Abstract
The theory of orientation polarization and dielectric relaxation was developed by P. Debye more than 100 years ago. It is based on approximating a molecule by a sphere having one or more dipole moments. By that the detailed intra- and intermolecular interactions are explicitly not taken into consideration. In this article, the principal limitations of the Debye approximation are discussed. Taking advantage of the molecular specificity of the infrared (IR) spectral range, measurements of the specific IR absorption of the stretching vibration υ(OH) (at 3370 cm−1) and the asymmetric υas(CH2) (at 2862.9 cm−1) are performed in dependence on the frequency and the strength of external electric fields and at varying temperature. The observed effects are interpreted as caused by orientation polarization of the OH and the adjacent CH2 moieties.
1. Introduction
In referring to Einstein’s theory of Brownian motion [1], Debye developed the theory of orientation polarization [2,3,4] more than 100 years ago. It is based on approximating a molecule by a sphere having one or more dipole moments. In this approach, an atomistic understanding of the intra- and inter-molecular interactions is explicitly not considered. However, this can be only a rough approximation. If one considers, for instance, the widely studied glass-forming liquid glycerol as a model (Figure 1), one has to realize that it contains multiple intramolecular dipoles caused by partial charges of its atoms; furthermore, the intramolecular force-field parameters [5] vary widely from ~0.2 kcal mol−1 for torsional-type vibrations to ~300 kcal mol−1Å−2 for stretching potentials having additional temperature dependences, which are not known in detail.
Figure 1.
IR-active vibrations being involved in intra- and/or intermolecular interactions. The atomic charges (in electronic units) of the labeled atoms are according to [5]: O1: −0.581, O2: −0.585, O3: −0.585, C1: 0.182, C2: 0.055, C3: 0.182, H1: 0.026, H2: 0.026, H3: 0.04, H4: 0.026, H5: 0.396, H6: 0.396, and H7: 0.396. The calorimetric glass transition temperature Tg of glycerol is 185 K.
A recent IR-based study [6] on a homologous series of polyalcohols, including glycerol, was conducted in a wide range of temperatures from far above to far below the calorimetric glass transition Tg. Thus, the potentials and hence the bond lengths of specific intramolecular and intermolecular interactions were determined. While the former has an expansion coefficient of (~0.1 pm/100 K) with only smooth changes, the latter shows a 30–40 times stronger response with pronounced kinks at Tg. It is to be expected that such heterogeneities on intramolecular and intermolecular scales are a general phenomenon in liquids and glassy systems.
Nowadays, modern experimental measurement techniques [7] are enabled to determine the fluctuations of polar molecules in a broad frequency range spanning typically more than 12 decades at widely varying temperatures. Thus, it became possible to study, for instance, the scaling of relaxation processes [8] in great detail. In comparing dielectric measurements performed along isobars and/or isotherms, the measured spectra is shown to collapse into each other if displayed as a function of a single variable, that is, a product of the inverse temperature and the density power with a material specific scaling exponent [9]. However, several examples [9,10,11,12] exist demonstrating that this scaling is only a rough approximation. In all these studies, only the mean relaxation rate is considered while the temperature-dependence of the relaxation time distribution function is neglected.
2. Theory of Operation for IR-Based Orientation Polarization Spectroscopy
The infrared spectral range is known to have a “fingerprint” character for the intra- and intermolecular bonds of a molecule under study. Glycerol, for instance, has characteristic vibrations (Figure 2) representing the stretching of the (CO), the (OH), the (CH), and the (CCO) and the bending of the OH moieties. Applying external frequency dependent electric fields to a sample at widely varying temperatures and determining the field-induced IR-dichroism of specific absorption bands enables one to measure the orientation polarization of the respective molecular units separately.
Figure 2.
Characteristic IR-absorption bands [13] of glycerol, stretching vibration υ(OH), symmetric υs(CH2) and asymmetric stretching vibration υas(CH2), bending vibrations δ(OH) and δ(COH), and wagging vibration ω(CH2) and stretching vibrations υ(CCO), υ(CO), and υ(COH).
