Green and Highly-Efficient Microwave Synthesis Route for Sulfur/Carbon Composite for Li-S Battery
Abstract
:1. Introduction
2. Results and Discussion
2.1. Effect of ZnO/Oil Weight Ratio on Textile Properties of MPCs
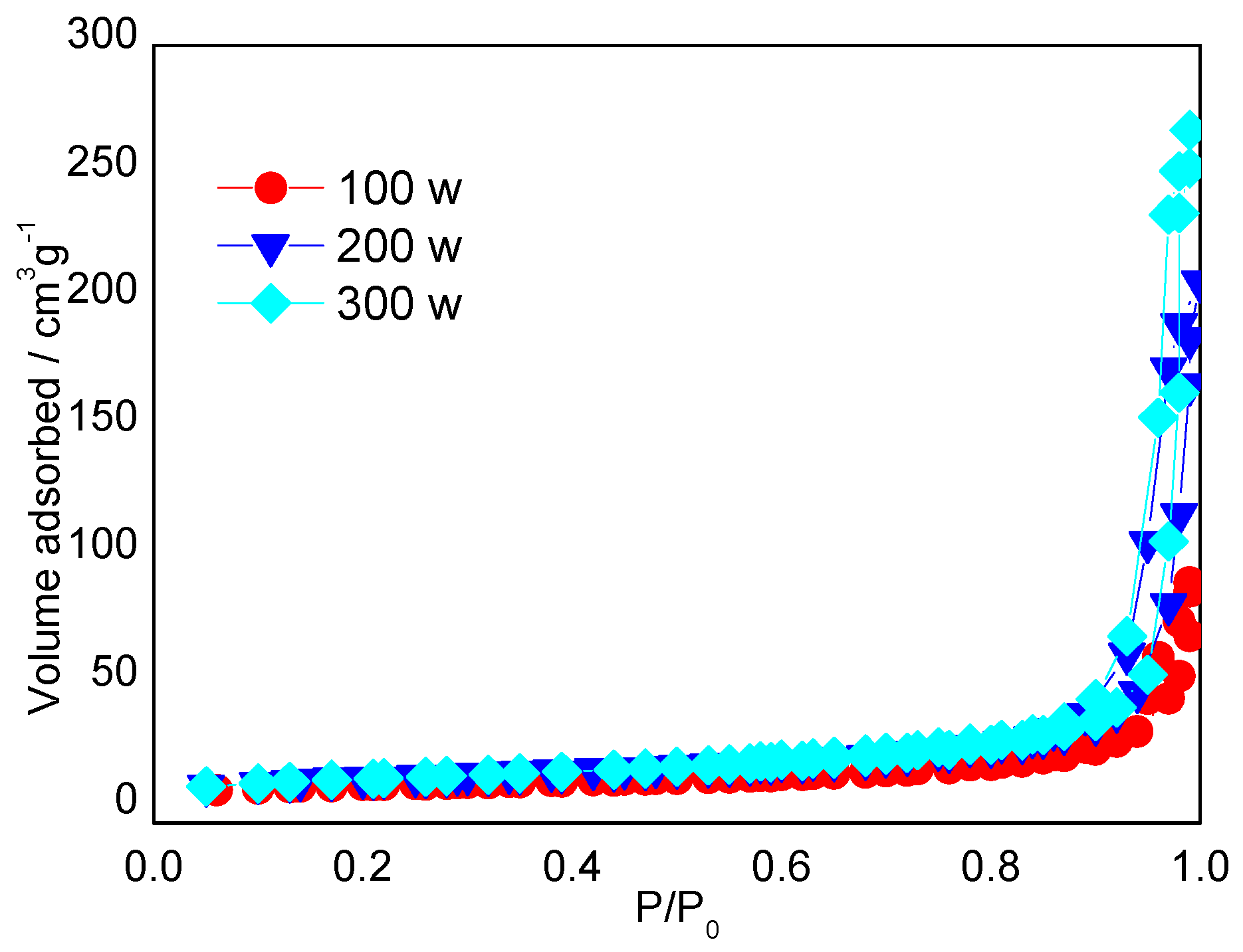
2.2. Structural Characterization of S/MPC and Application to Li-S Batteries
3. Experimental Section
3.1. Synthesis of MPCs
3.2. Preparation of S/MPC Composites
3.3. Characterization
3.4. Electrochemical Measurement
4. Conclusions
Supplementary Materials
Author Contributions
Funding
Institutional Review Board Statement
Informed Consent Statement
Data Availability Statement
Conflicts of Interest
References
- Wu, F.X.; Maier, J.; Yu, Y. Guidelines and trends for next-generation rechargeable lithium and lithium-ion batteries. Chem. Soc. Rev. 2020, 49, 1569–1614. [Google Scholar] [CrossRef]
- Manthiram, A. A reflection on lithium-ion battery cathode chemistry. Nat. Commun. 2020, 11, 1. [Google Scholar] [CrossRef] [PubMed]
- Zheng, Y.Q.; Chalise, D.; Lubner, S.D.; Kaur, S.; Prasher, R.S. A review of thermal physics and management inside lithium-ion batteries for high energy density and fast charging. Energy Storage Mater. 2021, 41, 264–288. [Google Scholar] [CrossRef]
- Huang, B.; Pan, Z.F.; Su, X.Y.; An, L. Recycling of lithium-ion batteries: Recent advances and perspectives. J. Power Sources 2018, 399, 274–286. [Google Scholar] [CrossRef]
- Kim, S.; Wee, J.; Peters, K.; Juang, H.Y.S. Multiphysics coupling in lithium-ion batteries with reconstructed porous microstructures. J. Phys. Chem. C 2018, 122, 5280–5290. [Google Scholar] [CrossRef]
- Kashkooli, A.G.; Farhad, S.; Lee, D.U.; Feng, K.; Litster, S.; Babu, S.K.; Zhu, L.K.; Chen, Z.W. Multiscale modeling of lithium-ion battery electrodes based on nano-scale X-ray computed tomography. J. Power Sources 2014, 307, 496–509. [Google Scholar] [CrossRef]
- Huang, L.; Li, J.J.; Liu, B.; Li, Y.H.; Shen, S.H.; Deng, S.J.; Lu, C.W.; Zhang, W.K.; Xia, Y.; Pan, G.X.; et al. Electrode design for lithium-sulfur batteries: Problems and solutions. Adv. Funct. Mater. 2020, 30, 1910375. [Google Scholar] [CrossRef]
- Liu, Y.; Wang, W.G.; Wang, J.; Zhang, Y.; Zhu, Y.S.; Chen, Y.H.; Fu, L.J.; Wu, Y.P. Sulfur nanocomposite as a positive electrode material for rechargeable potassium–sulfur batteries. Chem. Commun. 2018, 54, 2288–2291. [Google Scholar] [CrossRef]
