Neuroprotection of the Perinatal Brain by Early Information of Cerebral Oxygenation and Perfusion Patterns
Abstract
1. Introduction
2. Mechanisms of Brain Injury in the Preterm Infant and Cerebral Oxygenation
3. Mechanisms of Brain Injury of the Term Infant and Cerebral Oxygenation
4. Future Perspectives of Multimodal Cerebral Oxygenation Monitoring: What Can It Add to Neuroprotection of the Perinatal Brain in the Clinical Setting?
5. Assessment of Cerebral Hemodynamics Regulation Using NIRS Signals
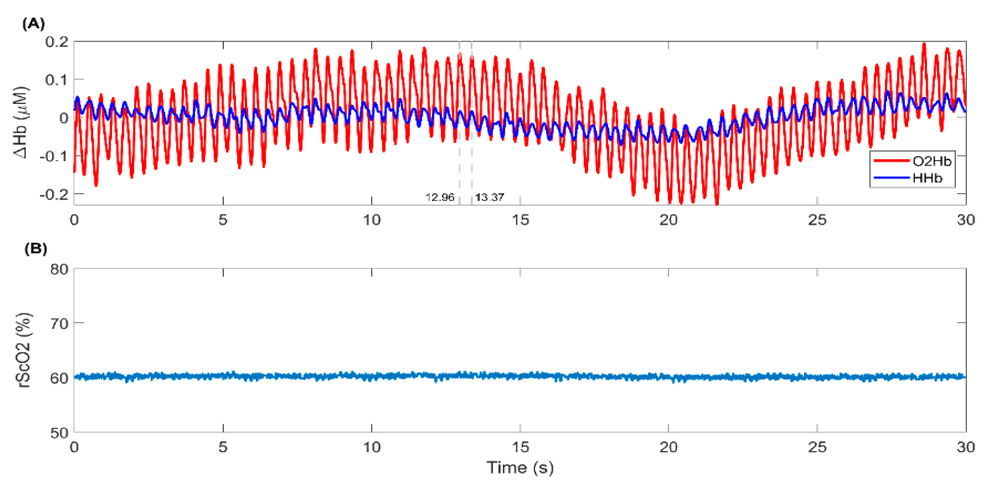
6. NIRS-Derived Intensity Signals and the Importance of Signal Quality Assessment
6.1. NIRS-Derived Heartbeat Pattern
6.2. Signal Quality Assessment
7. Conclusions
Author Contributions
Funding
Institutional Review Board Statement
Informed Consent Statement
Conflicts of Interest
References
- van Bel, F.; Vaese, J.; Groenedaal, F. Prevention, reduction and repair of brain injury of the preterm infant. Front. Physiol. 2019. [Google Scholar] [CrossRef]
- Jacobs, S.E.; Berg, M.; Hunt, R.; Tarnow-Mordi, W.O.; Inder, T.E.; Davis, P.G. Cooling for newborns with hypoxic ischaemic encephalopathy. Cochrane Database. Cochrane Database Syst. Rev. 2013, 1. [Google Scholar] [CrossRef]
- van Bel, F.; Groenendaal, F. Drugs for neuroprotection after birth asphyxia: Pharmacologic adjuncts to hypothermia. Semin. Perinatol. 2016, 40, 152–159. [Google Scholar]
- Perlman, J.M.; McMenamin, J.B.; Volpe, J.J. Fluctuating cerebral blood flow velocity in respiratory-distress syndrome. Relation to the development to the development of intraventricular hemorrhage. N. Engl. J. Med. 1983, 309, 204–209. [Google Scholar] [CrossRef]
- Shankaran, S.; Langer, J.C.; Kazzi, S.N.; Laptook, A.R.; Walsh, M. Cumulative index of exposure to hypocarbia and hyperoxia as risk factors for periventricular leukomalacia in low birth weight infants. Pediatrics 2006, 118, 1654–1659. [Google Scholar] [CrossRef]
- Greisen, G. Cerebral blood flow and oxygenation in infants after birth asphyxia. Clinically useful information? Early Hum. Dev. 2014, 90, 703–705. [Google Scholar] [CrossRef] [PubMed]
- Howlett, J.A.; Northington, F.J.; Gilmore, M.M.; Tekes, A.; Huisman, T.A.; Parkinson, C.; Chung, S.E.; Jennings, J.M.; Jamrogowicz, J.J.; Larson, A.C.; et al. Cerebral autoregulation and neurologic injury in neonatal hypoxic-ischemic encephalopathy. Pediatric Res. 2013, 74, 525–535. [Google Scholar] [CrossRef] [PubMed]
- Lemmers, P.M.; Zwanenburg, R.J.; Benders, M.J.; de Vries, J.S.; Groenendaal, F.; van Bel, F.; Toet, M. Cerebral oxygenation and brain activity after perinatal asphyxia: Does hypothermia change their prognostic value? Pediatric Res. 2013, 74, 180–185. [Google Scholar] [CrossRef]
- Van Bel, F.; Lemmers, P.; Naulaers, G. Monitoring neonatal regional cerebral oxygen saturation in clinical practice: Value and pitfalls. Neonatology 2008, 94, 237–244. [Google Scholar] [CrossRef]
- Greisen, G.; Andresen, B.; Plomgaard, A.M.; Hyttel-Sørensen, S. Cerebral oximetry in preterm infants: An agenda for research with a clear clinical goal. Neurophotonics 2016, 3, 31407. [Google Scholar] [CrossRef]
- Skov, L.; Pryds, O.; Greisen, G. Estimating Cerebral Blood Flow in Newborn Infants: Comparison of Near Infrared Spectroscopy and 133Xe Clearance. Pediatric Res. 1991, 30, 570–573. [Google Scholar] [CrossRef] [PubMed]
- Alderliesten, T.; De Vis, J.B.; Lemmers, P.M.; Hendrikse, J.; Groenendaal, F.; Van Bel, F.; Benders, M.J.; Petersen, E.T. Brain oxygen saturation assessment in neonates using T2-prepared blood imaging of oxygen saturation and near-infrared spectroscopy. Br. J. Pharm. 2017, 37, 902–913. [Google Scholar] [CrossRef]
- Greisen, G. Is near-infrared spectroscopy living up to its promises? Semin. Fetal Neonatal Med. 2006, 11, 498–502. [Google Scholar] [CrossRef] [PubMed]
