Abstract
Exogenous Gln as a single N source has been shown to exert similar roles to the inorganic N in poplar ‘Nanlin895′ in terms of growth performance, yet the underlying molecular mechanism remains unclear. Herein, transcriptome analyses of both shoots (L) and roots (R) of poplar ‘Nanlin895’ fertilized with Gln (G) or the inorganic N (control, C) were performed. Compared with the control, 3109 differentially expressed genes (DEGs) and 5071 DEGs were detected in the GL and GR libraries, respectively. In the shoots, Gln treatment resulted in downregulation of a large number of ribosomal genes but significant induction of many starch and sucrose metabolism genes, demonstrating that poplars tend to distribute more energy to sugar metabolism rather than ribosome biosynthesis when fertilized with Gln-N. By contrast, in the roots, most of the DEGs were annotated to carbon metabolism, glycolysis/gluconeogenesis and phenylpropanoid biosynthesis, suggesting that apart from N metabolism, exogenous Gln has an important role in regulating the redistribution of carbon resources and secondary metabolites. Therefore, it can be proposed that the promotion impact of Gln on poplar growth and photosynthesis may result from the improvement of both carbon and N allocation, accompanied by an efficient energy switch for growth and stress responses.
1. Introduction
Plant growth is determined by different kinds of environmental factors, such as water and nutrients [1]. Among nutrients, nitrogen (N) is one of the main elements limiting plant growth and development. N participates in many important metabolic processes of substances, therefore greatly influencing plant biomass accumulation and stress defenses [2,3]. In general, an inadequate supply of N often results in growth retardant, yield loss and inefficient water use efficiency [4], while adequate N positively affects plant physiology and biomass production in various crops [5,6]. Poplar, a fast-growing woody plant with high production and substantial carbon allocation to stem, is one of China’s main afforestation tree species. Its growth is mainly dependent on N [7,8]. Previous transcriptome analysis reveals that the regulatory effect of N fertilizer on poplar growth and development predominantly takes place at the transcriptional level, as apparent differences between gene expression patterns in response to adequate and surfeit inorganic N in poplar have been documented [9,10]. Overall, an increased N supply induces the expression level of organic amino acids metabolism-related genes, such as gluco-6-phosphate dehydrogenase, phosphoenolpyruvate carboxylase, phosphoenolpyruvate carboxykinase, alanine aminotransferase and NADP-malic enzyme, as a result of an increase demand for N assimilation and amino acids synthesis, and more carbon flowing to the synthesis of organic acids [9]. In addition, promoted expression of hexokinase and sucrose synthase was observed in poplar supplemented with high N, indicating that sucrose metabolism plays a vital role in carbohydrates production and sugar delivery from photosynthetic source organs to other tissues under high N conditions [9,10].
Although NO3− and NH4+ have long been considered the primary N sources absorbed by higher plants [11], organic N in the form of amino acids represents an important proportion of exchangeable and soluble N pools in agricultural soils [12]. They have been demonstrated to be preferentially accessed by plants under certain conditions (such as limitation of inorganic N) [13,14]; meanwhile, a growing number of amino acid transporters have been identified in plants. These findings indicate that plants might take up and utilize amino acids’ form of N in a larger quantity and more prevalently than has been estimated [15,16,17].
Amino acids are components of proteins participating in many metabolic processes of organisms and play an essential role in plant nutrition [18]. Compared with the conventional inorganic N fertilizer, amino acids’ form of N have many advantages, for instance, maintenance of pH homeostasis in both plants and soil, since neither overproduction of proton nor overuse of proton occurred when amino acids were taken up as the dominant N source [19,20]. In addition, amino acids have great abilities to chelate metals [20] and to improve the quality, biomass [21,22] and N use efficiency of plants [23].
Glutamine (Gln), a proteinogenic amino acid that can be used as an N transporter and NH4+ carrier, participates in various molecular synthesis pathways, providing a source of energy, carbon and N skeleton to maintain biomass accumulation and cell homeostasis in living organisms [24,25]. Gln plays fundamental roles in different basic biological processes, including chlorophyll synthesis and TCA metabolism in plants [26]. For example, Gln with an optimal concentration increases chlorophyll content, promotes rice growth [27] and stimulates the vegetative growth of onion by retarding the destruction of chlorophyll or increasing the biosynthesis of chlorophyll and/or stabilizing the thylakoid membrane [28]. Additionally, the exogenous application of Gln increased plant height, leaf area and leaf SPAD value of basil plants, which has been supposed to be a consequence of the optimization of meristematic cells functions that enhance cell division and enlargement [29,30]. In addition, Gln has been considered an indispensable compound to maintain cell integrity and function in the biosynthetic pathway of nucleotides, amino sugars and nicotinamide adenine dinucleotide phosphate (NADPH) [24,31].
Our previous study using Gln as a sole N source to explore the biological effects of Gln on poplar ‘Nanlin895’ has demonstrated that Gln (0.5 mM) positively impacts poplar physiological parameters and phenotype. Exogenous application of Gln significantly improved the biomass production, photosynthetic rate and N use efficiency (NUE) of poplar compared with the N-free treatment, and it even displays a resemblance growth effect to the inorganic N (i.e., NO3− plus NH4+) control [25]. Although these research works have demonstrated that Gln-based N significantly affects plant growth and development, the molecular mechanism by which such responses emerge has not been satisfactorily clarified. In this study, the transcriptional profiling of poplars fertilized with 0.5 mM Gln (G) and 2 mM inorganic N (control, C) was implemented, and the Gene Ontology (GO) and Kyoto Encyclopedia of Genes and Genomes (KEGG) functional annotations were used to analyze the biological pathways. In addition, quantitative real-time polymerase chain reaction (qRT-PCR) was implemented to validate the reliability of the transcriptome data.
2. Results
2.1. Transcriptome Data Analysis and Quality Evaluation of the cDNA Libraries
To investigate the molecular regulation mechanism of exogenous Gln on poplar growth, RNA-Seq was performed on the shoots (L) and roots (R) (three biological replicates in each group) of the inorganic N (control, C) and 0.5 mM Gln (G) fertilized poplar ‘Nanlin895’, respectively. In total, both CL and GL generated 44 million raw reads, while both CR and GR generated 43 million raw reads. After removing low-quality reads and adaptors, a total of 43 million and 41 million clean reads were generated from both control (CL and CR) and the Gln (GL and GR) libraries, respectively (Table 1). In all samples, the Q30 value was over 93%, and the guanine and cytosine content was above 43%. Over 87% of clean reads in the CL and GL could be aligned to the genome of Populus trichocarpa, of which 85% reads could only be uniquely aligned to one location on the genome. By contrast, over 85% and 74% of clean reads in the CR and GR could be aligned to the genome, of which 83% and 72% of reads could only be uniquely aligned to one location on the genome, respectively (Table 1). To confirm the reliability and rationality of the experiment, we calculated the Pearson’s correlation coefficient for all gene expression levels between each sample and displayed these coefficients in the form of a correlation matrix map (Figure 1a). In addition, the principal component analysis (PCA) was used to compare all of the samples (Figure 1b), from which a high similarity was found in the biological replicates. The above results revealed that the RNA-Seq data of these four cDNA libraries were accurate and reliable and could be used for subsequent analysis.
Table 1.
Statistics analysis of sequencing data.
Figure 1.
Pearson’s correlation and principal component analysis (PCA). (a) Heatmap of correlation matrix showed the correlation coefficient between samples; (b) PCA was performed on the biological replicates of each sample set. CL, CR, GL and GR represent the shoots and roots samples of the inorganic N control and the Gln treatment, respectively.