- Sun, L.; Wang, D.T.; Luo, Y.F.; Wang, K.; Kong, W.B.; Wu, Y.; Zhang, L.; Jiang, K.L.; Li, Q.Q.; Zhang, Y.H.; et al. Sulfur embedded in a mesoporous carbon nanotube network as a binder-free electrode for high-performance lithium-sulfur batteries. ACS Nano 2016, 10, 1300–1308. [Google Scholar] [CrossRef]
- Yu, M.P.; Ma, J.S.; Xie, M.; Song, H.Q.; Tian, F.Y.; Xu, S.S.; Zhou, Y.; Li, B.; Wu, D.; Qiu, H.; et al. Freestanding and sandwich-structured electrode material with high areal mass loading for long-life lithium-sulfur batteries. Adv. Energy Mater. 2017, 7, 1602347. [Google Scholar] [CrossRef]
- Zheg, S.; Li, X.; Guo, F.; Zhong, H.; Mai, Y.H. A multilayered flexible electrode with high sulfur loading for high-performance lithium-sulfur batteries. Electrochim. Acta 2019, 320, 134571. [Google Scholar]
- Wang, Z.Y.; Wang, L.; Liu, S.; Li, G.R.; Gao, X.P. Conductive CoOOH as carbon-free sulfur immobilizer to fabricate sulfur-based composite for lithium-sulfur battery. Adv. Funct. Mater. 2019, 29, 1901051. [Google Scholar] [CrossRef]
- Hwa, Y.; Seo, H.K.; Yuk, J.M.; Cairns, E.J. Freeze-dried sulfur-graphene oxide-carbon nanotube nanocomposite for high sulfur-loading lithium/sulfur cells. Nano Lett. 2017, 17, 7089–7094. [Google Scholar] [CrossRef] [Green Version]
- Zhong, Y.; Chao, D.L.; Deng, S.J.; Zhan, J.Y.; Fang, R.Y.; Xia, Y.; Wang, Y.D.; Wang, X.L.; Xia, X.H.; Tu, J.P. Confining sulfur in integrated composite scaffold with highly porous carbon fibers/canadium nitride arrays for high-performance lithium-sulfur batteries. Adv. Funct. Mater. 2018, 28, 1706391. [Google Scholar] [CrossRef]
- Li, Z.; Zhang, J.T.; Guan, B.Y.; Wang, D.; Liu, L.M.; Lou, X.W. A sulfur host based on titanium monoxide@carbon hollow spheres for advanced lithium-sulfur batteries. Nat. Commun. 2016, 7, 13065. [Google Scholar] [CrossRef] [PubMed] [Green Version]
- Bi, Z.H.; Kong, Q.Q.; Cao, Y.F.; Sun, G.H.; Su, F.Y.; Wei, X.X.; Li, X.M.; Ahmad, A.; Xie, L.J.; Chen, C.M. Biomass-derived porous carbon materials with different dimension for supercapacitor electrodes: A review. J. Mater. Chem. A 2019, 7, 16028–16045. [Google Scholar] [CrossRef]
- Li, M.M.; Xu, F.; Wang, Y. Nitrogen-doped porous carbon materials: Promising catalysts or catalyst supports for heterogeneous hydrogenation and oxidation. Catal. Sci. Technol. 2016, 6, 3670–3693. [Google Scholar] [CrossRef]