- Wijbenga, R.G.; Lemmers, P.M.; van Bel, F. Cerebral oxygenation during the first days of life in preterm and term neonates: Dif-ferences between different brain regions. Pediatr. Res. 2011, 70, 389–394. [Google Scholar] [CrossRef] [PubMed]
- Bel, V.; Mintzer, J. Monitoring cerebral oxygenation of the immature brain: A neuroprotective strategy? Pediatr. Res. 2018, 84, 159–164. [Google Scholar]
- Dix, L.M.; Van Bel, F.; Baerts, W.; Lemmers, P.M. Comparing near-infrared spectroscopy devices and their sensors for monitoring regional cerebral oxygen saturation in the neonate. Pediatr. Res. 2013, 74, 557–563. [Google Scholar] [CrossRef] [PubMed]
- Alderliesten, T.; Dix, L.; Baerts, W.; Caicedo, A.; Van Huffel, S.; Naulaers, G.; Groenendaal, F.; Van Bel, F.; Lemmers, P. Reference values of regional cerebral oxygen saturation during the first 3 days of life in preterm neonates. Pediatr. Res. 2016, 79, 55–64. [Google Scholar] [CrossRef]
- Pellicer, A.; Greisen, G.; Benders, M.; Claris, O.; Dempsey, E.; Fumagally, M.; Gluud, C.; Hagmann, C.; Hellström-Westas, L.; Hyttel-Sorensen, S.; et al. The SafeBoosC phase II randomized clinical trial: A treatment guideline for targeted near-infrared derived cerebral tissue oxygenation versus standard treatment in extremely preterm in-fants. Neonatology 2013, 104, 171–178. [Google Scholar] [CrossRef] [PubMed]
- Hou, X.; Ding, H.; Teng, Y.; Zhou, C.; Tang, X.; Li, S.; Ding, H. Research on the relationship between brain anoxia at different regional oxygen saturations and brain damage using near-infrared spectroscopy. Physiol. Meas. 2007, 28, 1251–1265. [Google Scholar] [CrossRef]
- Kurth, C.D.; McCann, J.C.; Wu, J.; Miles, L.; Loepke, A.W. Cerebral Oxygen Saturation-Time Threshold for Hypoxic-Ischemic Injury in Piglets. Anesth. Analg. 2009, 108, 1268–1277. [Google Scholar] [CrossRef]
- Dent, C.L.; Spaeth, J.P.; Jones, B.V.; Schwartz, S.M.; Glauser, T.A.; Hallinan, B.; Pearl, J.M.; Khoury, P.R.; Kurth, C.D. Brain magnetic resonance imaging abnormalities after the Norwood procedure using regional cerebral perfusion. J. Thorac. Cardiovasc. Surg. 2006, 131, 190–197. [Google Scholar] [CrossRef]
- Kusaka, T.; Ueno, M.; Miki, T.; Kuboi, T.; Nakamura, S.; Koyano, K.; Ijichi, S.; Yasuda, S.; Okubo, K.; Kawada, K.; et al. Relationship between cerebral oxygenation and phosphorylation potential during second-ary energy failure in hypoxic-ischemic newborn piglets. Pediatr. Res. 2009, 65, 317–322. [Google Scholar] [CrossRef] [PubMed]
- Wintermark, P.; Hansen, A.; Warfield, S.K.; Dukhovny, D.; Soul, J.S. Near-infrared spectroscopy versus magnetic resonance im-aging to study brain perfusion in newborns with hypoxic-ischemic encephalopathy treated with hypothermia. Neuroimage 2014, 85, 287–293. [Google Scholar] [CrossRef] [PubMed]
- Arman, D.; Sancak, S.; Gürsoy, T.; Topcuoğlu, S.; Karatekin, G.; Ovalı, F. The association between NIRS and Doppler ultrasonography in preterm infants with patent ductus arteriosus. J. Matern. Fetal Neonatal Med. 2019, 33, 1245–1252. [Google Scholar] [CrossRef]
- Volpe, J.J. Neurology of the Newborn, 6th ed.; Elsevier: Philadelphia, PA, USA, 2018; pp. 325–698. [Google Scholar]
- Hollebrandse, N.L.; Spittle, A.J.; Burnett, A.C.; Anderson, P.J.; Roberts, G.; Doyle, L.W.; Cheong, J.L.Y. School-age outcomes following intra-ventricular haemorrhages in infants born extremely preterm. Arch. Dis. Child. Fetal Neonatal Ed. 2021, 106, 4–8. [Google Scholar] [CrossRef]
- Papile, L.A.; Burstein, J.; Burstein, R.; Koffler, H. Incidence and evolution of subependymal and intraventricular hemorrhage: A study of infants with birth weights less than 1500 gm. J. Pediatr. 1978, 92, 529–534. [Google Scholar] [CrossRef]
