 22, 3049–3060. [Google Scholar] [CrossRef]
- Pavlíková, N. Caffeic Acid and Diseases—Mechanisms of Action. Int. J. Mol. Sci. 2023, 24, 588. [Google Scholar] [CrossRef] [PubMed]
- Aijaz, M.; Keserwani, N.; Yusuf, M.; Ansari, N.H.; Ushal, R.; Kalia, P. Chemical, Biological, and Pharmacological Prospects of Caffeic Acid. Biointerface Res. Appl. Chem. 2023, 13, 324. [Google Scholar] [CrossRef]
- Forouzanfar, F.; Sahranavard, T.; Tsatsakis, A.; Iranshahi, M.; Rezaee, R. Rutin: A Pain-Relieving Flavonoid. Inflammopharmacology 2025, 33, 1289–1301. [Google Scholar] [CrossRef]
- Ginwala, R.; Bhavsar, R.; Chigbu, D.G.I.; Jain, P.; Khan, Z.K. Potential Role of Flavonoids in Treating Chronic Inflammatory Diseases with a Special Focus on the Anti-Inflammatory Activity of Apigenin. Antioxidants 2019, 8, 35. [Google Scholar] [CrossRef]
- Proestos, C.; Lytoudi, K.; Mavromelanidou, O.K.; Zoumpoulakis, P.; Sinanoglou, V.J. Antioxidant Capacity of Selected Plant Extracts and Their Essential Oils. Antioxidants 2013, 2, 11–22. [Google Scholar] [CrossRef]
- Krishnaiah, D.; Sarbatly, R.; Nithyanandam, R. A Review of the Antioxidant Potential of Medicinal Plant Species. Food Bioprod. Process. 2011, 89, 217–233. [Google Scholar] [CrossRef]
- Kasote, D.M.; Katyare, S.S.; Hegde, M.V.; Bae, H. Significance of Antioxidant Potential of Plants and Its Relevance to Therapeutic Applications. Int. J. Biol. Sci. 2015, 11, 982–991. [Google Scholar] [CrossRef] [PubMed]
- Amorati, R.; Valgimigli, L. Methods to Measure the Antioxidant Activity of Phytochemicals and Plant Extracts. J. Agric. Food Chem. 2018, 66, 3324–3329. [Google Scholar] [CrossRef]
- Rebaya, A.; Belghith, S.I.; Cherif, J.K.; Trabelsi Ayadi, M. Total Phenolic Compounds and Antioxidant Potential of Rokrose (Cistus salviifolius) Leaves and Flowers Grown in Tunisia. Int. J. Pharmacogn. Phytochem. Res. 2016, 8, 327–331. [Google Scholar]
- Qa’dan, F.; Petereit, F.; Mansoor, K.; Nahrstedt, A. Antioxidant Oligomeric Proanthocyanidins from Cistus salvifolius. Nat. Prod. Res. 2006, 20, 1216–1224. [Google Scholar] [CrossRef]
- El Euch, S.K.; Cieśla, Ł.; Bouzouita, N. Free Radical Scavenging Fingerprints of Selected Aromatic and Medicinal Tunisian Plants Assessed by Means of TLC-DPPH Test and Image Processing. J. AOAC Int. 2014, 97, 1291–1298. [Google Scholar] [CrossRef]
- Balkan, B.; Balkan, S.; Aydoğdu, H.; Güler, N.; Ersoy, H.; Aşkın, B. Evaluation of Antioxidant Activities and Antifungal Activity of Different Plants Species Against Pink Mold Rot-Causing Trichothecium roseum. Arab. J. Sci. Eng. 2017, 42, 2279–2289. [Google Scholar] [CrossRef]
- Georgieva, L.; Mihaylova, D. Screening of Total Phenolic Content and Radical Scavenging Capacity of Bulgarian Plant Species. Int. Food Res. J. 2015, 22, 240–245. [Google Scholar]
- Nassar-Eddin, G.; Zheleva-Dimitrova, D.; Danchev, N.; Vitanska-Simeonova, R. Antioxidant and Enzyme-Inhibiting Activity of Lyophilized Extract from Clinopodium vulgare L. (Lamiaceae). Pharmacia 2021, 68, 259–263. [Google Scholar] [CrossRef]
