Lignin and Xylan as Interface Engineering Additives for Improved Environmental Durability of Sustainable Cellulose Nanopapers
Abstract
:1. Introduction
2. Results and Discussion
2.1. UV Irradiation and Heat Effect on the Tensile Properties
2.2. Structural Analysis
2.3. UV-VIS and FTIR Spectroscopy
| Band | Wavenumber (cm−1) | Assignment | References |
|---|---|---|---|
| 1 | 3333 | Intramolecular hydrogen bonding of -OH group | [66] |
| 2 | 3276 | Intermolecular hydrogen bonding -OH group | [66] |
| 3; 4 | 2915, 2850 | CH symmetrical and asymmetrical stretching | [66] |
| 5 | 1738 | C = O stretching of acetyl or carboxylic acid in hemicellulose | [23] |
| 6 | 1640 | C = O stretching in the carboxyl group | [67] |
| 7 | 1582–1560 | C = C stretching of lignin aromatic ring | [62] |
| 8 | 1458 | CH bending of xylan | [63] |
| 9 | 1427 | CH2 scissoring | [66] |
| 10 | 1372 | C-H bending | [66] |
| 11, 22 | 1315, ≈700 | CH2 rocking | [43,66] |
| 12, 13, 15, 16, 17 | 1242, 1202, 1110, 1055, 1030 | C-O stretching | [63,66,67] |
| 14 | 1160 | C-O-C asymmetric bridge | [23] |
| 18 | 976 | C-O stretching in xylan | [63] |
| 19 | 895 | β-linkage of cellulose | [66] |
| 20, 21 | 837, 776 | C-H out of plane deformation in lignin aromatic ring | [63,68] |
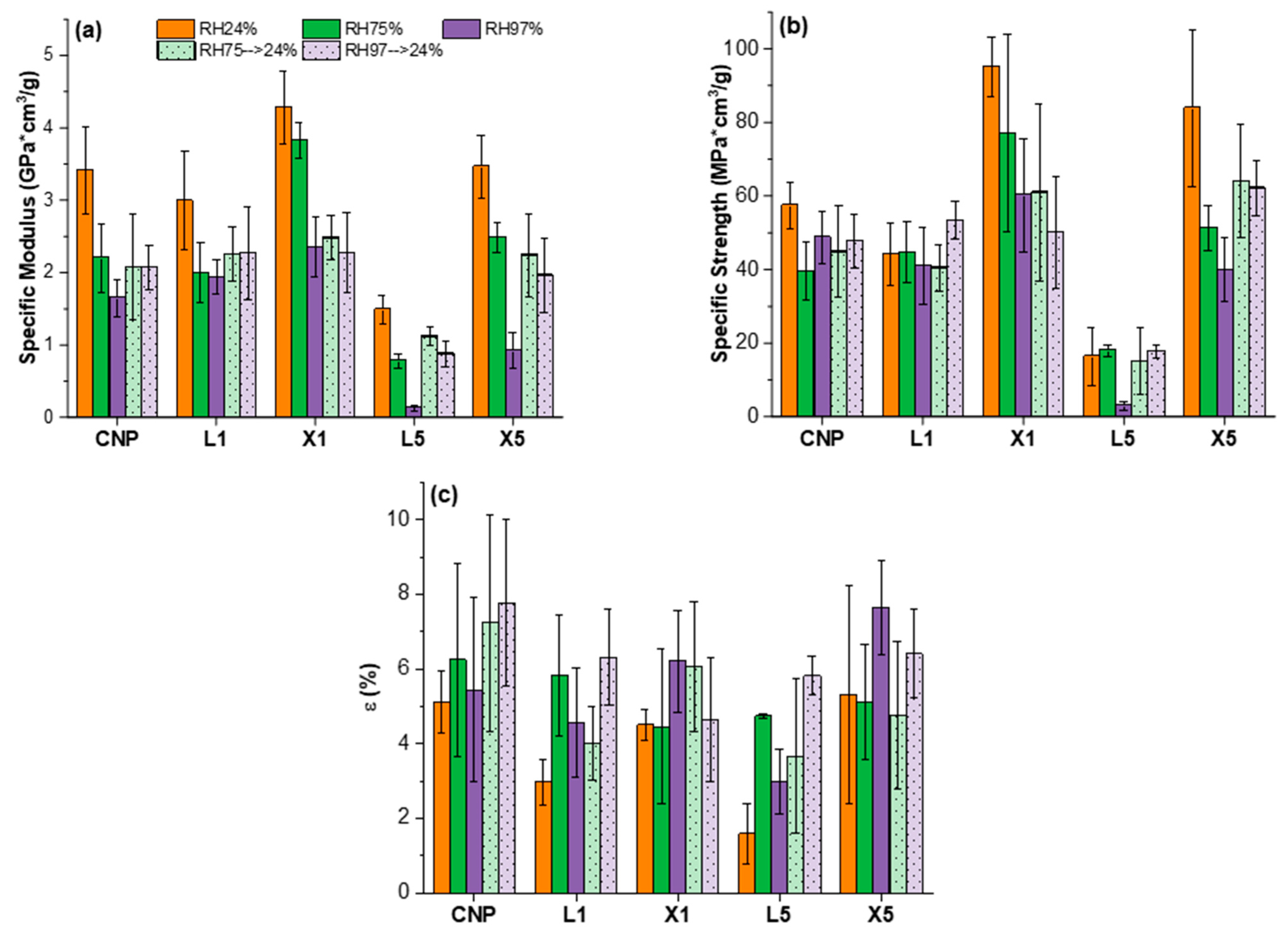
2.4. Moisture Effect on the Tensile Properties
2.5. Nanopaper Performance Quality Analysis

3. Materials and Methods
3.1. Materials
3.2. Cellulose Nanofibril Preparation
3.3. Nanopaper Preparation
3.4. UV Irradiation and Tensile Tests
3.5. Spectroscopy
3.6. Moisture Absorption and Tensile Tests
3.7. Structural Analysis
4. Conclusions
Supplementary Materials
Author Contributions
Funding
Institutional Review Board Statement
Informed Consent Statement
Data Availability Statement
Conflicts of Interest
References
- Nogi, M.; Kim, C.; Sugahara, T.; Inui, T.; Takahashi, T.; Suganuma, K. High thermal stability of optical transparency in cellulose nanofiber paper. Appl. Phys. Lett. 2013, 102, 181911. [Google Scholar]
- Yagyu, H.; Ifuku, S.; Nogi, M. Acetylation of optically transparent cellulose nanopaper for high thermal and moisture resistance in a flexible device substrate. Flex. Print. Electron. 2017, 2, 014003. [Google Scholar] [CrossRef]
- Sethi, J.; Visanko, M.; Osterberg, M.; Sirvio, J.A. A fast method to prepare mechanically strong and water resistant lignocellulosic nanopapers. Carbohydr. Polym. 2019, 203, 148–156. [Google Scholar] [CrossRef] [Green Version]
- Abral, H.; Fajri, N.; Mahardika, M.; Handayani, D.; Sugiarti, E.; Kim, H.-J. A simple strategy in enhancing moisture and thermal resistance and tensile properties of disintegrated bacterial cellulose nanopaper. J. Mater. Res. Technol. 2020, 9, 8754–8765. [Google Scholar] [CrossRef]
- Huang, W. Chapter 5—Cellulose Nanopapers. In Nanopapers; Huang, W., Ed.; William Andrew Publishing: Norwich, NY, USA, 2018; pp. 121–173. [Google Scholar]