- Xiao, W.; Jiang, X.P.; Zhou, W.M.; Garba, Z.N.; Lawan, I.; Wang, L.W.; Yuan, Z.H. Adsorption of organic dyes from wastewater by metal-doped porous carbon materials. J. Clean. Prod. 2021, 284, 124773. [Google Scholar] [CrossRef]
- Chinnadurai, D.; Karuppiah, P.; Chen, S.M.; Kim, H.J.; Prabaker, K. Metal-free multiporous carbon for electrochemical energy storage and electrocatalysis applications. New J. Chem. 2019, 43, 11653–11659. [Google Scholar] [CrossRef]
- Xie, L.F.; Wang, Z.; Xu, X.C.; Cai, Y.X. A mulltiporous carbon family with superior stability, tunable electronic structures and amazing hydrogen storage capability. Phys. Chem. Chem. Phys. 2020, 22, 9734–9739. [Google Scholar] [CrossRef]
- Hsu, C.H.; Pan, Z.P.; Chen, C.R.; Wei, M.X.; Chan, C.A.; Lin, H.P.; Hsu, C.H. Synthesis of multiporous carbon from the water caltrop shell for high-performance supercapacitors. ACS Omega 2020, 5, 10626–10632. [Google Scholar] [CrossRef] [PubMed]
- Lin, J.; Yu, L.; Sun, Q.J.; Wang, F.K.; Cheng, Y.; Wang, S.; Zhang, X. Multiporous core-shell structured MnO@N-doped carbon towards high-performance lithium-ion batteries. Int. J. Hydrogen Energy 2020, 45, 1837–1845. [Google Scholar] [CrossRef]
- Li, Y.D.; Xu, X.Z.; He, Y.Z.; Jiang, Y.Q.; Lin, K.F. Nitrogen doped macroporous carbon as electrode materials for high capacity of supercapacitor. Polymers 2017, 9, 2. [Google Scholar] [CrossRef] [PubMed] [Green Version]
- Cao, J.H.; Zhu, C.Y.; Aoki, Y.; Habazaki, H. Starch-derived hierarchical porous carbon with controlled porosity for high performance supercapacitors. ACS Sustain. Chem. Eng. 2018, 6, 7292–7303. [Google Scholar] [CrossRef]
- Wang, H.R.; Yu, S.K.; Xu, B. Hierarchical porous carbon materials prepared using nano-ZnO as a template and activation agent for ultrahigh power supercapacitors. Chem. Commun. 2016, 52, 11512–11515. [Google Scholar] [CrossRef]
- Wang, Z.; Xiong, Y.C.; Guan, S.Y. A simple CaCO3-assisted template carbonization method for producing nitrogen doped porous carbons as electrode materials for supercapacitors. Electrochim. Acta 2016, 188, 757–766. [Google Scholar] [CrossRef]
