Extracellular Nucleotides Affect the Proangiogenic Behavior of Fibroblasts, Keratinocytes, and Endothelial Cells
Abstract
:1. Introduction
2. Materials and Methods
2.1. Tested Compounds
2.2. Cell Cultures
2.2.1. HaCaT Cell Line
2.2.2. HUVECs
2.2.3. Human Dermal Fibroblasts
2.3. Expression of P2Y Genes with Reverse Transcription Quantitative Polymerase Chain Reaction
2.4. Cellular Metabolic Activity
2.5. Proliferative Activity (DNA Quantification Assay)
2.6. Quantification of VEGF-A Secretion
2.7. Determination of Angiogenesis In Vivo
2.8. Statistical Analysis
3. Results
3.1. Expression of Genes Encoding P2Y Receptors in HUVECs and HDF Cells
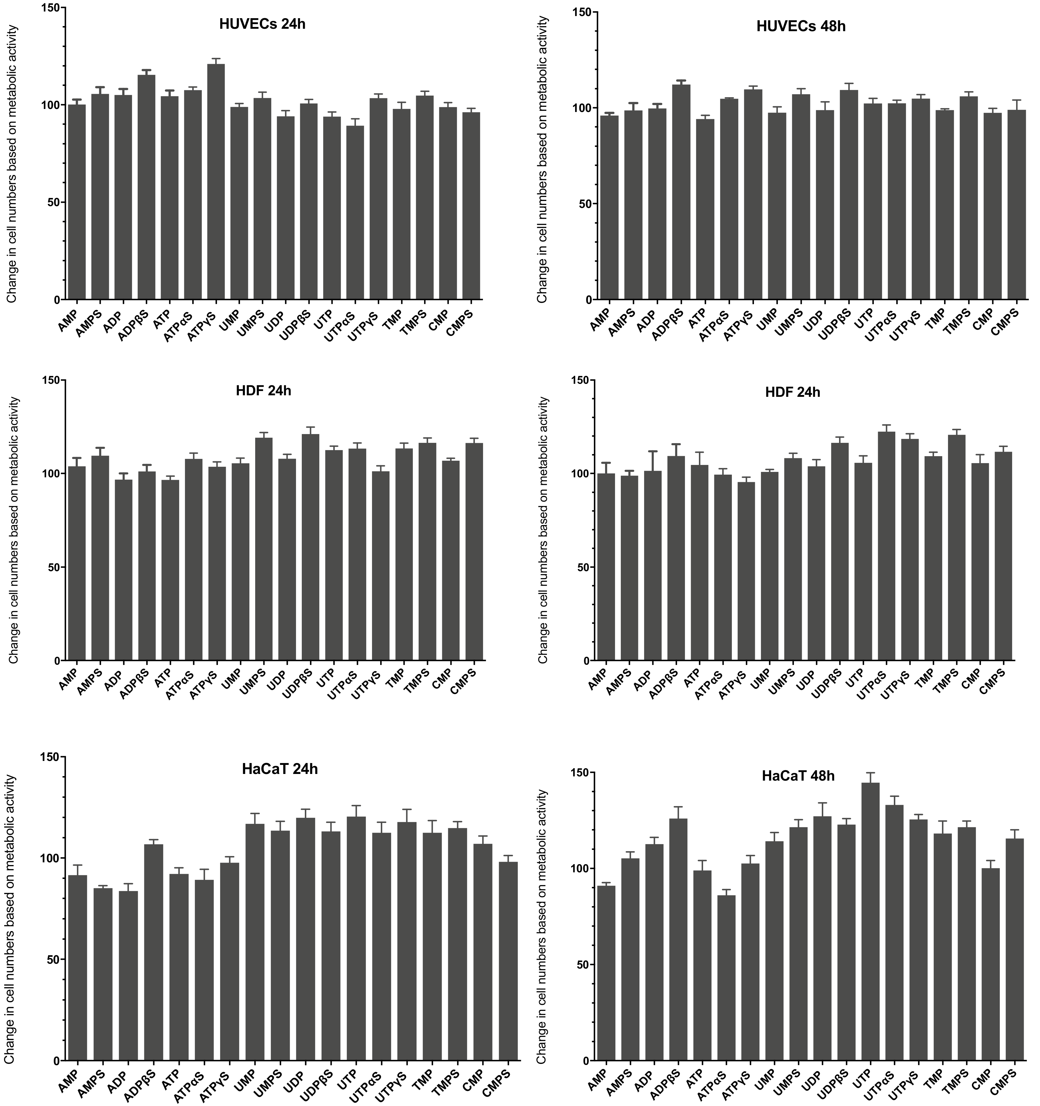
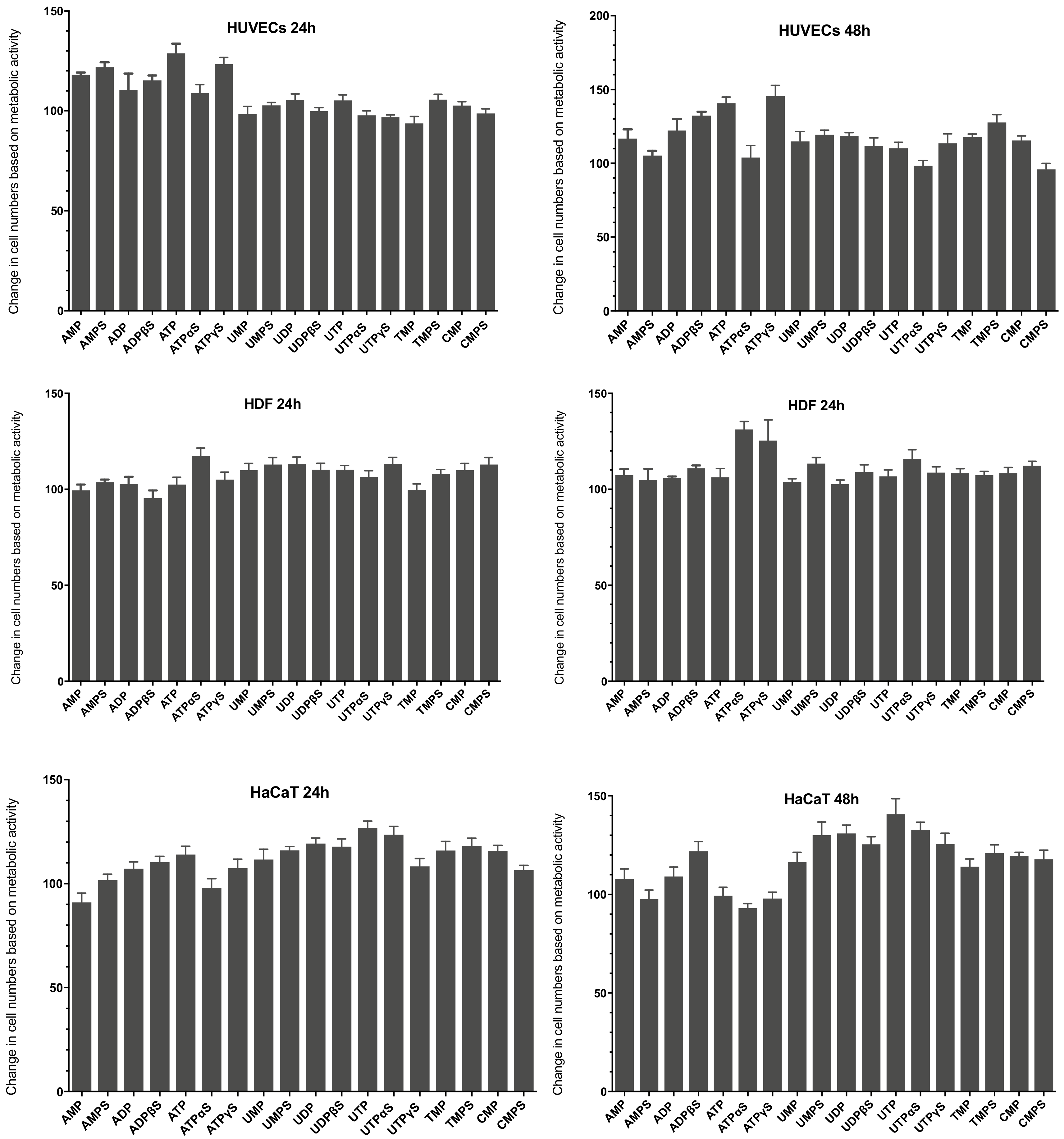
3.2. Cellular Metabolic Activity in the Presence of Extracellular Nucleotides
3.3. Cellular Proliferation in the Presence of Extracellular Nucleotides
3.4. The Influence of Extracellular Nucleotides on the Secretion of the Proangiogenic Factor VEGF-A
3.5. Thymidine 5′-O-Monophosphorothioate as a Proangiogenic Nucleotide
4. Discussion
Author Contributions
Funding
Data Availability Statement
Acknowledgments
Conflicts of Interest
Abbreviations
| ADP | Adenosine 5′-O-diphosphate |
| ADPβS | Adenosine 5′-O-β-thiodiphosphate |
| AMP | Adenosine 5′-O-monophosphate |
| AMPS | Adenosine 5′-O-thiomonophosphate |
| ADP | Adenosine 5′-O-diphosphate |
| ADPβS | Adenosine 5′-O-β-thiodiphosphate |
| ATP | Adenosine 5′-O-triphosphate |
| ATPαS | Adenosine 5′-O-α-thiotriphosphate |
| ATPγS | Adenosine 5′-O-γ-thiotriphosphate |
| CMP | Cytidine 5′-O-monophosphate |
| CMPS | Cytidine 5′-O-thiomonophosphate |
| DMEM | Dulbecco’s modified Eagle medium |
| FBS | Fetal Bovine Serum |
| PBS | Phosphate-buffered saline |
| RT-qPCR | Reverse transcription quantitative polymerase chain reaction |
| TMP | Thymidine 5′-O-monophosphate |
| TMPS | Thymidine 5′-O-thiomonophosphate |
| UDP | Uridine 5′-O-diphosphate |
| UDPβS | Uridine 5′-O-β-thiodiphosphate |
| UMP | Uridine 5′-O-monophosphate |
| UMPS | Uridine 5′-O-thiomonophosphate |
| UTP | Uridine 5′-O-triphosphate |
| UTPαS | Uridine 5′-O-α-thiotriphosphate |
| UTPγS | Uridine 5′-O-γ-thiotriphosphate |
References