2.2. DEGs Obtained under Gln Treatment
The differentially expressed genes (DEGs) were measured based on the RNA-Seq reads abundance and were normalized to fragments per kilobase length per million reads (FPKM). A total of 3129 (including 1234 upregulated genes and 1895 downregulated genes) and 5071 (including 2824 upregulated genes and 2247 downregulated genes) DEGs among GL vs. CL and GR vs. CR (Figure 2a) were detected, respectively. A Venn diagram shows the number of identified DEGs, in which 910 DEGs overlap between the GL vs. CL and GR vs. CR (Figure 2b).
Figure 2.
Differentially expressed genes (DEGs) in the shoots (L) and roots (R) of poplars fertilized with Gln (G) or the inorganic N (C). (a) The up- and downregulated DEGs by the pairwise comparison of GL vs. CL and GR vs. CR; (b) the Venn analysis of DEGs.
2.3. DEGs Classification and GO Functional Annotation
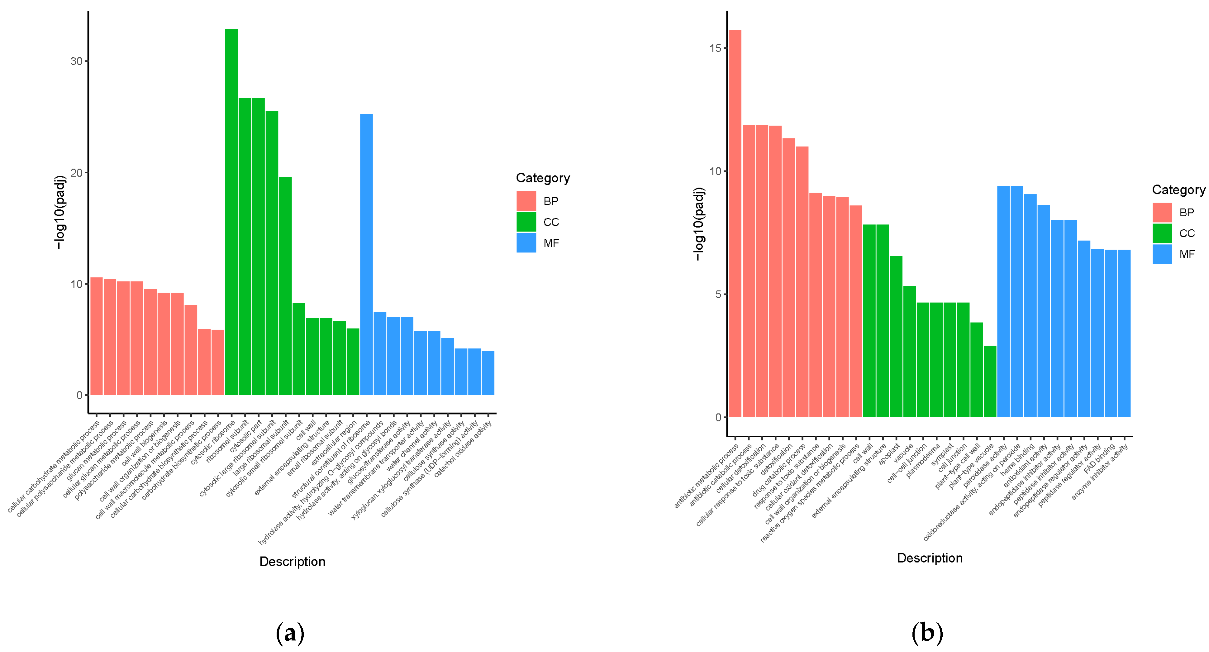
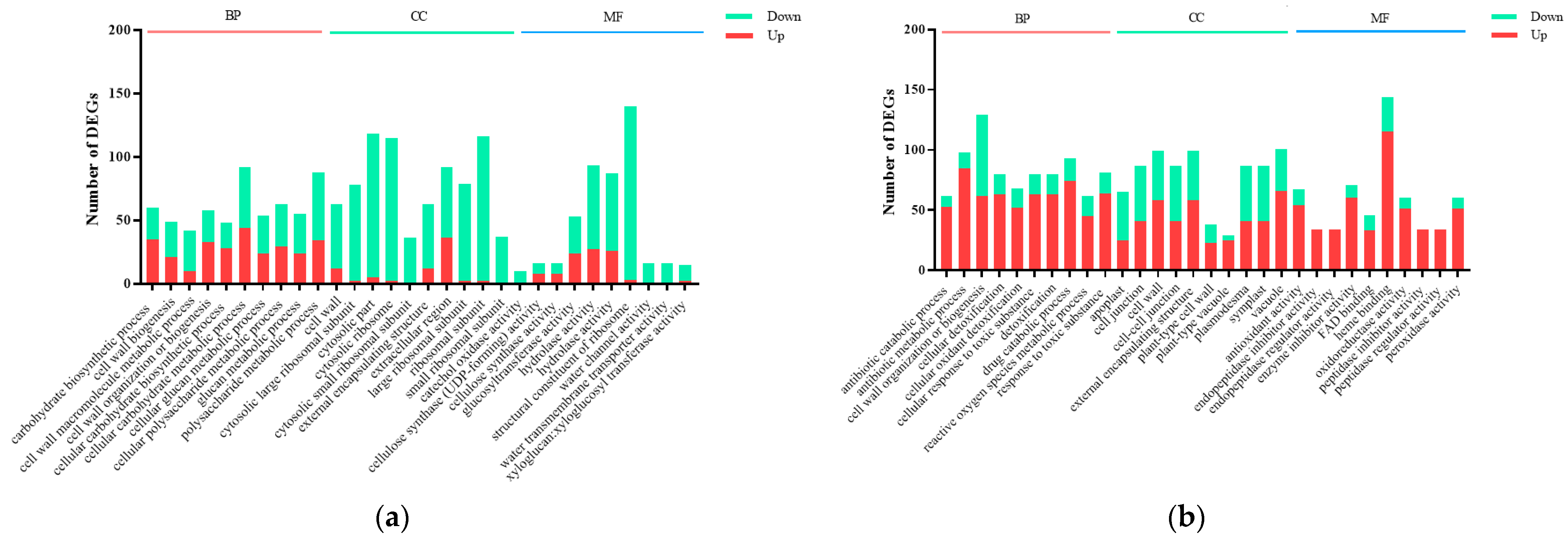
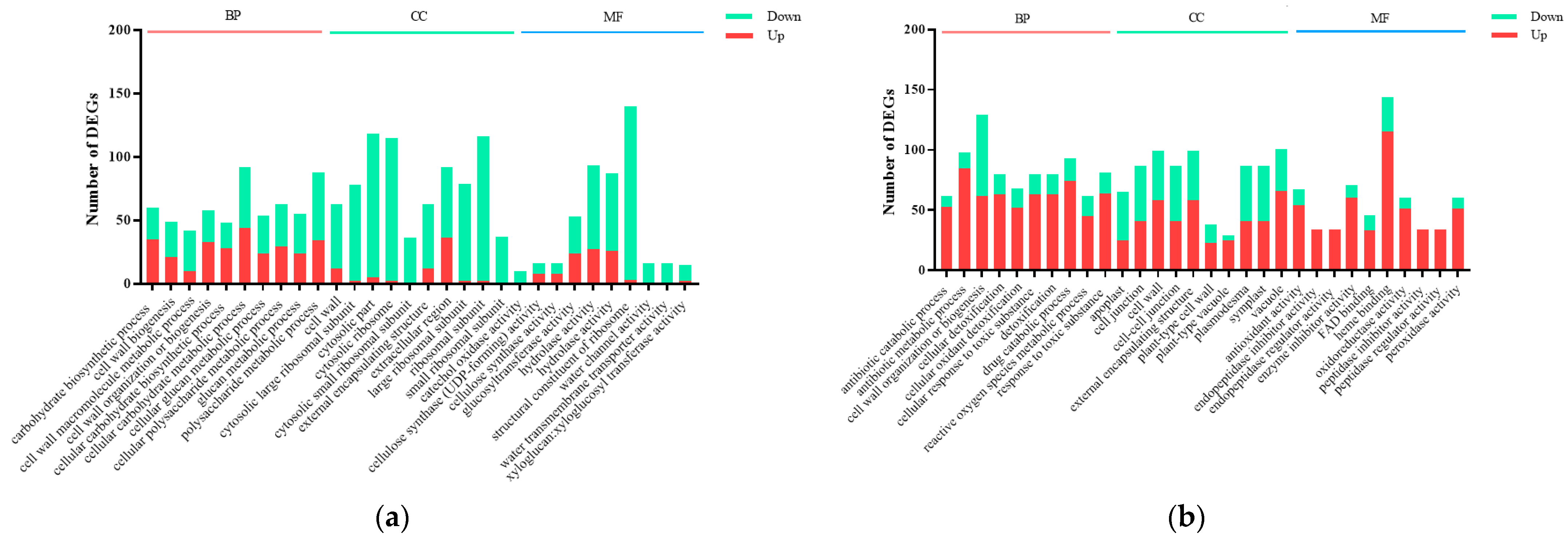
To investigate the potential biological functions of the DEGs between the GL vs. CL and GR vs. CR, we performed Gene Ontology (GO) analysis. The GO terms were divided into three major functional categories: biological process (BP), cellular component (CC) and molecular function (MF). Among all of the GO terms, the first 10 items in each functional category demonstrated that the most significant enrichments were presented (Figure 3). Regarding GL vs. CL, DEGs were mainly categorized into cellular carbohydrate metabolic process (GO:0044262), cytosolic ribosome (GO:0022626) and structural constituent of ribosome (GO:0003735) (Figure 3a), while DEGs between GR vs. CR were mainly enriched in the antibiotic metabolic process (GO:0016999), cell wall (GO:0005618) and peroxidase activity (GO:0004601) (Figure 3b). Furthermore, in the BP classification, a total of 92 DEGs and 98 DEGs were enriched in the cellular carbohydrate metabolic process (GO:0044262, 44 genes upregulation and 48 genes downregulation) and antibiotic metabolic process (GO:0016999, 85 genes upregulation and 13 genes downregulation) among GL vs. CL and GR vs. CR, respectively. In the CC classification, a total of 115 DEGs and 99 DEGs were enriched in the cytosolic ribosome (GO:0022626, 2 genes upregulation and 113 downregulation) and cell wall (GO:0005618, 58 genes upregulation and 41 downregulation) among GL vs. CL and GR vs. CR, respectively. In the MF classification, a total of 140 DEGs and 60 DEGs were enriched in the structural constituent of ribosome (GO:0003735, three genes upregulation and 137 genes downregulation) and peroxidase activity (GO:0004601, 51 genes upregulation and nine genes downregulation) among GL vs. CL and GR vs. CR, respectively (Figure 4).
Figure 3.
GO classification of differentially expressed genes (DEGs) in the shoots (a) and roots (b) of poplars fertilized with Gln.
Figure 4.
The number of differentially expressed genes (DEGs) in the shoots (a) and roots (b) of poplars fertilized with Gln compared with the inorganic N control. Red bars indicate numbers of upregulated genes; green bars indicate numbers of downregulated genes.
The KEGG (Kyoto Encyclopedia of Genes and Genomes) functional classification of DEGs in GL vs. CL and GR vs. CR was performed to discover the metabolic pathways genes involved in Gln treatment. The 20 common metabolic pathways with the most significant enrichment in GL and GR by comparison with CL and CR, respectively, were exhibited. Among the top pathways in the GL vs. CL, a great number of DEGs participating in the pathway of the ribosome (pop03010), starch and sucrose metabolism (pop00500), and galactose metabolism (pop00052) (Figure 5a) were detected. On the contrary, the most enriched KEGG pathway of GR vs. CR was found in carbon metabolism (pop01200), phenylpropanoid biosynthesis (pop00940), biosynthesis of amino acids (pop01230) and glycolysis/gluconeogenesis (pop00010) (Figure 5b). Noteworthily, plant hormone signal transduction (pop04075) was enriched in both GL vs. CL and GR vs. CR.