An external electric field ext tries to orient a dipole against the thermal fluctuations of the molecular system as a whole [14]. The counterbalance between both results in an ensemble-averaged orientation polarization given by the Langevin equation
where kB is Boltzmann´s constant, θ is the angle between ext, T is the absolute temperature, and x = ext/kB T. In this approximation, the assumption is made that the different dipolar units fluctuate independently from each other. For the resulting orientation polarization, or holds
where n is the number density of dipoles ε* is the complex dielectric function, and εo is the permittivity of free space. If the dielectric function is determined by a single dielectric relaxation process having a relaxation time τ, then ε* follows according to Debye theory of orientation polarization as
where ω is the frequency of the external electric field ext(ω); τ is a characteristic relaxation time, and εs and ε∞ are the values of the real part ε’ for ωτ << 1 and ωτ >> 1, respectively.
ε* = ε′ − iε″ = ε∞ + (εs − ε∞)/(1 + iωτ)
For a molecule, having a dipole-moment and a transition moment in the quantum mechanical dipole approximation [15] the absorption A is proportional to
where and are the wave functions of the initial and exited states. Assuming that these are not seriously changed by the application of an external frequency dependent electric field ext (ω), it is expected that the orientation polarization of polar moieties is also reflected in the square of the transition moment, which is proportional to the respective IR absorption (Figure 3). If the change in the absorption is caused solely by orientation polarization,
becomes frequency and temperature dependent. For isotropic systems, is the same for positive and negative electric fields, and hence, it is evident in the second harmonic with respect to the frequency of the external electric field ext(). It is measured as modulation on a high absolute level of absorption in contrast to dielectric spectroscopy where one measures against zero. This means that phase sensitive detection is essentially required.
Figure 3.
(a) Scheme of the sample cell: is the E-vector of the IR-light and (ext) is the external electric field applied to the sample; (b) orientation polarization as measured by dielectric and IR spectroscopy in the second harmonic of the modulated absorption.
In order to estimate roughly the expected effects in absorption of a special IR-band, a molecule is assumed to have a dipole moment of 1 Debye; for a field strength of 105 V/cm, one finds for the interaction energy between the external electric field, and the dipole a value of ext~ 2 × 10−22 J. At a temperature of T = 300 K, the thermal energy kBT has a value of ~5 × 10−21 J, and hence x~ ext / kB T~0.05. According to the Langevin Equation (1) for the induced averaged polar orientation, a value of ~0.017, and hence ΔA~0.0003 is obtained, which is small but well measurable with phase sensitive detection.
3. Experimental Section
The glycerol sample (purity 99%), having vapor pressure of <1 mm Hg (20 °C), refractive index of 1.47, and boiling point of 182 °C, was obtained from Sigma Aldrich and used as received. The sample was placed between CaF2 windows with evaporated mesh electrodes (Figure 4a–c). As spacer, a poly(ethylene terephthalate) (PET) foil of ~3 μm thickness was used.
Figure 4.
(a) Hexagonal evaporated mesh structure evaporated on an IR-transparent CaF2 substrate. (b) Scheme of the mesh electrodes in crossed arrangement; the evaporated electrodes are face to face with a separation of a few µm with the sample material in between. (c) Microscope image of the mesh structure with mesh size of 25 µm. (d) Scheme of the experimental setup; the quantum cascade laser diode emits a parallel beam (waist ~3 mm) of IR light transmitted through the sample cell and measured with a solid-state detector. Electric fields are applied to the sample by use of a function generator and a high-voltage amplifier. The second harmonic of the signal is analyzed by phase sensitive detection with a lock-in amplifier. The whole setup is fully computer-controlled.
In order to realize the suggested experiments, the following experimental requirements have to be fulfilled: (i) the sample cell as a whole has to have an IR-transmission at least in the percent range; (ii) it must be possible to apply high-external electric fields (105 V/cm–106 V/cm) in a wide frequency (1–100 kHz); and (iii) it must be possible to apply temperature (100–400 K) range. To combine these features is not trivial. Evaporated nm thin metal electrodes as often used in Stark-effect studies [16,17,18,19,20] have a strong temperature dependence of the resistivity, thus excluding measurements at widely varying temperatures. This holds as well for semitransparent electrodes like ZnO etc.
