Photolon Nanoporous Photoactive Material with Antibacterial Activity and Label-Free Noncontact Method for Free Radical Detection
Abstract
:1. Introduction
2. Results and Discussions
2.1. Pore Radius Distribution in Examined Coatings
2.2. Spectrophotometric Examination of Photoactive Coating
2.3. Kelvin Probe Microscopic Characterization of the Photoactive Coatings and Free Radicals Generation
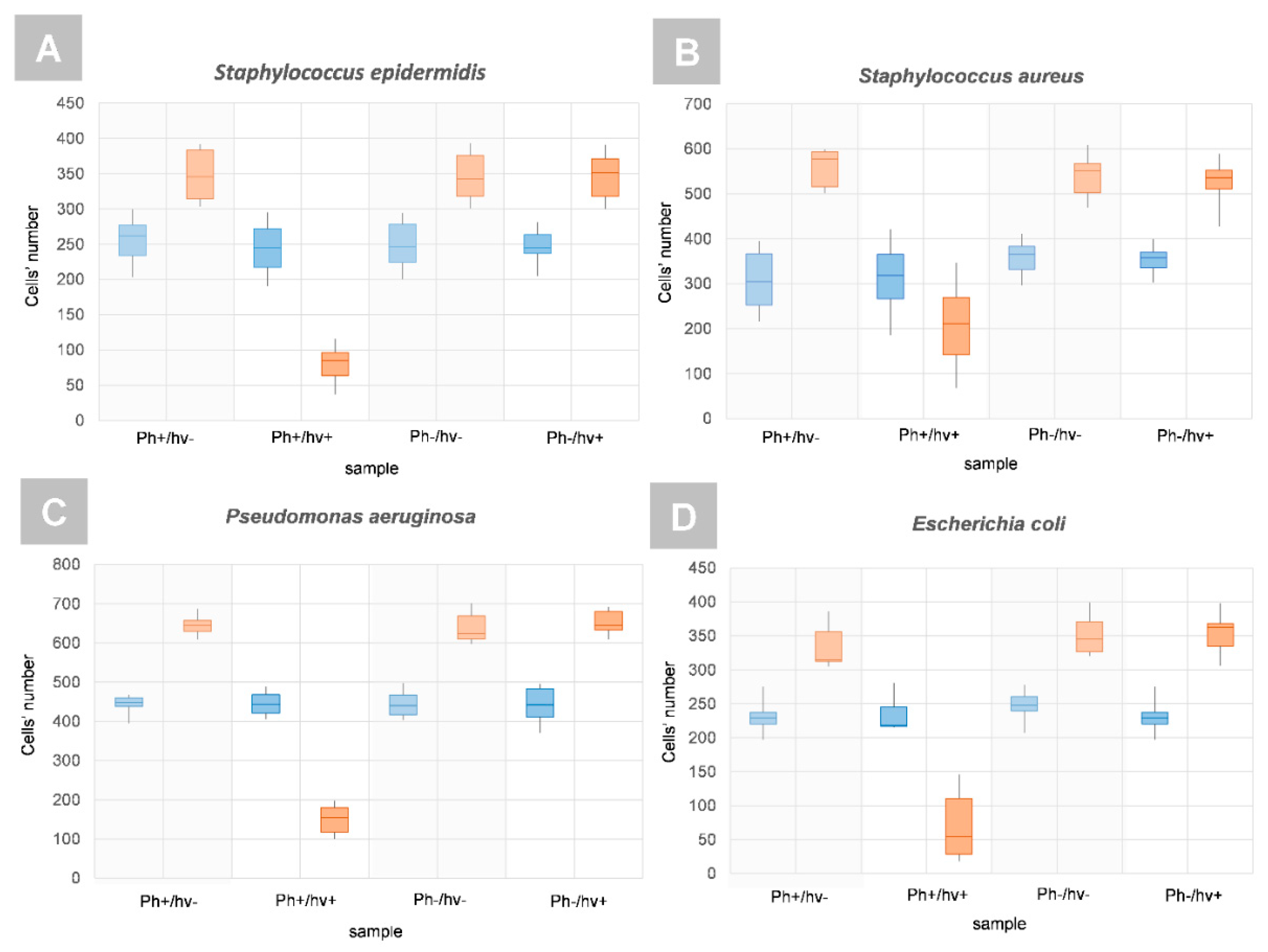
2.4. Examination of the Antimicrobial Activity of Photoactive Coating
2.4.1. The Examination of the Possible Ph Accumulation inside the Bacteria Cells by Confocal Microscopy and DHT Subsection
2.4.2. The Examination of Antibacterial Efficiency of Photoactive Coatings by DHT
3. Materials and Methods
3.1. Antimicrobial Photoactive Coatings Preparation
3.2. Examination of Pores Size Distribution in Materials and Data Analysis
3.3. Spectrophotometric Measurements
3.4. Kelvin Probe Microscopy Examination
3.5. Bacterial Sample Preparation
3.6. Photoexcitation Conditions of Photoactive Coatings
3.7. Confocal Laser Microscopy
3.8. Digital Holographic Tomography and RI-Data Processing
4. Conclusions
Author Contributions
Funding
Institutional Review Board Statement
Informed Consent Statement
Data Availability Statement
Acknowledgments
Conflicts of Interest
References
- World Health Organization. WHO Publishes List of Bacteria for Which New Antibiotics Are Urgently Needed; World Health Organization: Geneva, Switzerland. Available online: https://www.who.int/news/item/27-02-2017-who-publishes-list-of-bacteria-for-which-new-antibiotics-are-urgently-needed (accessed on 10 December 2021).
- Feldman, C.; Anderson, R. The Role of Co-Infections and Secondary Infections in Patients with COVID-19. Pneumonia 2021, 13, 5. [Google Scholar] [CrossRef]
- Shafran, N.; Shafran, I.; Ben-Zvi, H.; Sofer, S.; Sheena, L.; Krause, I.; Shlomai, A.; Goldberg, E.; Sklan, E.H. Secondary Bacterial Infection in COVID-19 Patients Is a Stronger Predictor for Death Compared to Influenza Patients. Sci. Rep. 2021, 11, 12703. [Google Scholar] [CrossRef] [PubMed]
- Qu, J.; Cai, Z.; Liu, Y.; Duan, X.; Han, S.; Liu, J.; Zhu, Y.; Jiang, Z.; Zhang, Y.; Zhuo, C.; et al. Persistent Bacterial Coinfection of a COVID-19 Patient Caused by a Genetically Adapted Pseudomonas Aeruginosa Chronic Colonizer. Front. Cell. Infect. Microbiol. 2021, 11, 129. [Google Scholar] [CrossRef]
- Shen, J.J.; Jemec, G.B.E.; Arendrup, M.C.; Saunte, D.M.L. Photodynamic Therapy Treatment of Superficial Fungal Infections: A Systematic Review. Photodiagnosis Photodyn. Ther. 2020, 31, 101774. [Google Scholar] [CrossRef] [PubMed]
