Preparation and Characterization of Whey Protein Isolate–DIM Nanoparticles
Abstract
1. Introduction
2. Results and Discussion
2.1. Physicochemical Determination of DIM-Encapsulated WPI Nanoparticles
2.2. Thermal Properties of the DIM-Encapsulated WPI Nanoparticles
2.3. Rheological Properties of the DIM-Encapsulated WPI Nanoparticles
2.4. Fourier Transform Infrared Spectroscopy (FT-IR)
2.5. Transmission Electron Microscopy (TEM)
2.6. Photo-Chemical Stability
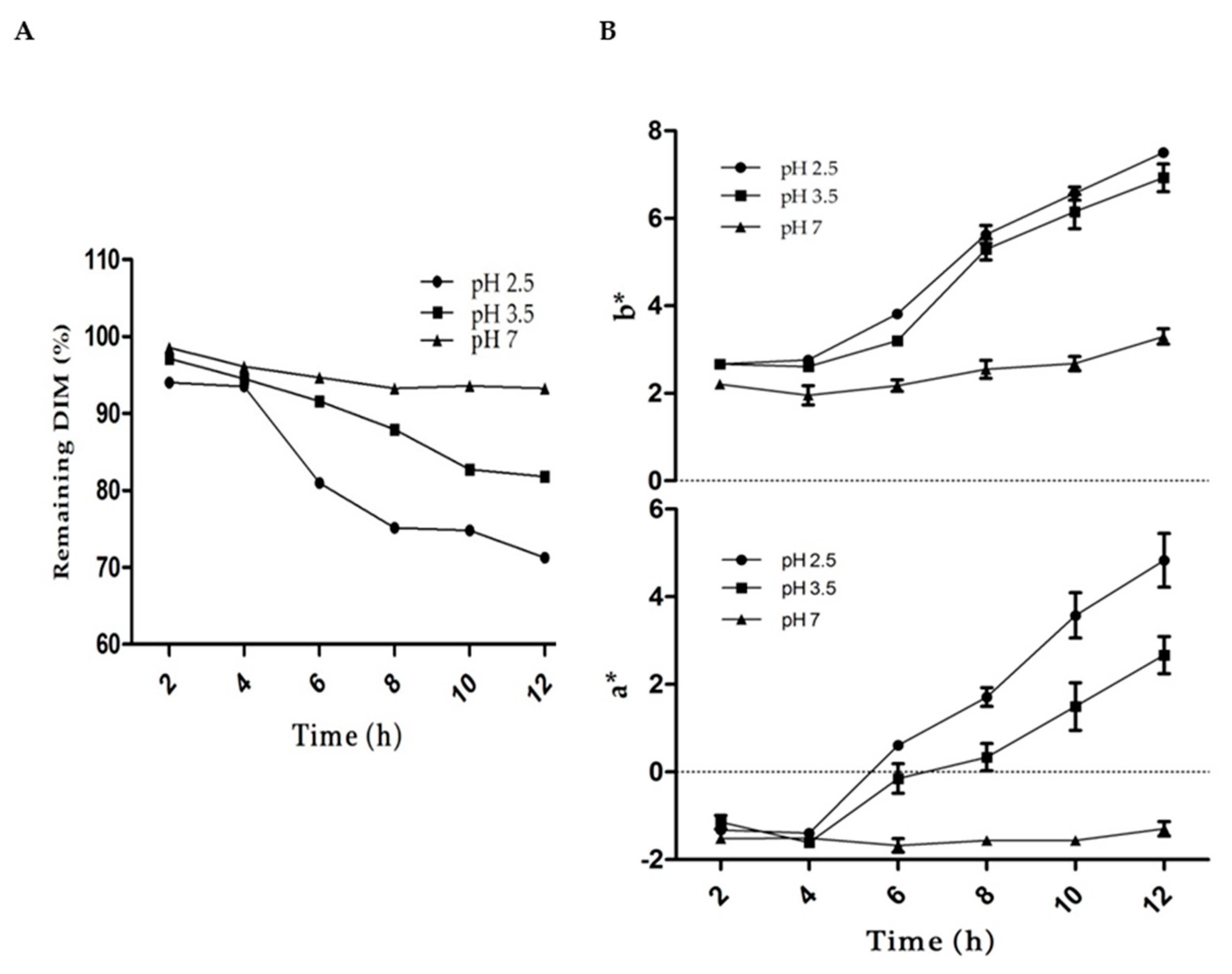
2.7. Impact of pH
3. Materials and Methods
3.1. Materials and Reagents
3.2. Nanoparticles Preparation
3.2.1. Aqueous Phase
3.2.2. Organic Phase
3.2.3. Preparation of DIM-Loaded WPI Nanoparticles
3.3. Determination of Particle Size, Polydispersityindex (PDI),and Zeta Potential
3.4. Encapsulation Efficiency (EE)
3.5. Differential Scanning Calorimetry (DSC)
3.6. Determination of Rheological Properties
3.7. Fourier Transform Infrared Spectroscopy (FT-IR)
3.8. Transmission Electron Microscopy (TEM) Analysis
3.9. The Influence of Encapsulation on Stability of DIM
3.10. Experimental Design
4. Conclusions
Author Contributions
Funding
Conflicts of Interest
References
- Dalessandri, K.M.; Firestone, G.L.; Fitch, M.D.; Bradlow, H.L.; Bjeldanes, L.F. Pilot Study: Effect of 3,3′-Diindolylmethane Supplements on Urinary Hormone Metabolites in Postmenopausal Women With a History of Early-Stage Breast Cancer. Nutri. Cancer 2004, 50, 161–167. [Google Scholar] [CrossRef] [PubMed]
- Li, Y.; Kong, D.; Ahmad, A.; Bao, B.; Sarkar, F.H. Antioxidant Function of Isoflavone and 3,3′-Diindolylmethane: Are They Important for Cancer Prevention and Therapy? Antioxid. Redox Signal. 2013, 19, 139–150. [Google Scholar] [CrossRef] [PubMed]
- Andey, T.; Patel, A.; Jackson, T.; Safe, S.; Singh, M. 1,1-Bis (3’-indolyl)-1-(p-substitutedphenyl)methane compounds inhibit lung cancer cell and tumor growth in a metastasis model. Eur. J. Pharm. Sci. 2013, 50, 227–241. [Google Scholar] [CrossRef] [PubMed]
- Shorey, L.E.; Hagman, A.M.; Williams, D.E.; Ho, E.; Dashwood, R.H.; Benninghoff, A.D. 3,3′-Diindolylmethane Induces G1 Arrest and Apoptosis in Human Acute T-Cell Lymphoblastic Leukemia Cells. PLoS ONE 2012, 7, e34975. [Google Scholar] [CrossRef] [PubMed]
- Higdon, J.; Delage, B.; Williams, D.; Dashwood, R. Cruciferous vegetables and human cancer risk: Epidemiologic evidence and mechanistic basis. Pharmacol. Res. 2007, 55, 224–236. [Google Scholar] [CrossRef] [PubMed]