A possibility to overcome the above outlined problems turned out to be hexagonal gold meshes (inner width of one mesh 26 µm, web width 8 µm, and thickness ~200 nm) electrodes (Figure 4a), which are evaporated on an IR-transparent CaF2 substrate (thickness 1 mm). For electrical insulation, the area with the mesh electrodes was covered by a ~150 nm protecting SiO2-layer deposited by chemical vapor deposition (CVD). The IR transmission of a single CaF2 window with evaporated mesh electrodes was ~40% at a wavelength of 2966.8 nm (3370.6 cm−1). In order to apply high external electric fields, the mesh electrodes were mounted in crossed orientation face to face (Figure 4b). A microscope image of two hexagonal electrodes is shown in (Figure 4c).
As radiation source quantum cascade laser diodes (S/N 2187/07-05, S/N 2186/07-27, Nanoplus, Germany) were employed emitting IR light either at a wavelength of 2966.8 nm (3370.6 cm−1) or 3493 nm (2862.9 cm−1); it was well directed with a beam waist of ~3 mm. The custom-made sample cell enabled temperature control in the range between 150–400K, with an accuracy of +/−0.2 K; external electric fields were provided by a function generator (Hewlett Packard 3312A) and a high-voltage amplifier (Pendulum A440D, maximum voltage +/−200 V (peak-peak) at frequencies between 1 Hz and 500 kHz) and applied to the sample by using the above-described hexagonal electrodes. As IR detector, a solid-state sensor (PDAV J5 Thorlabs) was used with buffer preamplifier. The signal was analyzed by a lock-in amplifier (SAR 550). The whole set up was fully computer controlled based on custom made LabVIEW software (Figure 4d).
4. Results and Discussion
Measuring with a Fourier transform spectrometer (Biorad FTS 6000), the IR absorption of glycerol at temperatures between 253 K and 353 K shows characteristic changes in the spectra, which are analyzed in detail in [6]. Comparing spectra measured with and without an external electric field of ~0.4 MV/cm and calculating the difference spectra delivers minute effects close to the noise level (inset in Figure 5).
Figure 5.
Characteristic IR-absorption bands of glycerol as measured with a Fourier-IR spectrometer at varying temperatures as indicated. The wavenumber of the quantum cascade laser diodes used in this study are marked. As spacer, a poly(ethylene terephthalate) (PET) foil of ~3 µm thickness was used; this results is for an applied voltage of +/−120 V in an electric field strength ~+/−0.4 MV/cm. The inset shows the difference IR spectrum between a sample measured with and without external electric field at 333 K.
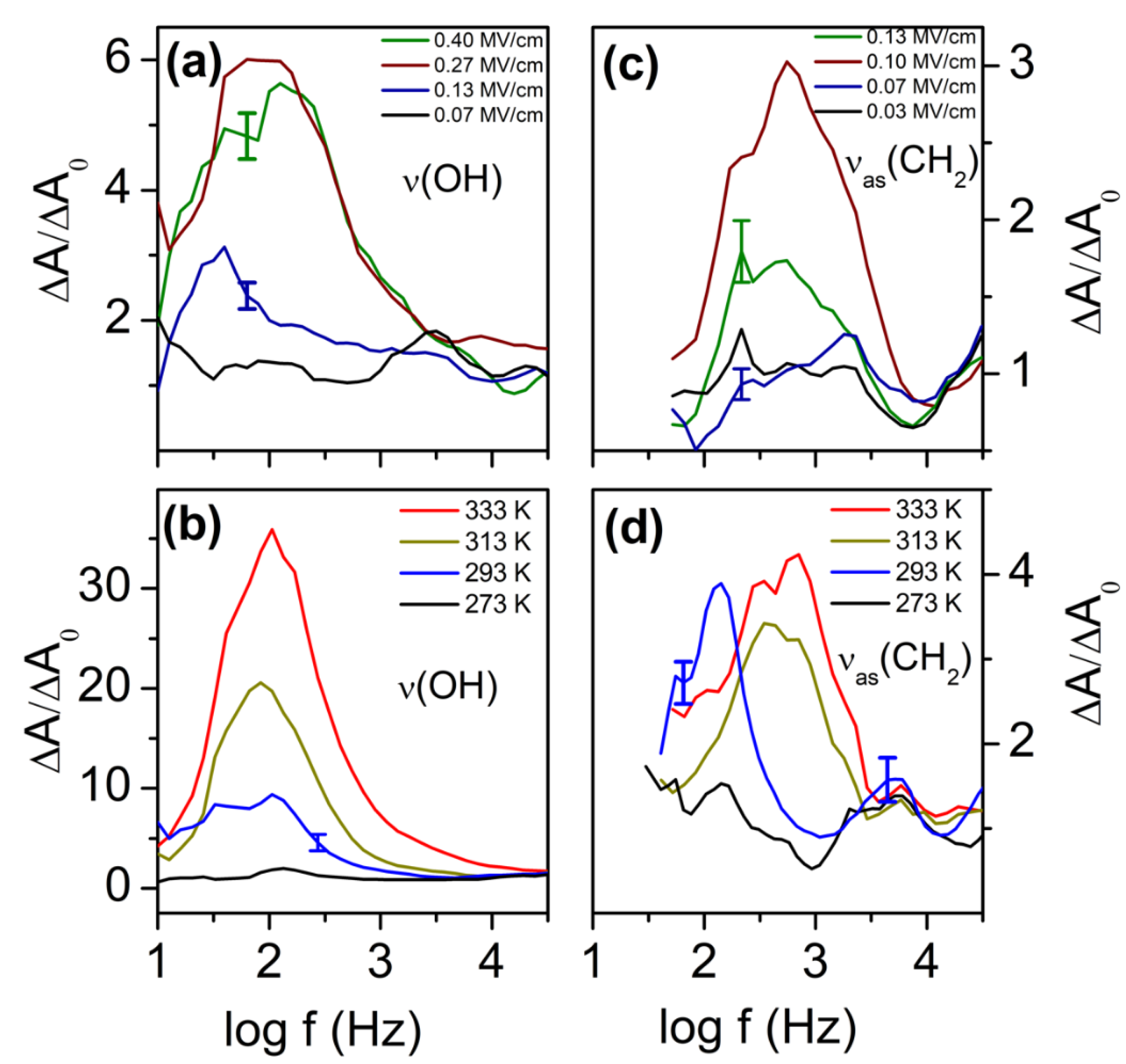