- Ma, L.; Xu, Z.; Zhang, X.; Lin, J.; Tai, R. Facile and quick formation of cellulose nanopaper with nanoparticles and its characterization. Carbohydr. Polym. 2019, 221, 195–201. [Google Scholar] [CrossRef] [PubMed]
- Rana, A.K.; Gupta, V.K.; Saini, A.K.; Voicu, S.I.; Abdellattifaand, M.H.; Thakur, V.K. Water desalination using nanocelluloses/cellulose derivatives based membranes for sustainable future. Desalination 2021, 520, 115359. [Google Scholar] [CrossRef]
- Siwal, S.S.; Zhang, Q.; Devi, N.; Saini, A.K.; Saini, V.; Pareek, B.; Gaidukovs, S.; Thakur, V.K. Recovery processes of sustainable energy using different biomass and wastes. Renew. Sustain. Energy Rev. 2021, 150, 111483. [Google Scholar] [CrossRef]
- Merle, J.; Birot, M.; Deleuze, H.; Mitterer, C.; Carré, H.; Bouhtoury, F.C.-E. New biobased foams from wood byproducts. Mater. Des. 2016, 91, 186–192. [Google Scholar] [CrossRef]
- Ragauskas, A.J.; Beckham, G.T.; Biddy, M.J.; Chandra, R.; Chen, F.; Davis, M.F.; Davison, B.H.; Dixon, R.A.; Gilna, P.; Keller, M.; et al. Lignin Valorization: Improving Lignin Processing in the Biorefinery. Science 2014, 344, 1246843. [Google Scholar] [CrossRef] [PubMed]
- Zhang, K.; Sun, P.; Liu, H.; Shang, S.; Song, J.; Wang, D. Extraction and comparison of carboxylated cellulose nanocrystals from bleached sugarcane bagasse pulp using two different oxidation methods. Carbohydr. Polym. 2016, 138, 237–243. [Google Scholar] [CrossRef]
- Bashar, M.M.; Zhu, H.; Yamamoto, S.; Mitsuishi, M. Highly carboxylated and crystalline cellulose nanocrystals from jute fiber by facile ammonium persulfate oxidation. Cellulose 2019, 26, 3671–3684. [Google Scholar] [CrossRef]
- Xiao, S.; Gao, R.; Lu, Y.; Li, J.; Sun, Q. Fabrication and characterization of nanofibrillated cellulose and its aerogels from natural pine needles. Carbohydr. Polym. 2015, 119, 202–209. [Google Scholar] [CrossRef]
- Filipova, I.; Serra, F.; Tarrés, Q.; Mutjé, P.; Delgado-Aguilar, M. Oxidative treatments for cellulose nanofibers production: A comparative study between TEMPO-mediated and ammonium persulfate oxidation. Cellulose 2020, 27, 10671–10688. [Google Scholar] [CrossRef]
- Uetani, K.; Hatori, K. Thermal conductivity analysis and applications of nanocellulose materials. Sci. Technol. Adv. Mater. 2017, 18, 877–892. [Google Scholar] [CrossRef] [PubMed] [Green Version]
- Li, Q.; Chen, W.; Li, Y.; Guo, X.; Song, S.; Wang, Q.; Liu, Y.; Li, J.; Yu, H.; Zeng, J. Comparative study of the structure, mechanical and thermomechanical properties of cellulose nanopapers with different thickness. Cellulose 2016, 23, 1375–1382. [Google Scholar] [CrossRef]
- Taylor, L.; Phipps, J.; Blackburn, S.; Greenwood, R.; Skuse, D. Using fibre property measurements to predict the tensile index of microfibrillated cellulose nanopaper. Cellulose 2020, 27, 6149–6162. [Google Scholar] [CrossRef]