- Paltsev, M.; Kiselev, V.; Drukh, V.; Muyzhnek, E.; Kuznetsov, I.; Andrianova, E.; Baranovskiy, P. First results of the double-blind randomized placebo-controlled multicenter clinical trial of DIM-based therapy designed as personalized approach to reverse prostatic intraepithelial neoplasia (PIN). EPMA J. 2016, 7, 5. [Google Scholar] [CrossRef] [PubMed]
- Thomson, C.A.; Chow, H.H.S.; Wertheim, B.C.; Roe, D.J.; Stopeck, A.; Maskarinec, G.; Thompson, P.A. A Randomized, placebo-controlled trial of diindolylmethane for breast cancer biomarker modulation in patients taking tamoxifen. Breast Cancer Res. Treat. 2017, 165, 97–107. [Google Scholar] [CrossRef]
- Avram, S.; Duda-Seiman, D.M.; Duda-Seiman, C.; Borcan, F.; Mihailescu, D. Predicted binding rate of new cephalosporin antibiotics by a 3D-QSAR method: A new approach. Monatsh. Chem. 2010, 141, 589–597. [Google Scholar] [CrossRef]
- Avram, S.; Buiu, C.; Duda-Seiman, D.; Duda-Seiman, C.; Borcan, F.; Mihailescu, D. Evaluation of the Pharmacological Descriptors Related to the Induction of Antidepressant Activity and its Prediction by QSAR/QRAR Methods. MiniRev. Med. Chem. 2012, 12, 467–476. [Google Scholar] [CrossRef]
- Avram, S.; Buiu, C.; Duda-Seiman, D.M.; Duda-Seiman, C.; Mihailescu, D. 3D-QSAR Design of New Escitalopram Derivatives for the Treatment of Major Depressive Disorders. Sci. Pharm. 2010, 78, 233–248. [Google Scholar] [CrossRef]
- Benabadji, S.H.; Wen, R.; Zheng, J.B.; Dong, X.C.; Yuan, S.G. Anticarcinogenic and antioxidant activity of diindolylmethane derivatives. Acta Pharmacol. Sin. 2004, 25, 666–671. [Google Scholar] [PubMed]
- Banerjee, S.; Wang, Z.; Kong, D.; Sarkar, F.H. 3,3’-Diindolylmethane Enhances Chemosensitivity of Multiple Chemotherapeutic Agents in Pancreatic Cancer. Cancer Res. 2009, 69, 5592–5600. [Google Scholar] [CrossRef] [PubMed]
- Wu, Q.J.; Yang, Y.; Vogtmann, E.; Wang, J.; Han, L.H.; Li, H.L.; Xiang, Y.B. Cruciferous vegetables intake and the risk of colorectal cancer: A meta-analysis of observational studies. Ann. Oncol. 2012, 24, 1079–1087. [Google Scholar] [CrossRef] [PubMed]
- Khan, A.; Wang, C.; Sun, X.; Killpartrick, A.; Guo, M. Physicochemical and Microstructural Properties of Polymerized Whey Protein Encapsulated 3,3′-Diindolylmethane Nanoparticles. Molecules 2019, 24, 702. [Google Scholar] [CrossRef] [PubMed]
- Luo, Y.; Wang, T.T.Y.; Teng, Z.; Chen, P.; Sun, J.; Wang, Q. Encapsulation of indole-3-carbinol and 3,30-diindolylmethane in zein/carboxymethyl chitosan nanoparticles with controlled release property and improved stability. Food Chem. 2013, 139, 224–230. [Google Scholar] [CrossRef] [PubMed]
