The Role of Leptin in Childhood Immune Thrombocytopenia (ITP): An Anti-Inflammatory Agent?
Abstract
1. Introduction
2. Results
2.1. Plasma Leptin and TGF-β Levels
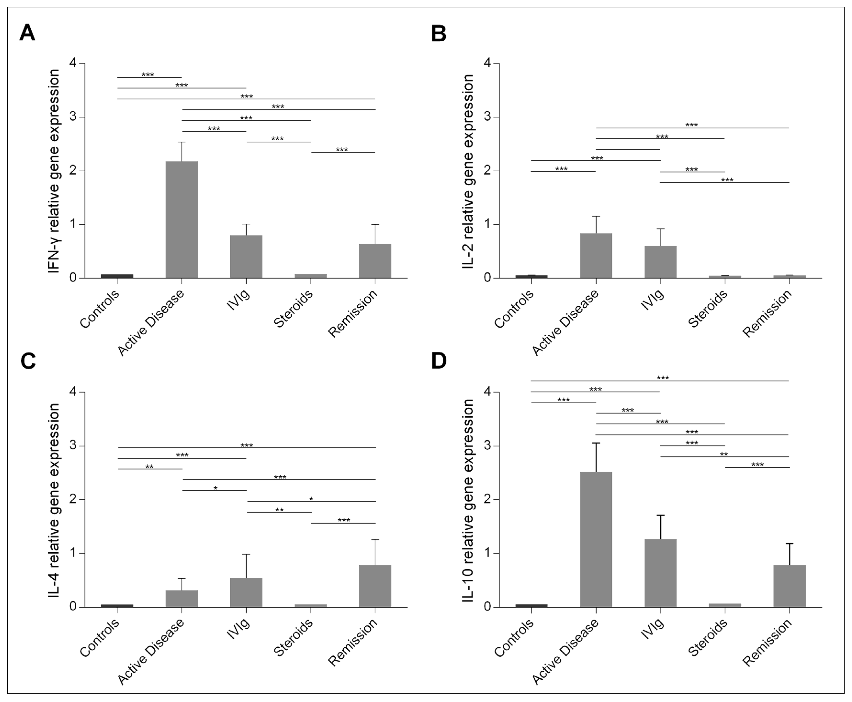
2.2. Ex-Vivo Cytokine Gene Expression
2.3. Effect of Leptin on Cytokine Gene Expression
2.4. Determination of the Cellular Source of Leptin-Induced IL-10
3. Discussion
4. Materials and Methods
4.1. Study Subjects
4.2. Processing of Blood Samples
4.3. Determination of Leptin and TGF-β1 Levels
4.4. Cells, Cultures, and Phenotyping
4.5. Cytokine Gene Expression
4.6. Statistical Analysis
Author Contributions
Funding
Institutional Review Board Statement
Informed Consent Statement
Data Availability Statement
Acknowledgments
Conflicts of Interest
References
- Zhang, Y.; Proenca, R.; Maffei, M.; Barone, M.; Leopold, L.; Friedman, J.M. Positional cloning of the mouse obese gene and its human homologue. Nature 1994, 372, 425–432. [Google Scholar] [CrossRef] [PubMed]
- Tartaglia, L.A.; Dembski, M.; Weng, X.; Deng, N.; Culpepper, J.; Devos, R.; Richards, G.J.; Campfield, L.; Clark, F.T.; Deeds, J.; et al. Identification and expression cloning of a leptin receptor, OB-R. Cell 1995, 83, 1263–1271. [Google Scholar] [CrossRef]
- Berger, C.; Klöting, N. Leptin Receptor Compound Heterozygosity in Humans and Animal Models. Int. J. Mol. Sci. 2021, 22, 4475. [Google Scholar] [CrossRef] [PubMed]
- Klok, M.D.; Jakobsdottir, S.; Drent, M.L. The role of leptin and ghrelin in the regulation of food intake and body weight in humans: A review. Obes. Rev. 2007, 8, 21–34. [Google Scholar] [CrossRef]
- Considine, R.V.; Sinha, M.K.; Heiman, M.L.; Kriauciunas, A.; Stephens, T.W.; Nyce, M.R.; Ohannesian, J.P.; Marco, C.C.; McKee, L.J.; Bauer, T.L.; et al. Serum Immunoreactive-Leptin Concentrations in Normal-Weight and Obese Humans. N. Engl. J. Med. 1996, 334, 292–295. [Google Scholar] [CrossRef] [PubMed]
- Abella, V.; Scotece, M.; Conde, J.; Pino, J.; Gonzalez-Gay, M.A.; Gómez-Reino, J.J.; Mera, A.; Lago, F.; Gómez, R.; Gualillo, O. Leptin in the interplay of inflammation, metabolism and immune system disorders. Nat. Rev. Rheumatol. 2017, 13, 100–109. [Google Scholar] [CrossRef]
- Mouzaki, A.; Panagoulias, I.; Dervilli, Z.; Zolota, V.; Spadidea, P.; Rodi, M.; Panitsas, F.P.; Lagadinou, E.; De Lastic, A.-L.; Georgakopoulos, T. Expression patterns of leptin receptor (OB-R) isoforms and direct in vitro effects of recombinant leptin on OB-R, leptin expression and cytokine secretion by human hematopoietic malignant cells. Cytokine 2009, 48, 203–211. [Google Scholar] [CrossRef]
- Garcia-Galiano, D.; Borges, B.C.; Allen, S.J.; Elias, C.F. PI3K signalling in leptin receptor cells: Role in growth and reproduction. J. Neuroendocr. 2019, 31, e12685. [Google Scholar] [CrossRef] [PubMed]