Figure 5.
KEGG enrichment of DEGs in the shoots (a) and roots (b) of poplars fertilized with Gln compared with the inorganic N control. The Y axis corresponds to the KEGG pathway, and the X axis shows the enrichment ratio between the number of DEGs enriched in a particular pathway. The colors of red to green dots correspond to different padj ranges, and the sizes of the dots represent numbers of DEGs enriched to the pathway.
2.4. DEGs Involved in Ribosome
In the process of plant growth and development, the formation of new cells and almost all the metabolic pathway needs the participation of protein. As a specialized multimolecular particle, the ribosome is widely involved in protein biosynthesis in all living cells. The 80S ribosome in eukaryotes is composed of a large subunit and small subunit, and their biosynthesis involves the production and correct assembly of four kinds of ribosomal RNA (rRNA), including 5.8S, 28S, 18S and 5S, and approximately 80 kinds of ribosomal protein (RP). In our study, a total of 140 DEGs in the ribosome pathway, including 40S ribosomal protein, 60S ribosomal protein, RP-related genes (i.e., 60S acidic ribosomal protein, ubiquitin-40S ribosomal protein and ubiquitin-60S ribosomal protein), 50S ribosomal protein and 30S ribosomal protein were identified by the pairwise comparisons of GL versus CL. A heatmap was generated based on the log10 (FPKM + 1) values of differentially expressed ribosome genes (Figure 6a). Except for three upregulated genes (POPTR_001G365600, POPTR_001G262400, POPTR_013G070100) (Figure 6b) located in the chloroplasts, all the ribosome DEGs were downregulated in the GL libraries.
Figure 6.
Expression pattern analysis of DEGs in ribosome by the pairwise comparisons of GL vs. CL and GR vs. CR. (a) Heatmaps of DEGs in the ribosome pathway; (b) KEGG pathway presenting DEGs in ribosome in GL compared with CL. Red boxes indicate upregulation and green boxes indicate downregulation. CL, CR, GL and GR represent the shoots and roots samples of the inorganic N control and the Gln treatment, respectively.
2.5. Sugar and Carbon Metabolism in Response to Gln Treatment
Sugar metabolism is extremely vital for poplar growth and development. In the current study, a total of 42 DEGs (including 23 significant upregulated genes and 19 downregulated genes) in the GL libraries, and 46 DEGs (including 30 upregulated genes and 16 downregulated genes) in the GR libraries (Table 2) were annotated in starch and sucrose metabolism. Among sucrose biosynthesis genes, the expression of two sucrose synthases (POPTR_004G081300 and POPTR_002G202300) and two sucrose phosphate synthases (POPTR_018G124700 and POPTR_013G095500), two starch synthase (POPTR_015G012400 and POPTR_004G014100) and two 1,4-alpha-glucan-branching enzyme genes (POPTR_005G251000 and POPTR_006G115100) involved in amylose synthesis, and one beta-amylase (POPTR_010G062900) involved in the decomposition of amylose were upregulated in the GL compared with the CL. Additionally, three genes encoding hexokinase (POPTR_018G088300, POPTR_009G050000 and POPTR_001G254800) and three genes encoding beta-glucosidase (POPTR_019G037400, POPTR_001G403900 and POPTR_008G094200), five genes encoding endoglucanase (POPTR_001G092200, POPTR_001G097900, POPTR_003G151700, POPTR_T144300 and POPTR_015G126900), four genes encoding probable trehalose phosphate phosphatase (POPTR_007G090900, POPTR_005G077200, POPTR_012G126100 and POPTR_014G126900) and three genes encoding trehalose phosphate synthase (POPTR_011G103900, POPTR_010G104500 and POPTR_011G070900) were identified. In addition, the transcripts of genes encoding alpha-amylase 3 (POPTR_002G014300), phosphoglucomutase (POPTR_010G109500) and glucose-6-phosphate isomerase 1 (POPTR_008G118900) were increased in the GL libraries (Table 2). Heatmap enrichment of the most significantly changed genes in sugar metabolism was shown in Figure 7a.
