Cost Effective Use of a Thiosulfinate-Enriched Allium sativum Extract in Combination with Chemotherapy in Colon Cancer
Abstract
1. Introduction
2. Results
2.1. The Thiosulfinate-Enriched Allium sativum Extract Decreased Viability and Increased Cytotoxicity in Colon Cancer Cells
2.2. Analyses of the Type of Death Induced by the Thiosulfinate-Enriched Allium sativum Extract Treatment
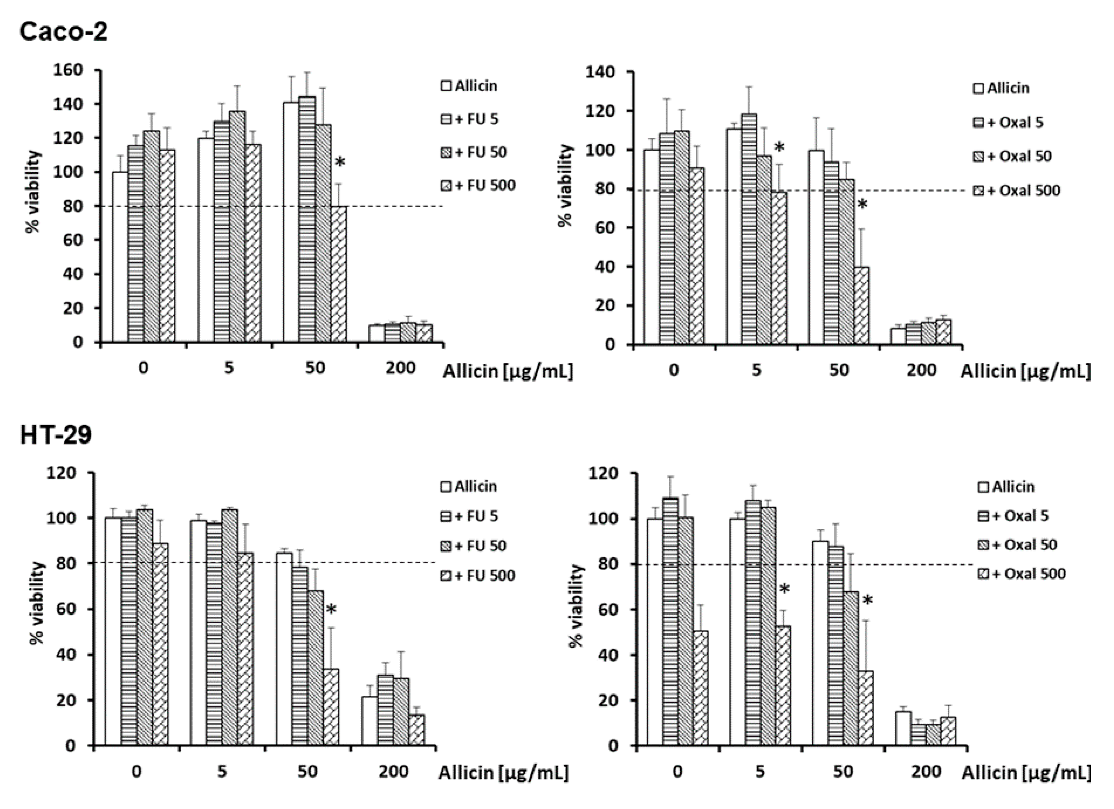
2.3. Combination of the Thiosulfinate-Enriched Allium sativum Extract with Chemotherapy Drugs
2.4. Cost Effectiveness of Treatments Combining the Thiosulfinate-Enriched Allium sativum Extract with Chemotherapy
- -
- Standard oxaliplatin dosage: 85 mg/m2 per cycle (equivalent to 1000 µM oxaliplatin)
- -
- Patient dosing surface: 1.7 m2
- -
- Number of chemotherapy cycles: 12
- -
- Cost of commercial oxaliplatin vial (5 mg/mL, 20 mL): 132.26 € (including 4% VAT)
- -
- Combined oxaliplatin dosage: 42.5 mg/m2 per cycle (equivalent to 500 µM oxaliplatin)
- -
- Combined thiosulfinate-enriched Allium sativum extract (Aliben©) dosage: 2.67 g per cycle (equivalent to 50 µg/mL allicin)
- -
- Patient dosing surface: 1.7 m2
- -
- Number of chemotherapy cycles: 12
- -
- Cost of commercial oxaliplatin vial (5 mg/mL, 20 mL): 132.26 € (including 4% VAT)
- -
- Cost of commercial Aliben©: 5 €/g, including 4% VAT (1 g of Aliben© contains 7.030 mg of allicin)
3. Discussion
4. Materials and Methods
4.1. Thiosulfinate-Enriched Allium sativum Extract
4.2. HPLC Analyses of Allium sativum Extract
4.3. Cell Culture and Chemotherapy Drugs
4.4. Cell Proliferation—Neutral Red Uptake
4.5. Cell Proliferation—Mitochondrial Activity (MTT)
4.6. Cytotoxicity Assay—Lactate Dehydrogenase (LDH) Release
4.7. Morphology Analysis—Optical Microscopy Images
4.8. Apoptosis Assay—TUNEL Method
4.9. Statistical Analysis
5. Conclusions
6. Patents
Supplementary Materials
Author Contributions
Funding
Acknowledgments
Conflicts of Interest
Abbreviations
| 5-FU | 5-fluorouracil |
| MTT | 3-(4,5-Dimethylthiazol-2-yl)-2,5-Diphenyltetrazolium bromide |
| LDH | lactate dehydrogenase |
| NP | natural products |
| HPLC | high-performance liquid chromatography |
| UV-vis | ultraviolet-visible |
| DMEM | Dulbecco’s modified Eagle medium |
| VAT | value added tax |
References
- Guo, M.; Song, W. The growing U.S. bioeconomy: Drivers, development and constraints. New Biotechnol. 2019, 49, 48–57. [Google Scholar] [CrossRef] [PubMed]
- Dias, D.A.; Urban, S.; Roessner, U. A historical overview of natural products in drug discovery. Metabolites 2012, 2, 303–336. [Google Scholar] [CrossRef] [PubMed]
- John, J.E. Natural products-Based drugs and membrane permeability, a hypothesis. Chem. Biol. Drug Des. 2009, 73, 367–368. [Google Scholar] [CrossRef]
- Butler, M.S. The role of natural product chemistry in drug discovery. J. Nat. Prod. 2004, 67, 2141–2153. [Google Scholar] [CrossRef] [PubMed]
