Abstract
Gliotoxin, produced by fungi, is an epipolythiodioxopiperazine (ETP) toxin with bioactivities such as anti-liver fibrosis, antitumor, antifungus, antivirus, antioxidation, and immunoregulation. Recently, cytotoxic gliotoxins were isolated from a deep-sea-derived fungus, Dichotomomyces cejpii. However, the biosynthetic pathway for gliotoxins in D. cejpii remains unclear. In this study, the transcriptome of D. cejpii was sequenced using an Illumina Hiseq 2000. A total of 19,125 unigenes for D. cejpii were obtained from 9.73 GB of clean reads. Ten genes related to gliotoxin biosynthesis were annotated. The expression levels of gliotoxin-related genes were detected through quantitative real-time polymerase chain reaction (qRT-PCR). The GliG gene, encoding a glutathione S-transferase (DC-GST); GliI, encoding an aminotransferase (DC-AI); and GliO, encoding an aldehyde reductase (DC-AR), were cloned and expressed, purified, and characterized. The results suggested the important roles of DC-GST, DC-AT, and DC-AR in the biosynthesis of gliotoxins. Our study on the genes related to gliotoxin biosynthesis establishes a molecular foundation for the wider application of gliotoxins from D. cejpii in the biomedical industry in the future.
1. Introduction
Gliotoxin is an epipolythiodioxopiperazine (ETP) toxin with bioactivities such as anti-liver fibrosis, antitumor, antifungus, antivirus, antioxidation, and immunoregulation. It was reported that gliotoxin could inhibit the proliferation of cancer cells and the replication of virus RNAs, and induced the apoptosis of hepatic stellate cells, as well as suppressing the expression of transcription factor NF-κB to reduce the symptom of inflammation [1,2,3]. Gliotoxins have broad application prospects in the biomedical industry and agriculture. A synthetic analog of the natural gliotoxin derivative produced by marine-derived Aspergillus sp. CNC-139, named as plinabulin, has entered phase III clinical study for the treatment of nonsmall cell lung cancer [4]. Gliotoxin has also been developed as an antifungal agent to prevent rice BLAST and banded sclerotial blight [5]. It also has been demonstrated that the presence of gliotoxin can promote the survival rate when A. fumigatus is exposed to high levels of H2O2 [6].
Gliotoxins have been isolated from different fungi, including Aspergillus sp. [6,7], Trichoderma virens [8], Gliocladium fumbriatum [9], Eurotium sp. [10], Penicillium sp. [11], and D. cejpii [12]. The biosynthetic pathway of gliotoxins in A. fumigatus has been elucidated. The gli cluster related to the gliotoxin biosynthesis in A. fumigatus was identified [13,14,15], which consists of 13 genes. It has been demonstrated that GliG encodes a glutathione S-transferase (GST), which conjugates two glutathione (GSH) molecules to form a bis-glutathionylated biosynthetic intermediate, and which is responsible for the sulfurization of gliotoxin, demonstrating that GSTs play an important biosynthetic role in the fungus [13]. GliI encodes an aminotransferase, which removes the amino groups in the side chain during the process of gliotoxin biosynthesis. GliO encodes an aldehyde reductase in A. fumigatus, which is characterized by a broad substrate specificity and a great preference of the reduction reaction [13].
In our previous study, cytotoxic gliotoxins with new structures were isolated from a deep-sea-derived fungus, Dichotomomyces cejpii FS110, which showed anticancer activity towards cancer cells including HepG-2, MCF-7, and SF-268 [12]; and the ITS (Internal Transcribed Spacer) sequence of D. cejpii showed an identity of 93% with that of A. fumigatus. However, the biosynthetic mechanism of gliotoxins in D. cejpii remains unclear. It is necessary to investigate the biosynthetic pathway of gliotoxins in D. cejpii. In this study, the transcriptome of D. cejpii was sequenced using the Illumina sequencing platform. Genes related to gliotoxin biosynthesis in D. cejpii including GliG, GliI, and GliO were expressed, purified, and characterized. This is the first report on the characterization of the complete transcriptome of the deep-sea fungus D. cejpii and revealing genes related to gliotoxin biosynthesis in D. cejpii. Moreover, the elucidation of genes related to gliotoxin biosynthesis will establish a foundation for the metabolic engineering of D. cejpii to promote the discovery of new bioactive gliotoxins, thus facilitating the future application of gliotoxins in the biomedical industry.
2. Results
2.1. Sequencing and De Novo Assembly
In summary, 115,692,236 sequence reads with Q20 value of 97.70% and GC percent of 53.38% were generated and a total of 9,715,411,080 (9.49 GB) nucleotides was obtained, and raw data were deposited in the NCBI (National Center for Biotechnology Information) database with the accession number SRR113435. The short reads were assembled, and 19,301 contigs with a mean length of 1048 bp and 19,125 unigenes with a mean length of 2946 bp were obtained. A total of 7230 unigenes with lengths greater than 3000 bp were found. The length distribution of the D. cejpii FS110 transcriptome is shown in Figure S1, and the coding sequences (CDS) of the D. cejpii FS110 transcriptome is also shown (Figure S2). In total, 1048 CDS with sequence lengths of more than 3000 nt were found.
2.2. Functional Annotation and Classification
All the unigenes were annotated by public databases, including NR (non-redundant), NT, Swissprot, KEGG (Kyoto Encyclopedia of Genes and Genomes), COG (Cluster of Orthologous Groups of proteins), and GO (Gene Ontology Consortium); 15,196 unigenes were annotated. The unigene number of D. cejpii FS110 annotated in different public databases is shown in Table S1; 15,570 unigenes were annotated in the NR database. The NR classification was shown in Figure 1. Overall, 52.5% of the unigenes showed a very high E-value, 17.2% of the unigenes showed similarity of less than 60%, and 32.6% of the unigenes showed similarity of 60–80%. The species distribution results showed that 49.0%, 20.9%, and 6.4% of the unigenes were annotated in Aspergillus clavatus, Neosartoya fischeri, and Aspergillus fumigatus, respectively. The results suggested that there are probably great differences in the gli clusters between A. fumigatus and D. cejpii FS110.
Figure 1.
The NR classification of the D. cejpii FS110 transcriptome: (A) The E-value distribution; (B) The similarity distribution; (C) The species distribution.
