Vermiculite Filler Modified with Casein, Chitosan, and Potato Protein as a Flame Retardant for Polyurethane Foams
Abstract
:1. Introduction
2. Results and Discussion
2.1. Fillers Characterization
2.2. PU Composites Characterization
2.2.1. Morphology of PU Composites
2.2.2. Dimensional Stability
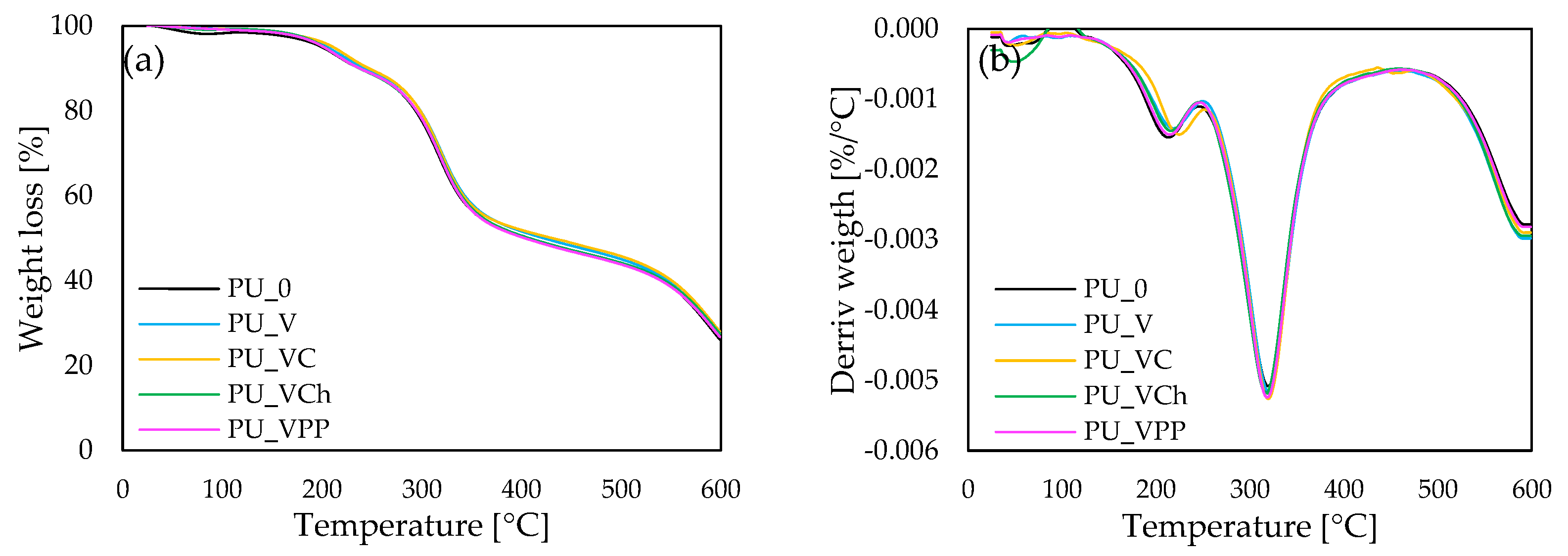
2.2.3. Thermogravimetric Analysis (TGA) of Reinforced Polyurethane Composites
2.2.4. Mechanical Properties
2.2.5. Burning Behavior
2.2.6. Water Absorption
3. Materials and Methods
3.1. Materials
- Polymeric diphenylmethane diisocyanate with a brand name of Purocyn B, purchased from Purinova Company (Bydgoszcz, Poland);
- Polyether polyol with a brand name of Stepanpol PS-2352, purchased from Stepan Company (Northfield, IL, USA);
- Catalysts: Kosmos 33 (potassium acetate) and Kosmos 75 (potassium octoate), purchased from Evonik Industry (Essen, Germany);
- Surfactant: Tegostab B8513 (silicone-based surfactant), purchased from Evonik Industry (Essen, Germany);
- Blowing agents: pentane and cyclopentane, purchased from Sigma-Aldrich Corporation (Saint Louis, MO, USA);
- Modifiers:
- ○
- Vermiculite, purchased from Sigma-Aldrich Corporation (Saint Louis, MO, USA),
- ○
- Casein, purchased from Sigma-Aldrich Corporation (Saint Louis, MO, USA),
- ○
- Chitosan, purchased from Sigma-Aldrich Corporation (Saint Louis, MO, USA),
- ○
- Potato protein, obtained from local company (PEPEES S.A., Łomża, Poland).