- Sarikurkcu, C.; Ozer, M.S.; Tepe, B.; Dilek, E.; Ceylan, O. Phenolic Composition, Antioxidant and Enzyme Inhibitory Activities of Acetone, Methanol and Water Extracts of Clinopodium vulgare L. Subsp. Vulgare L. Ind. Crops Prod. 2015, 76, 961–966. [Google Scholar] [CrossRef]
- Iyda, J.H.; Fernandes, Â.; Calhelha, R.C.; Alves, M.J.; Ferreira, F.D.; Barros, L.; Amaral, J.S.; Ferreira, I.C.F.R. Nutritional Composition and Bioactivity of Umbilicus rupestris (Salisb.) Dandy: An Underexploited Edible Wild Plant. Food Chem. 2019, 295, 341–349. [Google Scholar] [CrossRef]
- Wang, W.; Le, T.; Wang, W.W.; Yin, J.F.; Jiang, H.Y. The Effects of Structure and Oxidative Polymerization on Antioxidant Activity of Catechins and Polymers. Foods 2023, 12, 4207. [Google Scholar] [CrossRef]
- Wang, W.; Yue, R.F.; Jin, Z.; He, L.M.; Shen, R.; Du, D.; Tang, Y.Z. Efficiency Comparison of Apigenin-7-O-Glucoside and Trolox in Antioxidative Stress and Anti-Inflammatory Properties. J. Pharm. Pharmacol. 2020, 72, 1645–1656. [Google Scholar] [CrossRef]
- Álvarez-Martínez, F.J.; Barrajón-Catalán, E.; Herranz-López, M.; Micol, V. Antibacterial Plant Compounds, Extracts and Essential Oils: An Updated Review on Their Effects and Putative Mechanisms of Action. Phytomedicine 2021, 90, 153626. [Google Scholar] [CrossRef]
- Angelini, P. Plant-Derived Antimicrobials and Their Crucial Role in Combating Antimicrobial Resistance. Antibiotics 2024, 13, 746. [Google Scholar] [CrossRef] [PubMed]
- Oulahal, N.; Degraeve, P. Phenolic-Rich Plant Extracts With Antimicrobial Activity: An Alternative to Food Preservatives and Biocides? Front. Microbiol. 2022, 12, 753518. [Google Scholar] [CrossRef]
- Salam, M.A.; Al-Amin, M.Y.; Salam, M.T.; Pawar, J.S.; Akhter, N.; Rabaan, A.A.; Alqumber, M.A.A. Antimicrobial Resistance: A Growing Serious Threat for Global Public Health. Healthcare 2023, 11, 1946. [Google Scholar] [CrossRef]
- Zouine, N.; El Ghachtouli, N.; El Abed, S.; Koraichi, S.I. A Comprehensive Review on Medicinal Plant Extracts as Antibacterial Agents: Factors, Mechanism Insights and Future Prospects. Sci. Afr. 2024, 26, e02395. [Google Scholar] [CrossRef]
- Sánchez-Hernández, E.; Álvarez-Martínez, J.; González-García, V.; Casanova-Gascón, J.; Martín-Gil, J.; Martín-Ramos, P. Helichrysum stoechas (L.) Moench Inflorescence Extract for Tomato Disease Management. Molecules 2023, 28, 5861. [Google Scholar] [CrossRef] [PubMed]
- Kutluk, I.; Aslan, M.; Orhan, I.E.; Özçelik, B. Antibacterial, Antifungal and Antiviral Bioactivities of Selected Helichrysum Species. S. Afr. J. Bot. 2018, 119, 252–257. [Google Scholar] [CrossRef]
- Albayrak, S.; Aksoy, A.; Sagdic, O.; Hamzaoglu, E. Compositions, Antioxidant and Antimicrobial Activities of Helichrysum (Asteraceae) Species Collected from Turkey. Food Chem. 2010, 119, 114–122. [Google Scholar] [CrossRef]
- Bogdadi, H.A.A.; Kokoska, L.; Havlik, J.; Kloucek, P.; Rada, V.; Vorisek, K. In Vitro Antimicrobial Activity of Some Libyan Medicinal Plant Extracts. Pharm. Biol. 2007, 45, 386–391. [Google Scholar] [CrossRef][Green Version]
