Recent Advances in the Development of Immunoproteasome Inhibitors as Anti-Cancer Agents: The Past 5 Years
Abstract
1. Introduction
2. Immunoproteasome Inhibitors in Cancer Therapy
2.1. Non-Selective Immunoproteasome Inhibitors in Clinical Uses and Trials
2.2. Selective Immunoproteasome Inhibitors
2.2.1. Covalent Peptidyl Immunoproteasome Inhibitors
2.2.2. Non-Covalent Peptidyl and Non-Peptidyl Immunoproteasome Inhibitors
2.3. Immunoproteasome Inhibitors Targeting Non-Catalytic Residues
3. SAR Studies of Immunoproteasome Inhibitors
3.1. Peptide Backbone-Based Immunoproteasome Inhibitors
3.2. Non-Peptide Backbone-Based Immunoproteasome Inhibitors
4. Conclusions
Author Contributions
Funding
Conflicts of Interest
References
- Zerfas, B.L.; Maresh, M.E.; Trader, D.J. The Immunoproteasome: An Emerging Target in Cancer and Autoimmune and Neurological Disorders. J. Med. Chem. 2020, 63, 1841–1858. [Google Scholar] [CrossRef] [PubMed]
- Coux, O.; Tanaka, K.; Goldberg, A.L. Structure and Functions of the 20S and 26S Proteasomes. Annu. Rev. Biochem. 1996, 65, 801–847. [Google Scholar] [CrossRef] [PubMed]
- Arendt, C.S.; Hochstrasser, M. Identification of the Yeast 20S Proteasome Catalytic Centers and Subunit Interactions Required for Active-Site Formation. Proc. Natl. Acad. Sci. USA 1997, 94, 7156–7161. [Google Scholar] [CrossRef] [PubMed]
- Voges, D.; Zwickl, P.; Baumeister, W. The 26S Proteasome: A Molecular Machine Designed for Controlled Proteolysis. Annu. Rev. Biochem. 1999, 68, 1015–1068. [Google Scholar] [CrossRef]
- Groettrup, M.; Kirk, C.J.; Basler, M. Proteasomes in Immune Cells: More than Peptide Producers? Nat. Rev. Immunol. 2010, 10, 73–78. [Google Scholar] [CrossRef]
- Kimura, H.; Caturegli, P.; Takahashi, M.; Suzuki, K. New Insights into the Function of the Immunoproteasome in Immune and Nonimmune Cells. J. Immunol. Res. 2015, 2015, 541984. [Google Scholar] [CrossRef]
- Caudill, C.M.; Jayarapu, K.; Elenich, L.; Monaco, J.J.; Colbert, R.A.; Griffin, T.A. T Cells Lacking Immunoproteasome Subunits MECL-1 and LMP7 Hyperproliferate in Response to Polyclonal Mitogens. J. Immunol. 2006, 176, 4075–4082. [Google Scholar] [CrossRef]
- Cui, Z.; Hwang, S.M.; Gomes, A.V. Identification of the Immunoproteasome as a Novel Regulator of Skeletal Muscle Differentiation. Mol. Cell Biol. 2014, 34, 96–109. [Google Scholar] [CrossRef]
- Zu, L.; Bedja, D.; Fox-Talbot, K.; Gabrielson, K.L.; Van Kaer, L.; Becker, L.C.; Cai, Z.P. Evidence for a Role of Immunoproteasomes in Regulating Cardiac Muscle Mass in Diabetic Mice. J. Mol. Cell Cardiol. 2010, 49, 5–15. [Google Scholar] [CrossRef]
- de Verteuil, D.A.; Rouette, A.; Hardy, M.-P.; Lavallée, S.; Trofimov, A.; Gaucher, É.; Perreault, C. Immunoproteasomes Shape the Transcriptome and Regulate the Function of Dendritic Cells. J. Immunol. 2014, 193, 1121–1132. [Google Scholar] [CrossRef]
- Rouette, A.; Trofimov, A.; Haberl, D.; Boucher, G.; Lavallée, V.P.; D’Angelo, G.; Hébert, J.; Sauvageau, G.; Lemieux, S.; Perreault, C. Expression of Immunoproteasome Genes Is Regulated by Cell-Intrinsic and -Extrinsic Factors in Human Cancers. Sci. Rep. 2016, 6, 34019. [Google Scholar] [CrossRef] [PubMed]
- Johnston-Carey, H.K.; Pomatto, L.C.D.; Davies, K.J.A. The Immunoproteasome in Oxidative Stress, Aging, and Disease. Crit. Rev. Biochem. Mol. Biol. 2016, 51, 268–281. [Google Scholar] [CrossRef]
- Chen, B.; Zhu, H.; Yang, B.; Cao, J. The Dichotomous Role of Immunoproteasome in Cancer: Friend or Foe? Acta Pharm. Sin. B 2023, 13, 1976–1989. [Google Scholar] [CrossRef]