- Mattiazzi, J.; Sari, M.H.M.; Lautenchleger, R.; Dal Prá, M.; Braganhol, E.; Cruz, L. Incorporation of 3,3′-Diindolylmethane into Nanocapsules Improves Its Photostability, Radical Scavenging Capacity, and Cytotoxicity Against Glioma Cells. AAPS Pharm. Sci. Tech. 2019, 20, 49. [Google Scholar] [CrossRef] [PubMed]
- Abbasi, A.; Emam-Djomeh, Z.; Mousavi, M.A.E.; Davoodi, D. Stability of vitamin D3 encapsulated in nanoparticles of whey protein isolate. Food Chem. 2014, 143, 379–383. [Google Scholar] [CrossRef]
- Chen, L.; Remondetto, G.E.; Subirade, M. Food protein-based materials as nutraceutical delivery systems. Trends Food Sci. Technol. 2006, 17, 272–283. [Google Scholar] [CrossRef]
- Shah, B.R.; Li, Y.; Jin, W.; An, Y.; He, L.; Li, Z.; Li, B. Preparation and optimization of Pickering emulsion stabilized by chitosan-tripolyphosphate nanoparticles for curcumin encapsulation. Food Hydrocoll. 2016, 52, 369–377. [Google Scholar] [CrossRef]
- Esfanjani, A.F.; Jafari, S.M.; Assadpoor, E.; Mohammadi, A. Nano-encapsulation of saffron extract through double-layered multiple emulsions of pectin and whey protein concentrate. J. Food Eng. 2015, 165, 149–155. [Google Scholar] [CrossRef]
- Thongkaew, C.; Gibis, M.; Hinrichs, J.; Weiss, J. Polyphenol interactions with whey protein isolate and whey protein isolate–pectin coacervates. Food Hydrocoll. 2014, 41, 103–112. [Google Scholar] [CrossRef]
- Jafari, S.M.; Assadpoor, E.; He, Y.; Bhandari, B. Encapsulation Efficiency of Food Flavours and Oils during Spray Drying. Dry. Technol. 2008, 26, 816–835. [Google Scholar] [CrossRef]
- Tavares, G.M.; Croguennec, T.; Carvalho, A.F.; Bouhallab, S. Milk proteins as encapsulation devices and delivery vehicles: Applications and trends. Trends Food Sci. Technol. 2014, 37, 5–20. [Google Scholar] [CrossRef]
- Shen, X.; Zhao, C.; Lu, J.; Guo, M. Physicochemical Properties of Whey-Protein-Stabilized Astaxanthin Nanodispersion and Its Transport via a Caco-2 Monolayer. J. Agric. Food Chem. 2018, 66, 1472–1478. [Google Scholar] [CrossRef]
- Bae, E.K.; Lee, S.J. Microencapsulation of avocado oil by spray drying using whey protein and maltodextrin. J. Microencapsul. 2008, 25, 549–560. [Google Scholar] [CrossRef]
- Liu, X.; Powers, J.R.; Swanson, B.G. Modification of whey protein concentrate hydrophobicity by high hydrostatic pressure. Innov. Food Sci. Emerg. Technol. 2005, 6, 310–317. [Google Scholar] [CrossRef]
- Flores, F.P.; Singh, R.K.; Kong, F. Physical and storage properties of spray-dried blueberry pomace extract with whey protein isolate as wall material. J. Food Eng. 2014, 137, 1–6. [Google Scholar] [CrossRef]