- Pérez-Laguna, V.; Pérez-Artiaga, L.; Lampaya-Pérez, V.; García-Luque, I.; Ballesta, S.; Nonell, S.; Paz-Cristobal, M.P.; Gilaberte, Y.; Rezusta, A. Bactericidal Effect of Photodynamic Therapy, Alone or in Combination with Mupirocin or Linezolid, on Staphylococcus Aureus. Front. Microbiol. 2017, 8, 1002. [Google Scholar] [CrossRef] [PubMed] [Green Version]
- Podbielska, H.; Ulatowska-Jarza, A.; Müller, G.; Holowacz, I.; Bauer, J.; Bindig, U. Silica Sol–Gel Matrix Doped with Photolon Molecules for Sensing and Medical Therapy Purposes. Biomol. Eng. 2007, 24, 425–433. [Google Scholar] [CrossRef] [PubMed]
- Podbielska, H.; Bindig, U.; Ulatowska-Jarza, A.; Hołowacz, I.; Müller, G.; Scheller, E.E. Optical Properties of Sol-Gel Fiber Optic Applicators for Laser Interstitial Therapy. Laser Phys. 2006, 16, 816–826. [Google Scholar] [CrossRef]
- Ulatowska-Jarza, A.; Zychowicz, J.; Hołowacz, I.; Bauer, J.; Razik, J.; Wieliczko, A.; Podbielska, H.; Müller, G.; Strek, W.; Bindig, U. Antimicrobial PDT with Chlorophyll-Derived Photosensitizer and Semiconductor Laser. Med. Laser Appl. 2006, 21, 177–183. [Google Scholar] [CrossRef]
- Kelvin, L.V. Contact Electricity of Metals. Lond. Edinb. Dublin Philos. Mag. J. Sci. 1898, 46, 82–120. [Google Scholar] [CrossRef] [Green Version]
- Ahn, A.C.; Gow, B.J.; Martinsen, R.G.; Zhao, M.; Grodzinsky, A.J.; Baikie, I.D. Applying the Kelvin Probe to Biological Tissues: Theoretical and Computational Analyses. Phys. Rev. E Stat. Nonlinear Soft Matter Phys. 2012, 85, 061901. [Google Scholar] [CrossRef]
- Salerno, M.; Dante, S. Scanning Kelvin Probe Microscopy: Challenges and Perspectives towards Increased Application on Biomaterials and Biological Samples. Materials 2018, 11, 951. [Google Scholar] [CrossRef] [PubMed] [Green Version]
- Birkenhauer, E.; Neethirajan, S. Characterization of Electrical Surface Properties of Mono- and Co-Cultures of Pseudomonas Aeruginosa and Methicillin-Resistant Staphylococcus Aureus Using Kelvin Probe Force Microscopy. RSC Adv. 2014, 4, 42432–42440. [Google Scholar] [CrossRef]
- Melitz, W.; Shen, J.; Kummel, A.C.; Lee, S. Kelvin Probe Force Microscopy and Its Application. Surf. Sci. Rep. 2011, 66, 1–27. [Google Scholar] [CrossRef]
- Zhang, Y.; Dai, M.; Yuan, Z. Methods for the Detection of Reactive Oxygen Species. Anal. Methods 2018, 10, 4625–4638. [Google Scholar] [CrossRef]
- Wang, H.; Joseph, J.A. Quantifying Cellular Oxidative Stress by Dichlorofluorescein Assay Using Microplate Reader. Free Radic. Biol. Med. 1999, 27, 612–616. [Google Scholar] [CrossRef]
- Tarpey, M.M.; White, C.R.; Suarez, E.; Richardson, G.; Radi, R.; Freeman, B.A. Chemiluminescent Detection of Oxidants in Vascular Tissue: Lucigenin but Not Coelenterazine Enhances Superoxide Formation. Circ. Res. 1999, 84, 1203–1211. [Google Scholar] [CrossRef] [Green Version]