- Luo, W.; Wang, Y.X.; Chou, S.L.; Xu, Y.F.; Li, W.; Kong, B.; Dou, S.X.; Liu, H.K.; Yang, J.P. Critical thickness of phenolic resin-based carbon interfacial layer for improving long cycling stability of silicon nanoparticle anodes. Nano Energy 2019, 27, 255–264. [Google Scholar] [CrossRef] [Green Version]
- Klapiszewski, L.; Jamrozik, A.; Strzemiecka, B.; Matykiewicz, D.; Boelkel, A.; Jesionowski, T. Activation of magnesium lignosulfonate and kraft lignin: Influence on the properties of phenolic resin-based composites for potential applications in abrasive materials. Int. J. Mol. Sci. 2017, 18, 1224. [Google Scholar] [CrossRef] [Green Version]
- Maisano, S.; Urbani, F.; Mondello, N.; Chiodo, V. Catalytic pyrolysis of Mediterranean sea plant for bio-oil production. Int. J. Hydrogen Energy 2017, 42, 28082–28092. [Google Scholar] [CrossRef]
- Luna, M.D.G.D.; Cruz, L.A.D.; Chen, W.H.; Lin, B.J.; Hsieh, T.H. Improving the stability of diesel emulsions with high pyrolysis bio-oil content by alcohol co-surfactants and high shear mixing strategies. Energy 2017, 141, 1416–1428. [Google Scholar] [CrossRef]
- Liu, D.W.; Du, Y.C.; Wang, F.Y.; Wang, Y.H.; Cui, L.R.; Zhao, H.H.; Han, X.J. MOFs-derived multi-chamber carbon microspheres with enhanced microwave absorption. Carbon 2020, 157, 478–485. [Google Scholar] [CrossRef]
- Yuan, X.Y.; Xue, X.K.; Ma, H.L.; Guo, S.W.; Cheng, L.F. Preparation of nitrogen and sulfur co-doped ordered mesoporous carbon for enhanced microwave absorption performance. Nanotechnology 2017, 28, 375705. [Google Scholar] [CrossRef] [PubMed]
- Hsieh, Y.Y.; Huang, C.Z.; Tsai, Y.C.; Lin, H.P.; Hsu, C.H.; Loganathan, A. Enhanced thermal stability in SiO2/carbon filler derived from rice husk via microwave treatment for electronic packaging Application. J. Chin. Chem. Soc. 2017, 64, 1035–1040. [Google Scholar] [CrossRef]
- Liu, G.W.; Chen, T.Y.; Chun, C.H.; Lin, H.P.; Hsu, C.H. Hierarchical micro/mesoporous carbons synthesized with a ZnO template and petroleum pitch via a solvent-free process for a high-performance supercapacitor. ACS Omega 2017, 2, 2106–2113. [Google Scholar] [CrossRef] [Green Version]
- Wang, C.W.; Liu, K.W.; Chen, W.F.; Zhou, J.D.; Lin, H.P.; Hsu, C.H.; Kuo, P.L. Mesoporous SiO2/carbon hollow spheres applied towards a high rate-performance Li-battery anode. Inorg. Chem. Front. 2016, 3, 1398–1405. [Google Scholar] [CrossRef]