- Krediet, T.G.; Kavelaars, A.; Vreman, H.J.; Heijnen, C.J.; van Bel, F. Respiratory distress syndrome-associated inflammation is re-lated to early but not late peri/intraventricular hemorrhage in preterm infants. J. Pediatr. 2006, 148, 740–746. [Google Scholar] [CrossRef]
- Villamor-Martinez, E.; Fumagalli, M.; Rahim, O.M.; Passera, S.; Cavallaro, G.; Degraeuwe, P.; Mosca, F.; Villamor, E. Chorioamnionitis Is a Risk Factor for Intraventricular Hemorrhage in Preterm Infants: A Systematic Review and Meta-Analysis. Front. Physiol. 2018, 9, 1253. [Google Scholar] [CrossRef]
- Ballabh, P. Pathogenesis and Prevention of Intraventricular Hemorrhage. Clin. Perinatol. 2014, 41, 47–67. [Google Scholar] [CrossRef]
- Kontos, H.A.; Raper, A.H.; Patterson, J.L., Jr. Analysis of vasoactivity of local pH, PCO2, and bicarbonate on cat pial arterioles. Stroke 1977, 8, 226–234. [Google Scholar] [CrossRef]
- Dix, L.M.L.; Weeke, L.C.; de Vries, L.S.; Groenendaal, F.; Baerts, W.; van Bel, F.; Lemmers, P.M.A. Carbon dioxide fluctuations are asso-ciated with changes in cerebral oxygenation and electrical activity in infants born preterm. J. Pediatr. 2017. [Google Scholar] [CrossRef] [PubMed]
- van Bel, F.; Van de Bor, M.; Stijnen, T.; Baan, J.; Ruys, J.H. Aetiological role of cerebral blood-flow alterations in development and extension of peri-intraventricular haemorrhage. Dev. Med. Child. Neurol. 1987, 29, 601–614. [Google Scholar]
- Maren, T.H. Effect of varying CO2 equilibria on rates of HCO3- formation in cerebrospinal fluid. J. Appl. Physiol. Respir. Env. Exerc. Physiol. 1979, 47, 471–480. [Google Scholar] [CrossRef]
- Alderliesten, T.; Lemmers, P.M.A.; Smarius, J.J.M.; van de Vosse, R.E.; Baerts, W.; van Bel, F. Cerebral oxygenation, extraction, and autoregulation in very preterm infants who develop peri-intraventricular haemorrhage. J. Pediatr. 2013, 162, 698–704. [Google Scholar] [CrossRef] [PubMed]
- Hoffman, S.B.; Cheng, Y.J.; Magder, L.S.; Shet, N.S. Cerebral autoregulation in premature infants and relationship to adverse out-come. Arch. Dis. Child. Fetal Neonatal Ed. 2018. [Google Scholar] [CrossRef]
- Tamura, K.; Williams, E.E.; Dassios, T.; Pahuja, A.; Hunt, K.A.; Murthy, V.; Bhat, P.; Bhat, R.; Milner, A.; Greenough, A. End-tidal carbon dioxide levels during resuscitation and carbon dioxide levels in the immediate neonatal period and intraventricular hemorrhage. Eur. J. Pediatr. 2020, 179, 555–559. [Google Scholar] [CrossRef] [PubMed]
- Thewissen, L.; Caicedo, A.; Lemmers, P.; Van Bel, F.; Van Huffel, S.; Naulaers, G. Measuring Near-Infrared Spectroscopy Derived Cerebral Autoregulation in Neonates: From Research Tool Toward Bedside Multimodal Monitoring. Front. Pediatr. 2018, 6. [Google Scholar] [CrossRef] [PubMed]
- Alderliesten, T.; van Bel, F.; van der Aa, N.; Steendijk, P.; van Haastert, I.; de Vries, L.S.; Groenendaal, F.; Lemmers, P. Low cerebral oxygenation in preterm infants is associated with adverse neurodevelopmental outcome. J. Pediatr. 2019, 207, 109–116. [Google Scholar] [CrossRef]
- Vesoulis, Z.A.; Whitehead, H.V.; Liao, S.M.; Mathur, A.M. The hidden consequence of intraventricular hemorrhage: Persistent cer-ebral desaturation after IVH in preterm infants. Pediatric Res. 2020. [Google Scholar] [CrossRef]
- Hoffman, S.B.; Cheng, Y.J.; Magder, L.S.; Shet, N.; Viscardi, R.M. Cerebral autoregulation in premature infants dueing the first 96 hours of life and relationship to adverse outcomes. Arch. Dis. Child. Fetal Neonatal Ed. 2018, 104, 473–479. [Google Scholar] [CrossRef]
- Hyttel-Sorensen, S.; Pellicer, A.; Alderliesten, T.; Austin, T.; Van Bel, F.; Benders, M.; Claris, O.; Dempsey, E.; Franz, A.R.; Fumagalli, M.; et al. Cerebral near infrared spectroscopy oximetry in extremely preterm infants: Phase II randomised clinical trial. BMJ 2015, 350, 7635. [Google Scholar] [CrossRef] [PubMed]