- Huber, E.M.; Groll, M. A Nut for Every Bolt: Subunit-Selective Inhibitors of the Immunoproteasome and Their Therapeutic Potential. Cells 2021, 10, 1929. [Google Scholar] [CrossRef]
- Xi, J.; Zhuang, R.; Kong, L.; He, R.; Zhu, H.; Zhang, J. Immunoproteasome-Selective Inhibitors: An Overview of Recent Developments as Potential Drugs for Hematologic Malignancies and Autoimmune Diseases. Eur. J. Med. Chem. 2019, 182, 111646. [Google Scholar] [CrossRef] [PubMed]
- Mlecnik, B.; Bindea, G.; Kirilovsky, A.; Angell, H.K.; Obenauf, A.C.; Tosolini, M.; Church, S.E.; Maby, P.; Vasaturo, A.; Angelova, M.; et al. The Tumor Microenvironment and Immunoscore Are Critical Determinants of Dissemination to Distant Metastasis. Sci. Transl. Med. 2016, 8, 327ra26. [Google Scholar] [CrossRef] [PubMed]
- Lee, M.; Song, I.H.; Heo, S.H.; Kim, Y.A.; Park, I.A.; Bang, W.S.; Park, H.S.; Gong, G.; Lee, H.J. Expression of Immunoproteasome Subunit LMP7 in Breast Cancer and Its Association with Immune-Related Markers. Cancer Res. Treat. 2019, 51, 80–89. [Google Scholar] [CrossRef]
- Koerner, J.; Brunner, T.; Groettrup, M. Inhibition and Deficiency of the Immunoproteasome Subunit LMP7 Suppress the Development and Progression of Colorectal Carcinoma in Mice. Oncotarget 2017, 8, 50873. [Google Scholar] [CrossRef]
- Frisan, T.; Levitsky, V.; Masucci, M.G. Variations in Proteasome Subunit Composition and Enzymatic Activity in B-Lymphoma Lines and Normal B Cells. Int. J. Cancer 2000, 88, 881–888. [Google Scholar] [CrossRef]
- Ebstein, F.; Kloetzel, P.M.; Krüger, E.; Seifert, U. Emerging Roles of Immunoproteasomes beyond MHC Class i Antigen Processing. Cell. Mol. Life Sci. 2012, 69, 2543–2558. [Google Scholar] [CrossRef]
- Ogorevc, E.; Schiffrer, E.S.; Sosič, I.; Gobec, S. A Patent Review of Immunoproteasome Inhibitors. Expert. Opin. Ther. Pat. 2018, 28, 517–540. [Google Scholar] [CrossRef] [PubMed]
- Groll, M.; Ditzel, L.; Löwe, J.; Stock, D.; Bochtler, M.; Bartunik, H.D.; Huber, R. Structure of 20S Proteasome from Yeast at 2.4 Å Resolution. Nature 1997, 386, 463–471. [Google Scholar] [CrossRef] [PubMed]
- Kisselev, A.F.; Van Der Linden, W.A.; Overkleeft, H.S. Proteasome Inhibitors: An Expanding Army Attacking a Unique Target. Chem. Biol. 2012, 19, 99–115. [Google Scholar] [CrossRef]
- Lickliter, J.; Bomba, D.; Anderl, J.; Fan, A.; Kirk, C.J.; Wang, J. AB0509 Kzr-616, a Selective Inhibitor of the Immunoproteasome, Shows a Promising Safety and Target Inhibition Profile in a Phase i, Double-Blind, Single (SAD) and Multiple Ascending Dose (MAD) Study in Healthy Volunteers. In Proceedings of the Annual European Congress of Rheumatology, EULAR 2018, Amsterdam, The Netherlands, 13–16 June 2018. [Google Scholar]
- Orlowski, R.Z.; Stinchcombe, T.E.; Mitchell, B.S.; Shea, T.C.; Baldwin, A.S.; Stahl, S.; Adams, J.; Esseltine, D.L.; Elliott, P.J.; Pien, C.S.; et al. Phase I Trial of the Proteasome Inhibitor PS-341 in Patients with Refractory Hematologic Malignancies. J. Clin. Oncol. 2002, 20, 4420–4427. [Google Scholar] [CrossRef]
- Groll, M.; Kim, K.B.; Kairies, N.; Huber, R.; Crews, C.M. Crystal Structure of Epoxomicin:20S Proteasome Reveals a Molecular Basis for Selectivity of α’,β’-Epoxyketone Proteasome Inhibitors. J. Am. Chem. Soc. 2000, 122, 1237–1238. [Google Scholar] [CrossRef]
- Demo, S.D.; Kirk, C.J.; Aujay, M.A.; Buchholz, T.J.; Dajee, M.; Ho, M.N.; Jiang, J.; Laidig, G.J.; Lewis, E.R.; Parlati, F.; et al. Antitumor Activity of PR-171, a Novel Irreversible Inhibitor of the Proteasome. Cancer Res. 2007, 67, 6383–6391. [Google Scholar] [CrossRef]