- Chen, J.; Li, W.; Yao, H.; Xu, J. Insights into drug discovery from natural products through structural modification. Fitoterapia 2015, 103, 231–241. [Google Scholar] [CrossRef] [PubMed]
- Block, E. The chemistry of garlic and onions. Sci. Am. 1985, 252, 114–119. [Google Scholar] [CrossRef]
- Rana, S.V.; Pal, R.; Vaiphei, K.; Sharma, S.K.; Ola, R.P. Garlic in health and disease. Nutr. Res. Rev. 2011, 24, 60–71. [Google Scholar] [CrossRef]
- Shang, A.; Cao, S.Y.; Xu, X.Y.; Gan, R.Y.; Tang, G.Y.; Corke, H.; Mavumengwana, V.; Li, H.B. Bioactive Compounds and Biological Functions of Garlic (Allium sativum L.). Foods 2019, 8, 246. [Google Scholar] [CrossRef]
- Borlinghaus, J.; Albrecht, F.; Gruhlke, M.C.H.; Nwachukwu, I.D.; Slusarenko, A.J. Allicin: Chemistry and Biological Properties. Molecules 2014, 19, 12591–12618. [Google Scholar] [CrossRef]
- Li, M.; Ciu, J.R.; Ye, Y.; Min, J.M.; Zhang, L.H.; Wang, K.; Gares, M.; Cros, J.; Wright, M.; Leung-Tack, J. Antitumor activity of Z-ajoene, a natural compound purified from garlic: Antimitotic and microtubule-interaction properties. Carcinogenesis 2002, 23, 573–579. [Google Scholar] [CrossRef]
- Iberl, B.; Winkler, G.; Knobloch, K. Products of Allicin Transformation: Ajoenes and Dithiins, Characterization and their Determination by HPLC*. Planta Med. 1990, 56, 202–211. [Google Scholar] [CrossRef] [PubMed]
- Krest, I.; Keusgen, M. Quality of herbal remedies from Allium sativum: Differences between alliinase from garlic powder and fresh garlic. Planta Med. 1999, 65, 139–143. [Google Scholar] [CrossRef] [PubMed]
- Cañizares, P.; Gracia, I.; Gómez, L.A.; Martín de Argila, C.; Boixeda, D.; García, A.; de Rafael, L. Allyl-Thiosulfinates, the bacteriostatic compounds of garlic against Helicobacter pylori. Biotechnol. Prog. 2004, 20, 397–401. [Google Scholar] [CrossRef] [PubMed]
- Cañizares, P.; Gracia, I.; Gómez, L.A.; García, A.; Martín De Argila, C.; Boixeda, D.; de Rafael, L. Thermal degradation of allicin in garlic extracts and its implication on the inhibition of the in-Vitro growth of Helicobacter pylori. Biotechnol. Prog. 2004, 20, 32–37. [Google Scholar] [CrossRef]
- Lawson, L.D.; Wang, Z.J.; Hughes, B.G. Identification and HPLC quantitation of the sulfides and dialk(en)yl thiosulfinates in commercial garlic products. Planta Med. 1991, 57, 363–370. [Google Scholar] [CrossRef]
- Staba, E.J.; Lash, L.; Staba, J.E. A commentary on the effects of garlic extraction and formulation on product composition. J. Nutr. 2001, 131, 1118S–1119S. [Google Scholar] [CrossRef]
- Rahman, K. Historical perspective on garlic and cardiovascular disease. J. Nutr. 2001, 131, 977S–979S. [Google Scholar] [CrossRef]
- Sivam, G.P. Protection against Helicobacter pylori and other bacterial infections by garlic. J. Nutr. 2001, 131, 1106S–1108S. [Google Scholar] [CrossRef]