- Piszcz, P.; Zurawski, K.; Głód, B.K. Application of HPLC to Study the Reaction of Free Radicals with Antioxidants and/or Toxins. J. Chem. 2014, 2014, 385908. [Google Scholar] [CrossRef]
- Suzen, S.; Gurer-Orhan, H.; Saso, L. Detection of Reactive Oxygen and Nitrogen Species by Electron Paramagnetic Resonance (EPR) Technique. Molecules 2017, 22, 181. [Google Scholar] [CrossRef]
- Dooley, C.T.; Dore, T.M.; Hanson, G.T.; Jackson, W.C.; Remington, S.J.; Tsien, R.Y. Imaging Dynamic Redox Changes in Mammalian Cells with Green Fluorescent Protein Indicators. J. Biol. Chem. 2004, 279, 22284–22293. [Google Scholar] [CrossRef] [Green Version]
- Kuś, A.; Krauze, W.; Kujawińska, M. Limited-Angle Holographic Tomography with Optically Controlled Projection Generation. In Three-Dimensional and Multidimensional Microscopy: Image Acquisition and Processing XXII; Brown, T.G., Cogswell, C.J., Wilson, T., Eds.; SPIE: Bellingham, WA, USA, 2015; Volume 9330, p. 933007. [Google Scholar] [CrossRef]
- Kim, K.; Yoon, J.; Shin, S.; Lee, S.; Yang, S.-A.; Park, Y. Optical Diffraction Tomography Techniques for the Study of Cell Pathophysiology. J. Biomed. Photonics Eng. 2016, 2, 020201. [Google Scholar] [CrossRef] [Green Version]
- Buzalewicz, I.; Ulatowska-Jarża, A.; Kaczorowska, A.; Gąsior-Głogowska, M.; Podbielska, H.; Karwańska, M.; Wieliczko, A.; Matczuk, A.K.; Kowal, K.; Kopaczyńska, M. Bacteria Single-Cell and Photosensitizer Interaction Revealed by Quantitative Phase Imaging. Int. J. Mol. Sci. 2021, 22, 5068. [Google Scholar] [CrossRef] [PubMed]
- Wawrzyńska, M.; Duda, M.; Hołowacz, I.; Kaczorowska, A.; Ulatowska-Jarza, A.; Buzalewicz, I.; Kałas, W.; Wysokińska, E.; Biały, D.; Podbielska, H.; et al. Photoactive Pore Matrix for in Situ Delivery of a Photosensitizer in Vascular Smooth Muscle Cells Selective PDT. Materials 2019, 12, 4110. [Google Scholar] [CrossRef] [Green Version]
- Vivero-Escoto, J.L.; Elnagheeb, M. Mesoporous Silica Nanoparticles Loaded with Cisplatin and Phthalocyanine for Combination Chemotherapy and Photodynamic Therapy In Vitro. Nanomaterials 2015, 5, 2302–2316. [Google Scholar] [CrossRef]
- Prieto-Montero, R.; Prieto-Castañeda, A.; Katsumiti, A.; Cajaraville, M.P.; Agarrabeitia, A.R.; Ortiz, M.J.; Martínez-Martínez, V. Functionalization of Photosensitized Silica Nanoparticles for Advanced Photodynamic Therapy of Cancer. Int. J. Mol. Sci. 2021, 22, 6618. [Google Scholar] [CrossRef] [PubMed]