- Bayoub, K.; Baibai, T.; Mountassif, D.; Retmane, A.; Soukri, A. Antibacterial Activities of the Crude Ethanol Extracts of Medicinal Plants against Listeria monocytogenes and Some Other Pathogenic Strains. Afr. J. Biotechnol. 2010, 9, 4251–4258. [Google Scholar][Green Version]
- Zalegh, I.; Bourhia, M.; Zerouali, K.; Katfy, K.; Nayme, K.; Khallouki, F.; Benzaarate, I.; Mohammad Salamatullah, A.; Alzahrani, A.; Nafidi, H.A.; et al. Molecular Characterization of Gene-Mediated Resistance and Susceptibility of ESKAPE Clinical Isolates to Cistus monspeliensis L. and Cistus salviifolius L. Extracts. Evid.-Based Complement. Altern. Med. 2022, 2022, 7467279. [Google Scholar] [CrossRef]
- Alam, M.; Ahmed, S.; Elasbali, A.M.; Adnan, M.; Alam, S.; Hassan, M.I.; Pasupuleti, V.R. Therapeutic Implications of Caffeic Acid in Cancer and Neurological Diseases. Front. Oncol. 2022, 12, 860508. [Google Scholar] [CrossRef]
- Khan, F.; Bamunuarachchi, N.I.; Tabassum, N.; Kim, Y.M. Caffeic Acid and Its Derivatives: Antimicrobial Drugs toward Microbial Pathogens. J. Agric. Food Chem. 2021, 69, 2979–3004. [Google Scholar] [CrossRef]
- Barroso, M.R.; Barros, L.; Dueñas, M.; Carvalho, A.M.; Santos-Buelga, C.; Fernandes, I.P.; Barreiro, M.F.; Ferreira, I.C.F.R. Exploring the Antioxidant Potential of Helichrysum stoechas (L.) Moench Phenolic Compounds for Cosmetic Applications: Chemical Characterization, Microencapsulation and Incorporation into a Moisturizer. Ind. Crops Prod. 2014, 53, 330–336. [Google Scholar] [CrossRef]
- Kherbache, A.; Senator, A.; Laouicha, S.; Al-Zoubi, R.M.; Bouriche, H. Phytochemical Analysis, Antioxidant and Anti-Inflammatory Activities of Helichrysum stoechas (L.) Moench Extracts. Biocatal. Agric. Biotechnol. 2020, 29, 101826. [Google Scholar] [CrossRef]
- Carev, I.; Maravić, A.; Ilić, N.; Čulić, V.Č.; Politeo, O.; Zorić, Z.; Radan, M. UPLC-MS/MS Phytochemical Analysis of Two Croatian Cistus Species and Their Biological Activity. Life 2020, 10, 112. [Google Scholar] [CrossRef]
- Gürbüz, P.; Demirezer, L.Ö.; Güvenalp, Z.; Kuruüzüm-Uz, A.; Kazaz, C. Isolation and Structure Elucidation of Uncommon Secondary Metabolites from Cistus salviifolius L. Nat. Prod. 2015, 9, 175–183. [Google Scholar]
- Jin, S.; Zhang, L.; Wang, L. Kaempferol, a Potential Neuroprotective Agent in Neurodegenerative Diseases: From Chemistry to Medicine. Biomed. Pharmacother. 2023, 165, 115215. [Google Scholar] [CrossRef]
- Imran, M.; Salehi, B.; Sharifi-Rad, J.; Gondal, T.A.; Saeed, F.; Imran, A.; Shahbaz, M.; Fokou, P.V.T.; Arshad, M.U.; Khan, H.; et al. Kaempferol: A Key Emphasis to Its Anticancer Potential. Molecules 2019, 24, 2277. [Google Scholar] [CrossRef]
- Periferakis, A.; Periferakis, K.; Badarau, I.A.; Petran, E.M.; Popa, D.C.; Caruntu, A.; Costache, R.S.; Scheau, C.; Caruntu, C.; Costache, D.O. Kaempferol: Antimicrobial Properties, Sources, Clinical, and Traditional Applications. Int. J. Mol. Sci. 2022, 23, 15054. [Google Scholar] [CrossRef]