- Trinh, T.; Broxmeyer, H.E. Role for Leptin and Leptin Receptors in Stem Cells During Health and Diseases. Stem Cell Rev. Rep. 2021, 17, 511–522. [Google Scholar] [CrossRef]
- Procaccini, C.; Jirillo, E.; Matarese, G. Leptin as an immunomodulator. Mol. Asp. Med. 2012, 33, 35–45. [Google Scholar] [CrossRef]
- Pérez-Pérez, A.; Sánchez-Jiménez, F.; Vilariño-García, T.; Sánchez-Margalet, V. Role of Leptin in Inflammation and Vice Versa. Int. J. Mol. Sci. 2020, 21, 5887. [Google Scholar] [CrossRef] [PubMed]
- Suzukawa, M.; Nagase, H.; Ogahara, I.; Han, K.; Tashimo, H.; Shibui, A.; Koketsu, R.; Nakae, S.; Yamaguchi, M.; Ohta, K. Leptin Enhances Survival and Induces Migration, Degranulation, and Cytokine Synthesis of Human Basophils. J. Immunol. 2011, 186, 5254–5260. [Google Scholar] [CrossRef] [PubMed]
- Souza-Almeida, G.; D’Avila, H.; de Almeida, P.E.; Luna-Gomes, T.; Liechocki, S.; Walzog, B.; Hepper, I.; Castro-Faria-Neto, H.C.; Bozza, P.; Bandeira-Melo, C.; et al. Leptin Mediates In Vivo Neutrophil Migration: Involvement of Tumor Necrosis Factor-Alpha and CXCL1. Front. Immunol. 2018, 9, 111. [Google Scholar] [CrossRef] [PubMed]
- Amorim, N.R.T.; Souza-Almeida, G.; Luna-Gomes, T.; Bozza, P.T.; Canetti, C.; Diaz, B.L.; Maya-Monteiro, C.M.; Bandeira-Melo, C. Leptin Elicits In Vivo Eosinophil Migration and Activation: Key Role of Mast Cell-Derived PGD2. Front. Endocrinol. 2020, 11, 572113. [Google Scholar] [CrossRef] [PubMed]
- Dayakar, A.; Chandrasekaran, S.; Veronica, J.; Maurya, R. Leptin induces the phagocytosis and protective immune response in Leishmania donovani infected THP-1 cell line and human PBMCs. Exp. Parasitol. 2016, 160, 54–59. [Google Scholar] [CrossRef]
- Chatzantoni, K.; Papathanassopoulos, P.; Gourzoulidou, E.; Mouzaki, A. Leptin and its soluble receptor in plasma of patients suffering from remitting–relapsing multiple sclerosis (MS): In vitro effects of leptin on type-1 and type-2 cytokine secretion by peripheral blood mononuclear cells, T-cells and monocytes of MS patients. J. Autoimmun. 2004, 23, 169–177. [Google Scholar] [CrossRef] [PubMed]
- Moraes-Vieira, P.M.M.; La Rocca, R.A.; Bassi, Ê.J.; Peron, J.P.S.; Andrade-Oliveira, V.; Wasinski, F.; Araújo, R.D.C.; Thornley, T.; Quintana, F.J.; Basso, A.; et al. Leptin deficiency impairs maturation of dendritic cells and enhances induction of regulatory T and Th17 cells. Eur. J. Immunol. 2014, 44, 794–806. [Google Scholar] [CrossRef] [PubMed]
- Żelechowska, P.; Brzezińska-Błaszczyk, E.; Wiktorska, M.; Różalska, S.; Wawrocki, S.; Kozłowska, E.; Agier, J. Adipocytokines leptin and adiponectin function as mast cell activity modulators. Immunology 2019, 158, 3–18. [Google Scholar] [CrossRef] [PubMed]
- Bähr, I.; Spielmann, J.; Quandt, D.; Kielstein, H. Obesity-Associated Alterations of Natural Killer Cells and Immunosurveillance of Cancer. Front. Immunol. 2020, 11, 245. [Google Scholar] [CrossRef]