- Paramanantham, P.; Antony, A.P.; Lal, S.S.B.; Sharan, A.; Syed, A.; Ahmed, M.; Alarfaj, A.A.; Busi, S.; Maaza, M.; Kaviyarasu, K. Antimicrobial Photodynamic Inactivation of Fungal Biofilm Using Amino Functionalized Mesoporus Silica-Rose Bengal Nanoconjugate against Candida Albicans. Sci. Afr. 2018, 1, e00007. [Google Scholar] [CrossRef]
- George, S.; Hamblin, M.R.; Kishen, A. Uptake Pathways of Anionic and Cationic Photosensitizers into Bacteria. Photochem. Photobiol. Sci. 2009, 8, 788–795. [Google Scholar] [CrossRef] [Green Version]
- Tada, D.B.; Baptista, M.S. Photosensitizing Nanoparticles and the Modulation of ROS Generation. Front. Chem. 2015, 3, 33. [Google Scholar] [CrossRef] [PubMed] [Green Version]
- Yoon, H.K.; Lou, X.; Chen, Y.C.; Lee, K.Y.E.; Yoon, E.; Kopelman, R. Nanophotosensitizers Engineered to Generate a Tunable Mix of Reactive Oxygen Species, for Optimizing Photodynamic Therapy, Using a Microfluidic Device. Chem. Mater. 2014, 26, 1592–1600. [Google Scholar] [CrossRef] [Green Version]
- Kelbauskas, L.; Dietel, W. Internalization of Aggregated Photosensitizers by Tumor Cells: Subcellular Time-Resolved Fluorescence Spectroscopy on Derivatives of Pyropheophorbide-a Ethers and Chlorin E6 under Femtosecond One- and Two-Photon Excitation. Photochem. Photobiol. 2002, 76, 686–694. [Google Scholar] [CrossRef]
- dos Santos, F.A.B.; Uchoa, A.F.; Baptista, M.S.; Iamamoto, Y.; Serra, O.A.; Brocksom, T.J.; de Oliveira, K.T. Synthesis of Functionalized Chlorins Sterically-Prevented from Self-Aggregation. Dye Pigment. 2013, 99, 402–411. [Google Scholar] [CrossRef]
- de Assis, F.F.; de Souza, J.M.; Assis, B.H.K.; Brocksom, T.J.; de Oliveira, K.T. Synthesis and Photophysical Studies of a Chlorin Sterically Designed to Prevent Self-Aggregation. Dye Pigment. 2013, 98, 153–159. [Google Scholar] [CrossRef]
- Copley, L.; van der Watt, P.; Wirtz, K.W.; Parker, M.I.; Leaner, V.D. PhotolonTM, a Chlorin E6 Derivative, Triggers ROS Production and Light-Dependent Cell Death via Necrosis. Int. J. Biochem. Cell Biol. 2008, 40, 227–235. [Google Scholar] [CrossRef] [PubMed]
- Ali-Seyed, M.; Bhuvaneswari, R.; Soo, K.C.; Olivo, M. PhotolonTM—Photosensitization Induces Apoptosis via ROS-Mediated Cross-Talk between Mitochondria and Lysosomes. Int. J. Oncol. 2011, 39, 821–831. [Google Scholar] [CrossRef]
- Verdaguer, A.; Cardellach, M.; Segura, J.J.; Sacha, G.M.; Moser, J.; Zdrojek, M.; Bachtold, A.; Fraxedas, J. Charging and Discharging of Graphene in Ambient Conditions Studied with Scanning Probe Microscopy. Appl. Phys. Lett. 2009, 94, 233105. [Google Scholar] [CrossRef] [Green Version]
- Sułek, A.; Pucelik, B.; Kobielusz, M.; Barzowska, A.; Dąbrowski, J.M. Photodynamic Inactivation of Bacteria with Porphyrin Derivatives: Effect of Charge, Lipophilicity, ROS Generation, and Cellular Uptake on Their Biological Activity In Vitro. Int. J. Mol. Sci. 2020, 21, 8716. [Google Scholar] [CrossRef] [PubMed]