- Plomgaard, A.M.; Alderliesten, T.; Austin, T.; Van Bel, F.; Benders, M.; Claris, O.; Dempsey, E.M.; Fumagalli, M.; Gluud, C.; Hagmann, C.; et al. Early biomarkers of brain injury and cerebral hypo- and hyperoxia in the SafeBoosC II trial. PLoS ONE 2017, 12, e0173440. [Google Scholar] [CrossRef]
- Volpe, J.J. Brain injury in premature infants: A complex amalgam of destructive and developmental disturbances. Lancet Neurol. 2009, 8, 110–124. [Google Scholar] [CrossRef]
- Chau, V.; Synnes, A.; Grunau, R.E.; Poskitt, K.J.; Brant, R.; Miller, S.P. Abnormal brain maturation in preterm neonates associated with ad-verse outcome. Neurology 2013, 81, 2082–2089. [Google Scholar] [CrossRef]
- Van Tilborg, E.; de Theije, C.G.M.; van Hal, M.; Wagenaar, N.; de Vries, L.S.; Benders, M.J.; Rowitch, D.H.; Nijboer, C.H. Origin and dynamics of oligoden-drocytes in the developing brain. Glia 2018, 66, 221–238. [Google Scholar] [CrossRef]
- Brouwer, M.J.; Kersbergen, K.J.; Van Kooij, B.J.M.; Benders, M.J.N.L.; Van Haastert, I.C.; Koopman-Esseboom, C.; Neil, J.J.; De Vries, L.S.; Kidokoro, H.; Inder, T.E.; et al. Preterm brain injury on term-equivalent age MRI in relation to perinatal factors and neurodevelopmental outcome at two years. PLoS ONE 2017, 12, e0177128. [Google Scholar] [CrossRef]
- Favrais, G.; Van De Looij, Y.; Fleiss, B.; Ramanantsoa, N.; Bonnin, P.; Stoltenburg-Didinger, G.; Lacaud, A.; Saliba, E.; Dammann, O.; Gallego, J.; et al. Systemic inflammation disrupts the developmental program of white matter. Ann. Neurol. 2011, 70, 550–565. [Google Scholar] [CrossRef]
- Greissen, G.; Vannucci, R.C. Is periventricular leukomalacia a result of hypoxic-ischaemic injury? Hypocapnia and the pre-term brain. Newborn High Risk Brain Damage 2001, 79, 194–200. [Google Scholar]
- Benitz, W.E. Treatment of persistent patent ductus arteriosus in preterm infants: Time to accept the null hypothesis? J. Perinatol. 2010, 30, 241–252. [Google Scholar] [CrossRef]
- Noori, S. Patent ductus arteriosus in the preterm infant: To treat or not to treat? J. Perinatol. 2010, 30, S31–S37. [Google Scholar] [CrossRef]
- Giesinger, R.E.; McNamara, P.J. Hemodynamic instability in the critically ill neonate: An approach to cardiovascular support based on disease pathophysiology. Semin. Perinatol. 2016, 40, 174–188. [Google Scholar] [CrossRef] [PubMed]
- Lemmers, P.M.; Benders, M.J.; D’Ascenzo, R.; Zethof, J.; Alderliesten, T.; Kersbergen, K.J.; Isgum, I.; de Vries, L.S.; Groenendaal, F.; van Bel, F. Patent Ductus Arteriosus and Brain Volume. Pediatrics 2016, 137, e20153090. [Google Scholar] [CrossRef] [PubMed]
- Volpe, J.J. Cerebellum of the Premature Infant: Rapidly Developing, Vulnerable, Clinically Important. J. Child. Neurol. 2009, 24, 1085–1104. [Google Scholar] [CrossRef]
- Witter, L.; Rudolph, S.; Pressler, R.T.; Lahlaf, S.I.; Regehr, W.G. Purkinje Cell Collaterals Enable Output Signals from the Cerebellar Cortex Report Feed Back to Purkinje Cells and Interneurons. Neuron 2016, 91, 312–319. [Google Scholar] [CrossRef]
- Limperopoulos, C.; Benson, C.B.; Bassan, H.; Disalvo, D.N.; Kinnamon, D.D.; Moore, M.; Ringer, S.A.; Volpe, J.J.; Plessis, A.J. Cerebellar hemorrhage in the preterm infant: Ultrasonographic findings and risk factors. Pediatrics 2005, 116, 717–724. [Google Scholar] [CrossRef] [PubMed]
- Alderliesten, T.; Lemmers, P.M.A.; van Haastert, I.C.; de Vries, L.S.; Bonestroo, H.J.C.; Baerts, W.; van Bel, F. Hypotension in preterm neonates: Low blood pressure alone does not affect neurodevelopmental outcome. J. Pediatr. 2014, 164, 986–991. [Google Scholar] [CrossRef]