3.2. Methods and Instruments
3.3. Filler Modification
3.4. Polyurethane Composites Synthesis
4. Conclusions
Author Contributions
Funding
Institutional Review Board Statement
Informed Consent Statement
Acknowledgments
Conflicts of Interest
References
- Akindoyo, J.O.; Beg, M.D.H.; Ghazali, S.; Islam, M.R.; Jeyaratnam, N.; Yuvaraj, A.R. Polyurethane types, synthesis and applications—A review. RSC Adv. 2016, 6, 114453–114482. [Google Scholar] [CrossRef] [Green Version]
- Dacewicz, E.; Grzybowska-Pietras, J. Polyurethane Foams for Domestic Sewage Treatment. Materials 2021, 14, 933. [Google Scholar] [CrossRef] [PubMed]
- Joshi, M.; Adak, B.; Butola, B.S. Polyurethane nanocomposite based gas barrier films, membranes and coatings: A review on synthesis, characterization and potential applications. Prog. Mater. Sci. 2018, 97, 230–282. [Google Scholar] [CrossRef]
- Harikrishnan, G.; Patro, T.U.; Khakhar, D.V. Polyurethane foam—Clay nanocomposites: Nanoclays as cell openers. Ind. Eng. Chem. Res. 2006, 45, 7126–7134. [Google Scholar] [CrossRef]
- Tikhani, F.; Shirkavand Hadavand, B.; Fakharizadeh Bafghi, H.; Jouyandeh, M.; Vahabi, H.; Formela, K.; Hosseini, H.; Reza Paran, S.M.; Esmaeili, A.; Mohaddespour, A.; et al. Polyurethane/Silane-Functionalized ZrO2 Nanocomposite Powder Coatings: Thermal Degradation Kinetics. Coatings 2020, 10, 413. [Google Scholar] [CrossRef] [Green Version]
- Marzec, M.; Kucińska-Lipka, J.; Kalaszczyńska, I.; Janik, H. Development of polyurethanes for bone repair. Mater. Sci. Eng. C 2017, 80, 736–747. [Google Scholar] [CrossRef]
- Noreen, A.; Zia, K.M.; Zuber, M.; Tabasum, S.; Zahoor, A.F. Bio-based polyurethane: An efficient and environment friendly coating systems: A review. Prog. Org. Coat. 2016, 91, 25–32. [Google Scholar] [CrossRef]
- Leszczyńska, M.; Ryszkowska, J.; Szczepkowski, L. Rigid polyurethane foam composites with nut shells. Polimery 2020, 65, 728–737. [Google Scholar] [CrossRef]
- St. John, K.R. The use of polyurethane materials in the surgery of the spine: A review. Spine J. 2014, 14, 3038–3047. [Google Scholar] [CrossRef]
- Gama, N.V.; Ferreira, A.; Barros-Timmons, A. Polyurethane foams: Past, present, and future. Materials 2018, 11, 1841. [Google Scholar] [CrossRef] [Green Version]
- Engels, H.W.; Pirkl, H.G.; Albers, R.; Albach, R.W.; Krause, J.; Hoffmann, A.; Casselmann, H.; Dormish, J. Polyurethanes: Versatile materials and sustainable problem solvers for today’s challenges. Angew. Chem. Int. Ed. 2013, 52, 9422–9441. [Google Scholar] [CrossRef]
- Zhou, F.; Zhang, T.; Zou, B.; Hu, W.; Wang, B.; Zhan, J.; Ma, C.; Hu, Y. Synthesis of a novel liquid phosphorus-containing flame retardant for flexible polyurethane foam: Combustion behaviors and thermal properties. Polym. Degrad. Stab. 2020, 171, 109029. [Google Scholar] [CrossRef]