- Galceran, J.; Ameijide, A.; Carulla, M.; Mateos, A.; Quiros, J.R.; Rojas, D.; Aleman, A.; Torrella, A.; Chico, M.; Vicente, M.; et al. Cancer incidence in Spain, 2015. Clin. Transl. Oncol. 2017, 19, 799–825. [Google Scholar] [CrossRef]
- Bat-Chen, W.; Golan, T.; Peri, I.; Ludmer, Z.; Schwartz, B. Allicin Purified From Fresh Garlic Cloves Induces Apoptosis in Colon Cancer Cells Via Nrf2. Nutr. Cancer 2010, 62, 947–957. [Google Scholar] [CrossRef]
- Jakubíková, J.; Sedlák, J. Garlic-Derived organosulfides induce cytotoxicity, apoptosis, cell cycle arrest and oxidative stress in human colon carcinoma cell lines. Neoplasma 2006, 53, 191–199. [Google Scholar] [PubMed]
- Siegers, C.P.; Steffen, B.; Röbke, A.; Pentz, R. The effects of garlic preparations against human tumor cell proliferation. Phytomed. Int. J. Phytother. Phytopharm. 1999, 6, 7–11. [Google Scholar] [CrossRef]
- Rajput, S.; Mandal, M. Antitumor promoting potential of selected phytochemicals derived from spices: A review. Eur. J. Cancer Prev. Off. J. Eur. Cancer Prev. Organ. (ECP) 2012, 21, 205–215. [Google Scholar] [CrossRef] [PubMed]
- Pinto, J.T.; Rivlin, R.S. Antiproliferative effects of allium derivatives from garlic. J. Nutr. 2001, 131, 1058S–1060S. [Google Scholar] [CrossRef]
- Hirsch, K.; Danilenko, M.; Giat, J.; Miron, T.; Rabinkov, A.; Wilchek, M.; Mirelman, D.; Levy, J.; Sharoni, Y. Effect of purified allicin, the major ingredient of freshly crushed garlic, on cancer cell proliferation. Nutr. Cancer 2000, 38, 245–254. [Google Scholar] [CrossRef]
- Milner, J.A. Garlic: Its anticarcinogenic and antitumorigenic properties. Nutr. Rev. 1996, 54, S82–S86. [Google Scholar] [CrossRef]
- Almatroodi, S.A.; Alsahli, M.A.; Almatroudi, A.; Rahmani, A.H. Garlic and its Active Compounds: A Potential Candidate in The Prevention of Cancer by Modulating Various Cell Signalling Pathways. Anti-Cancer Agents Med. Chem. 2019, 19, 1314–1324. [Google Scholar] [CrossRef]
- Chhabria, S.V.; Akbarsha, M.A.; Li, A.P.; Kharkar, P.S.; Desai, K.B. In situ allicin generation using targeted alliinase delivery for inhibition of MIA PaCa-2 cells via epigenetic changes, oxidative stress and cyclin-Dependent kinase inhibitor (CDKI) expression. Apoptosis Int. J. Program. Cell Death 2015, 20, 1388–1409. [Google Scholar] [CrossRef]
- Li, C.; Jing, H.; Ma, G.; Liang, P. Allicin induces apoptosis through activation of both intrinsic and extrinsic pathways in glioma cells. Mol. Med. Rep. 2018, 17, 5976–5981. [Google Scholar] [CrossRef]
- Zhuang, J.; Li, Y.; Chi, Y. Role of p38 MAPK activation and mitochondrial cytochrome-c release in allicin-Induced apoptosis in SK-N-SH cells. Anti-Cancer Drugs 2016, 27, 312–317. [Google Scholar] [CrossRef]
- Cha, J.H.; Choi, Y.J.; Cha, S.H.; Choi, C.H.; Cho, W.H. Allicin inhibits cell growth and induces apoptosis in U87MG human glioblastoma cells through an ERK-dependent pathway. Oncol. Rep. 2012, 28, 41–48. [Google Scholar] [CrossRef] [PubMed]