- Ma, S.; Shi, C.; Wang, C.; Guo, M. Effects of Ultrasound Treatment on Physiochemical Properties and Antimicrobial Activities of Whey Protein–Totarol Nanoparticles. J. Food Prot. 2017, 80, 1657–1665. [Google Scholar] [CrossRef]
- Li, M.; Ma, Y.; Ngadi, M.O. Binding of curcumin to β-lactoglobulin and its effect on antioxidant characteristics of curcumin. Food Chem. 2013, 141, 1504–1511. [Google Scholar] [CrossRef]
- Wang, C.; Zhou, X.; Wang, H.; Sun, X.; Guo, M. Interactions between β-Lactoglobulin and 3,3′-Diindolylmethane in Model System. Molecules 2019, 24, 2151. [Google Scholar] [CrossRef]
- Patel, A.; Hu, Y.; Tiwari, J.K.; Velikov, K.P. Synthesis and characterisation of zein–curcumin colloidal particles. Soft Matt. 2010, 6, 6192. [Google Scholar] [CrossRef]
- Liang, Q.; Ren, X.; Zhang, X.; Hou, T.; Chalamaiah, M.; Ma, H.; Xu, B. Effect of ultrasound on the preparation of resveratrol-loaded zein particles. J. Food Eng. 2018, 221, 88–94. [Google Scholar] [CrossRef]
- Tadros, T.; Izquierdo, P.; Esquena, J.; Solans, C. Formation and stability of nano-emulsions. Adv. Colloid Interface Sci. 2004, 108, 303–318. [Google Scholar] [CrossRef]
- Hosseinnia, M.; Khaledabad, M.A.; Almasi, H. Optimization of Ziziphoraclinopodiodes essential oil microencapsulation by whey protein isolate and pectin: A comparative study. Int. J. Biol. Macromol. 2017, 101, 958–966. [Google Scholar] [CrossRef]
- Goyal, A.; Sharma, V.; Sihag, M.K.; Tomar, S.K.; Arora, S.; Sabikhi, L.; Singh, A.K. Development and physico-chemical characterization of microencapsulated flaxseed oil powder:A functional ingredient for omega-3 fortification. Powder Technol. 2015, 286, 527–537. [Google Scholar] [CrossRef]
- Muller, R.H.; Muller, R.H. Zeta-Potential and Particle Charge in the Laboratory Practice and Introductionto Theory, Practical and Data Interpretation; Wissenschaftliche Verlagsgesellschaft: Stuttgart, Germany, 1996; pp. 104–108. [Google Scholar]
- Mcclements, D.J.; Rao, J. Food-grade nanoemulsions: Formulation, fabrication, properties, performance, biological fate, and potential toxicity. Crit. Rev. Food Sci. Nutr. 2011, 51, 285–330. [Google Scholar] [CrossRef]
- Luo, Y.; Teng, Z.; Wang, Q. Development of Zein Nanoparticles Coated with Carboxymethyl Chitosan for Encapsulation and Controlled Release of Vitamin D3. J. Agric. Food Chem. 2012, 60, 836–843. [Google Scholar] [CrossRef]