- Budtova, T.; Aguilera, D.A.; Beluns, S.; Berglund, L.; Chartier, C.; Espinosa, E.; Gaidukovs, S.; Klimek-kopyra, A.; Kmita, A.; Lachowicz, D.; et al. Biorefinery approach for aerogels. Polymers 2020, 12, 2779. [Google Scholar] [CrossRef]
- Escalante, A.; Gonçalves, A.; Bodin, A.; Stepan, A.; Sandström, C.; Toriz, G.; Gatenholm, P. Flexible oxygen barrier films from spruce xylan. Carbohydr. Polym. 2012, 87, 2381–2387. [Google Scholar] [CrossRef]
- Sadeghifar, H.; Venditti, R.; Jur, J.; Gorga, R.E.; Pawlak, J.J. Cellulose-Lignin Biodegradable and Flexible UV Protection Film. ACS Sustain. Chem. Eng. 2017, 5, 625–631. [Google Scholar] [CrossRef]
- Sadeghifar, H.; Ragauskas, A. Lignin as a UV Light Blocker—A Review. Polymers 2020, 12, 1134. [Google Scholar] [CrossRef]
- Parit, M.; Saha, P.; Davis, V.A.; Jiang, Z. Transparent and Homogenous Cellulose Nanocrystal/Lignin UV-Protection Films. ACS Omega 2018, 3, 10679–10691. [Google Scholar] [CrossRef]
- Cogulet, A.; Blanchet, P.; Landry, V. Wood degradation under UV irradiation: A lignin characterization. J. Photochem. Photobiol. B Biol. 2016, 158, 184–191. [Google Scholar] [CrossRef]
- Łojewski, T.; Miśkowiec, P.; Missori, M.; Lubańska, A.; Proniewicz, L.M.; Łojewska, J. FTIR and UV/vis as methods for evaluation of oxidative degradation of model paper: DFT approach for carbonyl vibrations. Carbohydr. Polym. 2010, 82, 370–375. [Google Scholar] [CrossRef]
- Coseri, S.; Biliuta, G.; Simionescu, B.C.; Stana-Kleinschek, K.; Ribitsch, V.; Harabagiu, V. Oxidized cellulose—Survey of the most recent achievements. Carbohydr. Polym. 2013, 93, 207–215. [Google Scholar] [CrossRef] [PubMed]
- KOLAR, J. Mechanism of Autoxidative Degradation of Cellulose. Restaurator 1997, 18, 163–176. [Google Scholar] [CrossRef]
- Zhang, S.; Li, J.; Chen, S.; Zhang, X.; Ma, J.; He, J. Oxidized cellulose-based hemostatic materials. Carbohydr. Polym. 2020, 230, 115585. [Google Scholar] [CrossRef]
- Weng, J.-K.; Li, X.; Bonawitz, N.D.; Chapple, C. Emerging strategies of lignin engineering and degradation for cellulosic biofuel production. Curr. Opin. Biotechnol. 2008, 19, 166–172. [Google Scholar] [CrossRef]
- Abral, H.; Ariksa, J.; Mahardika, M.; Handayani, D.; Aminah, I.; Sandrawati, N.; Sugiarti, E.; Muslimin, A.N.; Rosanti, S.D. Effect of heat treatment on thermal resistance, transparency and antimicrobial activity of sonicated ginger cellulose film. Carbohydr. Polym. 2020, 240, 116287. [Google Scholar] [CrossRef] [PubMed]
- Herzele, S.; Veigel, S.; Liebner, F.; Zimmermann, T.; Gindl-Altmutter, W. Reinforcement of polycaprolactone with microfibrillated lignocellulose. Ind. Crop. Prod. 2016, 93, 302–308. [Google Scholar] [CrossRef]