- Bangar, S.P.; Chaudhary, V.; Sharma, N.; Bansal, V.; Ozogul, F.; Lorenzo, J.M. Kaempferol: A Flavonoid with Wider Biological Activities and Its Applications. Crit. Rev. Food Sci. Nutr. 2023, 63, 9580–9604. [Google Scholar] [CrossRef]
- Liu, M.-H.; Otsuka, N.; Noyori, K.; Shiota, S.; Ogawa, W.; Kuroda, T.; Hatano, T.; Tsuchiya, T. Synergistic Effect of Kaempferol Glycosides Purified from Laurus nobilis and Fluoroquinolones on Methicillin-Resistant Staphylococcus aureus. Biol. Pharm. Bull. 2009, 32, 489–492. [Google Scholar] [CrossRef] [PubMed]
- Huang, Y.H.; Huang, C.C.; Chen, C.C.; Yang, K.J.; Huang, C.Y. Inhibition of Staphylococcus aureus PriA Helicase by Flavonol Kaempferol. Protein J. 2015, 34, 169–172. [Google Scholar] [CrossRef] [PubMed]
- Fiamegos, Y.C.; Kastritis, P.L.; Exarchou, V.; Han, H.; Bonvin, A.M.J.J.; Vervoort, J.; Lewis, K.; Hamblin, M.R.; Tegos, G.P. Antimicrobial and Efflux Pump Inhibitory Activity of Caffeoylquinic Acids from Artemisia absinthium against Gram-Positive Pathogenic Bacteria. PLoS ONE 2011, 6, e18127. [Google Scholar] [CrossRef] [PubMed]
- Chen, X.; Yi, L.K.; Bai, Y.B.; Cao, M.Z.; Wang, W.W.; Shang, Z.X.; Li, J.J.; Xu, M.L.; Wu, L.F.; Zhu, Z.; et al. Antibacterial Activity and Mechanism of Stevia Extract against Antibiotic-Resistant Escherichia coli by Interfering with the Permeability of the Cell Wall and the Membrane. Front. Microbiol. 2024, 15, 1397906. [Google Scholar] [CrossRef]
- Lobiuc, A.; Pavăl, N.E.; Mangalagiu, I.I.; Gheorghiță, R.; Teliban, G.C.; Amăriucăi-Mantu, D.; Stoleru, V. Future Antimicrobials: Natural and Functionalized Phenolics. Molecules 2023, 28, 1114. [Google Scholar] [CrossRef]
- Tian, J.; Fu, L.; Zhang, Z.; Dong, X.; Xu, D.; Mao, Z.; Liu, Y.; Lai, D.; Zhou, L. Dibenzo-α-Pyrones from the Endophytic Fungus Alternaria sp. Samif01: Isolation, Structure Elucidation, and Their Antibacterial and Antioxidant Activities. Nat. Prod. Res. 2017, 31, 387–396. [Google Scholar] [CrossRef]
- Bullitta, S.; Piluzza, G.; Manunta, M.D.I. Cell-Based and Chemical Assays of the Ability to Modulate the Production of Intracellular Reactive Oxygen Species of Eleven Mediterranean Plant Species Related to Ethnobotanic Traditions. Genet. Resour. Crop Evol. 2013, 60, 403–412. [Google Scholar] [CrossRef]
- Luís, A.; Neiva, D.; Pereira, H.; Gominho, J.; Domingues, F.; Duarte, A.P. Stumps of Eucalyptus globulus as a Source of Antioxidant and Antimicrobial Polyphenols. Molecules 2014, 19, 16428–16446. [Google Scholar] [CrossRef] [PubMed]
- Gonçalves, J.; Luís, Â.; Gradillas, A.; García, A.; Restolho, J.; Fernández, N.; Domingues, F.; Gallardo, E.; Duarte, A.P. Ayahuasca Beverages: Phytochemical Analysis and Biological Properties. Antibiotics 2020, 9, 731. [Google Scholar] [CrossRef] [PubMed]
- Coimbra, A.T.; Luís, Â.F.S.; Batista, M.T.; Ferreira, S.M.P.; Duarte, A.P.C. Phytochemical Characterization, Bioactivities Evaluation and Synergistic Effect of Arbutus unedo and Crataegus monogyna Extracts with Amphotericin B. Curr. Microbiol. 2020, 77, 2143–2154. [Google Scholar] [CrossRef] [PubMed]