- Neumann, A.; Müller, C.E.; Namasivayam, V. P2Y 1 -like nucleotide receptors—Structures, molecular modeling, mutagenesis, and oligomerization. Wiley Interdiscip. Rev. Comput. Mol. Sci. 2020, 10, e1464. [Google Scholar] [CrossRef] [Green Version]
- Erb, L.; Weisman, G.A. Coupling of P2Y receptors to G proteins and other signaling pathways. Wiley Interdiscip. Rev. Membr. Transp. Signal. 2012, 1, 789–803. [Google Scholar] [CrossRef] [PubMed] [Green Version]
- Rumjahn, S.M.; Yokdang, N.; Baldwin, K.A.; Thai, J.; Buxton, I.L.O. Purinergic regulation of vascular endothelial growth factor signaling in angiogenesis. Br. J. Cancer 2009, 100, 1465–1470. [Google Scholar] [CrossRef] [PubMed] [Green Version]
- Bambace, N.M.; Levis, J.E.; Holmes, C.E. The effect of P2Y-mediated platelet activation on the release of VEGF and endostatin from platelets. Platelets 2010, 21, 85–93. [Google Scholar] [CrossRef] [PubMed]
- Sorop, O.; Olver, T.D.; van de Wouw, J.; Heinonen, I.; van Duin, R.W.; Duncker, D.J.; Merkus, D. The microcirculation: A key player in obesity-associated cardiovascular disease. Cardiovasc. Res. 2017, 113, 1035–1045. [Google Scholar] [CrossRef]
- Kolluru, G.K.; Bir, S.C.; Kevil, C.G.; Calvert, J.W. Endothelial Dysfunction and Diabetes: Effects on Angiogenesis, Vascular Remodeling, and Wound Healing. Int. J. Vasc. Med. 2012, 2012, 918267. [Google Scholar] [CrossRef] [PubMed] [Green Version]
- Lauer, G.; Sollberg, S.; Cole, M.; Krieg, T.; Eming, S.A.; Flamme, I.; Stürzebecher, J.; Mann, K. Expression and Proteolysis of Vascular Endothelial Growth Factor is Increased in Chronic Wounds. J. Investig. Dermatol. 2000, 115, 12–18. [Google Scholar] [CrossRef] [Green Version]
- Eming, S.A.; Lauer, G.; Cole, M.; Jurk, S.; Christ, H.; Hornig, C.; Krieg, T.; Weich, H.A. Increased levels of the soluble variant of the vascular endothelial growth factor receptor VEGFR-1 are associated with a poor prognosis in wound healing. J. Investig. Dermatol. 2004, 123, 799–802. [Google Scholar] [CrossRef] [Green Version]
- Papanas, N.; Maltezos, E. Growth factors in the treatment of diabetic foot ulcers: New technologies, any promises? Int. J. Low. Extrem. Wounds 2007, 6, 37–53. [Google Scholar] [CrossRef]