- Lai, L.F.; Guo, H.X. Preparation of new 5-fluorouracil-loaded zein nanoparticles for liver targeting. Int. J. Pharm. 2011, 404, 317–323. [Google Scholar] [CrossRef]
- Mcclements, D.J. Food Emulsons; CRC Press: New York, NY, USA, 1999; pp. 11–24. [Google Scholar]
- Lee, P.-E.; Choo, W.-E. Characterization of flaxseed oil emulsions. J. Food Sci. Technol. 2014, 52, 4378–4386. [Google Scholar] [CrossRef]
- Domian, E.; Brynda-Kopytowska, A.; Oleksza, K. Rheological properties and physical stability of o/w emulsions stabilized by OSA starch with trehalose. Food Hydrocoll. 2015, 44, 49–58. [Google Scholar] [CrossRef]
- Li, X.; Fang, Y.; Al-Assaf, S.; Phillips, G.O.; Nishinari, K.; Zhang, H. Rheological study of gum arabic solutions: Interpretation based on molecular selfassociation. Food Hydrocoll. 2009, 23, 2394–2402. [Google Scholar] [CrossRef]
- Mothe, C.; Rao, M. Rheological behavior of aqueous dispersions of cashew gum and gum arabic: Effect of concentration and blending. Food Hydrocoll. 1999, 13, 501–506. [Google Scholar] [CrossRef]
- Sisko, A.W. The Flow of Lubricating Greases. A relatively simple flow equation is used to fit experimental flow data, and can be applied to other materials as well as greases. Ind. Eng. Chem. 1958, 50, 1789–1792. [Google Scholar] [CrossRef]
- Lupi, F.R.; Gabriele, D.; de Cindio, B.; Sánchez, M.C.; Gallegos, C. A rheological analysis of structured water-in-olive oil emulsions. J. Agric. Food Chem. 2011, 107, 296–303. [Google Scholar] [CrossRef]
- Teng, Z.; Luo, Y.; Wang, Q. Carboxymethyl chitosan–soy protein complex nanoparticles for the encapsulation and controlled release of vitamin D3. Food Chem. 2013, 141, 524–532. [Google Scholar] [CrossRef]
- Bagheri, L.; Madadlou, A.; Yarmand, M.; Mousavi, M.E. Nanoencapsulation of date palm pit extract in whey protein particles generated via desolvation method. Food. Res. Intern. 2013, 51, 866–871. [Google Scholar] [CrossRef]
- Dai, L.; Sun, C.; Wang, D.; Gao, Y. The Interaction between Zein and Lecithin in Ethanol-Water Solution and Characterization of Zein± Lecithin Composite Colloidal Nanoparticles. PLoS ONE 2016, 11, e0167172. [Google Scholar] [CrossRef]
- Sun, X.M.; Wang, C.N.; Guo, M.R. Interactions between whey protein or polymerized whey protein and soybean lecithin in model system. J. Dairy Sci. 2018, 101, 9680–9692. [Google Scholar] [CrossRef]
- Nicolai, T.; Britten, M.; Schmitt, C. β-Lactoglobulin and WPI aggregates: Formation, structure and applications. Food Hydrocoll. 2011, 25, 1945–1962. [Google Scholar] [CrossRef]