- Coimbra, A.; Miguel, S.; Ribeiro, M.; Coutinho, P.; Silva, L.A.; Ferreira, S.; Duarte, A.P. Chemical Composition, Antioxidant, and Antimicrobial Activities of Six Commercial Essential Oils. Lett. Appl. Microbiol. 2023, 76, ovac042. [Google Scholar] [CrossRef]


| Extracts | Extraction Yield (%) | Total Phenolic Content (mg GAE/g Extract) | Flavonoid Content (mg QE/g Extract) |
|---|---|---|---|
| CMF | 38.95 | 6.60 ± 0.24 | 15.97 ± 0.79 |
| CMS | 7.68 | 12.88 ± 0.84 | 14.11 ± 0.7 |
| CSAP | 3.48 | 66.43 ± 1.45 | 31.69 ± 1.16 |
| CSS | 5.63 | 62.10 ± 2.96 | 15.16 ± 0.86 |
| CV | 6.23 | 64.77 ± 4.04 | 19.07 ± 0.61 |
| GP | 5.98 | 86.88 ± 3.47 | 18.50 ± 0.7 |
| HS | 4.28 | 57.88 ± 3.02 | 50.62 ± 1.51 |
| RP | 19.30 | 24.21 ± 1.17 | 15.53 ± 0.51 |
| URF | 16.50 | 48.43 ± 4.00 | 5.16 ± 0.68 |
| URL | 23.60 | 10.43 ± 1.15 | 6.57 ± 0.32 |
| Anti-Inflammatory Activity * (µg/mL) | Antioxidant Activity | ||||
|---|---|---|---|---|---|
| DPPH Method | β-Carotene Bleaching Assay | ||||
| Samples | IC50 (µg/mL) | AAI * | Antioxidant Activity Classification | IC50 * (µg/mL) | |
| CMF | 371.93 ± 1.55 | 279.74 ± 57.57 | 0.21 ± 0.04 | Poor | 721.55 ± 9.03 |
| CMS | 402.71 ± 6.04 | 307.49 ± 57.57 | 0.20 ± 0.09 | Poor | 608.89 ± 9.39 |
| CSAP | 745.34 ± 31.96 | 19.18 ± 5.43 | 2.93 ± 0.12 | Very strong | 466.4 ± 10.71 |
| CSS | 700.42 ± 14.87 | 20.72 ± 5.73 | 2.84 ± 0.28 | Very strong | 342.82 ± 10.03 |
| CV | 309.25 ± 6.85 | 24.57 ± 7.52 | 2.32 ± 0.02 | Very strong | 696.49 ± 25.80 |
| GP | 276.31 ± 8.08 | 25.56 ± 7.80 | 2.21 ± 0.03 | Very strong | 352.72 ± 13.39 |
| HS | 51.75 ± 3.76 | 67.83 ± 18.87 | 0.83 ± 0.04 | Moderate | 433.09 ± 20.56 |
| RP | 304.11 ± 4.91 | 126.09 ± 78.59 | 0.55 ± 0.12 | Moderate | 621.47 ± 20.85 |
| URF | 54.79 ± 2.35 | 69.02 ± 25.72 | 0.81 ± 0.04 | Moderate | 335.57 ± 6.76 |
| URL | 38.82 ± 2.72 | 945.01 ± 393.37 | 0.29 ± 0.11 | No activity | 505.96 ± 16.77 |
| Acetylsalicylic acid | 4.20 ± 1.41 | - | - | - | - |
| Gallic acid | - | 3.92 ± 1.26 | 13.00 ± 0.67 | Very strong | - |
| BHT | - | - | - | - | 99.63 ± 10.76 |
| Inhibition Zone (10 µL/Disc) | ||||
|---|---|---|---|---|
| Species | CSAP | CSS | GP | HS |
| Staphylococcus aureus ATCC 25923 | 12.67 ± 0.78 | 11.72 ± 0.43 | - | 24.03 ± 2.21 |
| Staphylococcus aureus MRSA 05/15 | 10.05 ± 0.78 | 10.77 ± 0.03 | - | 22.95 ± 0.92 |
| Bacillus cereus ATCC 11778 | 8.52 ± 0.83 | 9.99 ± 0.42 | - | 21.01 ± 1.27 |
| Listeria monocytogenes LMG 16779 | 10.55 ± 0.33 | 11.23 ± 0.57 | - | 28.91 ± 1.36 |
| Escherichia coli ATCC 25922 | - | - | - | - |
| Klebsiella pneumoniae ATCC 13883 | 8.39 ± 1.24 | 9.49 ± 0.43 | 8.63 ± 1.32 | 8.71 ± 2.18 |
| Pseudomonas aeruginosa ATCC 27853 | - | - | - | - |
| Salmonella Typhimurium ATCC 13311 | - | - | - | - |
| Acinetobacter baumannii AcB 13/10 | 9.13 ± 0.11 | 7.67 ± 0.73 | - | 6.52 ± 0.75 |
| Acinetobacter baumannii LMG 1025 | 9.11 ± 0.57 | 8.73 ± 0.53 | - | 6.3 ± 0.61 |
| Candida albicans ATCC 90028 | - | - | - | 7.53 ± 2.64 |
| Candida tropicalis ATCC 750 | - | - | - | - |
| MIC (MLC) | ||||||||||||
|---|---|---|---|---|---|---|---|---|---|---|---|---|