- Ignatova, N.; Ivanova, T.; Antonyan, A.; Budruev, I.; Streltsova, O.; Elagin, V.; Kamensky, V. Efficacy of Photodynamic Inactivation against the Major Human Antibiotic-Resistant Uropathogens. Photonics 2021, 8, 495. [Google Scholar] [CrossRef]
- Rumbaugh, K.P.; Sauer, K. Biofilm Dispersion. Nat. Rev. Microbiol. 2020, 18, 571–586. [Google Scholar] [CrossRef] [PubMed]
- Carruthers, N.J.; McClellan, S.A.; Somayajulu, M.; Pitchaikannu, A.; Bessert, D.; Peng, X.; Huitsing, K.; Stemmer, P.M.; Hazlett, L.D. Effects of Glycyrrhizin on Multi-Drug Resistant Pseudomonas Aeruginosa. Pathogens 2020, 9, 766. [Google Scholar] [CrossRef]










Publisher’s Note: MDPI stays neutral with regard to jurisdictional claims in published maps and institutional affiliations. |
© 2021 by the authors. Licensee MDPI, Basel, Switzerland. This article is an open access article distributed under the terms and conditions of the Creative Commons Attribution (CC BY) license (https://creativecommons.org/licenses/by/4.0/).
Share and Cite
Buzalewicz, I.; Hołowacz, I.; Matczuk, A.K.; Guźniczak, M.; Skrzela, D.; Karwańska, M.; Wieliczko, A.; Kowal, K.; Ulatowska-Jarża, A. Photolon Nanoporous Photoactive Material with Antibacterial Activity and Label-Free Noncontact Method for Free Radical Detection. Int. J. Mol. Sci. 2022, 23, 279. https://doi.org/10.3390/ijms23010279
Buzalewicz I, Hołowacz I, Matczuk AK, Guźniczak M, Skrzela D, Karwańska M, Wieliczko A, Kowal K, Ulatowska-Jarża A. Photolon Nanoporous Photoactive Material with Antibacterial Activity and Label-Free Noncontact Method for Free Radical Detection. International Journal of Molecular Sciences. 2022; 23(1):279. https://doi.org/10.3390/ijms23010279
Chicago/Turabian StyleBuzalewicz, Igor, Iwona Hołowacz, Anna K. Matczuk, Mateusz Guźniczak, Dominika Skrzela, Magdalena Karwańska, Alina Wieliczko, Katarzyna Kowal, and Agnieszka Ulatowska-Jarża. 2022. "Photolon Nanoporous Photoactive Material with Antibacterial Activity and Label-Free Noncontact Method for Free Radical Detection" International Journal of Molecular Sciences 23, no. 1: 279. https://doi.org/10.3390/ijms23010279
APA StyleBuzalewicz, I., Hołowacz, I., Matczuk, A. K., Guźniczak, M., Skrzela, D., Karwańska, M., Wieliczko, A., Kowal, K., & Ulatowska-Jarża, A. (2022). Photolon Nanoporous Photoactive Material with Antibacterial Activity and Label-Free Noncontact Method for Free Radical Detection. International Journal of Molecular Sciences, 23(1), 279. https://doi.org/10.3390/ijms23010279