- Martínez, Á.T.; Speranza, M.; Ruiz-Dueñas, F.J.; Ferreira, P.; Camarero, S.; Guillen, F.; Martínez, M.J.; Gutiérrez, A.; Río, J.D.d. Biodegradation of lignocellulosics: Microbial, chemical, and enzymatic aspects of the fungal attack of lignin. Int. Microbiol. 2005, 8, 195–204. [Google Scholar]
- Gordobil, O.; Delucis, R.; Egüés, I.; Labidi, J. Kraft lignin as filler in PLA to improve ductility and thermal properties. Ind. Crop. Prod. 2015, 72, 46–53. [Google Scholar] [CrossRef]
- Abdulkhani, A.; Najd Mazhar, A.; Hedjazi, S.; Hamzeh, Y. Preparation of xylan bio-composite films reinforced with oxidized carboxymethyl cellulose and nanocellulose. Polym. Bull. 2020, 77, 6227–6239. [Google Scholar] [CrossRef]
- Naidu, D.S.; Hlangothi, S.P.; John, M.J. Bio-based products from xylan: A review. Carbohydr. Polym. 2018, 179, 28–41. [Google Scholar] [CrossRef]
- Grantham, N.J.; Wurman-Rodrich, J.; Terrett, O.M.; Lyczakowski, J.J.; Stott, K.; Iuga, D.; Simmons, T.J.; Durand-Tardif, M.; Brown, S.P.; Dupree, R.; et al. An even pattern of xylan substitution is critical for interaction with cellulose in plant cell walls. Nat. Plants 2017, 3, 859–865. [Google Scholar] [CrossRef] [PubMed]
- Berglund, J.; Mikkelsen, D.; Flanagan, B.M.; Dhital, S.; Gaunitz, S.; Henriksson, G.; Lindström, M.E.; Yakubov, G.E.; Gidley, M.J.; Vilaplana, F. Wood hemicelluloses exert distinct biomechanical contributions to cellulose fibrillar networks. Nat. Commun. 2020, 11, 4692. [Google Scholar] [CrossRef]
- Kontturi, K.S.; Lee, K.-Y.; Jones, M.P.; Sampson, W.W.; Bismarck, A.; Kontturi, E. Influence of biological origin on the tensile properties of cellulose nanopapers. Cellulose 2021, 28, 6619–6628. [Google Scholar] [CrossRef]
- Goksu, E.I.; Karamanlioglu, M.; Bakir, U.; Yilmaz, L.; Yilmazer, U. Production and Characterization of Films from Cotton Stalk Xylan. J. Agric. Food Chem. 2007, 55, 10685–10691. [Google Scholar] [CrossRef] [PubMed]
- Zhong, L.-X.; Peng, X.-W.; Yang, D.; Cao, X.-F.; Sun, R.-C. Long-Chain Anhydride Modification: A New Strategy for Preparing Xylan Films. J. Agric. Food Chem. 2013, 61, 655–661. [Google Scholar] [CrossRef]
- Liu, L.; Cui, B.; Tan, L.; Wang, W. Improving the combination of cellulose and lignin using xylan as a compatibilizer. Cellulose 2021, 28, 5335–5349. [Google Scholar] [CrossRef]
- Linder, Å.; Bergman, R.; Bodin, A.; Gatenholm, P. Mechanism of Assembly of Xylan onto Cellulose Surfaces. Langmuir 2003, 19, 5072–5077. [Google Scholar] [CrossRef]
- Desai, R.L.; Shields, J.A. Photochemical degradation of cellulose material. Makromol. Chem. 1969, 122, 134–144. [Google Scholar] [CrossRef]
- Zięba-Palus, J.; Trzcińska, B.; Wesełucha-Birczyńska, A.; Moskal, P.; Sacharz, J. The sequence of changes observed during degradation process of paper by the use of UV/VIS and FTIR spectrometry with application of the PCA and 2D correlation method for forensic purposes. J. Mol. Struct. 2020, 1205, 127651. [Google Scholar] [CrossRef]