A total of 15,916 unigenes were annotated and grouped into 25 functional classifications (Figure 2A). The most frequently identified classes were “general function” (3881, 24.4%) and carbohydrate transport and metabolism (1904, 11.9%), followed by amino acid transport and metabolism (1890, 11.8%); transcription (1512, 9.5%); translation (1197, 7.5%); inorganic ion transport and metabolism (1144, 7.2%); function unknown (1132, 7.1%); cell cycle (991, 6.2%); energy production and conversion (964, 6.1%); secondary metabolite biosynthesis, transport, and catabolism (945, 5.9%); and post-translational modification, protein turnover, and chaperones (927, 5.8%). The other 11,087 unigenes were annotated by the GO database and classified into the biological process, cellular component, and molecular function categories (Figure 2B). The high percentage of unigenes involved in the function of catalytic activity indicated the variety of the secondary metabolites produced by D. cejpii FS110. To further investigate the biological function of the unigenes, a total of 4569 unigenes were assigned to the metabolic pathways described in the KEGG database, including metabolic pathways, biosynthesis of secondary metabolites, ubiquitin-mediated proteolyis, mitogen-activated protein kinase (MAPK) signaling pathway, and regulation of autophagy RNA transport.
Figure 2.
COG (Cluster of Orthologous Groups of proteins) function and GO (Gene Ontology Consortium) function classification of the D. cejpii FS110 transcriptome: (A) COG functional classification of the D. cejpii FS110 transcriptome; (B) GO functional classification of the D. cejpii FS110 transcriptome.
2.3. Candidate Genes Involved in Gliotoxin Biosynthesis and Expression Analysis of Five Candidate Genes by qPCR
The expression levels of unigenes, including GliG (glutathione S-transferase), GliI (aminotransferase), GliO (aldehyde reductase), GliZ (gliotoxin biosynthesis transcription factor), GliF (cytochrome P450 oxidoreductase), and GliP (nonribosomal peptide synthase), were predicted according to the RPKM (reads per kilobase per million mapped reads) value and validated by qRT-PCR (quantitative real-time polymerase chain reaction) using primers according to the ORFs (Opening reading frames) of the aforementioned genes. The qPCR products for these genes were 200 bp approximately. The GliG gene showed the highest expression level, indicating the important role of GliG during the biosynthesis of gliotoxins in D. cejpii, followed by the genes GliZ, GliO, GliI, and Gli3, and GAPDH was used as a reference gene. The qPCR products of the GliG, GliO, GliI, GliZ, and Gli3 genes were detected by agarose gel (Figure 3A,B). The sequencing results confirmed that the fragments were desired genes possibly involved in the gliotoxin biosynthesis in D. cejpii FS110.
Figure 3.
The expression levels of the main unigenes related to the gliotoxin biosynthesis: (A) qRT-PCR analysis; (B) The identification of qPCR products by electrophoresis.
2.4. Identification of GliG, GliI, and GliO Genes
Specific primers were designed to amplify the GliG, GliI, and GliO genes with restriction enzyme sites (NdeI and XhoI), then the amplified fragment was inserted into the vector pET28a, and GliI and GliG were then expressed in Escherichia coli BL21 (DE3), with a molecular weight of 28.0 kDa and 43.5 kDa, respectively. The aminotransferase encoded by GliI from D. cejpii (DC-AT) and the glutathione S-transferase encoded by GliG from D. cejpii (DC-GST) were purified by Ni-affinity chromatography with a purity of 95.6% and 92.7% in eluate containing 300 mM imidazol, respectively (Figure 4A), and the Western blot analysis result using anti-His monoclonal antibody confirmed the successful expression of the GliG gene and GliI gene in E. coli (Figure 4B). The enzymatic activity of DC-GST was assayed using GSH as substrate. DC-AT showed the highest enzymatic activity of 60.3 ± 1.23 U/mg at the temperature of 37 °C (Fiugre 5A); the optimal pH of DC-AT towards alanine was 7.0, which showed the highest enzymatic activity of 62.26 ± 1.06 U/mg (Figure 5B); and the Km value of DC-AT towards alanine was 523 mM, and the corresponding Vmax was 909 μmol/mg·min (Figure 5C). DC-GST showed the highest enzymatic activity of 75.17 ± 1.67 U/mg at the temperature of 37 °C (Figure 5D), and the optimal pH of DC-GST towards GSH was 8.0 (Figure 5E), which showed the highest enzymatic activity of 80.26 ± 1.12 U/mg. The enzymatic kinetic of DC-GST towards GSH was analyzed, and the Km value of DC-GST towards GSH was 226.5 mM, and the corresponding Vmax was 5 mmol·mL−1·min−1 (Figure 5F).
Figure 4.
The expression and purification of DC-AT (The aminotransferase encoded by GliI from D. cejpii) and DC-GST (glutathione S-transferase from D. cejpii): (A) The expression and purification of aminotransferase and glutathione S-transferase from D. cejpii FS110: M. protein marker; 1. Uninduced sample of AT; 2. Total proteins of induced samples of AT; 3. Supernatant of induced sample of AT; 4. 55 mM imidazole eluate of AT; 5. 100 mM imidazole eluate of AT; 6. Uninduced sample of GST; 7. Total proteins of induced samples of GST; 8. Supernatant of induced sample of GST; 9. 55 mM imidazole eluate of GST; 10. 100 mM imidazole eluate of GST; (B) Western blot analysis of DC-AT and DC-GST.
Figure 5.
The enzymatic properties of DC-AT and DC-GST: (A) The optimal temperature for DC-AT; (B) The optimal pH of DC-AT; (C) The enzymatic kinetics of DC-AT; (D) The optimal temperature for DC-GST; (E) The optimal pH of DC-GST; (F) The enzymatic kinetics of DC-GST.