- Das, S.; Singh, G.; Baker, A.B. Overcoming disease-induced growth factor resistance in therapeutic angiogenesis using recombinant co-receptors delivered by a liposomal system. Biomaterials 2014, 35, 196–205. [Google Scholar] [CrossRef] [Green Version]
- Veith, A.; Henderson, K.; Spencer, A.; Sligar, A.D.; Baker, A.B. Therapeutic strategies for enhancing angiogenesis in wound healing. Adv. Drug Deliv. Rev. 2018, 146, 97–125. [Google Scholar] [CrossRef]
- Gendaszewska-Darmach, E.; Kucharska, M. Nucleotide receptors as targets in the pharmacological enhancement of dermal wound healing. Purinergic Signal. 2011, 7, 193–206. [Google Scholar] [CrossRef] [Green Version]
- Zimmermann, H.; Zebisch, M.; Sträter, N. Cellular function and molecular structure of ecto-nucleotidases. Purinergic Signal. 2012, 8, 437–502. [Google Scholar] [CrossRef] [PubMed] [Green Version]
- Gendaszewska-Darmach, E.; Szustak, M. Thymidine 5′-O-monophosphorothioate induces HeLa cell migration by activation of the P2Y6 receptor. Purinergic Signal. 2016, 12, 199–209. [Google Scholar] [CrossRef] [PubMed] [Green Version]
- Węgłowska, E.; Szustak, M.; Gendaszewska-Darmach, E. Proangiogenic properties of nucleoside 5′-O-phosphorothioate analogues under hyperglycaemic conditions. Curr. Top. Med. Chem. 2015, 15, 2464–2474. [Google Scholar] [CrossRef]
- Patel, G.K.; Wilson, C.H.; Harding, K.G.; Finlay, A.Y.; Bowden, P.E. Numerous keratinocyte subtypes involved in wound re-epithelialization. J. Investig. Dermatol. 2006, 126, 497–502. [Google Scholar] [CrossRef] [Green Version]
- Gendaszewska-Darmach, E.; Węgłowska, E.; Walczak-Drzewiecka, A.; Karaś, K. Nucleoside 5′-O-monophosphorothioates as modulators of the P2Y14 receptor and mast cell degranulation. Oncotarget 2016, 7, 69358–69370. [Google Scholar] [CrossRef] [PubMed] [Green Version]
- Quent, V.M.C.; Loessner, D.; Friis, T.E.; Reichert, J.C.; Hutmacher, D.W. Discrepancies between metabolic activity and DNA content as tool to assess cell proliferation in cancer research. J. Cell. Mol. Med. 2010, 14, 1003–1013. [Google Scholar] [CrossRef] [Green Version]