- Dempsey, E.M.; Al Hazzani, F.; Barrington, K.J. Permissive hypotension in the extremely low birth weight infant with signs of good perfusion. Arch. Dis. Child. Fetal Neonatal Ed. 2009, 94, F241–F244. [Google Scholar] [CrossRef]
- Van Hoften, J.C.; Verhagen, E.A.; Keating, P.; ter Horst, H.J.; Bos, A.F. Cerebral tissue oxygen saturation and extraction in preterm infants before and after blood transfusion. Arch. Dis. Child. Fetal Neonatal Ed. 2010, 95, F352–F358. [Google Scholar] [CrossRef]
- Vanderhaegen, J.; Vanhaesebrouck, S.; Vanhole, C.; Casaer, P.; Naulaers, G. The effect of glycaemia on the cerebral oxygenation in very low birth weight infants as measured by near-infrared spectroscopy. Adv. Exp. Mex Biol. 2010, 662, 461–464. [Google Scholar]
- Liu, L.; Johnson, H.L.; Cousens, S.; Perin, J.; Scott, S.; Lawn, J.E.; Rudan, I.; Campbell, H.; Cibulskis, R.; Li, M.; et al. Child health epidemiology reference group of WHO and UNICEF Global, regional, and national causes of child mortality in 2008: A systemic analysis. Lancet 2010, 375, 1969–1987. [Google Scholar]
- Lorek, A.; Takei, Y.; Cady, E.B.; Wyatt, J.S.; Penrice, J.; Edwards, A.D.; Peebles, D.; Wylezinska, M.; Owen-Reece, H.; Kirkbride, V.; et al. Delayed (“Secondary”) Cerebral Energy Failure after Acute Hypoxia-Ischemia in the Newborn Piglet: Continuous 48-Hour Studies by Phosphorus Magnetic Resonance Spectroscopy. Pediatr. Res. 1994, 36, 699–706. [Google Scholar] [CrossRef] [PubMed]
- Groenendaal, F.; Benders, M.J.N.L.; de Vries, L.S.; van Bel, F. Neuroprotective drugs and perinatal brain injury. In Neonatal and Pediatric Pharmacology: Therapeutic Principles in Practice, 5th ed.; Aranda, J.V., van den Anker, J.N., Eds.; Wolter Kluwer Pub-Licers: Philadelphia, PA, USA, 2021; pp. 171–182. [Google Scholar]
- Toet, M.C.; Lemmers, P.M.; van Schelven, L.J.; van Bel, F. Cerebral oxygenation and electrical activity after birth asphyxia: Their relation to outcome. Pediatrics 2006, 117, 333–339. [Google Scholar] [CrossRef] [PubMed]
- Ancora, G.; Maranella, E.; Grandi, S.; Sbravati, F.; Coccolini, E.; Savini, S.; Faldella, G. Early predictors of short term neurodevelopmental outcome in asphyxiated cooled infants. A combined brain amplitude integrated electroencephalography and near infrared spectroscopy study. Brain Dev. 2013, 35, 26–31. [Google Scholar] [CrossRef]
- Lynch, J.K. Epidemiology and classification of perinatal stroke. Semin. Fetal Neonatal Med. 2009, 14, 245–249. [Google Scholar] [CrossRef]
- Fernández-López, D.; Natarajan, N.; Ashwal, S.; Vexler, Z.S. Mechanisms of Perinatal Arterial Ischemic Stroke. J. Cereb. Blood Flow Metab. 2014, 34, 921–932. [Google Scholar] [CrossRef] [PubMed]
- Wagenaar, N.; Martinez-Biarge, M.; Van Der Aa, N.E.; Van Haastert, I.C.; Groenendaal, F.; Benders, M.J.; Cowan, F.M.; De Vries, L.S. Neurodevelopment After Perinatal Arterial Ischemic Stroke. Pediatrics 2018, 142, e20174164. [Google Scholar] [CrossRef] [PubMed]
- Benders, M.J.; van der Aa, N.E.; Roks, M.; van Straaten, H.L.; Isgum, I.; Viergever, M.A.; Groenendaal, F.; de Vries, L.S.; van Bel, F. Feasibility and Safety of Erythropoietin for Neuroprotection after Perinatal Arterial Ischemic Stroke. J. Pediatr. 2014, 164, 481–486.e2. [Google Scholar] [CrossRef]
- Wagenaar, N.; De Theije, C.G.M.; De Vries, L.S.; Groenendaal, F.; Benders, M.J.N.L.; Nijboer, C.H. Promoting neuroregeneration after perinatal arterial ischemic stroke: Neurotrophic factors and mesenchymal stem cells. Pediatr. Res. 2018, 83, 372–384. [Google Scholar] [CrossRef]
- Wagenaar, N.; Berk, D.J.V.D.; Lemmers, P.M.; Van Der Aa, N.E.; Dudink, J.; Van Bel, F.; Groenendaal, F.; De Vries, L.S.; Benders, M.J.; Alderliesten, T. Brain Activity and Cerebral Oxygenation After Perinatal Arterial Ischemic Stroke Are Associated With Neurodevelopment. Stroke 2019, 50, 2668–2676. [Google Scholar] [CrossRef]