- Gao, Y.; Lipton, A.S.; Wittmer, Y.; Murray, D.T.; Mortimer, J.C. A grass-specific cellulose–xylan interaction dominates in sorghum secondary cell walls. Nat. Commun. 2020, 11, 6081. [Google Scholar] [CrossRef]
- Sarosi, O.P.; Bischof, R.H.; Potthast, A. Tailoring Pulp Cellulose with Electron Beam Irradiation: Effects of Lignin and Hemicellulose. ACS Sustain. Chem. Eng. 2020, 8, 7235–7243. [Google Scholar] [CrossRef]
- Lin, Y.; King, J.Y.; Karlen, S.D.; Ralph, J. Using 2D NMR spectroscopy to assess effects of UV radiation on cell wall chemistry during litter decomposition. Biogeochemistry 2015, 125, 427–436. [Google Scholar] [CrossRef] [Green Version]
- Budischowsky, D.; Zwirchmayr, N.S.; Hosoya, T.; Bacher, M.; Hettegger, H.; Potthast, A.; Rosenau, T. Degradation of cellulosic key chromophores by ozone: A mechanistic and kinetic study. Cellulose 2021, 28, 6051–6071. [Google Scholar] [CrossRef]
- Pishnamazi, M.; Hafizi, H.; Shirazian, S.; Culebras, M.; Walker, G.M.; Collins, M.N. Design of Controlled Release System for Paracetamol Based on Modified Lignin. Polymers 2019, 11, 1059. [Google Scholar] [CrossRef] [PubMed] [Green Version]
- Liu, J.; Chinga-Carrasco, G.; Cheng, F.; Xu, W.; Willför, S.; Syverud, K.; Xu, C. Hemicellulose-reinforced nanocellulose hydrogels for wound healing application. Cellulose 2016, 23, 3129–3143. [Google Scholar] [CrossRef]
- Tedeschi, G.; Guzman-Puyol, S.; Ceseracciu, L.; Paul, U.C.; Picone, P.; Di Carlo, M.; Athanassiou, A.; Heredia-Guerrero, J.A. Multifunctional Bioplastics Inspired by Wood Composition: Effect of Hydrolyzed Lignin Addition to Xylan–Cellulose Matrices. Biomacromolecules 2020, 21, 910–920. [Google Scholar] [CrossRef]
- Hansen, N.M.L.; Blomfeldt, T.O.J.; Hedenqvist, M.S.; Plackett, D.V. Properties of plasticized composite films prepared from nanofibrillated cellulose and birch wood xylan. Cellulose 2012, 19, 2015–2031. [Google Scholar] [CrossRef]
- Stevanic, J.S.; Bergström, E.M.; Gatenholm, P.; Berglund, L.; Salmén, L. Arabinoxylan/nanofibrillated cellulose composite films. J. Mater. Sci. 2012, 47, 6724–6732. [Google Scholar] [CrossRef]
- Jankowska, A.; Rybak, K.; Nowacka, M.; Boruszewski, P. Insight of Weathering Processes Based on Monitoring Surface Characteristic of Tropical Wood Species. Coatings 2020, 10, 877. [Google Scholar] [CrossRef]
- Volkmer, T.; Noël, M.; Arnold, M.; Strautmann, J. Analysis of lignin degradation on wood surfaces to create a UV-protecting cellulose rich layer. Int. Wood Prod. J. 2016, 7, 156–164. [Google Scholar] [CrossRef]
- Cadena, E.M.; Vidal, T.; Torres, A.L. Influence of the hexenuronic acid content on refining and ageing in eucalyptus TCF pulp. Bioresour. Technol. 2010, 101, 3554–3560. [Google Scholar] [CrossRef] [PubMed]