The orientation polarization of the OH and the CH2 moiety is measured with the setup described in Figure 4. The modulation of the absorption is small but well measurable with phase sensitive detection (Figure 6). The noise level of the absorption without external field is typically 10−6; it also has a frequency but no temperature dependence. By averaging over seven data points, curves typically are obtained having characteristic uncertainty bars. By calculating the ratio the orientation polarization spectra are obtained. Their frequency dependence for the OH and the CH2 units is shown in Figure 7a,c for varying strengths of the external electric field ext. The temperature dependence is shown in Figure 7b,d. The effect for the CH2 moiety is weaker than for the OH unit; this is caused by the much smaller dipole moment of the latter. The reorientation of this unit is presumably also influenced by a coupling to the adjacent OH group. With decreasing temperature H-bonds are formed, which hinder the fluctuation of both the OH and the adjacent CH2 moieties (Figure 8). The observed orientation polarization of the OH and CH2 moieties is much faster than the relaxation rate of the dielectrically measured orientation polarization. This reflects the fact that, in the latter, the relaxation of the molecule as a whole is measured while in the former, the orientation polarization of two molecular subunits OH and CH2 is monitored.
Figure 6.
Example of the data analysis. The modulated signal (second harmonic) measured with the lock-in amplifier is displayed in dependence of the frequency of the external electric field. As spacer, a PET foil of ~3 µm thickness was used. This results for an applied voltage of +/−120 V in an electric field strength ~+/−0.4 MV/cm with a large uncertainty because the absolute sample thickness cannot be measured with sub-µm accuracy. The data are averaged, and for the resulting curve (solid lines), uncertainty bars are indicated. By division, the orientation polarization spectra are obtained as shown in Figure 7.
Figure 7.
(a) Orientation polarization spectra of the OH and CH2 moieties as measured by the lock-in amplifier (in the second harmonic) at the wavelengths of 2966.8 nm (3370.6 cm−1) and 3493 nm (2862.9 cm−1): (a,c) show the field strength; (b,d) show the observed temperature dependencies. As spacer, a PET foil of ~3 µm thickness was used. The result is an applied voltage of +/−120 V in an electric field strength ~+/−0.4 MV/cm with a large uncertainty because the absolute sample thickness cannot be measured with sub-µm precision. Within one figure, the sample thickness is assumed to remain nearly constant as confirmed by measurements of the IR-transmission.