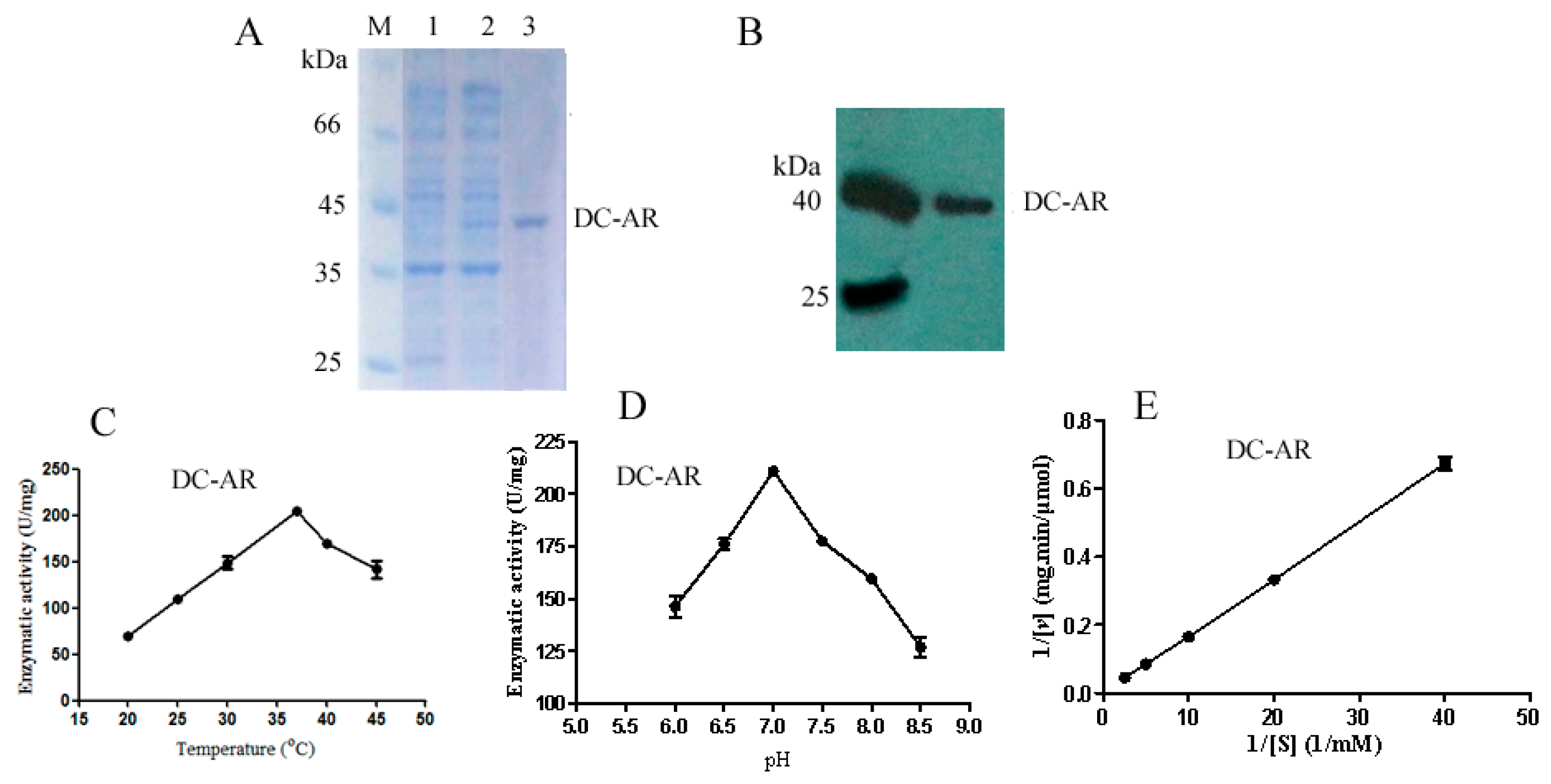
The aldehyde reductase from D. cejpii (DC-AR) encoded by GliO was successfully expressed in E. coli BL21 (DE3) with a molecular weight of 40.0 kDa (Figure 6A), which was demonstrated by Western blot analysis (Figure 6B). The enzymatic properties of GliO were analyzed using p-nitrobenzaldehyde as a substrate. DC-AR showed the highest enzymatic activity of 204.65 ± 3.35 U/mg at the temperature of 37 °C (Figure 6C), the optimal pH for DC-AR towards p-nitrobenzaldehyde was 7.0 (Figure 6D), and the corresponding enzymatic activity was 210.94 ± 1.41 U/mg. The enzymatic kinetics of DC-AR was also investigated. The Km value of DC-AR towards p-nitrobenzaldehyde was 6.4 mM, and the corresponding Vmax was 400 μmol·mg−1·min−1 (Figure 6E).
Figure 6.
The identification of DC-AR from D. cejpii: (A) The purification of DC-AR: M, protein marker; 1. Uninduced sample of DC-AR; 2. Induced sample of DC-AR; 3. 100 mM imidazole eluate of DC-AR; (B) The Western blot analysis of DC-AR; (C) The optimal reaction temperature of DC-AR; (D) The optimal reaction pH of DC-AR; (E) The enzymatic kinetics of DC-AR.
2.5. Development and Characterization of cDNA-Derived SSR Markers
Different unigenes in D. cejpii were identified by MISA analysis, and 19,125 unigenes containing SSRs (simple sequence repeats) were identified (Figure S3), among which 385 sequences contained more than one SSR. Moreover, 97 SSRs were present in the compound formation. The distribution and frequency of the mono-, di-, tri-, tetra-, penta-, and hexanucleotide repeats were analyzed. The most abundant repeat motifs were trinucleotides (990, 33.4%), dinucleotides (743, 25.1%), and mononucleotides (564, 19.0%), followed by hexanucleotides (368, 12.4%) and pentanucleotides (153, 5.2%). The most frequent was AG/CT (563, 19.0%), followed by AAG/CTT (366, 12.4%), ATC/ATG (142, 5.3%), AT/AT (128, 4.3%), AGG/CCT (106, 3.9%), AGC/CTG (97, 3.6%), ACG/CGT (72, 2.8%), AAC/GTT (67, 2.5%), AC/GT (45, 1.7%), ACT/AGT (40, 1.5%), and AAT/ATT (28, 1.0%) (Figure S1).
2.6. The Single Nucleotide Polymorphism (SNP) Analysis
The single nucleotide polymorphism (SNP) analysis of the D. cejpii FS110 transcriptome was performed. In total, 1956 SNPs were detected in D. cejpii FS110 transcriptome data; the most frequent were transition type SNPs (1672, 85.5%), including A–G type (820, 41.9%) and C–T type (852, 43.6%), followed by transversion type (284, 14.5%), including A–C type (92, 4.7%), A–T type (64, 3.3%), C–G type (53, 2.7%), and G–T type (75, 3.8%). The SNP distribution results revealed that the abundant SNPs might result in the phenotypic modulation of D. cejpii FS110.
3. Discussion
D. cejpii is a deep-sea-derived fungus that could produce gliotoxins, which are a kind of DKP (diketopiperazine) with a variety of bioactivities such as anticancer, antifungal, antivirus, antioxidation, and immunoregulation activities [13,16]. The functional mechanisms of gliotoxins include the inhibition of viral reverse transcriptase, binding to alcohol dehydrogenases, the inhibition of NF-κB, the modulation of calcium, and the toxic effects on erythrocytes. Gliotoxin was also reported as a pathogenic factor for A. fumigatus [16]. The exposure of mammalian cells to gliotoxin elevates the levels of ROS (reactive oxygen species). Gliotoxin isolated from marine fungus Aspergillus sp. was also reported to induce the apoptosis of human cervical cancer and chondrosarcoma cells via the mitochondrial pathway [7]. Hence, gliotoxins have been used as a immunosuppressive agent, tumor suppressor, pesticide, and fungicide [4,16,17,18]. The elevated GSH could promote the anticancer activity of gliotoxins. The transcriptomic data was employed to identify the important gliotoxin biosynthesis-related gene GliT [19], which is required for self-protection against the toxins, and the transcriptome data was also utilized to identify the gene related to the biosynthesis of trichothecene toxins in Myrothecium roridum [20], suggesting that transcriptome sequencing is an important tool for the investigation of the biosynthetic pathway of gliotoxins in D. cejpii. Eleven gliotoxins, including three new gliotoxins, were isolated from D. cejpii, implying the unique gliotoxin biosynthesis pathway in D. cejpii [12]. Thus, the transcriptome analysis of D. cejpii was performed using an Illumina Hiseq 2000TM, the genes related to the gliotoxin biosynthesis were annotated and cloned, and the key enzymes for the gliotoxin biosynthesis were identified to elucidate the biosynthetic pathway of gliotoxin in D. cejpii, thus laying a foundation for the excavation of new gliotoxins and their derivatives and promoting their application in the biomedical industry in the future.