- Wintermark, P.; Warfield, S.K. New insights in perinatal arterial ischemic stroke by assessing brain perfusion. Transl. Stroke Res. 2012, 3, 255–262. [Google Scholar] [CrossRef]
- Van der Aa, N.E.; Porsius, E.D.; Hendrikse, J.; van Kooij, B.J.M.; Benders, M.J.N.L.; de Vries, L.S.; Groenendaal, F. Changes in carotid blood flow after unilateral arterial ischemic stroke. Pediatr. Res. 2012, 72, 50–56. [Google Scholar] [CrossRef]
- Greisen, G. Autoregulation of cerebral blood flow in newborn babies. Early Hum. Dev. 2005, 81, 423–428. [Google Scholar] [CrossRef]
- Caicedo, A.; De Smet, D.; Vanderhaegen, J.; Naulaers, G.; Wolf, M.; Lemmers, P.; Van Bel, F.; Ameye, L.; Van Huffel, S. Impaired Cerebral Autoregulation Using Near-Infrared Spectroscopy and Its Relation to Clinical Outcomes in Premature Infants. Adv. Exp. Med. Biol. 2011, 701, 233–239. [Google Scholar] [CrossRef]
- El-Dib, M.; Soul, J.S. Monitoring and management of brain hemodynamics and oxygenation. Handb. Clin. Neurol. 2019, 162, 295–314. [Google Scholar] [CrossRef] [PubMed]
- Rhee, C.J.; Da Costa, C.S.; Austin, T.; Brady, K.M.; Czosnyka, M.; Lee, J.K. Neonatal cerebrovascular autoregulation. Pediatr. Res. 2018, 84, 602–610. [Google Scholar] [CrossRef] [PubMed]
- Chock, V.Y.; Kwon, S.H.; Ambalavanan, N.; Batton, B.; Nelin, L.D.; Chalak, L.F.; Tian, L.; Van Meurs, K.P. Cerebral Oxygenation and Autoregulation in Preterm Infants (Early NIRS Study). J. Pediatr. 2020, 227, 94–100. [Google Scholar] [CrossRef]
- Massaro, A.N.; Govindan, R.B.; Vezina, G.; Chang, T.; Andescavage, N.N.; Wang, Y.; Al-Shargabi, T.; Metzler, M.; Harris, K.; Du Plessis, A.J. Impaired cerebral autoregulation and brain injury in newborns with hypoxic-ischemic encephalopathy treated with hypothermia. J. Neurophysiol. 2015, 114, 818–824. [Google Scholar] [CrossRef] [PubMed]
- Vesoulis, Z.A.; Mathur, A.M. Cerebral Autoregulation, Brain Injury, and the Transitioning Premature Infant. Front. Pediatr. 2017, 5, 64. [Google Scholar] [CrossRef] [PubMed]
- Tsuji, M.; Saul, J.P.; Du Plessis, A.; Eichenwald, E.; Sobh, J.; Crocker, R.; Volpe, J.J. Cerebral Intravascular Oxygenation Correlates With Mean Arterial Pressure in Critically Ill Premature Infants. Pediatrics 2000, 106, 625–632. [Google Scholar] [CrossRef]
- Tasker, R.C. Brain vascular and hydrodynamic physiology. Semin. Pediatr. Surg. 2013, 22, 168–173. [Google Scholar] [CrossRef][Green Version]
- Vesoulis, Z.A.; Mintzer, J.P.; Chock, V.Y. Neonatal NIRS monitoring: Recommendations for data capture and review of analytics. J. Perinatol. 2021, 41, 675–688. [Google Scholar] [CrossRef] [PubMed]
- Caicedo, A.; Naulaers, G.; Lemmers, P.; Van Bel, F.; Wolf, M.; Van Huffel, S. Detection of cerebral autoregulation by near-infrared spectroscopy in neonates: Performance analysis of measurement methods. J. Biomed. Opt. 2012, 17, 117003. [Google Scholar] [CrossRef] [PubMed]
- Liem, K.D.; Greisen, G. Monitoring of cerebral haemodynamics in newborn infants. Early Hum. Dev. 2010, 86, 155–158. [Google Scholar] [CrossRef] [PubMed]
- Delpy, D.T.; Cope, M.; Van Der Zee, P.; Arridge, S.; Wray, S.; Wyatt, J. Estimation of optical pathlength through tissue from di-rect time of flight measurement. Phys. Med. Biol. 1988, 33, 1433–1442. [Google Scholar] [CrossRef]
- Villringer, A.; Planck, J.; Hock, C.; Schleinkofer, L.; Dirnagl, U. Near infrared spectroscopy (NIRS): A new tool to study hemo-dynamic changes during activation of brain function in human adults. Neurosci. Lett. 1993, 154, 101–104. [Google Scholar] [CrossRef]
- Ferrari, M.; Quaresima, V. A brief review on the history of human functional near-infrared spectroscopy (fNIRS) development and fields of application. NeuroImage 2012, 63, 921–935. [Google Scholar] [CrossRef]