- Jones, L.J.; Gray, M.; Yue, S.T.; Haugland, R.P.; Singer, V.L. Sensitive determination of cell number using the CyQUANT® cell proliferation assay. J. Immunol. Methods 2001, 254, 85–98. [Google Scholar] [CrossRef]
- Sun, C.; Feng, S.-B.; Cao, Z.-W.; Bei, J.-J.; Chen, Q.; Xu, X.-J.; Zhou, Z.; Yu, Z.-P.; Hu, H.-Y. Up-Regulated Expression of Matrix Metalloproteinases in Endothelial Cells Mediates Platelet Microvesicle-Induced Angiogenesis. Cell. Physiol. Biochem. 2017, 41, 2319–2332. [Google Scholar] [CrossRef]
- Miao, Z.; Ali, A.; Hu, L.; Zhao, F.; Yin, C.; Chen, C.; Yang, T.; Qian, A. Microtubule actin cross-linking factor 1, a novel potential target in cancer. Cancer Sci. 2017, 108, 1953–1958. [Google Scholar] [CrossRef] [Green Version]
- Irvin, M.W.; Zijlstra, A.; Wikswo, J.P.; Pozzi, A. Techniques and assays for the study of angiogenesis. Exp. Biol. Med. 2014, 239, 1476–1488. [Google Scholar] [CrossRef] [Green Version]
- Szustak, M.; Gendaszewska-Darmach, E. Nanocellulose-Based Scaffolds for Chondrogenic Differentiation and Expansion. Front. Bioeng. Biotechnol. 2021, 9, 733. [Google Scholar] [CrossRef]
- Gurtner, G.C.; Werner, S.; Barrandon, Y.; Longaker, M.T. Wound repair and regeneration. Nature 2008, 453, 314–321. [Google Scholar] [CrossRef] [PubMed]
- Rey, S.; Semenza, G.L. Hypoxia-inducible factor-1-dependent mechanisms of vascularization and vascular remodelling. Cardiovasc. Res. 2010, 86, 236–242. [Google Scholar] [CrossRef] [Green Version]
- Jin, H.; Seo, J.; Eun, S.Y.; Joo, Y.N.; Park, S.W.; Lee, J.H.; Chang, K.C.; Kim, H.J. P2Y2R activation by nucleotides promotes skin wound-healing process. Exp. Dermatol. 2014, 23, 480–485. [Google Scholar] [CrossRef]
- Seye, C.I.; Yu, N.; González, F.A.; Erb, L.; Weisman, G.A. The P2Y2 nucleotide receptor mediates vascular cell adhesion molecule-1 expression through interaction with VEGF receptor-2 (KDR/Flk-1). J. Biol. Chem. 2004, 279, 35679–35686. [Google Scholar] [CrossRef] [Green Version]
- Horckmans, M.; Robaye, B.; Léon-Gόmez, E.; Lantz, N.; Unger, P.; Dol-Gleizes, F.; Clouet, S.; Cammarata, D.; Schaeffer, P.; Savi, P.; et al. P2Y4 nucleotide receptor: A novel actor in post-natal cardiac development. Angiogenesis 2012, 15, 349–360. [Google Scholar] [CrossRef] [PubMed]