- Zhang, W.; Ha, M.; Gong, Y.; Xu, Y.; Dong, N.; Yuan, Y. Allicin induces apoptosis in gastric cancer cells through activation of both extrinsic and intrinsic pathways. Oncol. Rep. 2010, 24, 1585–1592. [Google Scholar] [PubMed]
- Miron, T.; Wilchek, M.; Sharp, A.; Nakagawa, Y.; Naoi, M.; Nozawa, Y.; Akao, Y. Allicin inhibits cell growth and induces apoptosis through the mitochondrial pathway in HL60 and U937 cells. J. Nutr. Biochem. 2008, 19, 524–535. [Google Scholar] [CrossRef] [PubMed]
- Oommen, S.; Anto, R.J.; Srinivas, G.; Karunagaran, D. Allicin (from garlic) induces caspase-mediated apoptosis in cancer cells. Eur. J. Pharmacol. 2004, 485, 97–103. [Google Scholar] [CrossRef]
- Lea, M.A.; Rasheed, M.; Randolph, V.M.; Khan, F.; Shareef, A.; desBordes, C. Induction of histone acetylation and inhibition of growth of mouse erythroleukemia cells by S-allylmercaptocysteine. Nutr. Cancer 2002, 43, 90–102. [Google Scholar] [CrossRef]
- Block, E.; Bechand, B.; Gundala, S.; Vattekkatte, A.; Wang, K.; Mousa, S.S.; Godugu, K.; Yalcin, M.; Mousa, S.A. Fluorinated Analog NMR s of Organosulfur Compounds from Garlic (Allium sativum): Synthesis, Chemistry and Anti-Angiogenesis and Antithrombotic Studies. Molecules 2017, 22, 2081. [Google Scholar] [CrossRef]
- Park, S.-Y.; Cho, S.-J.; Kwon, H.-C.; Lee, K.-R.; Rhee, D.-K.; Pyo, S. Caspase-Independent cell death by allicin in human epithelial carcinoma cells: Involvement of PKA. Cancer Lett. 2005, 224, 123–132. [Google Scholar] [CrossRef]
- Antony, M.L.; Singh, S.V. Molecular mechanisms and targets of cancer chemoprevention by garlic-derived bioactive compound diallyl trisulfide. Indian J. Exp. Biol. 2011, 49, 805–816. [Google Scholar]
- Rejhova, A.; Opattova, A.; Cumova, A.; Sliva, D.; Vodicka, P. Natural compounds and combination therapy in colorectal cancer treatment. Eur. J. Med. Chem. 2018, 144, 582–594. [Google Scholar] [CrossRef]
- Redondo-Blanco, S.; Fernandez, J.; Gutierrez-Del-Rio, I.; Villar, C.J.; Lombo, F. New Insights toward Colorectal Cancer Chemotherapy Using Natural Bioactive Compounds. Front. Pharmacol. 2017, 8, 109. [Google Scholar] [CrossRef] [PubMed]
- Nobili, S.; Lippi, D.; Witort, E.; Donnini, M.; Bausi, L.; Mini, E.; Capaccioli, S. Natural compounds for cancer treatment and prevention. Pharmacol. Res. 2009, 59, 365–378. [Google Scholar] [CrossRef] [PubMed]
- Aggarwal, B.B.; Takada, Y.; Oommen, O.V. From chemoprevention to chemotherapy: Common targets and common goals. Expert Opin. Investig. Drugs 2004, 13, 1327–1338. [Google Scholar] [CrossRef] [PubMed]
- Cañizares, P.; Gracia, I.; Gómez, L.A.; Martín de Argila, C.; de Rafael, L.; García, A. Optimization of Allium sativum solvent extraction for the inhibition of in vitro growth of Helicobacter pylori. Biotechnol. Prog. 2002, 18, 1227–1232. [Google Scholar] [CrossRef] [PubMed]




| Compound | Concentration (µg/mg) | Compound | Concentration (µg/mg) |
|---|---|---|---|