Using the cDNA of D. cejpii as a template, seven kinds of gliotoxin biosynthesis-related genes were obtained, including GliF, GliG, GliI, GliM, GliO, GliZ, and GliT. GliG, GliI, and GliO in D. cejpii showed low identities of 31.6%, 28.9%, and 38.7% with those genes in A. fumigatus, respectively, indicating the novelty of these genes from D. cejpii. The GliG gene was annotated as a glutathione S-transferase, and GSH was employed as a substrate to evaluate the enzymatic activity of DC-GST. GST from tomato was expressed in E. coli with an enzymatic activity of 0.625 U/mg [21,22]; BI-GST (Bax-inhibitor-GST) and other five kinds of tau-class LeGSTs (GST which readily formed heterodimers) expressed in E. coli BL21 (DE3) showed enzymatic activities ranging from 0.06 ± 0.01 to 9.22 ± 0.91 U/mg towards CDNB (1-chloro-2,4-dinitrobenzene) [23], which were also much lower than DC-GST, with an enzymatic activity of 80.26 ± 1.12 U/mg. The results indicated that the DC-GST from D. cejpii possesses much higher enzymatic activity than that of plant GSTs, perhaps due to the deep-sea environment in which D. cejpii lives. It was also reported that the overexpression of a rice tau-class glutathione-S-transferase gene in Arabidopsis sp. could improve the tolerance to salinity and oxidative stress of Arabidopsis, implying that GST is very important for the resistance to adversity in plant and fungi. Furthermore, DC-GST showed the highest reaction velocity of 5 mM·mg−1·min−1 towards GSH, which is higher than those of other kinds of GSTs [23,24]. It has been demonstrated that GST could remove the excess ROS when A. fumigatus is exposed to high concentrations of H2O2 or when A. fumigatus is living in adversity, thus preventing the cells from the harm of ROS [6], indicating the important role of DC-GST for the survival of the deep-sea-derived fungus D. cejpii in the deep-sea environment. The enzymatic activity of DC-AT towards alanine indicated the role of DC-AT in the transfer of alanine during the gliotoxin biosynthesis. The DC-AR could catalyze the reduction of p-nitrobenzaldehyde, suggesting the function of DC-AR as an aldehyde reductase in the biosynthesis of gliotoxins and their derivatives.
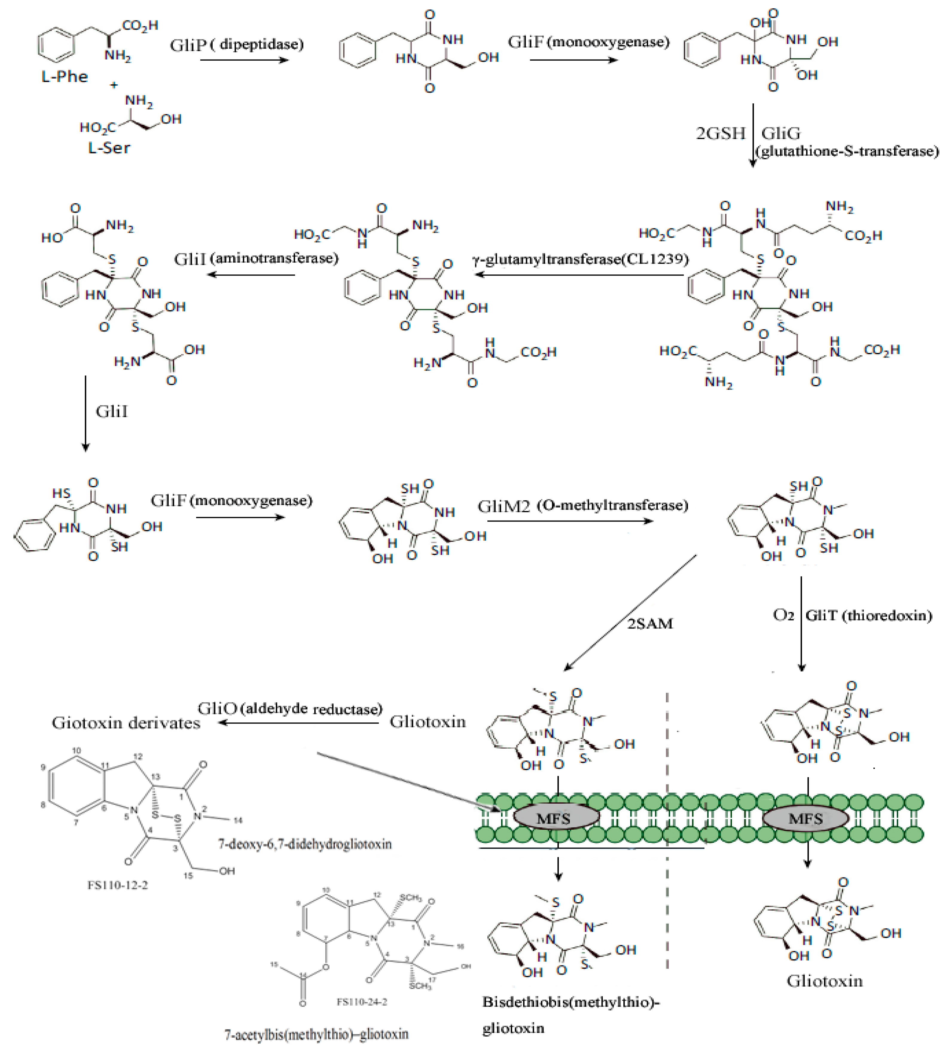
The gliotoxin biosynthetic pathway in A. fumigatus has been elucidated [13,14,15], and it has been demonstrated that GliG, GliI, and GliO play vital roles in the biosynthesis of gliotoxins in A. fumigatus [13]. GliG is annotated as a glutathione S-transferase (GST), which conjugates two glutathione (GSH) molecules to a biosynthetic intermediate to form a bis-glutathionylated biosynthetic intermediate. GliI encodes an aminotransferase, which is responsible for the removal of the amino acid in the side chain of intermediates during the biosynthesis of gliotoxin. GliO is annotated as an aldehyde reductase related to the gliotoxin formation, which was not involved in the formation of the gliotoxin backbone. In our previous study, different new gliotoxins were obtained, indicating the possible specific biosynthetic pathway of gliotoxins in D. cejpii, and that GliO was probably involved in the formation of new gliotoxins and their derivatives. The possible biosynthetic pathway of gliotoxins and their derivatives in D. cejpii was proposed (Figure 7); GliP, GliF, GliG, GliI, GliM2, GliT, GliO, and MFS were proposed to be also involved in the biosynthesis of gliotoxins and their derivatives.