Figure 8.
Scheme interpreting the observed specific orientation polarization for the O-H and CH2 moieties. The former has a dipole moment of 2.67 Debye; at temperatures > 283 K the O-H…O bonds are open, and the O-H dipole is subject to orientation polarization. With decreasing temperature, H-bonds are formed counteracting orientation fluctuations. The CH2 unit is nearly nonpolar, but due to the immediate neighborhood of the polar O-H moiety, it is coupled to its orientation fluctuations. With increasing H-bond, formation dies out as well.
5. Perspectives
A severe limitation of the present study is the restriction by only two IR-wavelengths. However, IR-laser systems tunable in the entire “fingerprint region” are recently available, albeit still expensive. Using the methodology presented in this study, combined with those novel IR-sources, will enable one to unravel the orientation polarization of the different moieties of a molecular system and their mutual interactions, including nonpolar groups. Furthermore, by measuring in a wide temperature range the atomistic potentials determining the specific orientation, polarization can be determined. In summary, orientation polarization spectroscopy is the consequent development to unravel dielectric relaxation processes on atomistic scale.
Author Contributions
Conceptualization, F.K.; methodology, F.K.; software, M.F.; validation, F.K., W.K.K. and M.F.; formal analysis, F.K. and W.K.K.; investigation, F.K. and W.K.K.; resources, F.K.; data curation, F.K. and W.K.K.; writing—original draft preparation, F.K.; All authors have read and agreed to the published version of the manuscript.
Funding
This work was funded by the Deutsche Forschungsgemeinschaft (DFG, German Research Foundation) Project-ID 231201414 TRR 102, project B08 (F.K.).
Institutional Review Board Statement
Not applicable.
Informed Consent Statement
Not applicable.
Data Availability Statement
The data presented in this article are available from the corresponding author on request.
Acknowledgments
Technical support of J. Reinmuth is highly appreciated.
Conflicts of Interest
The authors declare no conflict of interest.
References
- Einstein, A. Zur Theorie Der Brownschen Bewegung. Ann. Der Phys. 1906, 324, 371–381. [Google Scholar] [CrossRef] [Green Version]
- Debye, P. Einige Resultate Einer Kinetischen Theorie Der Isolatoren. Phys. Z 1912, 13, 97. [Google Scholar]
- Debye, P. Zur Theorie Der Anomalen Dispersion im Gebiete der langwelligen elektrischen Strahlung. Verhandl. Deut. Phys. Ges. 1913, 15, 777. [Google Scholar]
- Debye, P.J.W. Polare Molekeln (Polar Molecules); Verlag von S. Hirzel: Leipzig, Germany, 1929. [Google Scholar]
- Chelli, R.; Procacci, P.; Cardini, G.; Valle, R.G.D.; Califano, S. Glycerol Condensed Phases Part I. A Molecular Dynamics Study. Phys. Chem. Chem. Phys. 1999, 1, 871–877. [Google Scholar] [CrossRef]
- Gabriel, J.P.; Tress, M.; Kossack, W.; Popp, L.; Kremer, F. Molecular Heterogeneities in the Thermal Expansivity of Polyalcohols. J. Chem. Phys. 2021, 154, 024503. [Google Scholar] [CrossRef] [PubMed]
- Schönhals, A.; Kremer, F. Broadband Dielectric Measurement Techniques (10−6 Hz to 1012 Hz). In Broadband Dielectric Spectroscopy; Kremer, F., Schönhals, A., Eds.; Springer: Heidelberg, Germany, 2003; pp. 35–57. ISBN 978-3-642-56120-7. [Google Scholar]