- Reis, B.S.; Lee, K.; Fanok, M.H.; Mascaraque, C.; Amoury, M.; Cohn, L.B.; Rogoz, A.; Dallner, O.S.; Moraes-Vieira, P.M.; Domingos, A.I.; et al. Leptin Receptor Signaling in T Cells Is Required for Th17 Differentiation. J. Immunol. 2015, 194, 5253–5260. [Google Scholar] [CrossRef]
- Shi, H.; Chi, H. Metabolic Control of Treg Cell Stability, Plasticity, and Tissue-Specific Heterogeneity. Front. Immunol. 2019, 10, 2716. [Google Scholar] [CrossRef]
- Zeng, H.; Chi, H. The interplay between regulatory T cells and metabolism in immune regulation. OncoImmunology 2013, 2, e26586. [Google Scholar] [CrossRef] [PubMed][Green Version]
- Saucillo, D.C.; Gerriets, V.A.; Sheng, J.; Rathmell, J.C.; Maciver, N.J. Leptin Metabolically Licenses T Cells for Activation to Link Nutrition and Immunity. J. Immunol. 2014, 192, 136–144. [Google Scholar] [CrossRef] [PubMed]
- van der Voort, P.H.; Moser, J.; Zandstra, D.F.; Kobold, A.C.M.; Knoester, M.; Calkhoven, C.F.; Hamming, I.; van Meurs, M. Leptin levels in SARS-CoV-2 infection related respiratory failure: A cross-sectional study and a pathophysiological framework on the role of fat tissue. Heliyon 2020, 6, e04696. [Google Scholar] [CrossRef]
- Pérez, A.P.; Vilariño-García, T.; Fernández-Riejos, P.; Martín-González, J.; Segura-Egea, J.J.; Sánchez-Margalet, V. Role of leptin as a link between metabolism and the immune system. Cytokine Growth Factor Rev. 2017, 35, 71–84. [Google Scholar] [CrossRef]
- Badrawy, H.; Elsayh, K.I.; Zahran, A.M.; El-Ghazali, M.H. Platelet Antibodies, Activated Platelets and Serum Leptin in Childhood Immune Thrombocytopenic Purpura. Acta Haematol. 2013, 130, 312–318. [Google Scholar] [CrossRef] [PubMed]
- Ren, H.; Zhao, H.; Wang, T.; Yang, Y.; Han, Z.; Liu, B.; Wu, Z.; Tao, J.; Zhou, B.; Zhang, L.; et al. Leptin enhances in vitro secretion of IgG antiplatelet antibodies by splenocytes and peripheral blood mononuclear cells from patients with chronic idiopathic thrombocytopenic purpura. Clin. Immunol. 2006, 120, 205–211. [Google Scholar] [CrossRef] [PubMed]
- Zhan, M.; Zhao, H.; Yang, R.; Han, Z.C. Serum leptin levels in patients with idiopathic thrombocytopenic purpura. Eur. J. Haematol. 2004, 72, 348–352. [Google Scholar] [CrossRef] [PubMed]
- Neunert, C.; Terrell, D.R.; Arnold, D.M.; Buchanan, G.; Cines, D.B.; Cooper, N.; Cuker, A.; Despotovic, J.M.; George, J.N.; Grace, R.F.; et al. American Society of Hematology 2019 guidelines for immune thrombocytopenia. Blood Adv. 2019, 3, 3829–3866. [Google Scholar] [CrossRef] [PubMed]
- Audia, S.; Mahévas, M.; Samson, M.; Godeau, B.; Bonnotte, B. Pathogenesis of immune thrombocytopenia. Autoimmun. Rev. 2017, 16, 620–632. [Google Scholar] [CrossRef] [PubMed]
- Kochhar, M.; Neunert, C. Immune thrombocytopenia: A review of upfront treatment strategies. Blood Rev. 2021, 100822. [Google Scholar] [CrossRef] [PubMed]