- Suwannafon, S.; Rittippant, N.; Sharp, A.; Nishikizawa, S.; Methacanon, P.; Intaranont, N.; Kanchanapiya, P. Environmental evaluation on rigid polyurethane foam disposal from refrigerator waste in Thailand. Environment 2019, 12, 74–82. [Google Scholar] [CrossRef]
- Soares, B.; Gama, N.; Freire, C.S.R.; Barros-Timmons, A.; Brandão, I.; Silva, R.; Neto, C.P.; Ferreira, A. Spent coffee grounds as a renewable source for ecopolyols production. J. Chem. Technol. Biotechnol. 2015, 90, 1480–1488. [Google Scholar] [CrossRef]
- Barant, W.; Miedzińska, D.; Niezgoda, T. Poliurethane foams—Properties, applications, recycling. Arch. Waste Manag. Environ. Prot. 2011, 13, 13–17. [Google Scholar]
- Wang, Z.; Ganewatta, M.S.; Tang, C. Sustainable polymers from biomass: Bridging chemistry with materials and processing. Prog. Polym. Sci. 2020, 101, 101197. [Google Scholar] [CrossRef]
- Cichosz, S.; Masek, A. Superiority of cellulose non-solvent chemical modification over solvent-involving treatment: Application in polymer composite (part II). Materials 2020, 13, 2901. [Google Scholar] [CrossRef]
- Rai, P.; Mehrotra, S.; Priya, S.; Gnansounou, E.; Sharma, S.K. Recent advances in the sustainable design and applications of biodegradable polymers. Bioresour. Technol. 2021, 325, 124739. [Google Scholar] [CrossRef]
- Uram, K.; Leszczyńska, M.; Prociak, A.; Czajka, A.; Gloc, M.; Leszczyński, M.K.; Michałowski, S.; Ryszkowska, J. Polyurethane Composite Foams Synthesized Using Bio-Polyols and Cellulose Filler. Materials 2021, 14, 3474. [Google Scholar] [CrossRef]
- Pavier, C.; Gandini, A. Urethanes and polyurethanes from oxypropylated sugar beet pulp. I. Kinetic study in solution. Eur. Polym. J. 2000, 36, 1653–1658. [Google Scholar] [CrossRef]
- Saha, P.; Aloui, H.; Yun, J.H.; Kim, H.S.; Kim, B.S. Development of a novel composite film based on polyurethane and defatted Chlorella biomass: Physical and functional characterization. J. Appl. Polym. Sci. 2021, 138. [Google Scholar] [CrossRef]
- Leszczyńska, M.; Ryszkowska, J.; Szczepkowski, L.; Kurańska, M.; Prociak, A.; Leszczyński, M.K.; Gloc, M.; Antos-Bielska, M.; Mizera, K. Cooperative effect of rapeseed oil-based polyol and egg shells on the structure and properties of rigid polyurethane foams. Polym. Test. 2020, 90. [Google Scholar] [CrossRef]
- Kurańska, M.; Barczewski, R.; Barczewski, M.; Prociak, A.; Polaczek, K. Thermal insulation and sound absorption properties of open-cell polyurethane foams modified with bio-polyol based on used cooking oil. Materials 2020, 13, 5673. [Google Scholar] [CrossRef]
- Olszewski, A.; Kosmela, P.; Mielewczyk-Gryń, A.; Piszczyk, Ł. Bio-based polyurethane composites and hybrid composites containing a new type of bio-polyol and addition of natural and synthetic fibers. Materials 2020, 13, 2028. [Google Scholar] [CrossRef]