- Cirule, D.; Kuka, E.; Kevers, M.; Andersone, I.; Andersons, B. Photodegradation of Unmodified and Thermally Modified Wood Due to Indoor Lighting. Forests 2021, 12, 1060. [Google Scholar] [CrossRef]
- Ksibi, M.; Ben Amor, S.; Cherif, S.; Elaloui, E.; Houas, A.; Elaloui, M. Photodegradation of lignin from black liquor using a UV/TiO2 system. J. Photochem. Photobiol. A Chem. 2003, 154, 211–218. [Google Scholar] [CrossRef]
- Chaochanchaikul, K.; Jayaraman, K.; Rosarpitak, V.; Sombatsompop, P.D.N. Influence of lignin content on photodegradation in wood/HDPE composites under UV weathering. BioResources 2011, 7, 38–55. [Google Scholar]
- Mosca Conte, A.; Pulci, O.; Knapik, A.; Bagniuk, J.; Del Sole, R.; Lojewska, J.; Missori, M. Role of Cellulose Oxidation in the Yellowing of Ancient Paper. Phys. Rev. Lett. 2012, 108, 158301. [Google Scholar] [CrossRef]
- Ahn, K.; Zaccaron, S.; Zwirchmayr, N.S.; Hettegger, H.; Hofinger, A.; Bacher, M.; Henniges, U.; Hosoya, T.; Potthast, A.; Rosenau, T. Yellowing and brightness reversion of celluloses: CO or COOH, who is the culprit? Cellulose 2019, 26, 429–444. [Google Scholar] [CrossRef] [Green Version]
- Dupont, A.-L.; Egasse, C.; Morin, A.; Vasseur, F. Comprehensive characterisation of cellulose- and lignocellulose-degradation products in aged papers: Capillary zone electrophoresis of low-molar mass organic acids, carbohydrates, and aromatic lignin derivatives. Carbohydr. Polym. 2007, 68, 1–16. [Google Scholar] [CrossRef]
- Liu, Y.; Hu, T.; Wu, Z.; Zeng, G.; Huang, D.; Shen, Y.; He, X.; Lai, M.; He, Y. Study on biodegradation process of lignin by FTIR and DSC. Environ. Sci. Pollut. Res. 2014, 21, 14004–14013. [Google Scholar] [CrossRef]
- Ebringerová, A.; Novotná, Z.; Kačuráková, M.; Machová, E. Chemical modification of beechwood xylan with p-carboxybenzyl bromide. J. Appl. Polym. Sci. 1996, 62, 1043–1047. [Google Scholar] [CrossRef]
- Benítez, A.J.; Walther, A. Cellulose nanofibril nanopapers and bioinspired nanocomposites: A review to understand the mechanical property space. J. Mater. Chem. A 2017, 5, 16003–16024. [Google Scholar] [CrossRef]
- Srinivas, K.; Pandey, K.K. Photodegradation of thermally modified wood. J. Photochem. Photobiol. B Biol. 2012, 117, 140–145. [Google Scholar] [CrossRef] [PubMed]
- Abidi, N.; Cabrales, L.; Haigler, C.H. Changes in the cell wall and cellulose content of developing cotton fibers investigated by FTIR spectroscopy. Carbohydr. Polym. 2014, 100, 9–16. [Google Scholar] [CrossRef]
- Beluns, S.; Gaidukovs, S.; Platnieks, O.; Gaidukova, G.; Mierina, I.; Grase, L.; Starkova, O.; Brazdausks, P.; Thakur, V.K. From Wood and Hemp Biomass Wastes to Sustainable Nanocellulose Foams. Ind. Crop. Prod. 2021, 170, 113780. [Google Scholar] [CrossRef]
- Rana, R.; Langenfeld-Heyser, R.; Finkeldey, R.; Polle, A. FTIR spectroscopy, chemical and histochemical characterisation of wood and lignin of five tropical timber wood species of the family of Dipterocarpaceae. Wood Sci. Technol. 2010, 44, 225–242. [Google Scholar] [CrossRef] [Green Version]