- Kupperman, E.; Lee, E.C.; Cao, Y.; Bannerman, B.; Fitzgerald, M.; Berger, A.; Yu, J.; Yang, Y.; Hales, P.; Bruzzese, F.; et al. Evaluation of the Proteasome Inhibitor MLN9708 in Preclinical Models of Human Cancer. Cancer Res. 2010, 70, 1970–1980. [Google Scholar] [CrossRef]
- Zhou, H.J.; Aujay, M.A.; Bennett, M.K.; Dajee, M.; Demo, S.D.; Fang, Y.; Ho, M.N.; Jiang, J.; Kirk, C.J.; Laidig, G.J.; et al. Design and Synthesis of an Orally Bioavailable and Selective Peptide Epoxyketone Proteasome Inhibitor (PR-047). J. Med. Chem. 2009, 52, 3028–3038. [Google Scholar] [CrossRef]
- Allegra, A.; Alonci, A.; Gerace, D.; Russo, S.; Innao, V.; Calabrò, L.; Musolino, C. New Orally Active Proteasome Inhibitors in Multiple Myeloma. Leuk. Res. 2014, 30, 1–9. [Google Scholar] [CrossRef]
- Fenical, W.; Jensen, P.R.; Palladino, M.A.; Lam, K.S.; Lloyd, G.K.; Potts, B.C. Discovery and Development of the Anticancer Agent Salinosporamide A (NPI-0052). Bioorg Med. Chem. 2009, 17, 2175–2180. [Google Scholar] [CrossRef]
- Feling, R.H.; Buchanan, G.O.; Mincer, T.J.; Kauffman, C.A.; Jensen, P.R.; Fenical, W. Salinosporamide A: A Highly Cytotoxic Proteasome Inhibitor from a Novel Microbial Source, a Marine Bacterium of the New Genus Salinospora. Angew. Chem.—Int. Ed. 2003, 42, 355–357. [Google Scholar] [CrossRef] [PubMed]
- Kusaczuk, M.; Tyszka, N.; Krętowski, R.; Cechowska-Pasko, M. The Proteasome Inhibitor Marizomib Evokes Endoplasmic Reticulum Stress and Promotes Apoptosis in Human Glioblastoma Cells. Pharmaceuticals 2024, 17, 1089. [Google Scholar] [CrossRef] [PubMed]
- Huber, E.M.; Basler, M.; Schwab, R.; Heinemeyer, W.; Kirk, C.J.; Groettrup, M.; Groll, M. Immuno- and Constitutive Proteasome Crystal Structures Reveal Differences in Substrate and Inhibitor Specificity. Cell 2012, 148, 727–738. [Google Scholar] [CrossRef] [PubMed]
- Downey-Kopyscinski, S.; Daily, E.W.; Gautier, M.; Bhatt, A.; Florea, B.I.; Mitsiades, C.S.; Richardson, P.G.; Driessen, C.; Overkleeft, H.S.; Kisselev, A.F. An Inhibitor of Proteasome B2 Sites Sensitizes Myeloma Cells to Immunoproteasome Inhibitors. Blood Adv. 2018, 2, 2443–2451. [Google Scholar] [CrossRef]
- Jenkins, T.W.; Downey-Kopyscinski, S.L.; Fields, J.L.; Rahme, G.J.; Colley, W.C.; Israel, M.A.; Maksimenko, A.V.; Fiering, S.N.; Kisselev, A.F. Activity of Immunoproteasome Inhibitor ONX-0914 in Acute Lymphoblastic Leukemia Expressing MLL–AF4 Fusion Protein. Sci. Rep. 2021, 11, 10883. [Google Scholar] [CrossRef]
- Singh, A.V.; Bandi, M.; Aujay, M.A.; Kirk, C.J.; Hark, D.E.; Raje, N.; Chauhan, D.; Anderson, K.C. PR-924, a Selective Inhibitor of the Immunoproteasome Subunit LMP-7, Blocks Multiple Myeloma Cell Growth Both in Vitro and in Vivo. Br. J. Haematol. 2011, 152, 155–163. [Google Scholar] [CrossRef]
- Kirk, C.J.; Muchamuel, T.; Wang, J.; Fan, R.A. Discovery and Early Clinical Development of Selective Immunoproteasome Inhibitors. Cells 2022, 11, 9. [Google Scholar] [CrossRef]
- Kezar Life Sciences, Inc. Responsible P. A Study of KZR-616 in Patients with SLE with and Without Lupus Nephritis (MISSION). Available online: https://www.clinicaltrials.gov/study/NCT03393013 (accessed on 17 January 2025).
- Kezar Life Sciences, Inc. Responsible P. A Phase 2 Study of KZR-616 to Evaluate Safety and Efficacy in Patients with Active Polymyositis or Dermatomyositis (PRESIDIO). Available online: https://www.clinicaltrials.gov/study/NCT04033926 (accessed on 17 January 2025).