- Miedzińska, K.; Członka, S.; Strąkowska, A.; Strzelec, K. Biobased Polyurethane Composite Foams Reinforced with Plum Stones and Silanized Plum Stones. Int. J. Mol. Sci. 2021, 22, 4757. [Google Scholar] [CrossRef]
- Kurańska, M.; Prociak, A. The influence of rapeseed oil-based polyols on the foaming process of rigid polyurethane foams. Ind. Crop. Prod. 2016, 89. [Google Scholar] [CrossRef]
- Członka, S.; Strakowska, A.; Kairyte, A. Application of walnut shells-derived biopolyol in the synthesis of rigid polyurethane foams. Materials 2020, 13, 2687. [Google Scholar] [CrossRef]
- Członka, S.; Strąkowska, A.; Kairytė, A. Effect of walnut shells and silanized walnut shells on the mechanical and thermal properties of rigid polyurethane foams. Polym. Test. 2020, 87, 106534. [Google Scholar] [CrossRef]
- Chen, S.; Jiang, Y. The acoustic property study of polyurethane foam with addition of bamboo leaves particles. Polym. Compos. 2018, 39, 1370–1381. [Google Scholar] [CrossRef]
- Bryśkiewicz, A.; Zieleniewska, M.; Przyjemska, K.; Chojnacki, P.; Ryszkowska, J. Modification of flexible polyurethane foams by the addition of natural origin fillers. Polym. Degrad. Stab. 2016, 132, 32–40. [Google Scholar] [CrossRef]
- Michałowski, S.; Pielichowski, K. 1,2-Propanediolizobutyl POSS as a co-flame retardant for rigid polyurethane foams. J. Therm. Anal. Calorim. 2018, 134, 1351–1358. [Google Scholar] [CrossRef] [Green Version]
- Ye, L.; Meng, X.-Y.; Liu, X.-M.; Tang, J.-H.; Li, Z.-M. Flame-Retardant and Mechanical Properties of High-Density Rigid Polyurethane Foams Filled with Decabrominated Dipheny Ethane and Expandable Graphite. J. Appl. Polym. Sci. 2009, 111, 2373–2380. [Google Scholar] [CrossRef]
- Shi, L.; Li, Z.-M.; Xie, B.-H.; Wang, J.-H.; Tian, C.-R.; Yang, M.-B. Flame retardancy of different-sized expandable graphite particles for high-density rigid polyurethane foams. Polym. Int. 2006, 55, 862–871. [Google Scholar] [CrossRef]
- Lindholm, J.; Brink, A.; Wilen, C.-E.; Hupa, M. Cone Calorimeter Study of Inorganic Salts as Flame Retardants in Polyurethane Adhesive with Limestone Filler. J. Appl. Polym. Sci. 2012, 123, 1793–1800. [Google Scholar] [CrossRef]
- Shmuradko, V.T.; Panteleenko, F.I.; Reut, O.P.; Panteleenko, E.F.; Kirshina, N.V. Composition, Structure, and Property Formation of Heat Insulation Fire- and Heat-reflecting Materials Based on Vermiculite for Industrial Power Generation. Refract. Ind. Ceram. 2012, 53, 254. [Google Scholar] [CrossRef]
- Qian, Y.; Lindsay, C.I.; MacOsko, C.; Stein, A. Synthesis and properties of vermiculite-reinforced polyurethane nanocomposites. ACS Appl. Mater. Interfaces 2011, 3, 3709–3717. [Google Scholar] [CrossRef]