- Panitsas, F.P.; Theodoropoulou, M.; Kouraklis, A.; Karakantza, M.; Theodorou, G.L.; Zoumbos, N.C.; Maniatis, A.; Mouzaki, A. Adult chronic idiopathic thrombocytopenic purpura (ITP) is the manifestation of a type-1 polarized immune response. Blood 2004, 103, 2645–2647. [Google Scholar] [CrossRef] [PubMed]
- Takahashi, N.; Saitoh, T.; Gotoh, N.; Nitta, Y.; Alkebsi, L.; Kasamatsu, T.; Minato, Y.; Yokohama, A.; Tsukamoto, N.; Handa, H.; et al. The cytokine polymorphisms affecting Th1/Th2 increase the susceptibility to, and severity of, chronic ITP. BMC Immunol. 2017, 18, 26. [Google Scholar] [CrossRef] [PubMed][Green Version]
- Jernås, M.; Hou, Y.; Célind, F.S.; Shao, L.; Nookaew, I.; Wang, Q.; Ju, X.; Mellgren, K.; Wadenvik, H.; Hou, M.; et al. Differences in gene expression and cytokine levels between newly diagnosed and chronic pediatric ITP. Blood 2013, 122, 1789–1792. [Google Scholar] [CrossRef] [PubMed]
- Yazdanbakhsh, K.; Zhong, H.; Bao, W. Immune Dysregulation in Immune Thrombocytopenia. Semin. Hematol. 2013, 50, 63–67. [Google Scholar] [CrossRef]
- Lin, X.; Xu, A.; Zhou, L.; Zhao, N.; Zhang, X.; Xu, J.; Feng, S.; Zheng, C. Imbalance of T Lymphocyte Subsets in Adult Immune Thrombocytopenia. Int. J. Gen. Med. 2021, 14, 937–947. [Google Scholar] [CrossRef] [PubMed]
- Mouzaki, A.; Theodoropoulou, M.; Gianakopoulos, I.; Vlaha, V.; Kyrtsonis, M.-C.; Maniatis, A. Expression patterns of Th1 and Th2 cytokine genes in childhood idiopathic thrombocytopenic purpura (ITP) at presentation and their modulation by intravenous immunoglobulin G (IVIg) treatment: Their role in prognosis. Blood 2002, 100, 1774–1779. [Google Scholar] [CrossRef]
- Castillo, P.; Kolls, J.K. IL-10: A Paradigm for Counterregulatory Cytokines. J. Immunol. 2016, 197, 1529–1530. [Google Scholar] [CrossRef] [PubMed]
- La Cava, A. Leptin in inflammation and autoimmunity. Cytokine 2017, 98, 51–58. [Google Scholar] [CrossRef] [PubMed]
- Hutcheson, J. Adipokines influence the inflammatory balance in autoimmunity. Cytokine 2015, 75, 272–279. [Google Scholar] [CrossRef]
- Maurya, R.; Bhattacharya, P.; Dey, R.; Nakhasi, H.L. Leptin Functions in Infectious Diseases. Front. Immunol. 2018, 9, 2741. [Google Scholar] [CrossRef]
- Tesse, R.; Del Vecchio, G.C.; De Mattia, D.; Sangerardi, M.; Valente, F.; Giordano, P. Association of interleukin-(IL)10 haplotypes and serum IL-10 levels in the progression of childhood immune thrombocytopenic purpura. Gene 2012, 505, 53–56. [Google Scholar] [CrossRef]
- Goelz, N.; Bosch, A.M.; Rand, M.L.; Eekels, J.J.; Franzoso, F.D.; Schmugge, M. Increased levels of IL-10 and IL-1Ra counterbalance the proinflammatory cytokine pattern in acute pediatric immune thrombocytopenia. Cytokine 2020, 130, 155078. [Google Scholar] [CrossRef]
- Nugent, D. Childhood immune thrombocytopenic purpura. Blood Rev. 2002, 16, 27–29. [Google Scholar] [CrossRef] [PubMed]