- Blackburn, C.; Gigstad, K.M.; Hales, P.; Garcia, K.; Jones, M.; Bruzzese, F.J.; Barrett, C.; Liu, J.X.; Soucy, T.A.; Sappal, D.S.; et al. Characterization of a New Series of Non-Covalent Proteasome Inhibitors with Exquisite Potency and Selectivity for the 20S Β5-Subunit. Biochem. J. 2010, 430, 461–476. [Google Scholar] [CrossRef]
- Singh, P.K.; Fan, H.; Jiang, X.; Shi, L.; Nathan, C.F.; Lin, G. Immunoproteasome Β5i-Selective Dipeptidomimetic Inhibitors. ChemMedChem 2016, 11, 2127–2131. [Google Scholar] [CrossRef]
- Karreci, E.S.; Fan, H.; Uehara, M.; Mihali, A.B.; Singh, P.K.; Kurdi, A.T.; Solhjou, Z.; Riella, L.V.; Ghobrial, I.; Laragione, T.; et al. Brief Treatment with a Highly Selective Immunoproteasome Inhibitor Promotes Long-Term Cardiac Allograft Acceptance in Mice. Proc. Natl. Acad. Sci. USA 2016, 113, E8425–E8432. [Google Scholar] [CrossRef]
- Santos, R.D.L.A.; Bai, L.; Singh, P.K.; Murakami, N.; Fan, H.; Zhan, W.; Zhu, Y.; Jiang, X.; Zhang, K.; Assker, J.P.; et al. Structure of Human Immunoproteasome with a Reversible and Noncompetitive Inhibitor That Selectively Inhibits Activated Lymphocytes. Nat. Commun. 2017, 8, 1692. [Google Scholar] [CrossRef] [PubMed]
- Forooghi, K.; Amiri Rudbari, H.; Stagno, C.; Iraci, N.; Cuevas-Vicario, J.V.; Kordestani, N.; Schirmeister, T.; Efferth, T.; Omer, E.A.; Moini, N.; et al. Structural Features and Antiproliferative Activity of Pd(II) Complexes with Halogenated Ligands: A Comparative Study between Schiff Base and Reduced Schiff Base Complexes. Dalton Trans. 2024, 53, 10571–10591. [Google Scholar] [CrossRef] [PubMed]
- Sosič, I.; Gobec, M.; Brus, B.; Knez, D.; Živec, M.; Konc, J.; Lešnik, S.; Ogrizek, M.; Obreza, A.; Žigon, D.; et al. Nonpeptidic Selective Inhibitors of the Chymotrypsin-Like (Β5 i) Subunit of the Immunoproteasome. Angew. Chem.—Int. Ed. 2016, 55, 5745–5748. [Google Scholar] [CrossRef] [PubMed]
- Dubiella, C.; Baur, R.; Cui, H.; Huber, E.M.; Groll, M. Selective Inhibition of the Immunoproteasome by Structure-Based Targeting of a Non-Catalytic Cysteine. Angew. Chem.—Int. Ed. 2015, 54, 15888–15891. [Google Scholar] [CrossRef]
- Kollár, L.; Gobec, M.; Proj, M.; Smrdel, L.; Knez, D.; Imre, T.; Gömöry, Á.; Petri, L.; Ábrányi-Balogh, P.; Csányi, D.; et al. Fragment-Sized and Bidentate (Immuno)Proteasome Inhibitors Derived from Cysteine and Threonine Targeting Warheads. Cells 2021, 10, 3431. [Google Scholar] [CrossRef]
- Basler, M.; Lindstrom, M.M.; LaStant, J.J.; Bradshaw, J.M.; Owens, T.D.; Schmidt, C.; Maurits, E.; Tsu, C.; Overkleeft, H.S.; Kirk, C.J.; et al. Co-inhibition of Immunoproteasome Subunits LMP2 and LMP7 Is Required to Block Autoimmunity. EMBO Rep. 2018, 19, e46512. [Google Scholar] [CrossRef]
- Quesne, M.G.; Ward, R.A.; de Visser, S.P. Cysteine Protease Inhibition by Nitrile-Based Inhibitors: A Computational Study. Front. Chem. 2013, 1, 39. [Google Scholar] [CrossRef]