- Ren, Q.; Zhang, Y.; Li, J.; Li, J.C. Synergistic Effect of Vermiculite on the Intumescent Flame Retardance of Polypropylene. J. Appl. Polym. Sci. 2011, 120, 1225–1233. [Google Scholar] [CrossRef]
- Park, Y.T.; Qian, Y.; Lindsay, C.I.; Nijs, C.; Camargo, R.E.; Stein, A.; Macosko, C.W. Polyol-assisted vermiculite dispersion in polyurethane nanocomposites. ACS Appl. Mater. Interfaces 2013, 5, 3054–3062. [Google Scholar] [CrossRef]
- Wang, F.; Gao, Z.; Zheng, M.; Sun, J. Thermal degradation and fire performance of plywood treated with expanded vermiculite. Fire Mater. 2016, 40, 427–433. [Google Scholar] [CrossRef]
- Chen, S.; Wang, B.; Kang, J.; Chen, J.; Gai, J.; Yang, L.; Cao, Y. Synergistic effect of organic vermiculite on the flame retardancy and thermal stability of intumescent polypropylene composites. J. Macromol. Sci. Part B Phys. 2013, 52. [Google Scholar] [CrossRef]
- Tjong, S.C.; Meng, Y.Z. Impact-modified polypropylene/vermiculite nanocomposites. J. Polym. Sci. Part B Polym. Phys. 2003, 41. [Google Scholar] [CrossRef]
- Harikrishnan, G.; Lindsay, C.I.; Arunagirinathan, M.A.; MacOsko, C.W. Probing nanodispersions of clays for reactive foaming. ACS Appl. Mater. Interfaces 2009, 1, 1913–1918. [Google Scholar] [CrossRef]
- Zhang, S.; Jin, X.; Gu, X.; Chen, C.; Li, H.; Zhang, Z.; Sun, J. The preparation of fully bio-based flame retardant poly(lactic acid) composites containing casein. J. Appl. Polym. Sci. 2018, 135, 1–9. [Google Scholar] [CrossRef]
- Xu, F.; Zhong, L.; Zhang, C.; Wang, P.; Zhang, F.; Zhang, G. Novel High-Efficiency Casein-Based P-N-Containing Flame Retardants with Multiple Reactive Groups for Cotton Fabrics. ACS Sustain. Chem. Eng. 2019, 7, 13999–14008. [Google Scholar] [CrossRef]
- Członka, S.; Kairytė, A.; Miedzińska, K.; Strąkowska, A. Casein/Apricot Filler in the Production of Flame-Retardant Composites. Materials 2021, 14, 3620. [Google Scholar] [CrossRef]
- Carosio, F.; Di Blasio, A.; Cuttica, F.; Alongi, J.; Malucelli, G. Flame retardancy of polyester and polyester-cotton blends treated with caseins. Ind. Eng. Chem. Res. 2014, 53, 3917–3923. [Google Scholar] [CrossRef]
- Sivashankari, P.R.; Prabaharan, M. Chitosan/Carbon-Based Nanomaterials as Scaffolds for Tissue Engineering; Elsevier Ltd.: Amsterdam, The Netherlands, 2017; ISBN 9780081019153. [Google Scholar]
- Zhao, D.; Yu, S.; Sun, B.; Gao, S.; Guo, S.; Zhao, K. Biomedical applications of chitosan and its derivative nanoparticles. Polymers 2018, 10, 462. [Google Scholar] [CrossRef] [Green Version]
- Hu, S.; Song, L.; Pan, H.; Hu, Y.; Gong, X. Thermal properties and combustion behaviors of flame retarded epoxy acrylate with a chitosan based flame retardant containing phosphorus and acrylate structure. J. Anal. Appl. Pyrolysis 2012, 97, 109–115. [Google Scholar] [CrossRef]