- Wiedon, A.; Tölle, M.; Bastine, J.; Schuchardt, M.; Huang, T.; Jankowski, V.; Jankowski, J.; Zidek, W.; van der Giet, M. Uridine adenosine tetraphosphate (Up4A) is a strong inductor of smooth muscle cell migration via activation of the P2Y2 receptor and cross-communication to the PDGF receptor. Biochem. Biophys. Res. Commun. 2011, 417, 1035–1040. [Google Scholar] [CrossRef]
- Zhou, Z.; Chrifi, I.; Xu, Y.; Pernow, J.; Duncker, D.J.; Merkus, D.; Cheng, C. Uridine adenosine tetraphosphate acts as a proangiogenic factor in vitro through purinergic P2Y receptors. Am. J. Physiol. Circ. Physiol. 2016, 311, H299–H309. [Google Scholar] [CrossRef] [PubMed]
- Communi, D.; Robaye, B.; Boeynaems, J.-M. Pharmacological characterization of the human P2Y11 receptor. Br. J. Pharmacol. 1999, 128, 1199–1206. [Google Scholar] [CrossRef] [PubMed]
- Jacobson, K.A.; Ivanov, A.A.; de Castro, S.; Harden, T.K.; Ko, H. Development of selective agonists and antagonists of P2Y receptors. Purinergic Signal. 2008, 5, 75–89. [Google Scholar] [CrossRef] [PubMed] [Green Version]
- Alcedo, K.P.; Bowser, J.L.; Snider, N.T. The elegant complexity of mammalian ecto-5′-nucleotidase (CD73). Trends Cell Biol. 2021, 31, 829–842. [Google Scholar] [CrossRef]
- Scaletti, E.; Huschmann, F.U.; Mueller, U.; Weiss, M.S.; Sträter, N. Substrate binding modes of purine and pyrimidine nu-cleotides to human ecto-5′-nucleotidase (CD73) and inhibition by their bisphosphonic acid derivatives. Purinergic Signal. 2021, 1, 1–12. [Google Scholar] [CrossRef]
- Wilgus, T.A. Vascular Endothelial Growth Factor and Cutaneous Scarring. Adv. Wound Care 2019, 8, 671–678. [Google Scholar] [CrossRef]
- Mogili, N.S.; Krishnaswamy, V.R.; Jayaraman, M.; Rajaram, R.; Venkatraman, A.; Korrapati, P.S. Altered angiogenic balance in keloids: A key to therapeutic intervention. Transl. Res. 2011, 159, 182–189. [Google Scholar] [CrossRef]
- Wilgus, T.A.; Ferreira, A.M.; Oberyszyn, T.M.; Bergdall, V.K.; DiPietro, L.A. Regulation of scar formation by vascular endothelial growth factor. Lab. Investig. 2008, 88, 579–590. [Google Scholar] [CrossRef] [PubMed] [Green Version]