- Zhan, W.; Singh, P.K.; Ban, Y.; Qing, X.; Ah Kioon, M.D.; Fan, H.; Zhao, Q.; Wang, R.; Sukenick, G.; Salmon, J.; et al. Structure-Activity Relationships of Noncovalent Immunoproteasome Β5i-Selective Dipeptides. J. Med. Chem. 2020, 63, 13103–13123. [Google Scholar] [CrossRef]
- Li, X.; Hong, D.; Zhang, M.; Xu, L.; Zhou, Y.; Li, J.; Liu, T. Development of Peptide Epoxyketones as Selective Immunoproteasome Inhibitors. Eur. J. Med. Chem. 2021, 221, 113556. [Google Scholar] [CrossRef]
- Nan, G.; Huang, L.; Li, Y.; Yang, Y.; Yang, Y.; Li, K.; Lai, F.; Chen, X.; Xiao, Z. Identification of N, C-Capped Di- and Tripeptides as Selective Immunoproteasome Inhibitors. Eur. J. Med. Chem. 2022, 234, 114252. [Google Scholar] [CrossRef]
- Schiffrer, E.S.; Sosič, I.; Šterman, A.; Mravljak, J.; Raščan, I.M.; Gobec, S.; Gobec, M. A Focused Structure-Activity Relationship Study of Psoralen-Based Immunoproteasome Inhibitors. Medchemcomm 2019, 10, 1958–1965. [Google Scholar] [CrossRef] [PubMed]
- Schiffrer, E.S.; Proj, M.; Gobec, M.; Rejc, L.; Šterman, A.; Mravljak, J.; Gobec, S.; Sosič, I. Synthesis and Biochemical Evaluation of Warhead-Decorated Psoralens as (Immuno)Proteasome Inhibitors. Molecules 2021, 26, 356. [Google Scholar] [CrossRef] [PubMed]
- Gobec, M.; Obreza, A.; Jukič, M.; Baumgartner, A.; Mihelčič, N.; Potočnik, Š.; Virant, J.; Mlinarič, I.; Stanislav, R.; Sosič, G.I. Design and Synthesis of Amino-Substituted N-Arylpiperidinyl-Based Inhibitors of the (Immuno)Proteasome. Acta Pharm. 2023, 73, 441–456. [Google Scholar] [CrossRef] [PubMed]
- Kollár, L.; Gobec, M.; Szilágyi, B.; Proj, M.; Knez, D.; Ábrányi-Balogh, P.; Petri, L.; Imre, T.; Bajusz, D.; Ferenczy, G.G.; et al. Discovery of Selective Fragment-Sized Immunoproteasome Inhibitors. Eur. J. Med. Chem. 2021, 219, 113455. [Google Scholar] [CrossRef]
- Ladi, E.; Everett, C.; Stivala, C.E.; Daniels, B.E.; Durk, M.R.; Harris, S.F.; Huestis, M.P.; Purkey, H.E.; Staben, S.T.; Augustin, M.; et al. Design and Evaluation of Highly Selective Human Immunoproteasome Inhibitors Reveal a Compensatory Process That Preserves Immune Cell Viability. J. Med. Chem. 2019, 62, 7032–7041. [Google Scholar] [CrossRef]
- Verdoes, M.; Florea, B.I.; Menendez-Benito, V.; Maynard, C.J.; Witte, M.D.; van der Linden, W.A.; van den Nieuwendijk, A.M.C.H.; Hofmann, T.; Berkers, C.R.; van Leeuwen, F.W.B.; et al. A Fluorescent Broad-Spectrum Proteasome Inhibitor for Labeling Proteasomes In Vitro and In Vivo. Chem. Biol. 2006, 13, 1217–1226. [Google Scholar] [CrossRef]
- Zhu, Y.; Zhao, X.; Zhu, X.; Wu, G.; Li, Y.; Ma, Y.; Yuan, Y.; Yang, J.; Hu, Y.; Ai, L.; et al. Design, Synthesis, Biological Evaluation, and Structure-Activity Relationship (SAR) Discussion of Dipeptidyl Boronate Proteasome Inhibitors, Part I: Comprehensive Understanding of the SAR of α-Amino Acid Boronates. J. Med. Chem. 2009, 52, 4192–4199. [Google Scholar] [CrossRef]