- Yildirmak, Y.; Yanikkaya-Demirel, G.; Palanduz, A.; Kayaalp, N. Antiplatelet Antibodies and Their Correlation with Clinical Findings in Childhood Immune Thrombocytopenic Purpura. Acta Haematol. 2005, 113, 109–112. [Google Scholar] [CrossRef]
- Zhao, H.; Li, H.; Du, W.; Zhang, D.; Ge, J.; Xue, F.; Zhou, Z.; Yang, R. ReducedMIR130Ais involved in primary immune thrombocytopenia via targetingTGFB1andIL18. Br. J. Haematol. 2014, 166, 767–773. [Google Scholar] [CrossRef]
- Liu, B.; Zhao, H.; Poon, M.-C.; Han, Z.; Gu, D.; Xu, M.; Jia, H.; Yang, R.; Han, Z.C. Abnormality of CD4(+)CD25(+) regulatory T cells in idiopathic thrombocytopenic purpura. Eur. J. Haematol. 2007, 78, 139–143. [Google Scholar] [CrossRef] [PubMed]
- Meyer, A.; Wang, W.; Qu, J.; Croft, L.; Degen, J.L.; Coller, B.S.; Ahamed, J. Platelet TGF-β1 contributions to plasma TGF-β1, cardiac fibrosis, and systolic dysfunction in a mouse model of pressure overload. Blood 2012, 119, 1064–1074. [Google Scholar] [CrossRef] [PubMed]
- Talaat, R.M.; Elmaghraby, A.M.; Barakat, S.S.; El-Shahat, M. Alterations in immune cell subsets and their cytokine secretion profile in childhood idiopathic thrombocytopenic purpura (ITP). Clin. Exp. Immunol. 2014, 176, 291–300. [Google Scholar] [CrossRef] [PubMed]
- Saraiva, M.; Vieira, P.; O’Garra, A. Biology and therapeutic potential of interleukin-10. J. Exp. Med. 2020, 217, e20190418. [Google Scholar] [CrossRef]
- Fiorentino, D.F.; Zlotnik, A.; Vieira, P.; Mosmann, T.R.; Howard, M.; Moore, K.W.; O’Garra, A. Pillars Article: IL-10 Acts on the Anti-gen-presenting Cell to Inhibit Cytokine Production by Thl Cells. J. Immunol. 1991. 146: 3444–3451. J. Immunol. 2016, 197, 1531–1538. [Google Scholar] [PubMed]
- Fiorentino, D.F.; Zlotnik, A.; Mosmann, T.R.; Howard, M.; O’Garra, A. Pillars Article: IL-10 Inhibits Cytokine Production by Activated Macrophages. J. Immunol. 1991. 147: 3815-3822. J. Immunol. 2016, 197, 1539–1546. [Google Scholar] [PubMed]
- Mittal, S.K.; Roche, P.A. Suppression of antigen presentation by IL-10. Curr. Opin. Immunol. 2015, 34, 22–27. [Google Scholar] [CrossRef]
- Chaudhry, A.; Samstein, R.; Treuting, P.; Liang, Y.; Pils, M.C.; Heinrich, J.-M.; Jack, R.S.; Wunderlich, F.T.; Brüning, J.C.; Muller, W.; et al. Interleukin-10 Signaling in Regulatory T Cells Is Required for Suppression of Th17 Cell-Mediated Inflammation. Immunity 2011, 34, 566–578. [Google Scholar] [CrossRef] [PubMed]
- Roncarolo, M.G.; Gregori, S.; Battaglia, M.; Bacchetta, R.; Fleischhauer, K.; Levings, M. Interleukin-10-secreting type 1 regulatory T cells in rodents and humans. Immunol. Rev. 2006, 212, 28–50. [Google Scholar] [CrossRef] [PubMed]
- Zeng, H.; Zhang, R.; Jin, B.; Chen, L. Type 1 regulatory T cells: A new mechanism of peripheral immune tolerance. Cell. Mol. Immunol. 2015, 12, 566–571. [Google Scholar] [CrossRef] [PubMed]