- Ferrari, D.; Gambari, R.; Idzko, M.; Müller, T.; Albanesi, C.; Pastore, S.; La Manna, G.; Robson, S.C.; Cronstein, B. Purinergic signaling in scarring. FASEB J. 2015, 30, 3–12. [Google Scholar] [CrossRef] [PubMed]
- Ng, M.F. The role of mast cells in wound healing. Int. Wound J. 2010, 7, 55–61. [Google Scholar] [CrossRef] [PubMed]
- Kennelly, R.; Conneely, J.B.; Bouchier-Hayes, D.; Winter, D.C. Mast Cells in Tissue Healing: From Skin to the Gastrointestinal Tract. Curr. Pharm. Des. 2011, 17, 3772–3775. [Google Scholar] [CrossRef]
- Blank, U.; Madera-Salcedo, I.K.; Danelli, L.; Claver, J.; Tiwari, N.; Sãnchez-Miranda, E.; Vãzquez-Victorio, G.; Ramã rez-Valadez, K.A.; Macias-Silva, M.; Gonzãlez-Espinosa, C. Vesicular Trafficking and Signaling for Cytokine and Chemokine Secretion in Mast Cells. Front. Immunol. 2014, 5, 453. [Google Scholar] [CrossRef] [Green Version]
- DiPietro, L.A. Angiogenesis and scar formation in healing wounds. Curr. Opin. Rheumatol. 2013, 25, 87–91. [Google Scholar] [CrossRef] [PubMed]
- Borges, P.A.; Waclawiak, I.; Georgii, J.L.; Fraga-Junior, V.D.S.; Barros, J.F.; Lemos, F.S.; Russo-Abrahão, T.; Saraiva, E.M.; Takiya, C.M.; Coutinho-Silva, R.; et al. Adenosine Diphosphate Improves Wound Healing in Diabetic Mice Through P2Y12 Receptor Activation. Front. Immunol. 2021, 12, 793. [Google Scholar] [CrossRef] [PubMed]
- Lunkes, G.I.; Lunkes, D.; Stefanello, F.; Morsch, A.; Morsch, V.M.; Mazzanti, C.M.; Schetinger, M.R.C. Enzymes that hydrolyze adenine nucleotides in diabetes and associated pathologies. Thromb. Res. 2003, 109, 189–194. [Google Scholar] [CrossRef]
- Koziołkiewicz, M.; Gendaszewska, E.; Maszewska, M.; Stein, C.A.; Stec, W.J.; Drbal, K.; Angelisová, P.; Hilgert, I.; Černý, J.; Novák, P.; et al. The mononucleotide-dependent, nonantisense mechanism of action of phosphodiester and phosphorothioate oligonucleotides depends upon the activity of an ecto-5′-nucleotidase. Blood 2001, 98, 995–1002. [Google Scholar] [CrossRef]






| Gene | NCBI Reference Sequence | Forward Primer | Reverse Primer |
|---|---|---|---|
| P2Y1 | NM 002563 | CGGAAAGTTATCCGCGGCGGT | GGGCTATCGGGCAAGCCAGC |
| P2Y2 | NM 176072 | GAGGAGCCCCTTGTGGCAGC | CACGCCCAGCCTCCAGCATTTT |
| P2Y4 | NM 002565 | TGCTGGGCTTGGGCCTTAACG | GGCCGTTGCATCCCAGGGTC |