- Zhang, X.; Adwal, A.; Turner, A.G.; Callen, D.F.; Abell, A.D. New Peptidomimetic Boronates for Selective Inhibition of the Chymotrypsin-like Activity of the 26S Proteasome. ACS Med. Chem. Lett. 2016, 7, 1039–1043. [Google Scholar] [CrossRef]
- Klein, M.; Busch, M.; Friese-Hamim, M.; Crosignani, S.; Fuchss, T.; Musil, D.; Rohdich, F.; Sanderson, M.P.; Seenisamy, J.; Walter-Bausch, G.; et al. Structure-Based Optimization and Discovery of M3258, a Specific Inhibitor of the Immunoproteasome Subunit LMP7 (Β5i). J. Med. Chem. 2021, 64, 10230–10245. [Google Scholar] [CrossRef]
- Welter, J.; Kavanagh, P.; Meyer, M.R.; Maurer, H.H. Benzofuran Analogues of Amphetamine and Methamphetamine: Studies on the Metabolism and Toxicological Analysis of 5-APB and 5-MAPB in Urine and Plasma Using GC-MS and LC-(HR)-MSn Techniques. Anal. Bioanal. Chem. 2015, 407, 1371–1388. [Google Scholar] [CrossRef]






















![]() | |||||||
|---|---|---|---|---|---|---|---|
| Cmpd. | R4 | R3 | R2 | R1 | β5i IC50 (μM) | β5c IC50 (μM) | β5i Selectivity (β5c/β5i Ratio) |
| DPLG3 | ![]() | ![]() | ![]() | ![]() | 0.0045 | 32.4 | 7200 |
| 1 | ![]() | ![]() | CH3OCH2- | ![]() | 0.0044 | 0.3 | 68 |
| 2 | ![]() | ![]() | CH3OCH2- | ![]() | 0.501 ± 0.328 | 27.23 ± 25.43 | 54 |
| 3 | ![]() | ![]() | CH3OCH2- | ![]() | 0.0837 ± 0.0302 | 1.04 ± 0.159 | 12 |
| 4 | ![]() | ![]() | CH3- | ![]() | 0.0057 ± 0.0018 | 1.32 ± 0.43 | 230 |
| 5 | ![]() | ![]() | CH3- | ![]() | 0.0197 ± 0.0011 | >100 | >5076 |
| 6 | ![]() | ![]() | CH3- | ![]() | 0.0259 ± 0.0024 | 47.67 ± 30.19 | 1840 |
| 7 | ![]() | ![]() | CH3- | ![]() | 2.812 ± 0.512 | >100 | >35 |
| 8 | ![]() | ![]() | CH3- | ![]() | 21.65 ± 10.99 | >100 | >5 |
| 9 | ![]() | ![]() | ![]() | ![]() | 35.0 ± 18.5 | >100 | >2.8 |
| 10 | ![]() | ![]() | ![]() | ![]() | 0.020 ± 0.05 | 0.307 ± 0.101 | 15 |
| 11 | ![]() | ![]() | CH3OCH2- | ![]() | 0.0072 ± 0.0029 | 0.514 ± 0.034 | 71 |
| 12 | ![]() | ![]() | CH3OCH2- | ![]() | 0.0023 ± 0.0011 | 0.055 ± 0.015 | 24 |
| 13 | ![]() | ![]() | CH3- | ![]() | 0.0015 ± 0.004 | 0.12 ± 0.023 | 80 |
| 14 | ![]() | ![]() | CH3- | ![]() | 0.0016 ± 0.002 | 0.244 ± 0.021 | 152 |
| 15 | ![]() | ![]() | CH3- | ![]() | 0.0508 ± 0.0053 | 10.73 ± 3.38 | 204 |
| 16 | ![]() | ![]() | CH3- | ![]() | 0.0012 ± 0.0004 | 0.61 ± 0.221 | 508 |
| 17 | ![]() | ![]() | CH3- | ![]() | 0.188 ± 0.0015 | 28.52 ± 2.88 | 984 |
| 18 | ![]() | ![]() | CH3- | ![]() | 0.0004 ± 0.0002 | 0.424 ± 0.202 | 1208 |
| 19 | ![]() | ![]() | CH3- | ![]() | 0.0024 ± 0.0003 | 5.52 ± 0.928 | 2329 |
| 20 | ![]() | ![]() | CH3- | ![]() | 0.0164 ± 0.0022 | 53.7 ± 13.3 | 3274 |
| 21 | ![]() | ![]() | CH3OCH2- | ![]() | 0.0008 ± 0.0003 | 1.456 ± 0.829 | 1881 |
| 22 | ![]() | ![]() | CH3OCH2- | ![]() | 0.056 ± 0.002 | 13.74 ± 1.866 | 246 |
![]() | ||||||
|---|---|---|---|---|---|---|