- Okuda, H.; Young, R.J.; Wolverson, D.; Tanaka, F.; Yamamoto, G.; Okabe, T. Investigating nanostructures in carbon fibres using Raman spectroscopy. Carbon 2018, 130, 178–184. [Google Scholar] [CrossRef]
- Chernyak, S.A.; Ivanov, A.S.; Maslakov, K.I.; Egorov, A.V.; Shen, Z.; Savilov, S.S.; Lunin, V.V. Oxidation, defunctionalization and catalyst life cycle of carbon nanotubes: A Raman spectroscopy view. Phys. Chem. Chem. Phys. 2017, 19, 2276–2285. [Google Scholar] [CrossRef] [PubMed]







| ZnO/Oil Ratio | BET Surface Area/m2g−1 | Micropore Surface Area/m2g−1 | Mesopore Surface Area/m2g−1 | Carbon Yield/% |
|---|---|---|---|---|
| 2 | 1280 | 149 | 1131 | 29 |
| 3 | 1447 | 191 | 1256 | 24 |
| 4 | 1670 | 238 | 1432 | 18 |
| 5 | 1770 | 91 | 1678 | 13 |
| Condition | Surface Area/m2g−1 | Pore Volume/cm3g−1 | Sulfur Contain/% * |
|---|---|---|---|
| Raw MPC | 1447 | 1.86 | - |
| 100 W * 60 s | 32.5 | 0.13 | 80% |
| 200 W * 60 s | 41.9 | 0.26 | 73% |
| 300 W * 60 s | 42.7 | 0.39 | 70% |
Publisher’s Note: MDPI stays neutral with regard to jurisdictional claims in published maps and institutional affiliations. |
© 2021 by the authors. Licensee MDPI, Basel, Switzerland. This article is an open access article distributed under the terms and conditions of the Creative Commons Attribution (CC BY) license (https://creativecommons.org/licenses/by/4.0/).
Share and Cite
Hsu, C.-H.; Chung, C.-H.; Hsieh, T.-H.; Lin, H.-P. Green and Highly-Efficient Microwave Synthesis Route for Sulfur/Carbon Composite for Li-S Battery. Int. J. Mol. Sci. 2022, 23, 39. https://doi.org/10.3390/ijms23010039
Hsu C-H, Chung C-H, Hsieh T-H, Lin H-P. Green and Highly-Efficient Microwave Synthesis Route for Sulfur/Carbon Composite for Li-S Battery. International Journal of Molecular Sciences. 2022; 23(1):39. https://doi.org/10.3390/ijms23010039
Chicago/Turabian StyleHsu, Chun-Han, Cheng-Han Chung, Tzu-Hsien Hsieh, and Hong-Ping Lin. 2022. "Green and Highly-Efficient Microwave Synthesis Route for Sulfur/Carbon Composite for Li-S Battery" International Journal of Molecular Sciences 23, no. 1: 39. https://doi.org/10.3390/ijms23010039
APA StyleHsu, C.-H., Chung, C.-H., Hsieh, T.-H., & Lin, H.-P. (2022). Green and Highly-Efficient Microwave Synthesis Route for Sulfur/Carbon Composite for Li-S Battery. International Journal of Molecular Sciences, 23(1), 39. https://doi.org/10.3390/ijms23010039