Table 2.
DEGs related to starch and sucrose metabolism in the GL and GR libraries.
Figure 7.
Heatmap of DEGs in starch and sucrose metabolism pathway (a) and carbon metabolism (b) by the pairwise comparisons of GL vs. CL and GR vs. CR. CL, CR, GL and GR represent the shoots and roots samples of the inorganic N control and the Gln treatment, respectively.
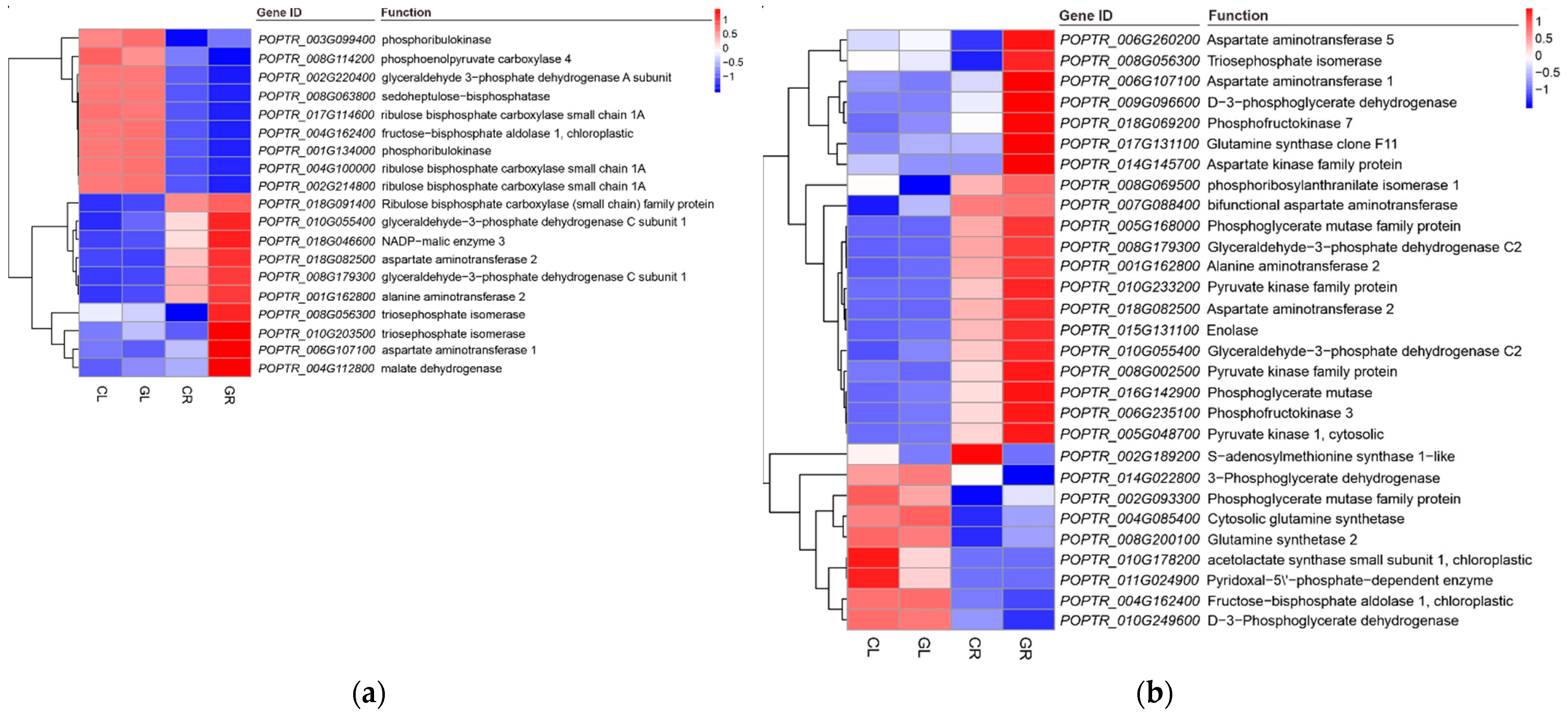
A large number of DEGs, including 92 upregulated genes and 35 downregulated genes enriched in carbon metabolism in the GR libraries, were annotated. Among them, genes encoding triosephosphate isomerase (POPTR_008G056300), D-3-phosphoglycerate dehydrogenase (POPTR_009G096600), phosphofructokinase 3/7 (POPTR_006G235100 and POPTR_018G069200), aspartate aminotransferase 1/2 (POPTR_006G107100 and POPTR_018G082500), malate dehydrogenase (POPTR_004G112800), pyruvate kinase 1 (POPTR_010G233200 and POPTR_008G002500), enolase (POPTR_015G131100), glyceraldehyde-3-phosphate dehydrogenase C2 (POPTR_010G055400) and phosphoglycerate mutase (POPTR_016G142900) were significantly upregulated, while genes encoding 3-phosphoglycerate dehydrogenase (POPTR_014G022800) was strongly downregulated (Figure 7b).
Galactose is the precursor of the synthesis of raffinose and galactitol, and the accumulation of raffinose plays an important role in the process of carbon redistribution. In this study, the exogenous addition of Gln resulted in 24 DEGs in GL compared with CL, and 88 DEGs in phenylpropanoid biosynthesis in GR versus CR. Seven genes were annotated as galactinol synthase, among which six genes (POPTR_014G116800, POPTR_008G101000, POPTR_010G150400, POPTR_010G042000, POPTR_013G005900 and POPTR_013G005800) were upregulated and one gene (POPTR_002G191600) was downregulated. Five genes were annotated as raffinose synthase, among which three genes (POPTR_016G054700, POPTR_006G052800 and POPTR_017G036700) were upregulated and two genes (POPTR_011G166700 and POPTR_006G065700) were downregulated. Additionally, one upregulated gene (POPTR_003G037000) and one downregulated gene (POPTR_001G027400) were annotated as beta-galactosidase, two downregulated (POPTR_009G050000 and POPTR_001G254800) and one upregulated (POPTR_018G088300) genes were annotated as hexokinase, and two upregulated genes (POPTR_018G152200 and POPTR_010G255200) were annotated as alpha-galactosidase. Genes encoding stachyose synthase (POPTR_014G118400) and phosphoglucomutase (POPTR_010G109500) were downregulated. In addition, two genes (POPTR_015G127100 and POPTR_003G112600) annotated as acid beta-fructofuranosidase were downregulated (Table 3). The most significantly changed genes relevant to galactose metabolism are shown in Figure 8a.
Table 3.
DEGs related to galactose metabolism in the GL libraries.
Figure 8.
Expression pattern analysis of DEGs in galactose metabolism (a) and glycolysis/gluconeogenesis pathway (b) by the pairwise comparisons of GL vs. CL and GR vs. CR. CL, CR, GL and GR represent the shoots and roots samples of the inorganic N control and the Gln treatment, respectively.
Glycolysis and gluconeogenesis are two processes involved in the metabolism of glucose, which is the energy source of almost all the life forms on earth. In our study, 71 DEGs, including 62 upregulated genes and 9 downregulated genes annotated in glycolysis/gluconeogenesis pathway of GR, were detected. Among them, genes encoding tri-osephosphate isomerase (POPTR_008G056300), TPP-dependent pyruvate decarboxylase (POPTR_016G120100 and POPTR_011G064000), galactose mutarotase-like superfamily protein (POPTR_017G080200 and POPTR_017G080100), pyruvate decarboxylase 1 (POPTR_T102400, POPTR_T143400 and POPTR_004G054100), alcohol dehydrogenase 1 (POPTR_002G072100, POPTR_T107500 and POPTR_T107300) and phosphofructokinase 7 (POPTR_018G069200) were significantly upregulated. On the contrary, the gene encoding aldehyde dehydrogenase 2B4 (POPTR_012G078700) was dramatically downregulated (Figure 8b).