| Cmpd. | R3 | N-Cap | R2 | β5i IC50 (μM) | β5c IC50 (μM) | β5i Selectivity (β5c/β5i Ratio) |
| ONX-0914 | ![]() | ![]() | ![]() | 28.2 ± 9.2 | 196.7 ± 77.0 | 7.0 |
| 23 | ![]() | ![]() | ![]() | 21.1 ± 0.3 | 25.6 ± 1.0 | 1.2 |
| 24 | ![]() | ![]() | 245.1 ± 117.5 | 468.2 ± 69.6 | 1.5 | |
| 25 | ![]() | ![]() | ![]() | 44.5 ± 0.7 | 1106.6 ± 338.6 | 24.8 |
| 26 | ![]() | ![]() | 26.0 ± 6.28 | 647.1 ± 121.0 | 24.9 | |
![]() | ||||||
|---|---|---|---|---|---|---|
| Cmpd. | R4 | R3 | R2 | β5i IC50 (nM) | β5c IC50 (nM) | β5i Selectivity (β5c/β5i Ratio) |
| 4-CA | ![]() | ![]() | ![]() | 2765 ± 255 | >10,000 | >4 |
| 27 | ![]() | ![]() | ![]() | 3.54 ± 0.09 | 50.78 ± 4.05 | 14 |
![]() | ||||||
| Cmpd. | R | R2 | R1 | β5i IC50 (nM) | β5c IC50 (nM) | β5i Selectivity (β5c/β5i Ratio) |
| 28 | ![]() | ![]() | ![]() | 3.90 ± 0.11 | 48.21 ± 2.86 | 12 |
| 29 | ![]() | ![]() | ![]() | 3.82 ± 0.44 | 431 ± 76 | 113 |
| 30 | ![]() | ![]() | ![]() | 3.81 ± 0.22 | 230 ± 24 | 60 |
| 31 | ![]() | ![]() | ![]() | 3.67 ± 0.42 | 80.61 ± 3.23 | 22 |
| 32 | ![]() | ![]() | ![]() | 8.75 ± 1.24 | 1087 ± 218 | 124 |
| 33 | ![]() | ![]() | ![]() | 1.74 ± 0.15 | 387 ± 34 | 222 |
| 34 | ![]() | ![]() | ![]() | 1.07 ± 0.23 | 572 ± 57 | 535 |
| 35 | ![]() | ![]() | ![]() | 16.84 ± 2.24 | 869 ± 94 | 52 |
| Cmpd. | Structure | β5i IC50 (μM) | β5c IC50 (μM) | β5i Selectivity (β5c/β5i Ratio) |
|---|---|---|---|---|
| 42 | ![]() | 71 ± 10 | 38 ± 8 | 0.5 |
| 43 | ![]() | 13 ± 2 | 25 ± 8 | 1.9 |
| 44 | ![]() | 6 ± 1 | 4 ± 0 | 0.7 |
| Cmpd | Structure | β5i IC50 (μM) | % Inhibition on β5c | β5i Selectivity (β5c/β5i Ratio) |
|---|---|---|---|---|
| 45 | ![]() | 17 | 100% | n.d. |
| 46 | ![]() | 13 | 85% | n.d. |
| 47 | ![]() | 114 | 100% | n.d. |
| 48 | ![]() | 94 | 91% | n.d. |
| 49 | ![]() | 4.2 ± 0.9 | 94% | n.d. |
| 50 | ![]() | 1.8 ± 0.3 | 99% | n.d. |
| 51 | ![]() | 4.1 ± 0.9 | 87% | n.d. |
| 52 | ![]() | 7.2 ± 6.1 | n.d. | n.d. |
| 53 | ![]() | 3.0 ± 1.3 | n.d. | n.d. |
| Cmpd | Structure | β5i IC50 (μM) | β5c IC50 (μM) | β5i Selectivity (β5c/β5i Ratio) |
|---|---|---|---|---|
| 54 | ![]() | 83 ± 6.0 | 82% | n.d. |
| 55 | ![]() | 11 ± 2.0 | 81 ± 4.1 | 7.4 |
| 56 | ![]() | 9.1 ± 4.5 | 45 ± 17 | 5 |
| 57 | ![]() | 10 ± 4.6 | 93 ± 34 | 9.3 |
| Cmpd | Structure | β5i IC50 (μM) | β5c IC50 (μM) | β5i Selectivity (β5c/β5i Ratio) |
|---|---|---|---|---|
| 58 | ![]() | 3.6 ± 2.8 | 30 ± 12 | 8.3 |
| 59 | ![]() | 4.2 ± 2.5 | 53% | n.d. |
| 60 | ![]() | 2.1 ± 1.2 | 11 ± 9 | 5.2 |
| 61 | ![]() | 7.4 ± 1.7 | 55% | n.d. |
| Cmpd | β5i IC50 (nM) | β5c IC50 (nM) | β5i Selectivity (β5c/β5i Ratio) |
|---|---|---|---|
| Bortezomib | 1.3 ± 0.9 | 3.2 ± 1.5 | 2.5 |
| Ixazomib | 2.9 ± 2.3 | 5.0 ± 2.5 | 1.7 |
| Carfilzomib | 3.2 ± 1.1 | 2.1 ± 0.9 | 0.6 |
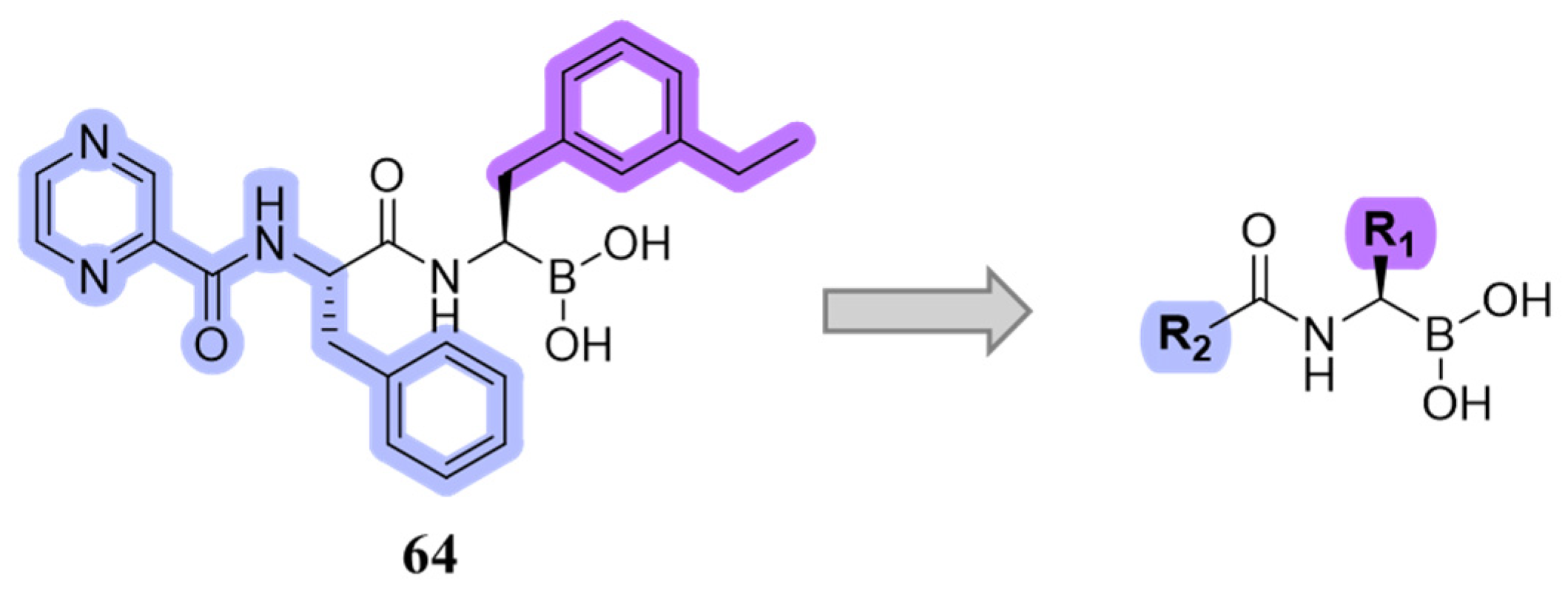
| 64 | 1.7 ± 0.7 | 41 ± 16 | 24 |
![]() | |||||
|---|---|---|---|---|---|