| Species | CMF | CMS | CSAP | CSS | CV | GP | HS | RP | URF | URL | TET | AMP B |
| Staphylococcus aureus ATCC 25923 | >2 | >2 | 0.5 (2) | 0.5 (2) | >2 | 2 | 0.008 (0.03) | >2 | >2 | >2 | 1 | - |
| Staphylococcus aureus MRSA 05/15 | >2 | >2 | 0.25 (2) | 0.5 | >2 | >2 | 0.008 (0.03) | >2 | >2 | >2 | 0.25 | - |
| Bacillus cereus ATCC 11778 | >2 | >2 | 0.25 | 0.5 | >2 | >2 | 0.008 (0.25) | >2 | >2 | >2 | 0.06 | - |
| Listeria monocytogenes LMG 16779 | >2 | >2 | 0.5 (2) | 1 | >2 | >2 | 0.008 (0.125) | >2 | >2 | >2 | 0.25 | - |
| Escherichia coli ATCC 25922 | >2 | >2 | >2 | >2 | >2 | >2 | >2 | >2 | >2 | >2 | 2 | - |
| Klebsiella pneumoniae ATCC 13883 | >2 | >2 | 1 | 1 | 2 (2) | 1 (1) | 2 (2) | >2 | >2 | 2 | 4 | - |
| Pseudomonas aeruginosa ATCC 27853 | >2 | >2 | >2 | >2 | >2 | >2 | >2 | >2 | >2 | >2 | 16 | - |
| Salmonella Typhimurium ATCC 13311 | >2 | >2 | >2 | >2 | >2 | >2 | >2 | >2 | >2 | >2 | 4 | - |
| Acinetobacter baumannii AcB 13/10 | >2 | >2 | 2 | 2 (2) | >2 | >2 | 2 | >2 | >2 | >2 | 512 | - |
| Acinetobacter baumannii LMG 1025 | >2 | >2 | 1 | 1 (1) | >2 | >2 | 2 (2) | >2 | >2 | >2 | 4 | - |
| Candida albicans ATCC 90028 | >2 | >2 | 0.03 (2) | 0.016 | >2 | >2 | 0.5 (2) | >2 | 0.03 | >2 | - | 0.5 |
| Candida tropicalis ATCC 750 | >2 | >2 | 0.25 (0.5) | 0.25 (1) | 1 (1) | 1 (2) | 0.5 (1) | >2 | 0.25 (1) | >2 | - | 1 |
Disclaimer/Publisher’s Note: The statements, opinions and data contained in all publications are solely those of the individual author(s) and contributor(s) and not of MDPI and/or the editor(s). MDPI and/or the editor(s) disclaim responsibility for any injury to people or property resulting from any ideas, methods, instructions or products referred to in the content. |
© 2025 by the authors. Licensee MDPI, Basel, Switzerland. This article is an open access article distributed under the terms and conditions of the Creative Commons Attribution (CC BY) license (https://creativecommons.org/licenses/by/4.0/).
Share and Cite
Coimbra, A.; Gallardo, E.; Luís, Â.; Gaspar, P.D.; Ferreira, S.; Duarte, A.P. Bioactive Potential of Wild Plants from Gardunha Mountain: Phytochemical Characterization and Biological Activities. Molecules 2025, 30, 3876. https://doi.org/10.3390/molecules30193876
Coimbra A, Gallardo E, Luís Â, Gaspar PD, Ferreira S, Duarte AP. Bioactive Potential of Wild Plants from Gardunha Mountain: Phytochemical Characterization and Biological Activities. Molecules. 2025; 30(19):3876. https://doi.org/10.3390/molecules30193876
Chicago/Turabian StyleCoimbra, Alexandra, Eugenia Gallardo, Ângelo Luís, Pedro Dinis Gaspar, Susana Ferreira, and Ana Paula Duarte. 2025. "Bioactive Potential of Wild Plants from Gardunha Mountain: Phytochemical Characterization and Biological Activities" Molecules 30, no. 19: 3876. https://doi.org/10.3390/molecules30193876
APA StyleCoimbra, A., Gallardo, E., Luís, Â., Gaspar, P. D., Ferreira, S., & Duarte, A. P. (2025). Bioactive Potential of Wild Plants from Gardunha Mountain: Phytochemical Characterization and Biological Activities. Molecules, 30(19), 3876. https://doi.org/10.3390/molecules30193876