- Saager, R.; Berger, A. Measurement of layer-like hemodynamic trends in scalp and cortex: Implications for physiological base-line suppression in functional near-infrared spectroscopy. J. Biomed. Opt. 2008, 13, 034017. [Google Scholar] [CrossRef]
- Kirlilna, E.; Yu, N.; Jelzow, A.; Wabnitz, H.; Jacobs, A.M.; Tachtsidis, I. Identifying and quantifying main components of physiological noise in functional near infrared spectroscopy on the prefrontal cortex. Front. Hum. Neurosci. 2013, 7. [Google Scholar] [CrossRef]
- Gregg, N.M.; White, B.R.; Zeff, B.W.; Berger, A.J.; Culver, J.P. Brain specificity of diffuse optical imaging: Improvements from superficial signal regression and tomography. Front. Neuroenergetics 2010, 2. [Google Scholar] [CrossRef]
- Hakimi, N.; Jodeiri, A.; Mirbagheri, M.; Setarehdan, S.K. Proposing a convolutional neural network for stress assessment by means of derived heart rate from functional near infrared spectroscopy. Comput. Biol. Med. 2020, 121, 103810. [Google Scholar] [CrossRef]
- Perdue, K.L.; Westerlund, A.; McCormick, S.A.; Nelson, C.A. Extraction of heart rate from functional near-infrared spectroscopy in infants. J. Biomed. Opt. 2014, 19, 67010. [Google Scholar] [CrossRef]
- Holper, L.; Seifritz, E.; Scholkmann, F. Short-term pulse rate variability is better characterized by functional near-infrared spectroscopy than by photoplethysmography. J. Biomed. Opt. 2016, 21, 91308. [Google Scholar] [CrossRef] [PubMed]
- Hakimi, N.; Setarehdan, S.K. Stress assessment by means of heart rate derived from functional near-infrared spectroscopy. J. Biomed. Opt. 2018, 23, 1–12. [Google Scholar] [CrossRef] [PubMed]
- Mirbagheri, M.; Hakimi, N.; Ebrahimzadeh, E.; Setarehdan, S.K. Quality analysis of heart rate derived from functional near-infrared spectroscopy in stress assessment. Inform. Med. Unlocked 2020, 18, 100286. [Google Scholar] [CrossRef]
- Perdue, K.L.; Edwards, L.A.; Tager-Flusberg, H.; Nelson, C.A. Differing Developmental Trajectories in Heart Rate Responses to Speech Stimuli in Infants at High and Low Risk for Autism Spectrum Disorder. J. Autism Dev. Disord. 2017, 47, 2434–2442. [Google Scholar] [CrossRef] [PubMed]
- Lund, C. Medical Adhesives in the NICU. Newborn Infant Nurs. Rev. 2014, 14, 160–165. [Google Scholar] [CrossRef]
- Scarpa, F.; Brigadoi, S.; Cutini, S.; Scatturin, P.; Zorzi, M.; DellrAcqua, R.; Sparacino, G. A methodology to improve estimation of stimulus-evoked hemodynamic response from fNIRS measurements. In Proceedings of the 2011 Annual International Conference of the IEEE Engineering in Medicine and Biology Society, Boston, MA, USA, 30 August–3 September 2011; pp. 785–788. [Google Scholar]
- Berivanlou, N.H.; Setarehdan, S.K.; Ahmadi Noubari, H. Evoked hemodynamic response estimation using ensemble empirical mode decomposition based adaptive algorithm applied to dual channel functional near infrared spectroscopy (fNIRS). J. Neurosci. Methods 2014, 224, 13–25. [Google Scholar] [CrossRef] [PubMed]
- Kamran, M.A.; Jeong, M.Y.; Mannan, M.M.N. Optimal hemodynamic response model for functional near-infrared spectroscopy. Front. Behav. Neurosci. 2015, 9. [Google Scholar] [CrossRef] [PubMed]
- Scholkmann, F.; Kleiser, S.; Metz, A.J.; Zimmermann, R.; Pavia, J.M.; Wolf, U.; Wolf, M. A review on continuous wave functional near-infrared spectroscopy and imaging instrumentation and methodology. NeuroImage 2014, 85, 6–27. [Google Scholar] [CrossRef]
- Caldwell, M.; Scholkmann, F.; Wolf, U.; Wolf, M.; Elwell, C.; Tachtsidis, I. Modelling confounding effects from extracerebral con-tamination and systemic factors on functional near-infrared spectroscopy. Neuroimage 2016, 143, 91–105. [Google Scholar] [CrossRef]