| Cmpd | R2 | R1 | β5i IC50 (nM) | β5c IC50 (nM) | β5i Selectivity (β5c/β5i Ratio) |
| 65 | ![]() | ![]() | 1000 ± 120 | 15,000 ± 3450 | 15 |
| 66 | ![]() | ![]() | 160 ± 340 | 16,000 ± 1910 | 99 |
| 67 | ![]() | ![]() | 85 ± 2.8 | 15,000 ± 707 | 182 |
| 68 | ![]() | ![]() | 2.1 ± 1.0 | 900 ± 420 | 419 |
| 69 | ![]() | ![]() | 3.1 ± 0.7 | 7200 ± 495 | 2334 |
![]() | |||||
|---|---|---|---|---|---|
| Cmpd | R2 | R1 | β5i IC50 (nM) | β5c IC50 (nM) | β5i Selectivity (β5c/β5i Ratio) |
| 70 | ![]() | ![]() | 5.2 ± 0.6 | 1700 ± 71 | 334 |
| 71 | ![]() | ![]() | 3.1 ± 0.8 | 2400 ± 669 | 758 |
| 72 | ![]() | ![]() | 2.9 ± 0.3 | 7400 ± 1270 | 2573 |
| 73 | ![]() | ![]() | 4.4 ± 0.5 | 14,000 ±1410 | 3147 |
| 74 | ![]() | ![]() | 6 ± 2.0 | 820 ± 35 | 137 |
| 75 | ![]() | ![]() | 1.9 ± 0.4 | 400 ± 71 | 205 |
| 76 | ![]() | ![]() | 3.6 ± 2.4 | 2500 ± 396 | 684 |
| 77 | ![]() | ![]() | 89 ± 17.9 | 15,000 ± 3310 | 173 |
| 78 | ![]() | ![]() | 140 ± 21 | >30,000 | >210 |
Disclaimer/Publisher’s Note: The statements, opinions and data contained in all publications are solely those of the individual author(s) and contributor(s) and not of MDPI and/or the editor(s). MDPI and/or the editor(s) disclaim responsibility for any injury to people or property resulting from any ideas, methods, instructions or products referred to in the content. |
© 2025 by the authors. Licensee MDPI, Basel, Switzerland. This article is an open access article distributed under the terms and conditions of the Creative Commons Attribution (CC BY) license (https://creativecommons.org/licenses/by/4.0/).
Share and Cite
Mancuso, F.; Di Chio, C.; Di Matteo, F.; Smaldone, G.; Iraci, N.; Giofrè, S.V. Recent Advances in the Development of Immunoproteasome Inhibitors as Anti-Cancer Agents: The Past 5 Years. Molecules 2025, 30, 755. https://doi.org/10.3390/molecules30030755
Mancuso F, Di Chio C, Di Matteo F, Smaldone G, Iraci N, Giofrè SV. Recent Advances in the Development of Immunoproteasome Inhibitors as Anti-Cancer Agents: The Past 5 Years. Molecules. 2025; 30(3):755. https://doi.org/10.3390/molecules30030755
Chicago/Turabian StyleMancuso, Francesca, Carla Di Chio, Francesca Di Matteo, Gerardina Smaldone, Nunzio Iraci, and Salvatore Vincenzo Giofrè. 2025. "Recent Advances in the Development of Immunoproteasome Inhibitors as Anti-Cancer Agents: The Past 5 Years" Molecules 30, no. 3: 755. https://doi.org/10.3390/molecules30030755
APA StyleMancuso, F., Di Chio, C., Di Matteo, F., Smaldone, G., Iraci, N., & Giofrè, S. V. (2025). Recent Advances in the Development of Immunoproteasome Inhibitors as Anti-Cancer Agents: The Past 5 Years. Molecules, 30(3), 755. https://doi.org/10.3390/molecules30030755










































































































































