- Österberg, M.; Sipponen, M.H.; Mattos, B.D.; Rojas, O.J. Spherical lignin particles: A review on their sustainability and applications. Green Chem. 2020, 22, 2712–2733. [Google Scholar] [CrossRef] [Green Version]
- Aguirre-Loredo, R.Y.; Rodríguez-Hernández, A.I.; Morales-Sánchez, E.; Gómez-Aldapa, C.A.; Velazquez, G. Effect of equilibrium moisture content on barrier, mechanical and thermal properties of chitosan films. Food Chem. 2016, 196, 560–566. [Google Scholar] [CrossRef]
- Cazón, P.; Velázquez, G.; Vázquez, M. Regenerated cellulose films combined with glycerol and polyvinyl alcohol: Effect of moisture content on the physical properties. Food Hydrocoll. 2020, 103, 105657. [Google Scholar] [CrossRef]
- Guo, X.; Wu, Y.; Xie, X. Water vapor sorption properties of cellulose nanocrystals and nanofibers using dynamic vapor sorption apparatus. Sci. Rep. 2017, 7, 14207. [Google Scholar] [CrossRef] [PubMed]
- Hubbe, M.A.; Tayeb, P.; Joyce, M.; Tyagi, P.; Kehoe, M.; Dimic-Misic, K.; Pal, L. Rheology of Nanocellulose-rich Aqueous Suspensions: A Review. BioResources 2017, 12, 106. [Google Scholar] [CrossRef]
- Cazón, P.; Velázquez, G.; Vázquez, M. Bacterial cellulose films: Evaluation of the water interaction. Food Packag. Shelf Life 2020, 25, 100526. [Google Scholar] [CrossRef]
- Awad, S.A.; Mahini, S.S.; Tucker, S.J.; Fellows, C.M. Evaluation of the performance of microcrystalline cellulose in retarding degradation of two epoxy resin systems. Int. J. Polym. Anal. Charact. 2019, 24, 150–168. [Google Scholar] [CrossRef]
- Dufresne, A. Nanocellulose Processing Properties and Potential Applications. Curr. For. Rep. 2019, 5, 76–89. [Google Scholar] [CrossRef]
- Nascimento, E.S.; Barros, M.O.; Cerqueira, M.A.; Lima, H.L.; Borges, M.d.F.; Pastrana, L.M.; Gama, F.M.; Rosa, M.F.; Azeredo, H.M.C.; Gonçalves, C. All-cellulose nanocomposite films based on bacterial cellulose nanofibrils and nanocrystals. Food Packag. Shelf Life 2021, 29, 100715. [Google Scholar] [CrossRef]
- Robles, E.; Izaguirre, N.; Martin, A.; Moschou, D.; Labidi, J. Assessment of Bleached and Unbleached Nanofibers from Pistachio Shells for Nanopaper Making. Molecules 2021, 26, 1371. [Google Scholar] [CrossRef]
- Xiong, R.; Han, Y.; Wang, Y.; Zhang, W.; Zhang, X.; Lu, C. Flexible, highly transparent and iridescent all-cellulose hybrid nanopaper with enhanced mechanical strength and writable surface. Carbohydr. Polym. 2014, 113, 264–271. [Google Scholar] [CrossRef]
- Stepan, A.M.; Ansari, F.; Berglund, L.; Gatenholm, P. Nanofibrillated cellulose reinforced acetylated arabinoxylan films. Compos. Sci. Technol. 2014, 98, 72–78. [Google Scholar] [CrossRef]