- Yamankaradenİz, N.; Kilik, E.; Meral, T. Investigation the Effects of Chitosan Added PP Polymer on Burn Retarding. Manuf. Technol. Appl. 2020, 1, 9–17. [Google Scholar]
- Laufer, G.; Kirkland, C.; Cain, A.A.; Grunlan, J.C. Clay-chitosan nanobrick walls: Completely renewable gas barrier and flame-retardant nanocoatings. ACS Appl. Mater. Interfaces 2012, 4, 1643–1649. [Google Scholar] [CrossRef]
- Członka, S.; Bertino, M.F.; Strzelec, K. Rigid polyurethane foams reinforced with industrial potato protein. Polym. Test. 2018, 68. [Google Scholar] [CrossRef]
- Badri, K.H.; Ahmad, S.H.; Zakaria, S. Production of a high-functionality RBD palm kernel oil-based polyester polyol. J. Appl. Polym. Sci. 2001, 81, 384–389. [Google Scholar] [CrossRef]
- Chattopadhyay, D.; Webster, D.C. Thermal stability and flame retardancy of polyurethanes. Prog. Polym. Sci. 2009, 34, 1068–1133. [Google Scholar] [CrossRef]
- Valášková, M.; Martynkova, G.S. Vermiculite: Structural properties and examples of the use. Clay Miner. Nat. Charact. Modif. Appl. 2012, 209–238. [Google Scholar] [CrossRef] [Green Version]
- Ahmadi, F.; Oveisi, Z.; Samani, S.M.; Amoozgar, Z. Chitosan based hydrogels: Characteristics and pharmaceutical applications. Res. Pharm. Sci. 2015, 10, 1–16. [Google Scholar]
- Bhat, M.Y.; Dar, T.A.; Singh, L.R. Casein proteins: Structural and functional aspects. In Milk Proteins—From Structure to Biological Properties and Health Aspects; InTech: Rijeka, Croatia, 2016; pp. 1–17. [Google Scholar] [CrossRef] [Green Version]
- Kärenlampi, S.O.; White, P.J. Potato proteins, lipids, and minerals. In Advances in Potato Chemistry and Technology; Academic Press: Cambridge, MA, USA, 2009; pp. 99–125. [Google Scholar]











| PU_0 | PU_V | PU_VC | PU_VCH | PU_VPP | |
|---|---|---|---|---|---|
| Dynamic viscosity at 10 rpm (mPa·s) | 850 ± 8 | 930 ± 9 | 970 ± 8 | 1010 ± 8 | 920 ± 7 |
| Cream time (s) | 39 ± 3 | 47 ± 5 | 49 ± 3 | 52 ± 4 | 44 ± 4 |
| Expansion time (s) | 260 ± 6 | 290 ± 4 | 309 ± 8 | 324 ± 7 | 278 ± 8 |
| Apparent density (kg m−3) | 36.9 ± 0.7 | 38.3 ± 0.5 | 38.5 ± 0.7 | 39.0 ± 0.8 | 38.3 ± 0.6 |
| Average cell size (µm) | 471 ± 5 | 451 ± 3 | 449 ± 5 | 444 ± 4 | 453 ± 5 |
| Sample | Temperature of −20 °C | Temperature of +70 °C | ||||
|---|---|---|---|---|---|---|
| Δl (%) | Δw (%) | Δt (%) | Δl (%) | Δw (%) | Δt (%) | |
| PU_0 | 1.80 ± 0.01 | 1.83 ± 0.01 | 1.77 ± 0.01 | 1.93 ± 0.01 | 1.89 ± 0.01 | 1. 74 ± 0.01 |
| PU_V | 1.76 ± 0.01 | 1.80 ± 0.01 | 1.79 ± 0.01 | 1.79 ± 0.01 | 1.68 ± 0.01 | 1.73 ± 0.01 |
| PU_VC | 1.69 ± 0.01 | 1.74 ± 0.01 | 1.73 ± 0.01 | 1.74 ± 0.01 | 1.83 ± 0.01 | 1.66 ± 0.01 |
| PU_VCH | 1.73 ± 0.01 | 1.68 ± 0.01 | 1.69 ± 0.01 | 1.77 ± 0.01 | 1.70 ± 0.01 | 1.69 ± 0.01 |
| PU_VPP | 1.70 ± 0.01 | 1.77 ± 0.01 | 1.64 ± 0.01 | 1.66 ± 0.01 | 1.82 ± 0.01 | 1.70 ± 0.01 |
| Sample | Tmax (°C) | Char Residue (wt.%) at 600 °C | ||