Figure 7.
Proposed biosynthesis pathway of gliotoxins in D. cejpii FS110 [13]. SAM refers to S-adenosyl methionine; MFS refers to major facilitator superfamily.
This is the first report on characterization of the gliotoxin biosynthesis-related genes in the deep-sea fungus D. cejpii FS110, which would lay a foundation for the elucidation of gliotoxin biosynthesis in D. cejpii FS110, thereby promoting the wider application of gliotoxins in the biomedical industry. Furthermore, the results would also provide clues for the investigation on the biosynthesis of bioactive compounds isolated from deep-sea fungi.
4. Materials and Methods
4.1. cDNA Library Construction and RNA Sequencing
The strain D. cejpii FS110 (Accession No. KF706672) was isolated from a deep-sea sedimental sample in the South China Sea (19°0.368′ N, 117°58.233′ E; depth 3941 m). D. cejpii FS110 was inoculated on a PDA (Potato Dextrose Agar) medium and incubated at 30 °C for 3, 5, 7, and 9 days. The total RNAs of D. cejpii FS110 at different growth stages were extracted using an RNA extracting kit (Umagen, Guangzhou, China). The quantity of RNA was checked on agarose gel and the Nanodrop-2000 spectrophotometer (GE, Fairfield, CT, USA). HPLC (high performance liquid chromatography) using an Agilent 2100 (Agilent, Santa Clara, CA, USA) was used to detect the RIN (RNA Integrity Number) value of the total RNA. High-quality RNAs (RIN ≥ 6.0) were selected for high-throughput sequencing. Then, the same amounts of RNAs were mixed, and total RNAs in an amount of 5.0 µg were resuspended in RNase-free water and stored at −80 °C before use. The extracted RNA samples were used for the cDNA synthesis. Poly(A) mRNA was isolated and broken into short fragments (200 nt) by adding a fragmentation buffer. First-strand cDNA was generated using a reverse transcription kit (Abm, Vancouver, BC, Canada). The cDNA fragments were purified using a PCR extraction kit (Tiangen, Guangzhou, China). These purified fragments were ligated to sequencing adapters. Following the agarose gel electrophoresis and extraction of cDNA from gels, the cDNA fragments (200 ± 25 bp) were purified and enriched by PCR to construct the final cDNA library. The cDNA library was sequenced on the Illumina sequencing platform (Illumina HiSeq™ 2000, illumina, San Diego, CA, USA) using the PE (paired-end) technology in a single run. The original image processes of sequencing, base-calling, and quality value calculation were performed by the Illumina GA Pipeline (version 1.6, illumina, San Diego, CA, USA), in which 100-bp paired-end reads were obtained [25,26].
4.2. Data Processing, Assembly, and Annotation
To assemble the entire transcriptomes of the different samples better, a PE 100 sequencing strategy was used. All sequences were examined to ensure their accuracy. A Perl program was written to select clean reads by removing low-quality sequences (more than 50% bases with quality lower than 20 in one sequence and Q30 value less than 80% were identified), reads with more than 5% N bases (bases unknown), and reads containing adaptor sequences. Subsequently, the clean reads were assembled using the Trinity software (version 1.4, Campton, NH, USA) to construct unique consensus sequences. Adaptor and low-quality sequences were trimmed. Short sequences (<50 bp) were removed using a custom Perl program (version 5.14, Philadelphia, PA, USA). The resulting high-quality sequences were deposited in the National Center for Biotechnology Information (NCBI) database and de novo assembled into contigs and transcripts. To reduce data redundancy, transcripts with a minimum length of 200 bp were assembled and clustered using the CLC NGS Cell software (version 1.3, Illumina, San Diego, CA, USA) under default parameters. The longest sequences in each cluster were reserved and designated as unigenes. Searches were performed using local BLASTX programs (NCBI, NIH, MD, USA) against sequences in the NR database and the SWISS-PROT database (the E-value cutoff was 1.00 × 10−5) [27]. Unigenes were identified according to top hits against known sequences. The resulting unigenes were assigned to GO and COG terms.
4.3. KEGG Pathway Analysis and Predicted CDS
Pathway assignments were made according to KEGG mapping. Enzyme commission numbers were assigned to unique sequences that had the best BLASTX scores with cutoff E-values of 1.00 × 10−5, as determined from our KEGG database search. The sequences were mapped to the KEGG biochemical pathways according to the Enzyme Commission (EC) distribution within the pathway database.
Then, CDS (coding domain sequences) were extracted based on BLAST results and then translated into peptide sequences. Moreover, BLAST result information was also used to train ESTScan [28]. The CDS of unigenes that had no hit in BLAST were predicted by ESTScan and then translated into peptide sequences.
4.4. Quantitative Real-Time Polymerase Chain Reaction Analysis
qRT-PCR (quantitative real-time polymerase chain reaction) was performed to verify the expression levels of unigenes related to the biosynthesis of gliotoxin, predicted according to the RPKM value, using a real-time PCR instrument (Eppendorf, Westbury, NY, USA) with 2SYBR Green mix (Fermentas, Harrington, DE, USA) according to the manufacturer’s instructions. D. cejpii FS110 was cultured on PDA medium under 30 °C for seven days, and RNA was extracted. First-strand cDNA was synthesized from 1 μg of total RNA with reverse transcription kit (Abm, Vancouver, BC, Canada), and the resulting products were used as templates for qRT-PCR. The specific primers used for qRT-PCR are listed in Table S2. The qRT-PCR thermal cycling condition for all reactions was 95 °C for 1 min 50 s, followed by 40 cycles at 95 °C for 10 s and 55 °C for 33 s. All reactions were conducted in biological triplicates, and the results were expressed as relative expression levels to the GAPDH gene. The Ct (cycles threshold) values obtained were used as the original data to calculate the relative expression level of different genes to GAPDH gene by the 2−ΔΔCt method [29,30,31]. Each sample was analyzed in biological triplicate.