2.6. Secondary Metabolism in Response to Gln Treatment
Tyrosine, phenylalanine and tryptophan are aromatic amino acids (AAAs), which can be used to synthesize protein and as precursors for the synthesis of many substances, such as pigments, isoquinoline alkaloids (IQAs), hormones and cell wall components. In this study, upon exogenous application of Gln, a total of 17 DGEs (including seven upregulated genes and ten downregulated genes) were annotated in tyrosine, phenylalanine and tryptophan metabolism/isoquinoline alkaloid biosynthesis pathway in the GL libraries. In this pathway, ten genes were annotated as polyphenol oxidases (PPO) and were differentially expressed in GL compared with CL. The expression of primary amine oxidase isoform (POPTR_001G118300 and POPTR_001G118200), polyphenol oxidase (POPTR_011G047300), tyrosine aminotransferase (POPTR_017G014200) and bifunctional aspartate aminotransferase (POPTR_007G088400) was significantly upregulated (Table 4, Figure 9a), while the expression of tyrosine decarboxylase (POPTR_013G052900) and polyphenol oxidase (POPTR_001G388900, POPTR_T061900, POPTR_001G387900, POPTR_T062200, POPTR_001G388100, POPTR_T062100, POPTR_011G108300 and POPTR_001G388400) was downregulated.
Table 4.
DEGs related to tyrosine, phenylalanine and tryptophan metabolism in the GL libraries.
Figure 9.
Expression pattern analysis of genes associated with tyrosine, phenylalanine and tryptophan metabolism (a) and phenylpropanoid biosynthesis pathway (b) by the pairwise comparisons of GL vs. CL and GR vs. CR. CL, CR, GL and GR represent the shoots and roots samples of the inorganic N control and the Gln treatment, respectively.
The phenylpropanoid pathway produces an enormous array of secondary metabolites in plants, functioning as structural and signaling molecules that promote plant defense responses against abiotic and biotic stresses. This study detected 66 upregulated and 22 downregulated genes in the phenylpropanoid biosynthesis pathway of GR compared with CR. Among these DEGs, the expression of quinate hydroxycinnamoyl transferase (POPTR_005G028000), FAD-binding berberine family protein (POPTR_001G462800, POPTR_001G463100 and POPTR_011G158700), peroxidase 64 (POPTR_005G108900) and beta-Glucosidase (POPTR_005G108900) was significantly suppressed. In contrast, the expression of UDP-glucosyl transferase 73B1 (POPTR_001G303700, POPTR_001G302300 and POPTR_001G303600), cinnamoyl CoA reductase (POPTR_001G045100), cytochrome P450 CYP73A100-like (POPTR_001G011000) and peroxidase 2/3 (POPTR_016G132900 and POPTR_012G006800) was greatly induced (Figure 9b).
2.7. Plant Hormone Signal Transduction
Upon exogenous application of Gln, a total of 65 DGEs (including 17 upregulated genes and 48 downregulated genes) and 95 DEGs (including 41 upregulated genes and 54 downregulated genes) were annotated in plant hormone signal transduction in the GL and GR libraries, respectively. Among DEGs in GL, genes encoding the CAP superfamily protein (POPTR_009G083100), highly ABA-induced PP2C gene 1 (POPTR_009G037300) and probable protein phosphatase 2C 51 (POPTR_012G002700) were significantly upregulated, while genes encoding the SAUR-like auxin-responsive protein family (POPTR_003G113100), jasmonate-zim-domain protein 10 (POPTR_001G062500 and POPTR_003G165000), protein TIFY 10b (POPTR_003G068900) and TIFY domain/divergent CCT motif family protein (POPTR_006G139400) were remarkably downregulated. Among DEGs in GR, genes encoding auxin-responsive GH3 family protein (POPTR_009G092900, POPTR_007G050300 and POPTR_003G161300), ethylene response factor 1 (POPTR_010G072300 and POPTR_005G223300), SAUR-like auxin-responsive protein family (POPTR_005G096400), CAP superfamily protein (POPTR_T131500) and xyloglucan endotransglucosylase/hydrolase (POPTR_005G007200) were significantly upregulated, while genes encoding indole-3-acetic acid inducible 18 (POPTR_006G236200), phytochrome—associated protein 2 (POPTR_001G186100), auxin—responsive GH3 family protein (POPTR_001G069000), response regulator 3 (POPTR_010G037800) and SAUR—like auxin—responsive protein family (POPTR_018G063400) were strongly downregulated (Figure 10).
Figure 10.
Expression pattern analysis of genes in plant hormone signal transduction by the pairwise comparisons of GL vs. CL and GR vs. CR. CL, CR, GL and GR represent the shoots and roots samples of the inorganic N control and the Gln treatment, respectively.
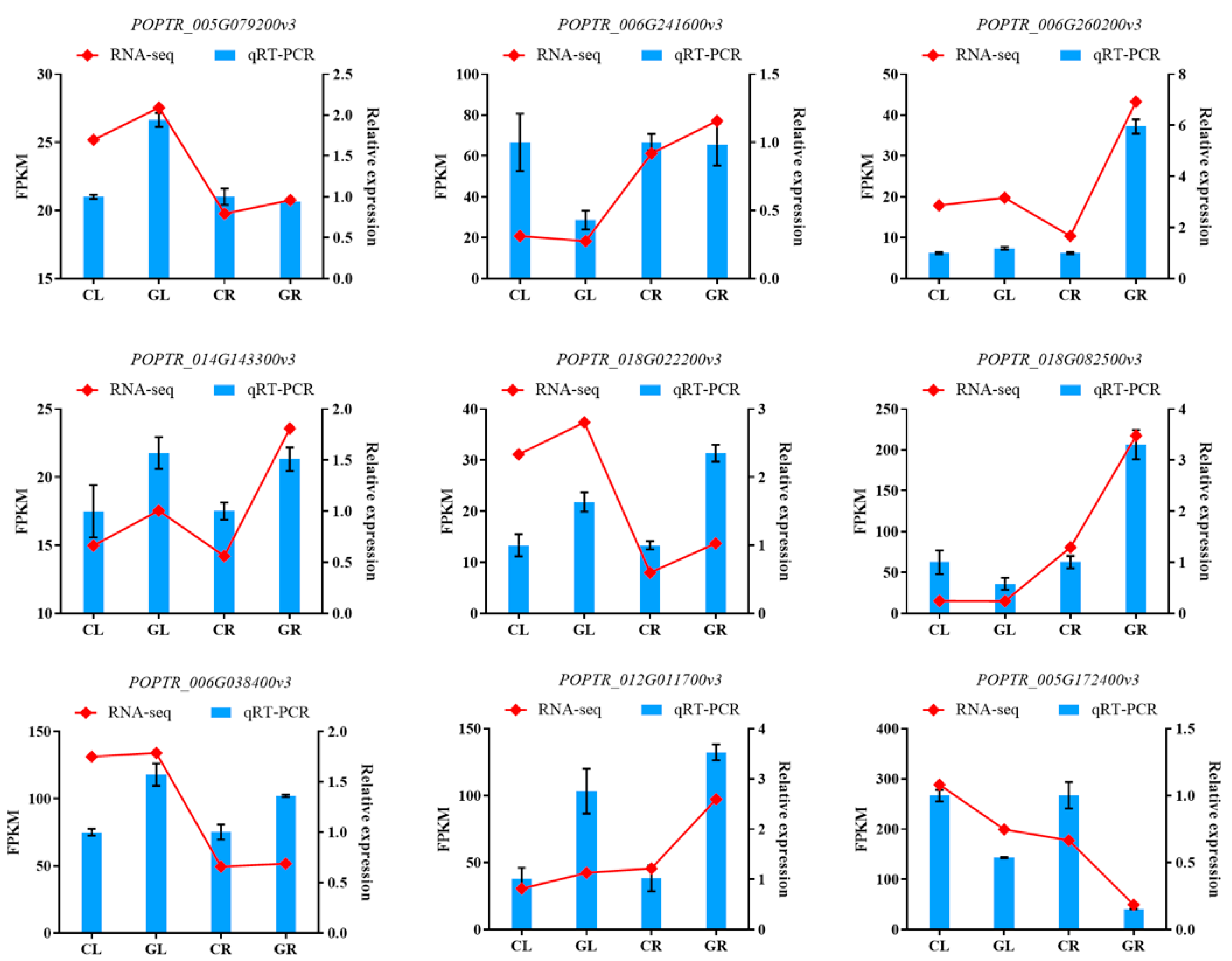
2.8. Validation of RNA-Seq Results
To validate the RNA-Seq results, we randomly selected nine DEGs to perform qRT-PCR analysis. The primer information used in this experiment is shown in Table S1. The results showed high congruence between the qRT-PCR data and RNA-Seq data (Figure 11), suggesting that the transcriptome data are reliable.