- Mehrad, B.; Ravanfar, R.; Licker, J.; Regenstein, J.M.; Abbaspourrad, A. Enhancing the physicochemical stability of carotene solid lipid nanoparticle (SLNP) using whey protein isolate. Food Res. Int. 2018, 105, 962–969. [Google Scholar] [CrossRef]
- Needs, E.C.; Capellas, M.; Bland, A.P.; Manoj, P.; Macdougal, D.; Paul, G. Comparison of heat and pressure treatments of skim milk, fortified with whey protein concentrate, for set yogurt preparation: Effects on milk proteins and gel structure. J. Dairy Res. 2000, 67, 329–348. [Google Scholar] [CrossRef]
- Boon, C.S.; McClements, D.J.; Weiss, J.; Decker, E.A. Factors Influencing the Chemical Stability of Carotenoids in Foods. Crit. Rev. Food Sci. Nutr. 2010, 50, 515–532. [Google Scholar] [CrossRef]
- Mortensen, A.; Skibsted, L.H. Kinetics and Mechanism of the Primary Steps of Degradation of Carotenoids by Acid in Homogeneous Solution. J. Agric. Food Chem. 2000, 48, 279–286. [Google Scholar] [CrossRef]







| Samples | ɳ∞ (mPa∙s) Infinite-Shear-Rate Viscosity | kᴑ Consistency Index | n Flow Index |
|---|---|---|---|
| WPI only | 6.74 ± 0.02a | 137.940 ± 0.007a | −0.049 ± 0.019a |
| WPI:DIM (2.5:1) | 10.82 ± 0.04b | 75.743 ± 0.003b | 0.180 ± 0.015b |
| WPI:DIM (5:1) | 9.17 ± 0.03c | 85.891± 0.002c | 0.223 ± 0.008c |
| WPI:DIM (7.5:1) | 7.87 ± 0.02d | 109.056 ± 0.005d | 0.018 ± 0.016d |
| WPI:DIM (10:1) | 7.58 ± 0.01e | 119.131 ± 0.004e | −0.030 ± 0.013e |
© 2019 by the authors. Licensee MDPI, Basel, Switzerland. This article is an open access article distributed under the terms and conditions of the Creative Commons Attribution (CC BY) license (http://creativecommons.org/licenses/by/4.0/).
Share and Cite
Khan, A.; Wang, C.; Sun, X.; Killpartrick, A.; Guo, M. Preparation and Characterization of Whey Protein Isolate–DIM Nanoparticles. Int. J. Mol. Sci. 2019, 20, 3917. https://doi.org/10.3390/ijms20163917
Khan A, Wang C, Sun X, Killpartrick A, Guo M. Preparation and Characterization of Whey Protein Isolate–DIM Nanoparticles. International Journal of Molecular Sciences. 2019; 20(16):3917. https://doi.org/10.3390/ijms20163917
Chicago/Turabian StyleKhan, Abbas, Cuina Wang, Xiaomeng Sun, Adam Killpartrick, and Mingruo Guo. 2019. "Preparation and Characterization of Whey Protein Isolate–DIM Nanoparticles" International Journal of Molecular Sciences 20, no. 16: 3917. https://doi.org/10.3390/ijms20163917
APA StyleKhan, A., Wang, C., Sun, X., Killpartrick, A., & Guo, M. (2019). Preparation and Characterization of Whey Protein Isolate–DIM Nanoparticles. International Journal of Molecular Sciences, 20(16), 3917. https://doi.org/10.3390/ijms20163917