4.5. Identification of GliG, GliI, and GliO Genes
The GliG, GliI, and GliO genes were amplified with restriction enzyme NdeI and XhoI recognition sites using primers listed in Table S3, then inserted into the expression vector pET28a and transformed with E. coli, and the recombinant vectors pET28a-GliG, pET28a-GliI, and pET28a-GliO were expressed in E. coli BL21 (DE3) after being induced using 1 mM of IPTG for 3.5 h. A supernatant of 200 mL fermentation liquids containing recombinant plasmids after sonication was loaded onto the Ni-affinity chromatography column. The target proteins were eluted with 20 mM Tris–HCl (pH 8.0) containing different concentrations of imidazole. Different protein samples were identified by sodium dodecyl sulfate polyacrylamide gel electrophoresis and transferred to the NC (nitrocellulose) membrane. After being blocked by 5% nonfat milk, the membrane was incubated with mouse anti-His monoclonal antibody (Earthox, Millbrae, CA, USA) and goat anti-mouse IgG antibody (Promega, Madison, WI, USA), and target bands were finally visualized using an ECL (Enhanced Chemiluminescent) kit (Fermentas, Harrington, DE, USA) following the manufacturer’s instructions.
4.6. Enzymatic Activity Assay of Enzymes Encoded by GliG, GliI, and GliO
Briefly, l-glutathione (GSH) substrate was mixed with CDNB with a volume ratio of 10:1; 10 µL CDNB was added into 100 µL GSH; the mixture was preincubated with 10 µL DC-GST with a concentration of 0.1 mg/mL at 25 °C for 5 min; and the mixture of GSH, CDNB, and DC-GST was incubated at 25 °C and the absorbance at 340 nm was monitored; one unit was defined as the desired amount of DC-GST for catalyzing the combination of 1 µmol CDNB and GSH in one minute. The optimal reaction temperature and reaction pH for DC-GST were investigated at the reaction temperatures of 20, 25, 30, 37, and 40 °C and reaction pH values of 6.0, 6.5, 7.0, 7.5, 8.0, 8.5, 9.0, 9.5, and 10.0. Substrate thioanisole with different concentrations of 24.4, 12.2, 6.1, 3.05, and 1.525 mM were used to investigate the enzymatic kinetics of DC-GST [32].
l-alanine and α-oxoglutarate were employed as substrates to assay the enzymatic activity of DC-AT. Briefly, 4 μL DC-AT with the concentration of 0.15 mg/mL was added to 15 μL of substrates containing 50 mM α-oxoglutarate and 200 mM l-alanine, and without the substrate addition into the blank group; then the mixtures and blank group were incubated at 37 °C for 30 min. The substrates were added to the blank group after the incubation, 15 μL dinitrophenylhydrazine was added to the mixture and incubated at 37 °C for 20 min, 0.1 M Tris-HCl buffer (pH 8.0) was added, and the absorbance at 505 nm was detected. One unit was defined as the desired amount of DC-AT for the production of 1 µmol of pyruvic acid in one minute. The optimal reaction temperature and reaction pH for DC-GST were investigated at the reaction temperatures of 20, 25, 30, 37 °C, and 40 °C and reaction pH values of 6.0, 6.5, 7.0, 7.5, 8.0, 8.5, 9.0, 9.5, and 10.0. Substrate l-alanine with different concentrations of 200, 100, 50, 25 mM, and 12.5 mM were used to investigate the enzymatic kinetics of DC-AT.
p-Nitrobenzaldehyde and ethyl 4-chloroacetoacetate were used as substrates to investigate the enzymatic properties of DC-AR. Briefly, 20 µL 4-COBE and 20 µL p-nitrobenzaldehyde with a concentration of 0.2 mM, 5 µL NAPDH (β-Nicotinamide adenine dinucleotide 2′-phosphate reduced) with a concentration of 0.2 mM, and 5 µL DC-AR with a concentration of 0.1 mg/mL were added to the substrates, and the above mixtures were incubated at 37 °C and the absorbance at 340 nm was monitored; one unit was defined the desired amount of DC-AR for the consumption of 1 µmol of NAPDH in one minute. The optimal reaction temperature and reaction pH for DC-AR were investigated at the reaction temperatures of 20, 25, 30, 37, 40 °C, and 45 °C and the reaction pH values of 6.5, 7.0, 7.5, 8.0, and 8.5. Substrate thioanisole with different concentrations of 0.4, 0.2, 0.1, 0.05 mM, and 0.025 mM were used to investigate the enzymatic kinetics of DC-AR.
4.7. Identification of SSRs
The microsatellite identification tool (MISA, available online: http://pgrc.inpk-gatersleben.de/misa/) was used to identify SSRs [33]. The parameters were adjusted to identify perfect di-, tri-, tetra-, penta-, and hexanucleotide motifs with a minimum of 6, 5, 5, 4, and 4 repetitions, respectively. Primer pairs were designed using the Primer 3 software and selected according to the following criteria: (1) primers with SSRs were eliminated; (2) primers aligned with unigene sequences were allowed three mismatches at the 5′ site and one mismatch at the 3′ site; (3) primers that aligned to more than one unigene were eliminated; and (4) SSRs were identified using the SSR_finder (Available online: http://www.fresnostate.edu/ssrfinder/). We kept the products whose results from SSR_finder and MISA were the same.
4.8. Identification of SNPs
SNPs (single-nucleotide polymorphism) were called using a short-read alignment algorithm, which aligned nonassembled 50 bp Illumina reads from ‘67/3’ against the ‘305E40’ assembly, by analogy with the MAQ (a pipeline such as MAQ which aligns read data to a reference sequence) style sequence pileup at a minimum coverage of 6×; to call indels, an SSAHA (Sequence Search Hashing Algorithm)-based alignment strategy [34] was applied. Each allele was observed at least three times.
Each SNP was assigned a designability score via a dedicated “assay design tool” (Available online: http://www.illumina.com), which identified SNP loci free of other polymorphisms 60 bp either upstream or downstream. A quality score based on the probability of good performance using the Illumina Golden Gate assay was assigned to each SNP, where a score >0.6 indicated a high probability of success.
5. Conclusions
In conclusion, the transcriptome of D. cejpii FS110 was firstly sequenced by an Illumina Hiseq 2000 system. The expression levels of genes related to the gliotoxins biosynthesis were analyzed, and GliG, GliI, and GliO were cloned and expressed. The results demonstrated that the GliG gene plays an important role in the biosynthesis of gliotoxins in D. cejpii FS110. The low identities of GliG, GliI, and GliO in D. cejpii FS110 compared with those in A. fumigatus suggested the novelty of these genes. The enzymatic properties investigation results demonstrated the important role of GliG and GliI in the biosynthesis of the gliotoxin backbone and the function of GliO in the modification of gliotoxins. The biosynthetic pathway of gliotoxins and their derivatives in D. cejpii FS110 were proposed in our study. The SSR and SNP analysis of the D. cejpii FS110 transcriptome revealed the gene polymorphism in D. cejpii FS110. The above results establish a foundation for the elucidation of the gliotoxin biosynthesis and the excavation of more gliotoxins and their derivatives, thus promoting the wider application of gliotoxins in the biomedical industry in the future.