| P2Y6 | NM 176798 | ATGCCTGCTCCCTGCCCCTG | GGCGAAGTCGCCAAAGGGCC |
| P2Y11 | NM 002566 | ACAGAGCGTATAGCCTGGTG | TGTGGTAGGGCACATAGGA |
| P2Y12 | NM 022788 | TCTGCGCCTGGTAACACCAGTCT | AACAGGACAGTGTAGAGCAGTGGGA |
| P2Y13 | NM 176894 | GGTCAGCAAGACCTCTGAAA’ | AAGGCATTGCTGAGTAGGTG |
| P2Y14 | NM 001081455 | TGAATCCTGCTCTCAGAACC | AGGCTCATCACAAAGTCAGC |
| GAPDH | NM 002046 | AAGGCTGGGGCTCATTTGCAGG | GCCAGGGGTGCTAAGCAGTTGG |
Publisher’s Note: MDPI stays neutral with regard to jurisdictional claims in published maps and institutional affiliations. |
© 2021 by the authors. Licensee MDPI, Basel, Switzerland. This article is an open access article distributed under the terms and conditions of the Creative Commons Attribution (CC BY) license (https://creativecommons.org/licenses/by/4.0/).
Share and Cite
Węgłowska, E.; Koziołkiewicz, M.; Kamińska, D.; Grobelski, B.; Pawełczak, D.; Kołodziejczyk, M.; Bielecki, S.; Gendaszewska-Darmach, E. Extracellular Nucleotides Affect the Proangiogenic Behavior of Fibroblasts, Keratinocytes, and Endothelial Cells. Int. J. Mol. Sci. 2022, 23, 238. https://doi.org/10.3390/ijms23010238
Węgłowska E, Koziołkiewicz M, Kamińska D, Grobelski B, Pawełczak D, Kołodziejczyk M, Bielecki S, Gendaszewska-Darmach E. Extracellular Nucleotides Affect the Proangiogenic Behavior of Fibroblasts, Keratinocytes, and Endothelial Cells. International Journal of Molecular Sciences. 2022; 23(1):238. https://doi.org/10.3390/ijms23010238
Chicago/Turabian StyleWęgłowska, Edyta, Maria Koziołkiewicz, Daria Kamińska, Bartłomiej Grobelski, Dariusz Pawełczak, Marek Kołodziejczyk, Stanisław Bielecki, and Edyta Gendaszewska-Darmach. 2022. "Extracellular Nucleotides Affect the Proangiogenic Behavior of Fibroblasts, Keratinocytes, and Endothelial Cells" International Journal of Molecular Sciences 23, no. 1: 238. https://doi.org/10.3390/ijms23010238
APA StyleWęgłowska, E., Koziołkiewicz, M., Kamińska, D., Grobelski, B., Pawełczak, D., Kołodziejczyk, M., Bielecki, S., & Gendaszewska-Darmach, E. (2022). Extracellular Nucleotides Affect the Proangiogenic Behavior of Fibroblasts, Keratinocytes, and Endothelial Cells. International Journal of Molecular Sciences, 23(1), 238. https://doi.org/10.3390/ijms23010238