Figure 11.
The qRT-PCR validation of selected DEGs in poplars fertilized with Gln compared with the inorganic N. CL, CR, GL and GR represent the shoots and roots samples of the inorganic N control and those of the Gln treatment, respectively.
3. Discussion
Gln, an N transporter and NH3 carrier, plays a vital role in C/N metabolism, cellular homeostasis and biomass accumulation [25]. A few pieces of research have been implemented to study the effect of exogenous Gln on plant regeneration efficiency [32,33,34], biomass accumulation [22,35], biochemical constituents [36,37] and gene expression [27]. Although the widespread effects of Gln on plant growth and development have been disclosed, the underlying mechanism of exogenous Gln in regulating plant growth remains elusive. In this study, we performed an RNA-seq experiment and pairwise comparison analysis of the DEGs in GL and GR versus CL and CR, respectively. GO enrichment analysis of GL vs. CL showed that the DEGs were significantly enriched in intercellular carbohydrate metabolism, intercellular polysaccharide metabolism, cytoplasmic ribosomes, ribosome subunits, extracellular region and structural constituent of ribosome. By contrast, the DEGs in GR vs. CR were significantly enriched in the antibiotic metabolism process, antibiotic catabolism process, cytoplasmic components, cell wall, peroxidase activity and oxidoreductase activity. These results indicate that the above pathways play important roles in poplar ‘Nanlin895’ responding to exogenous Gln-based N fertilizer. The analysis of the KEGG pathway enrichment function of DEGs showed that a large proportion of DEGs in GL was enriched in the ribosome, starch and sucrose metabolism and galactose metabolism. On the contrary, a great number of GR DEGs were enriched in the carbon metabolism, phenylpropanoid biosynthesis and glycolysis/gluconeogenesis, implying that ribosome biosynthesis, sugar metabolism and secondary metabolism might be the principal regulators function in poplar ‘Nanlin895’ to acclimatize to exogenous Gln treatment. Additionally, the GO and KEGG enrichment analysis showed that the DEGs in GL and GR were distinctly enriched in different biological processes, cell components and pathways, suggesting that poplar shoots and roots adopted different mechanisms to accommodate the Gln-N fertilizer.
The balance between protein synthesis and protein degradation determines the growth rate of plants [38]; thus, controlling cell growth inevitably involves the control of ribosome biosynthesis [39]. As an essential regulatory element of organism operation, ribosome synthesis is strictly regulated by the external environment, such as the status of carbon, N and temperature [40,41]. Studies have shown that low energy levels will trigger cells to switch to energy conservation mode to maintain basic functions and viability of cells via inhibiting ribosome synthesis [42,43]. In our study, when Gln was used as a sole N source for poplar, 140 ribosome-related DEGs annotated on ribosomes were found in GL, of which 137 genes were downregulated and 3 genes were upregulated (Figure 6), indicating a negative impact of Gln on protein synthesis. Since ribosome biosynthesis is a process with high energy demand [42,43], it can be speculated that the universal repression of ribosome biosynthesis may be because when fertilized with Gln-N, poplars were inclined to distribute more energy and substances for metabolic processes (such as sugar and amino acids metabolism) other than protein synthesis. This will limit excessive energy input into the ribosome pathway, and resultantly, more energy can be invested to promote the carbon and N metabolism required for growth improvement. In agreement with this hypothesis, it was found that a considerable number of genes related to starch and sugar metabolism, carbon metabolism, carbon fixation and biosynthesis of amino acids (Figure 12) were upregulated in the GL and GR libraries.
Figure 12.
Expression pattern analysis of genes related to carbon fixation (a) and amino acids biosynthesis (b) by the pairwise comparisons of GL vs. CL and GR vs. CR. CL, CR, GL and GR represent the shoots and roots samples of the inorganic N control and the Gln treatment, respectively.
Sugar can be used as a crucial source of energy and carbon skeleton in cells and also exert signaling functions. As a critical signaling molecule, sugar modulates many vital physiological processes in photosynthetic plants [44]. Sucrose, the end product of photosynthesis, is the primary sugar transported in plants’ phloem and plays a vital role in sugar, signaling initiation [45]. In our previous study, the concentration of total soluble sugars in poplars fertilized with Gln (0.5 mM) was higher than that of the inorganic N control [25]. In the present study, the expression of the key sucrose synthesis genes (such as sucrose synthase and hexokinase) was coordinately upregulated with genes (such as auxin—responsive GH3 family protein and SAUR—like auxin—responsive protein) in the plant hormone signal transduction pathway (Table 2, Figure 7 and Figure 10). These results affirm that sugar metabolism and plant hormone signaling transduction [27] play critical roles in poplar in response to Gln treatment, and it also reveals the involvement of a complex interplay of sugar and hormone signaling in Gln-driven growth.
The growth of plants is constantly challenged by different kinds of environmental conditions. In order to buffer the fluctuation of carbon supply and demand to maintain the growth of heterotrophic organs, plants store and transfer some fixed carbon. In chloroplasts, photosynthesis converts inorganic carbon into organic carbon (including glucose and sucrose), which is of great significance in maintaining carbon content in plant cells [46]. Generally, carbon is stored by starch and transported by sucrose. However, various alternative carbohydrates exist in the plant kingdom, among which RFOs (Raffinose family oligosaccharides) are the most prominent [47]. Glucose can be catalyzed by HK, mutase, guanosine transferase and galactinol synthase (GolS) to generate galactinol, the substrate for RFOs (including raffinose, stachyose and verbascose) biosynthesis. Additionally, sucrose and galactitol can be catalyzed by raffinose synthase (RFS) to produce raffinose and inositol, and raffinose can further be catalyzed by stachyose synthase (STS) to form stachyose, from which a number of different oligosaccharides are generated [47,48]. GolS, as the first enzyme of the RFOs biosynthesis pathway, has a significant effect on RFOs accumulation, consequently regulating the carbon distribution between sucrose and RFOs [49,50]. Studies have shown that under stress conditions (e.g., drought), PSII of the plant was damaged, resulting in a decrease in photosynthetic activity; however, overexpression of GolS restored plant photosynthetic activity [51]. In our previous study, the qP and PSII values of poplar under Gln treatment were lower than that of the inorganic N control [25]. The present transcriptome results showed that there were 25 genes enriched in the galactose metabolism pathway in the GL libraries (Table 3), and 6 out of the 13 upregulated genes were annotated as GolS. Taken together, it can be proposed that the expression differential of GolS between Gln treatment and the inorganic N control is, at least in part, linked to the modulation of photosynthetic performance. Apart from this, the increase in GolS expression was in accordance with the upregulation of RFOs synthesis genes, such as raffinose synthase and stachyose synthase, which are relevant to the increase in plant stress resistance [52]. Moreover, many GolS genes in the GL and GR libraries were synergistically upregulated with genes related to secondary metabolism compared with the CL and CR libraries. These results indicate that other than genes associated with growth promotion, external Gln-N also triggered stress response gene-expression.