- Chou, K.; Perry, C.M. Metreleptin: First Global Approval. Drugs 2013, 73, 989–997. [Google Scholar] [CrossRef] [PubMed]
- Paz-Filho, G.; Mastronardi, C.A.; Licinio, J. Leptin treatment: Facts and expectations. Metabolism 2015, 64, 146–156. [Google Scholar] [CrossRef]
- Mouzaki, A.; Panagoulias, I.; Raptis, G.; Farri-Kostopoulou, E. Cord Blood Leptin Levels of Healthy Neonates Are Associated with IFN-γ Production by Cord Blood T-Cells. PLoS ONE 2012, 7, e40830. [Google Scholar] [CrossRef] [PubMed][Green Version]








| ITP Patients | Controls | |
|---|---|---|
| n | 39 | 33 |
| Age (years) | 9.29 (1–14) | 9.06 (4–14) |
| Male/Female | 20/19 | 15/18 |
| BMI | 18.16 (4.11) | 20.78 (2) |
| Platelet count (×109/L) | 27.135 (3–95) | 241 (142–349) |
| Treated with: IVIg | 59% | n/a |
| Methylprednisolone | 6% | n/a |
| Gene | Set of Primers (5′ →3′) | Product Length (bp) |
|---|---|---|
| IL-2 | CTCACCAGGATGCTCACATTTA | 97 |
| CCTCCAGAGGTTTGAGTTCTTC | ||
| IFN-γ | TGGCTTTTCAGCTCTGCATC | 117 |
| CCGCTACATCTGAATGACCTG | ||
| IL-4 | ACTTTGAACAGCCTCACAGAG | 74 |
| TTGGAGGCAGCAAAGATGTC | ||
| IL-10 | GCTGGAGGACTTTAAGGGTTACCT | 109 |
| CTTGATGTCTGGGTCTTGGTTCT | ||
| β2m | TCGCGCTACTCTCTCTTTCT | 83 |
| TTTCCATTCTCTGCTGGATGAC |
Publisher’s Note: MDPI stays neutral with regard to jurisdictional claims in published maps and institutional affiliations. |
© 2021 by the authors. Licensee MDPI, Basel, Switzerland. This article is an open access article distributed under the terms and conditions of the Creative Commons Attribution (CC BY) license (https://creativecommons.org/licenses/by/4.0/).
Share and Cite
Thomas, I.; Panagoulias, I.; Aggeletopoulou, I.; Varvarigou, A.; Spiliotis, B.E.; Mouzaki, A. The Role of Leptin in Childhood Immune Thrombocytopenia (ITP): An Anti-Inflammatory Agent? Int. J. Mol. Sci. 2021, 22, 7636. https://doi.org/10.3390/ijms22147636
Thomas I, Panagoulias I, Aggeletopoulou I, Varvarigou A, Spiliotis BE, Mouzaki A. The Role of Leptin in Childhood Immune Thrombocytopenia (ITP): An Anti-Inflammatory Agent? International Journal of Molecular Sciences. 2021; 22(14):7636. https://doi.org/10.3390/ijms22147636
Chicago/Turabian StyleThomas, Iason, Ioannis Panagoulias, Ioanna Aggeletopoulou, Anastasia Varvarigou, Bessie E. Spiliotis, and Athanasia Mouzaki. 2021. "The Role of Leptin in Childhood Immune Thrombocytopenia (ITP): An Anti-Inflammatory Agent?" International Journal of Molecular Sciences 22, no. 14: 7636. https://doi.org/10.3390/ijms22147636
APA StyleThomas, I., Panagoulias, I., Aggeletopoulou, I., Varvarigou, A., Spiliotis, B. E., & Mouzaki, A. (2021). The Role of Leptin in Childhood Immune Thrombocytopenia (ITP): An Anti-Inflammatory Agent? International Journal of Molecular Sciences, 22(14), 7636. https://doi.org/10.3390/ijms22147636