| Allyl-1-propenyl thiosulfinate | 31.023 | K | 3974.85 |
| Dimethyl thiosulfinate | 18.302 | Si | 3665.76 |
| Dimethyl tetrasulfide | 6.619 | P | 1188.87 |
| Diallyl thiosulfinate (allicin) | 5.617 | Cu | 298.16 |
| Prostaglandin E1 | 4.831 | Mg | 188.41 |
| Methyl allyl disulfide | 4.725 | Ca | 159.12 |
| Allylmethyl + Methyl-allyl thiosulfinate | 4.581 | Na | 102.41 |
| Methyl allyl sulphide | 3.575 | Fe | 95.84 |
| Propyl-methyl + Methyl-propyl thiosulfinate | 3.394 | B | 89.45 |
| Vitamin E (α-tocopherol) | 3.072 | Cr | 26.37 |
| 1-propenyl-allyl + allyl-propyl thiosulfinate | 1.760 | Zn | 10.60 |
| Di-propyl thiosulfinate | 1.653 | Cd | 9.48 |
| Di-methyl pentasulfide | 1.631 | Se | 9.37 |
| Propyl-allyl thiosulfinate | 1.591 | Mn | 1.18 |
| Di-allyl trisulfide | 0.736 | Co, Hg | Non Detected |
| Inulin | 0.103 | Al | Non Detected |
| (E,Z)-Ajoene | 0.068 | Ni | Non Detected |
| Control | Allicin [10 µg/mL] | Allicin [50 µg/mL] | Allicin [100 µg/mL] | |
|---|---|---|---|---|
| Viable cells | 98.40% | 94.20% | 74.50% | 54.12% |
| Early apoptotic cells | 0.31% | 4.53% | 22.24% | 44.04% |
| Late apoptotic cells | 0.16% | 0.16% | 0.26% | 1.43% |
| Necrotic cells | 1.09% | 1.11% | 3% | 2.41% |
© 2020 by the authors. Licensee MDPI, Basel, Switzerland. This article is an open access article distributed under the terms and conditions of the Creative Commons Attribution (CC BY) license (http://creativecommons.org/licenses/by/4.0/).
Share and Cite
Perez-Ortiz, J.M.; Galan-Moya, E.M.; de la Cruz-Morcillo, M.A.; Rodriguez, J.F.; Gracia, I.; Garcia, M.T.; Redondo-Calvo, F.J. Cost Effective Use of a Thiosulfinate-Enriched Allium sativum Extract in Combination with Chemotherapy in Colon Cancer. Int. J. Mol. Sci. 2020, 21, 2766. https://doi.org/10.3390/ijms21082766
Perez-Ortiz JM, Galan-Moya EM, de la Cruz-Morcillo MA, Rodriguez JF, Gracia I, Garcia MT, Redondo-Calvo FJ. Cost Effective Use of a Thiosulfinate-Enriched Allium sativum Extract in Combination with Chemotherapy in Colon Cancer. International Journal of Molecular Sciences. 2020; 21(8):2766. https://doi.org/10.3390/ijms21082766
Chicago/Turabian StylePerez-Ortiz, Jose Manuel, Eva Maria Galan-Moya, Miguel Angel de la Cruz-Morcillo, Juan Francisco Rodriguez, Ignacio Gracia, Maria Teresa Garcia, and Francisco Javier Redondo-Calvo. 2020. "Cost Effective Use of a Thiosulfinate-Enriched Allium sativum Extract in Combination with Chemotherapy in Colon Cancer" International Journal of Molecular Sciences 21, no. 8: 2766. https://doi.org/10.3390/ijms21082766
APA StylePerez-Ortiz, J. M., Galan-Moya, E. M., de la Cruz-Morcillo, M. A., Rodriguez, J. F., Gracia, I., Garcia, M. T., & Redondo-Calvo, F. J. (2020). Cost Effective Use of a Thiosulfinate-Enriched Allium sativum Extract in Combination with Chemotherapy in Colon Cancer. International Journal of Molecular Sciences, 21(8), 2766. https://doi.org/10.3390/ijms21082766