Tyrosine (Tyr), phenylalanine and tryptophan are aromatic amino acids (AAAs), which are constituted of proteins and precursors for the synthesis of many biomolecules, such as pigments, alkaloids, hormones and cell wall components [53]. These natural products play an important role in plant growth, development, defense and environmental response [53,54]. The α-ketoglutarate and AAAs can generate prephenate by transamination of bifunctional aspartate transaminase (AspAT), and AAAs can produce Tyr by dehydration and transamination which subsequently takes part in multiple metabolic pathways, generating 4-hydroxyphenylcarbonic acid (HP) under the catalyzation of tyrosine transaminase (TYA) or hydroxylating the 3-position of tyrosine to form 3,4-dihydroxy-L-phenylalanine (Dopa) under the catalyzation of polyphenol oxidase (PPOs) [55,56]. In our study, the transcriptome results showed that the expression levels of the aforementioned AspAT, TYA and PPOs genes were significantly changed in Gln-N fertilized poplars compared with the inorganic N control (Figure 9), suggesting that Gln-N activates the biosynthesis of AAAs and AAAs-derived metabolites. It is worth noting that among the 11 PPOs annotated in the P. trichocarpa genome [55], 9 PPOs were strongly repressed by external Gln-N. PPOs are a group of copper-containing enzymes that catalyze the o-hydroxylation of monophenols to o-diphenols (tyrosinase activity) as well as the oxidation of o-diphenols to quinones (catecholase activity) in the presence of oxygen [57]. As a crucial enzyme of AAAs and isoquinoline alkaloid biosynthesis pathway, PPOs not only function in the formation of pigments, but also play an essential role in the biosynthesis of secondary metabolites [55,56], plant defense against insects and pathogens [58,59,60], and photosynthesis reaction [56,61]. A previous study has demonstrated that the downregulation of PPOs activated the Calvin Cycle in poplar [56]. Consistent with this finding, our transcriptome data showed that genes related to Calvin Cycle, such as phosphoribulokinase (PRK), triosephosphate isomerase (TPI) and Glyceraldehyde-3-phosphate dehydrogenase (GAPDH), were remarkably upregulated (Figure 12a). These results suggest that applying Gln might enhance the flow of carbon through the Calvin Cycle, which accelerates the carbon assimilation pathway, consequently improving poplar growth and stress acclimation.
Moreover, the increase in Fructose-1,6-bisphosphate aldolase (FBA), GAPDH, enolase and Pyruvate kinase (PK) and the decrease in PPOs also demonstrated activation of glycolysis (Figure 8a), which may provide more ATP for energy metabolism [56,62,63]. This concept is supported by an earlier finding in that the biosynthesis of Gln and glutamate provides an efficient electron pool via dynamic consumption ATP and reduces the energy generated in the process of photosynthesis, so that plants can maintain a relatively stable redox state [64].
4. Materials and Methods
4.1. Plant Materials and Gln Treatments
In this study, poplar hybrid ‘Nanlin895’ (Populus deltoides × Populus euramericana) clones were used as the plant materials unless stated otherwise. The poplar ‘Nanlin895’ seedlings were rooted in 1/2 MS medium for five weeks in the climate chamber under 16 h light/8 h dark at 25 °C/20 °C. The rooted plants were then transferred to water to eliminate endogenous N for two weeks. After that, plants with similar heights were randomly divided into two groups, each of which containing at least 6 plants, and treated with modified Long Ashton (LA) nutrient solution that consisted of 0.5 mM KCl, 0.9 mM CaCl2, 0.3 mM MgSO4, 0.6 mM KH2PO4, 42 μM K2HPO4, 10 μM EDTA·Fe·Na, 2 μM MnSO4, 10 μM H3BO3, 7 μM Na2MoO4, 0.05 μM CoSO4, 0.2 μM ZnSO4 and 0.2 μM CuSO4 [25], concomitant with either 2 mM inorganic N or 0.5 mM Gln. The hydroponic solution was refreshed every three days. Three biological replicates were performed.
4.2. Total RNA Extraction and cDNA Library Construction
Shoots and roots of poplar under 2 mM N and 0.5 mM Gln treatment were harvested after two months and ground into fine powder under liquid N. Total RNA extraction was performed using the RNA Nano 6000 Assay Kit of the Bioanalyzer 2100 system (Agilent Technologies, Santa Clara, CA, USA) and used as input material for the RNA sample preparations. Briefly, mRNA was purified from total RNA using poly-T oligo-attached magnetic beads. Fragmentation was carried out using divalent cations under elevated temperature in the First Strand Synthesis Reaction Buffer (5X). The first strand of cDNA was synthesized using random hexamer primer and M-MuLV Reverse Transcriptase, with the addition of RNaseH to degrade the RNA. The second strand cDNA synthesis was performed using DNA Polymerase I and dNTPs. The remaining overhangs were converted into blunt ends via exonuclease/polymerase activities. After the adenylation of 3′ ends of DNA fragments, an adaptor with a hairpin loop structure was ligated to prepare for hybridization. In order to select cDNA fragments of preferentially 370~420 bp in length, the library fragments were purified with AMPure XP system (Beckman Coulter, Beverly, CA, USA). Then, PCR was performed with Phusion High-Fidelity DNA polymerase, Universal PCR primers and Index (X) Primer. At last, PCR products were purified (AMPure XP system) and library quality was assessed on the Agilent Bioanalyzer 2100 instrument.
4.3. Reads Mapping to the Reference Genome
Genome and gene model annotation files of the Populus trichocarpa genome were downloaded from the Ensembl and Phytozome websites. The index of the reference genome was built using Hisat2 v2.0.5 and paired-end clean reads were aligned to the reference genome using Hisat2 v2.0.5. The Hisat2 was selected as the mapping tool because it can generate a database of splice junctions based on the gene model annotation file and thus provides a better mapping result than other nonsplice mapping tools.
4.4. Differential Expression Gene Analysis
Differential expression analysis of two conditions/groups (three biological replicates per condition) was performed using the DESeq2 R package (1.20.0). DESeq2 provides statistical routines for determining differential expression in digital gene expression data using a model based on the negative binomial distribution. The resulting p-values were adjusted using the Benjamini and Hochberg approach for controlling the false discovery rate. Genes with an adjusted p-value < 0.05 found by DESeq2 were assigned as differentially expressed.
4.5. GO and KEGG Enrichment
Gene Ontology (GO) enrichment analysis of differentially expressed genes was implemented by the clusterProfiler R package, in which gene length bias was corrected. GO terms with corrected p-values less than 0.05 were considered significantly enriched by differentially expressed genes. KEGG is a database resource for understanding high-level functions and utilities of the biological system, such as the cell, the organism and the ecosystem, from molecular-level information, especially large-scale molecular datasets generated by genome sequencing and other high-throughput experimental technologies (http://www.genome.jp/kegg/; accessed on 12 August 2022). The clusterProfiler R package was used to test the statistical enrichment of differential expression genes in KEGG pathways.
4.6. Quantitative Real-Time Validation of DEGs
Total RNA was extracted from the poplar shoots and roots using an extraction kit (RNAprep Pure Plant Kit, Tiangen, Beijing, China). Reverse transcription was performed using a purified RNA sample by PrimeScriptTM RT Reagent Kit (TaKaRa, Dalian, China). Real-time PCR was performed on the StepOnePlus™ Real-Time PCR System (Applied Biosystems, Waltham, MA, USA). Referring to the existing method [65], the following PCR conditions (40 cycles) were used: denaturing for 5 s at 95 °C, annealing for 34 s at 60 °C and extension for 30 s at 72 °C. The primer sequences used for this study are shown in Table S1.