Supplementary Materials
Supplementary materials can be found at http://www.mdpi.com/1422-0067/19/7/1910/s1.
Author Contributions
W.Y. and W.Z. conceived and designed the experiments; W.Y., T.L., M.Z., Y.C., S.L., and Z.H. performed the experiments; W.Y. and W.Z. analyzed the data; H.L. and S.L. contributed materials; and W.Y. and W.Z. wrote the paper.
Acknowledgments
Financial support for this research was provided by the Science and Technology Program of Guangzhou, China (201607020018), Science and Technology Planning Project of Guangdong Province (2015A030302061, 2016A020222022), the Team Project of Natural Science Foundation of Guangdong Province (2016A030312014), National Natural Science Foundation of China (31500037), National Natural Science Foundation of China (31272087), Natural Science Foundation of Guangdong Province (2015A030310103), and Guangdong Provincial Innovative Development of Marine Economy Regional Demonstration Projects (GD2012-D01-002).
Conflicts of Interest
The authors declare no conflict of interest.
Abbreviations
| CDS | Coding domain sequences |
| COG | Cluster of orthologous groups of proteins |
| DC-GST | Glutathione-S-transferase from D. cejpii |
| DC-AT | Aminotransferase from D. cejpii |
| DC | Aldehyde reductase from D. cejpii |
| ETP | Epipolythiodioxopiperazine |
| GO | Gene Ontology Consortium |
| HPLC | High performance liquid chromatography |
| KEGG | Kyoto Encyclopedia of Genes and Genomes |
| MAPK | Mitogen-activated protein kinase |
| qRT-PCR | Quantitative real-time polymerase chain reaction |
| SSR | Simple sequence repeat |
| SNP | Single nucleotide polymorphism |
References
- Choi, H.S.; Shim, J.S.; Kim, J.A.; Kang, S.W.; Kwon, H.J. Discovery of gliotoxin as a new small molecule targeting thioredoxin redox system. Biochem. Biophys. Res. Commun. 2007, 359, 523–528. [Google Scholar] [CrossRef] [PubMed]
- Eichner, R.D.; AI, S.M.; Wood, P.R.; Mullbacher, A. The effect of gliotoxin upon macrophage function. Int. J. Immunother. 1986, 8, 789–797. [Google Scholar] [CrossRef]
- Waring, P.; Eichner, R.D.; Mullbacher, A.; Sjaarda, A. Gliotoxin induces apoptosis in macrophages unrelated to its antiphagocytic properties. J. Biol. Chem. 1989, 263, 18493–18499. [Google Scholar]
- Tian, Z.H.; Chu, Y.Y.; Wang, H.; Zhong, L.L.; Deng, M.Y.; Li, W.B. Biological activity and interaction mechanism of the diketopiperazine derivatives as tubulin polymerization inhibitors. RSC Adv. 2018, 8, 1055–1064. [Google Scholar] [CrossRef]
- Carberry, S.; Molloy, E.; Hammel, S.; O’Keefe, G.; Jones, G.W.; Kavanagh, K.; Doyle, S. Gliotoxin effects on fungal growth: Mechanisms and exploitation. Fungal Genet. Biol. 2011, 49, 302–312. [Google Scholar] [CrossRef] [PubMed]
- Nierman, W.C.; Pain, A.; Anderson, M.J.; Wortman, J.R.; Kim, H.S.; Arroyo, J.; Berriman, M.; Abe, K.; Archer, D.B.; Bermejo, C.; et al. Genomic sequence of the pathogenic and allergenic filamentous fungus Aspergillus fumigatus. Nature 2005, 438, 1151–1156. [Google Scholar] [CrossRef] [PubMed]
- Nguyen, V.T.; Lee, J.S.; Qian, Z.J.; Li, Y.X.; Kim, K.N.; Heo, S.J.; Jeon, Y.J.; Park, W.S.; Choi, I.W.; Je, J.Y.; et al. Gliotoxin isolated from marine fungus Aspergillus sp. induces apoptosis of human cervical cancer and chondrosarcoma cells. Mar. Drugs 2014, 12, 69–87. [Google Scholar] [CrossRef] [PubMed]
- Anitha, R.; Murugesan, K. Production of gliotoxin on natural substrates by Trichoderma virens. J. Basic Microbiol. 2005, 45, 12–19. [Google Scholar] [CrossRef] [PubMed]
- Park, Y.H.; Stack, J.P.; Kenerley, C.M. Production of gliotoxin by Gliocladium virens as a function of source and concentration of carbon and nitrogen. Mycol. Res. 1991, 95, 1242–1248. [Google Scholar] [CrossRef]
- Ma, Y.M.; Liang, X.A.; Kong, Y.; Jia, B. Structural diversity and biological activities of indole diketopiperazine alkaloids from fungi. J. Agric. Food Chem. 2016, 64, 6659–6667. [Google Scholar] [CrossRef] [PubMed]
- Sun, Y.; Takada, K.; Takemoto, Y.; Yoshida, M.; Nogi, Y.; Okada, S.; Matsunaga, S. Gliotoxin analogues from a marine-derived fungus, Penicillium sp., and their cytotoxic and histone methyltransferase inhibitory activities. J. Nat. Prod. 2012, 75, 111–114. [Google Scholar] [CrossRef] [PubMed]
- Fan, Z.; Sun, Z.H.; Liu, Z.; Chen, Y.C.; Liu, H.X.; Li, H.H.; Zhang, W.M. Dichotocejpins A-C: New diketopiperazines from a deep-sea-derived fungus Dichotomomyces cejpii FS110. Mar. Drugs 2016, 14, 164. [Google Scholar] [CrossRef] [PubMed]
- Dolan, S.K.; O’Keeffe, G.; Jones, G.W.; Doyle, S. Resistance is not futile: Gliotoxin biosynthesis, functionality and utility. Trends Microbiol. 2015, 23, 419–428. [Google Scholar] [CrossRef] [PubMed]
- Chung, D.; Howlett, B.J.; Keller, N.P.; Schroeder, F.C. Identification of cryptic products of the gliotoxin gene cluster using NMR-based comparative metabolomics and a model for gliotoxin biosynthesis. J. Am. Chem. Soc. 2011, 133, 9678–9681. [Google Scholar]