|---|---|---|---|---|
| 1st Stage | 2nd Stage | 3rd Stage | ||
| PU_0 | 213 ± 3 | 319 ± 4 | 591 ± 5 | 26.1 ± 0.1 |
| PU_V | 219 ± 4 | 26.7 ± 0.1 | ||
| PU_VC | 225 ± 2 | 28.0 ± 0.2 | ||
| PU_VCh | 215 ± 3 | 27.5 ± 0.1 | ||
| PU_VPP | 215 ± 2 | 26.7 ± 0.2 | ||
| Sample | IT (s) | pHRR (kW m−2) | TSR (m2 m−2) | THR (MJ m−2) | COY (kg kg−1) | CO2Y (kg kg−1) | LOI (%) |
|---|---|---|---|---|---|---|---|
| PU_0 | 4 | 266 | 1515 | 21.7 | 0.376 | 0.385 | 20.1 |
| PU_V | 5 | 216 | 1150 | 21.1 | 0.317 | 0.281 | 21.2 |
| PU_VC | 6 | 201 | 1000 | 19.9 | 0.347 | 0.301 | 22.8 |
| PU_VCH | 5 | 209 | 1095 | 20.7 | 0.328 | 0.282 | 21.6 |
| PU_VPP | 6 | 200 | 1050 | 20.1 | 0.331 | 0.280 | 22.5 |
| System | Compound | Content (wt. % to Polyol) | ||||
|---|---|---|---|---|---|---|
| PU_0 | PU_V | PU_VC | PU_VCh | PU_VPP | ||
| Polyol system | Stepanpol PS2352 | 100 | ||||
| Pentane/cyclopentane | 11 | |||||
| Kosmos 33 | 5 | |||||
| Tegostab B8513 | 2.5 | |||||
| Kosmos 77 | 0.8 | |||||
| Water | 0.5 | |||||
| Filler | Vermiculite | - | 2 | - | - | - |
| Vermiculite functionalized with casein | - | - | 2 | - | - | |
| Vermiculite functionalized with chitosan | - | - | - | 2 | - | |
| Vermiculite functionalized with potato protein | - | - | - | - | 2 | |
| Isocyanate system | Purocyn B | 160 | ||||
Publisher’s Note: MDPI stays neutral with regard to jurisdictional claims in published maps and institutional affiliations. |
© 2021 by the authors. Licensee MDPI, Basel, Switzerland. This article is an open access article distributed under the terms and conditions of the Creative Commons Attribution (CC BY) license (https://creativecommons.org/licenses/by/4.0/).
Share and Cite
Miedzińska, K.; Członka, S.; Strąkowska, A.; Strzelec, K. Vermiculite Filler Modified with Casein, Chitosan, and Potato Protein as a Flame Retardant for Polyurethane Foams. Int. J. Mol. Sci. 2021, 22, 10825. https://doi.org/10.3390/ijms221910825
Miedzińska K, Członka S, Strąkowska A, Strzelec K. Vermiculite Filler Modified with Casein, Chitosan, and Potato Protein as a Flame Retardant for Polyurethane Foams. International Journal of Molecular Sciences. 2021; 22(19):10825. https://doi.org/10.3390/ijms221910825
Chicago/Turabian StyleMiedzińska, Karolina, Sylwia Członka, Anna Strąkowska, and Krzysztof Strzelec. 2021. "Vermiculite Filler Modified with Casein, Chitosan, and Potato Protein as a Flame Retardant for Polyurethane Foams" International Journal of Molecular Sciences 22, no. 19: 10825. https://doi.org/10.3390/ijms221910825
APA StyleMiedzińska, K., Członka, S., Strąkowska, A., & Strzelec, K. (2021). Vermiculite Filler Modified with Casein, Chitosan, and Potato Protein as a Flame Retardant for Polyurethane Foams. International Journal of Molecular Sciences, 22(19), 10825. https://doi.org/10.3390/ijms221910825