- Kremer, F.; Loidl, A. The Scaling of Relaxation Processes—Revisited. In The Scaling of Relaxation Processes; Kremer, F., Loidl, A., Eds.; Advances in Dielectrics; Springer International Publishing: Cham, Switzerland, 2018; pp. 1–21. ISBN 978-3-319-72706-6. [Google Scholar]
- Grzybowski, A.; Paluch, M. Universality of Density Scaling. In The Scaling of Relaxation Processes; Kremer, F., Loidl, A., Eds.; Advances in Dielectrics; Springer International Publishing: Cham, Switzerland, 2018; pp. 77–119. ISBN 978-3-319-72706-6. [Google Scholar]
- Win, K.Z.; Menon, N. Glass Transition of Glycerol in the Volume-Temperature Plane. Phys. Rev. E 2006, 73, 040501. [Google Scholar] [CrossRef] [PubMed] [Green Version]
- Grzybowski, A.; Grzybowska, K.; Zioło, J.; Paluch, M. Correlations between Isobaric and Isochoric Fragilities and Thermodynamical Scaling Exponent for Glass-Forming Liquids. Phys. Rev. E 2006, 74, 041503. [Google Scholar] [CrossRef] [PubMed]
- Pawlus, S.; Grzybowski, A.; Kołodziej, S.; Wikarek, M.; Dzida, M.; Góralski, P.; Bair, S.; Paluch, M. Density Scaling Based Detection of Thermodynamic Regions of Complex Intermolecular Interactions Characterizing Supramolecular Structures. Sci. Rep. 2020, 10, 9316. [Google Scholar] [CrossRef] [PubMed]
- Salehpour, S.; Dubé, M.A. Reaction Monitoring of Glycerol Step-Growth Polymerization Using ATR-FTIR Spectroscopy. Macromol. React. Eng. 2012, 6, 85–92. [Google Scholar] [CrossRef]
- Schönhals, A.; Kremer, F. Theory of Dielectric Relaxation. In Broadband Dielectric Spectroscopy; Kremer, F., Schönhals, A., Eds.; Springer: Heidelberg, Germany, 2003; pp. 1–33. ISBN 978-3-642-56120-7. [Google Scholar]
- Haken, H.; Christoph Wolf, H. The Quantum-Mechanical Treatment of Rotational and Vibrational Spectra. In Molecular Physics and Elements of Quantum Chemistry: Introduction to Experiments and Theory; Haken, H., Christoph Wolf, H., Eds.; Advanced Texts in Physics; Springer: Heidelberg, Germany, 1995; pp. 171–197. ISBN 978-3-662-03075-2. [Google Scholar]
- Shigeto, S.; Hiramatsu, H.; Hamaguchi, H. Structure and Dipole Moments of the Two Distinct Solvated Forms of P-Nitroaniline in Acetonitrile/CCl4 As Studied by Infrared Electroabsorption Spectroscopy. J. Phys. Chem. A 2006, 110, 3738–3743. [Google Scholar] [CrossRef] [PubMed]
- Wang, W.-C.; Shigeto, S. Infrared Electroabsorption Spectroscopy of N,N-Dimethyl-p-Nitroaniline in Acetonitrile/C2Cl4: Solvation of the Solute and Self-Association of Acetonitrile. J. Phys. Chem. A 2011, 115, 4448–4456. [Google Scholar] [CrossRef] [PubMed]
- Takashima, K.; Furukawa, Y. Vibrational Stark Effect of 9-Cyanoanthracene Dispersed in a Poly(Methyl Methacrylate) Film. Chem. Phys. Lett. 2015, 633, 252–255. [Google Scholar] [CrossRef]
- Schneider, S.H.; Boxer, S.G. Vibrational Stark Effects of Carbonyl Probes Applied to Reinterpret IR and Raman Data for Enzyme Inhibitors in Terms of Electric Fields at the Active Site. J. Phys. Chem. B 2016, 120, 9672–9684. [Google Scholar] [CrossRef] [PubMed]
- Nguyen, H.H.; Loukianov, A.D.; Ogilvie, J.P.; Abramavicius, D. Two-Dimensional Electronic Stark Spectroscopy of a Photosynthetic Dimer. J. Chem. Phys. 2020, 153, 144203. [Google Scholar] [CrossRef] [PubMed]
Publisher’s Note: MDPI stays neutral with regard to jurisdictional claims in published maps and institutional affiliations. |
© 2022 by the authors. Licensee MDPI, Basel, Switzerland. This article is an open access article distributed under the terms and conditions of the Creative Commons Attribution (CC BY) license (https://creativecommons.org/licenses/by/4.0/).