- Schrettl, M.; Carberry, S.; Kavanagh, K.; Haas, H.; Jones, G.W.; Brien, J.O.; Nolan, A.; Stephens, J.; Fenelon, O.; Doyle, S. Self-protection against gliotoxin-a component of the gliotoxin biosynthetic cluster, GliT, completely protects Aspergillus fumigatus against exogenous. PLoS Pathog. 2010, 6, e1000952. [Google Scholar] [CrossRef] [PubMed]
- Kwon-Chung, K.J.; Sugui, J.A. Aspergillus fumigatus—What makes the species a ubiquitous human fungal pathogen? PLoS Pathog. 2013, 9, e1003743. [Google Scholar] [CrossRef] [PubMed]
- Karon, M.D.; Klyce, S.D. Effect of inhibition of inflammatory mediators on trauma-induced stromal edema. Investig. Ophthalmol. Vis. Sci. 2003, 6, 2507–2510. [Google Scholar] [CrossRef]
- Vigushin, D.M.; Mirsaidi, N.; Brooke, G.; Sun, C.; Pace, P.; Inman, L.; Moody, C.J.; Coombes, R.C. Gliotoxin is a dual inhibitor of farnesyltransferase and geranylgeranyltransferase I with antitumor activity against breast cancer in vivo. Med. Oncol. 2004, 21, 21–30. [Google Scholar] [CrossRef]
- Kweon, Y.O.; Paik, Y.H.; Schnabl, B.; Qian, T.; Lemasters, J.J.; Brenner, D.A. Gliotoxin-mediated apoptosis of activated human hepatic stellate cells. J. Hepatol. 2003, 39, 38–42. [Google Scholar] [CrossRef]
- O’Keeffe, G.; Hammel, S.; Owens, R.A.; Keane, T.M.; Fitzpatrick, D.A. RNA-seq reveals the pan-transcriptomic impact of attenuating the gliotoxin self-protection mechanism in Aspergillus fumigatus. BMC Genom. 2014, 15, 894. [Google Scholar] [CrossRef] [PubMed]
- Ye, W.; Liu, T.M.; Zhu, M.Z.; Zhang, W.M.; Li, H.H.; Li, S.N. De Novo transcriptome analysis of plant pathogenic fungus Myrothecium roridum and identification of genes associated with trichothecene mycotoxin biosynthesis. Int. J. Mol. Sci. 2017, 18, 497. [Google Scholar] [CrossRef] [PubMed]
- Pei, D.L.; Ding, J.P.; Duan, Z.L.; Li, M.; Feng, Y.Y.; Li, C.W. Cloning and expression of a tomato glutatione S-transferase (GST) in Escherichia coli. Afr. J. Biol. 2012, 23, 6402–6408. [Google Scholar]
- Csiszar, J.; Horvath, E.; Vary, Z.; Galle, A.; Bela, K.; Brunner, S.; Tari, I. Glutathione transferase supergene family in tomato: Salt stress-regulated expression of representative genes from distinct GST classes in plants primed with salicylic acid. Plant Phisiol. 2014, 78, 15–26. [Google Scholar] [CrossRef] [PubMed]
- Kilili, K.G.; Atanassova, N.; Vardanya, A.; Clatot, N.; Al-Sabarna, K.; Kanellopoulos, P.N.; Makris, A.M.; Kampranis, S.C. Differential roles of Tau class glutathione S-transferases in oxidative stress. J. Biol. Chem. 2004, 279, 24540–24551. [Google Scholar] [CrossRef] [PubMed]
- Sharma, R.; Sahoo, A.; Devendran, R.; Jain, M. Over-expression of a rice tau class glutathione s-transferase gene improves tolerance to salinity and oxidative stresses in Arabidopsis. PLoS ONE 2014, 9, e92900. [Google Scholar] [CrossRef] [PubMed]
- Li, P.; Deng, W.Q.; Li, T.H.; Song, B.; Shen, Y.H. Illumina-based de novo transcriptome sequencing and analysis of Amanita exitialis basidiocarps. Gene 2013, 532, 63–71. [Google Scholar] [CrossRef] [PubMed]
- Gao, J.; Yu, X.; Ma, F.; Li, J. RNA-Seq analysis of transcriptome and glucosinolate metabolism in seeds and sprouts of broccoli (Brassica oleracea var. italica). PLoS ONE 2014, 9, e88804. [Google Scholar] [CrossRef] [PubMed]
- Wu, J.K.; Zhang, W.Q.; Huang, S.B.; He, Z.Q.; Cheng, Y.B.; Wang, J. SOAP fusion: A robust and effective computational fusion discovery tool for RNA-seq reads. Bioinformatics 2013, 29, 2971–2978. [Google Scholar] [CrossRef] [PubMed]
- Chen, X.R.; Brurberg, M.B.; Elameen, A.; Klemsdal, S.S.; Martinussen, I. Expression of resistance gene analogs in woodland strawberry (Fragaria vesca) during infection with Phytophthora cactorum. Mol. Genet. Genom. 2016, 291, 1967–1978. [Google Scholar] [CrossRef] [PubMed]
- Schmittgen, T.D.; Livak, K.J. Analyzing real-time PCR data by the comparative CT method. Nat. Protoc. 2008, 3, 1101–1108. [Google Scholar] [CrossRef] [PubMed]
- Ye, W.; Wu, H.Q.; He, X.; Wang, L.; Zhang, W.M.; Li, H.H. Transcriptome sequencing of chemically induced Aquilaria sinensis to identify genes related to agarwood formation. PLoS ONE 2016, 11, e0155505. [Google Scholar] [CrossRef] [PubMed]
- Nishihira, J.; Ishibashi, T.; Sakai, M.; Nishi, S.; Kumazaki, T.; Hatanaka, Y.; Tsuda, S.; Hikichi, K. Characterization of cysteine residues of glutathione S-transferase P: Evidence for steric hindrance of substrate binding by a bulky adduct to cysteine 47. Biochem. Biophys. Res. Commun. 1992, 188, 424–432. [Google Scholar] [CrossRef]
- Zhang, M.F.; Jiang, L.M.; Zhang, D.M.; Jia, G.X. De novo transcriptome characterization of Lilium ‘Sorbonne’and key enzymes related to the flavonoid biosynthesis. Mol. Genet. Genom. 2015, 290, 399–412. [Google Scholar] [CrossRef] [PubMed]
- Xu, Y.; Wang, J.Y.; Bonos, S.A.; Meyer, W.A.; Huang, B.R. Candidate genes and molecular markers correlated to physiological traits for heat tolerance in fine fescue cultivars. Int. J. Mol. Sci. 2018, 19, 116. [Google Scholar] [CrossRef] [PubMed]
© 2018 by the authors. Licensee MDPI, Basel, Switzerland. This article is an open access article distributed under the terms and conditions of the Creative Commons Attribution (CC BY) license (http://creativecommons.org/licenses/by/4.0/).