- Orihuela-Espina, F.; Leff, D.R.; James, D.R.C.; Darzi, A.W.; Yang, G.Z. Quality control and assurance in functional near infrared spectroscopy (fNIRS) experimentation. Phys. Med. Biol. 2010, 55, 3701–3724. [Google Scholar] [CrossRef]
- Pollonini, L.; Olds, C.; Abaya, H.; Bortfeld, H.; Beauchamp, M.S.; Oghalai, J.S. Auditory cortex activation to natural speech and sim-ulated cochlear implant speech measured with functional near-infrared spectroscopy. Hear. Res. 2014, 309, 84–93. [Google Scholar] [CrossRef] [PubMed]
- Pollonini, L.; Bortfeld, H.; Oghalai, J.S. PHOEBE: A method for real time mapping of optodes-scalp coupling in functional near-infrared spectroscopy. Biomed. Opt. Express 2016, 7, 5104–5119. [Google Scholar] [CrossRef] [PubMed]
- Sappia, M.S.; Hakimi, N.; Colier, W.N.J.M.; Horschig, J.M. Signal Quality Index: A novel algorithm for quantitative assessment of functional near infrared spectroscopy signal quality. Biomed. Opt. Express 2020, 11, 6732–6754. [Google Scholar] [CrossRef] [PubMed]
- Sappia, M.S.; Hakimi, N.; Svinkunaite, L.; Alderliesten, T.; Horschig, J.M.; Colier, W.N. fNIRS signal quality estimation by means of a machine learning algorithm trained on morphological and temporal features. In Biophotonics in Exercise Science, Sports Medicine, Health Monitoring Technologies and Wearables II; SPIE: Bellingham, WA, USA, 2021; p. 11. [Google Scholar]


| Development/Extension of PIVH |
|---|
| - Hypercarbia-induced cerebral vasodilation: (abnormally) high rScO2 |
| - Lack of CAR: Blood pressure passive fluctuating pattern of rScO2 |
| (Cystic) Diffuse White Matter Injury |
| - Hypocarbia-induced cerebral vasoconstriction: (abnormally) Low rScO2 |
| - Hyperoxia-induced formation of cytokines/free rad: Low-to-normal rScO2 |
| - hsPDA-related ductal steal of brain perfusion: prolonged episodes of low (<45%) rScO2 |
| - Anemia-induced hypoxemia of the preterm brain: Low rScO2 |
| - Hypoglycemia-related disturbance of glucose metabolism: increasing rScO2 values |
| Perinatal Ischemia-Hypoxia (Birth Asphyxia) |
| - Secondary energy failure-induced: (abnormally) high rScO2 (from birth up to 72–96 h of age) |
| Perinatal Arterial Ischemic Stroke |
| - Luxury perfusion-induced: higher rScO2 in the ipsilateral hemisphere as compared to contralateral hemisphere |
Publisher’s Note: MDPI stays neutral with regard to jurisdictional claims in published maps and institutional affiliations. |
© 2021 by the authors. Licensee MDPI, Basel, Switzerland. This article is an open access article distributed under the terms and conditions of the Creative Commons Attribution (CC BY) license (https://creativecommons.org/licenses/by/4.0/).
Share and Cite
Costa, F.G.; Hakimi, N.; Van Bel, F. Neuroprotection of the Perinatal Brain by Early Information of Cerebral Oxygenation and Perfusion Patterns. Int. J. Mol. Sci. 2021, 22, 5389. https://doi.org/10.3390/ijms22105389
Costa FG, Hakimi N, Van Bel F. Neuroprotection of the Perinatal Brain by Early Information of Cerebral Oxygenation and Perfusion Patterns. International Journal of Molecular Sciences. 2021; 22(10):5389. https://doi.org/10.3390/ijms22105389
Chicago/Turabian StyleCosta, Filipe Gonçalves, Naser Hakimi, and Frank Van Bel. 2021. "Neuroprotection of the Perinatal Brain by Early Information of Cerebral Oxygenation and Perfusion Patterns" International Journal of Molecular Sciences 22, no. 10: 5389. https://doi.org/10.3390/ijms22105389
APA StyleCosta, F. G., Hakimi, N., & Van Bel, F. (2021). Neuroprotection of the Perinatal Brain by Early Information of Cerebral Oxygenation and Perfusion Patterns. International Journal of Molecular Sciences, 22(10), 5389. https://doi.org/10.3390/ijms22105389