- Santucci, B.S.; Bras, J.; Belgacem, M.N.; Curvelo, A.A.d.S.; Pimenta, M.T.B. Evaluation of the effects of chemical composition and refining treatments on the properties of nanofibrillated cellulose films from sugarcane bagasse. Ind. Crop. Prod. 2016, 91, 238–248. [Google Scholar] [CrossRef]














| Sample | w∞, % | ||
|---|---|---|---|
| RH24% | RH75% | RH97% | |
| CNP | 2.1 ± 0.5 | 7.1 ± 0.6 | 28.0 ± 3.0 |
| L1 | 2.2 ± 0.3 | 8.7 ± 0.4 | 55.6 ± 5.5 |
| L5 | 2.3 ± 0.1 | 13.6 ± 2.0 | 73.8 ± 4.1 |
| L10 | 2.9 ± 0.5 | 16.0 ± 3.5 | 76.6 ± 4.0 |
| L20 | 2.5 ± 0.2 | - | - |
| L30 | 2.6 ± 0.4 | - | - |
| X1 | 2.2 ± 0.1 | 19.6 ± 1.0 | 42.6 ± 5.1 |
| X5 | 2.3 ± 0.2 | 11.4 ± 0.7 | 31.7 ± 4.3 |
| X10 | 2.5 ± 0.2 | 12.2 ± 1.2 | 34.4 ± 4.0 |
| X20 | 2.4 ± 0.2 | - | - |
| X30 | 2.3 ± 0.2 | - | - |
| Sample | Density (g/cm3) | Standard Deviation (g/cm3) |
|---|---|---|
| CNP | 0.82 | 0.10 |
| L1 | 0.54 | 0.05 |
| L2.5 | 0.62 | 0.05 |
| L5 | 0.67 | 0.11 |
| L10 | 0.76 | 0.07 |
| L20 | 0.81 | 0.16 |
| L30 | 0.54 | 0.02 |
| X1 | 0.63 | 0.05 |
| X2.5 | 0.76 | 0.05 |
| X5 | 1.07 | 0.20 |
| X10 | 1.17 | 0.10 |
| X20 | 1.38 | 0.07 |
| X30 | 1.44 | 0.08 |
Publisher’s Note: MDPI stays neutral with regard to jurisdictional claims in published maps and institutional affiliations. |
© 2021 by the authors. Licensee MDPI, Basel, Switzerland. This article is an open access article distributed under the terms and conditions of the Creative Commons Attribution (CC BY) license (https://creativecommons.org/licenses/by/4.0/).
Share and Cite
Beluns, S.; Platnieks, O.; Gaidukovs, S.; Starkova, O.; Sabalina, A.; Grase, L.; Thakur, V.K.; Gaidukova, G. Lignin and Xylan as Interface Engineering Additives for Improved Environmental Durability of Sustainable Cellulose Nanopapers. Int. J. Mol. Sci. 2021, 22, 12939. https://doi.org/10.3390/ijms222312939
Beluns S, Platnieks O, Gaidukovs S, Starkova O, Sabalina A, Grase L, Thakur VK, Gaidukova G. Lignin and Xylan as Interface Engineering Additives for Improved Environmental Durability of Sustainable Cellulose Nanopapers. International Journal of Molecular Sciences. 2021; 22(23):12939. https://doi.org/10.3390/ijms222312939
Chicago/Turabian StyleBeluns, Sergejs, Oskars Platnieks, Sergejs Gaidukovs, Olesja Starkova, Alisa Sabalina, Liga Grase, Vijay Kumar Thakur, and Gerda Gaidukova. 2021. "Lignin and Xylan as Interface Engineering Additives for Improved Environmental Durability of Sustainable Cellulose Nanopapers" International Journal of Molecular Sciences 22, no. 23: 12939. https://doi.org/10.3390/ijms222312939
APA StyleBeluns, S., Platnieks, O., Gaidukovs, S., Starkova, O., Sabalina, A., Grase, L., Thakur, V. K., & Gaidukova, G. (2021). Lignin and Xylan as Interface Engineering Additives for Improved Environmental Durability of Sustainable Cellulose Nanopapers. International Journal of Molecular Sciences, 22(23), 12939. https://doi.org/10.3390/ijms222312939