Statistical Analysis
IBM SPSS version 21 software was used for statistical analysis, one-way analysis of variance (ANOVA) was used for data comparison, and Duncan’s test method was used to test the significance level of differences between treatments (p < 0.05).
5. Conclusions
This study identified a large number of DEGs in poplar ‘Nanlin895’ fertilized with Gln-N compared with the inorganic N. The results indicate that the regulation effect of Gln on poplars involves multiple metabolism processes (including the ribosome biosynthesis, starch and sucrose metabolism, carbon metabolism, carbon fixation, biosynthesis of amino acids, the tyrosine, phenylalanine and tryptophan metabolism pathway, galactose metabolism, and phenylpropanoid pathway) and plant hormone signaling transduction as stated below: (1) Gln inhibited the biosynthesis of the ribosome coinciding with the transcriptional induction of sucrose synthases, sucrose phosphate synthases and hexokinase; therefore, it may limit energy input into protein synthesis and provide more energy for sugar metabolism. (2) A significant co-upregulation of the GolS genes, AAAs biosynthesis-related genes and RFOs synthesis genes was found, indicating coordination of the carbon resources redistribution between growth and stress response. (3) Exogenous application of Gln inhibited the expression of PPOs-related genes concomitant with the induction of Calvin Cycle-related genes such as PRK, TPI and GAPDH, which may facilitate the flow of carbon toward biomass production while tightly constraining the biosynthesis of secondary metabolites. (4) The downregulation of PPOs was in accordance with the increase in glycolysis/gluconeogenesis pathways genes FBA, GAPDH, enolase and PK, implying the activation of glycolysis, which was supposed to provide more ATP for energy metabolism. (5) Expression of some plant hormone signaling-associated genes (e.g., auxin signaling pathway) were remarkably altered by exogenous Gln, supporting Gln’s role in signaling transduction. Overall, our RNA-seq results revealed a significant transcriptional distinction between Gln-N (i.e., an amino acid form of N) and the inorganic N in poplars, in which exogenous Gln regulated a more comprehensive range of genes relating to ribosome biogenesis, carbon and N metabolism, and hormone signaling transduction, as a consequence of a practiced energy switch and C/N balance for growth and stress responses. Our study provides updated information to understand the molecular mechanism of different forms of N fertilizers.
Supplementary Materials
The following supporting information can be downloaded at: https://www.mdpi.com/article/10.3390/ijms23179998/s1.
Author Contributions
Conceptualization, T.S. and M.H.; formal analysis, M.X. and M.H.; investigation, M.X., S.W., L.W. and J.F.; writing—original draft preparation, M.X. and M.H.; writing—review and editing, M.X., M.H., T.S. and C.D.; supervision, M.H. and T.S.; project administration, M.H., T.S. and C.D.; funding acquisition, M.H. and T.S. All authors have read and agreed to the published version of the manuscript.
Funding
This research was supported by the Opening Project of State Key Laboratory of Tree Genetics and Breeding, grant number K2022204; the National Natural Science Foundation of China (NSFC), grant number 31870589; 31700525.
Institutional Review Board Statement
Not applicable.
Informed Consent Statement
Not applicable.
Data Availability Statement
The raw sequence reads of RNA-seq were deposited in the NCBI with accession BioProject of PRJNA867508 and the accession BioSample, SAMN30202751- SAMN30202762, including twelve accession numbers of SRR20998237-SRR20998248 for triplicate data of Gln treatment (CL, GL, CR and GR).
Acknowledgments
The authors would like to thank the NSFC and NSFJ for funding this work and the Co-Innovation Center for Sustainable Forestry in Southern China and PAPD for the instrument use.
Conflicts of Interest
The authors declare no conflict of interest.
References
- Camargo, E.L.O.; Nascimento, L.C.; Soler, M.; Salazar, M.M.; Lepikson-Neto, J.; Marques, W.L.; Alves, A.; Teixeira, P.J.P.L.; Mieczkowski, P.; Carazzolle, M.F.; et al. Contrasting Nitrogen Fertilization Treatments Impact Xylem Gene Expression and Secondary Cell Wall Lignification in Eucalyptus. BMC Plant Biol. 2014, 14, 256. [Google Scholar] [CrossRef] [PubMed]
- Wang, Y.Y.; Hsu, P.K.; Tsay, Y.F. Uptake, Allocation and Signaling of Nitrate. Trends Plant Sci. 2012, 17, 458–467. [Google Scholar] [CrossRef] [PubMed]
- Martínez-Dalmau, J.; Berbel, J.; Ordóñez-Fernández, R. Nitrogen Fertilization. A Review of the Risks Associated with the Inefficiency of Its Use and Policy Responses. Sustainability 2021, 13, 5625. [Google Scholar] [CrossRef]
- Cañas, R.; de la Torre, F.; Pascual, M.; Avila, C.; Cánovas, F. Nitrogen Economy and Nitrogen Environmental Interactions in Conifers. Agronomy 2016, 6, 26. [Google Scholar] [CrossRef]
- Taranet, P.; Harper, S.; Kirchhof, G.; Fujinuma, R.; Menzies, N. Growth and Yield Response of Glasshouse- and Field-Grown Sweetpotato to Nitrogen Supply. Nutr. Cycl. Agroecosyst. 2017, 108, 309–321. [Google Scholar] [CrossRef]
- Jørgensen, H.; Hecke, J.; Zhang, H.; Malik, P.L.; Felby, C.; Schjoerring, J.K. Wheat as a Dual Crop for Biorefining: Straw Quality Parameters and Their Interactions with Nitrogen Supply in Modern Elite Cultivars. GCB Bioenergy 2019, 11, 400–415. [Google Scholar] [CrossRef]
- Zhang, D.; Xu, B.; Yang, X.; Zhang, Z.; Li, B. The Sucrose Synthase Gene Family in Populus: Structure, Expression, and Evolution. Tree Genet. Genomes 2011, 7, 443–456. [Google Scholar] [CrossRef]
- Yan, J.; Xu, C.; Wei, H. Response of Carbon and Nitrogen Allocation in Two Hybrid Poplar Clones to Soil Nitrogen in Northern China. J. Food Agric. Environ. 2013, 11, 1050–1054. [Google Scholar]
- Plavcová, L.; Hacke, U.G.; Almeida-Rodriguez, A.M.; Li, E.; Douglas, C.J. Gene Expression Patterns Underlying Changes in Xylem Structure and Function in Response to Increased Nitrogen Availability in Hybrid Poplar: Effects of Nitrogen Availability on Xylogenesis. Plant Cell Environ. 2013, 36, 186–199. [Google Scholar] [CrossRef]
- Wang, R.; Okamoto, M.; Xing, X.; Crawford, N.M. Microarray Analysis of the Nitrate Response in Arabidopsis Roots and Shoots Reveals over 1,000 Rapidly Responding Genes and New Linkages to Glucose, Trehalose-6-Phosphate, Iron, and Sulfate Metabolism. Plant Physiol. 2003, 132, 556–567. [Google Scholar] [CrossRef]
- Wang, Z.; Ma, T.; Huang, Y.; Wang, J.; Chen, Y.; Kistler, H.C.; Ma, Z.; Yin, Y. A Fungal ABC Transporter FgAtm1 Regulates Iron Homeostasis via the Transcription Factor Cascade FgAreA-HapX. PLoS Pathog 2019, 15, e1007791. [Google Scholar] [CrossRef] [PubMed]
- Franklin, O.; Cambui, C.A.; Gruffman, L.; Palmroth, S.; Oren, R.; Näsholm, T. The Carbon Bonus of Organic Nitrogen Enhances Nitrogen Use Efficiency of Plants. Plant Cell Environ. 2017, 40, 25–35. [Google Scholar] [CrossRef] [PubMed]
- Carlsson, J.; Svennerstam, H.; Moritz, T.; Egertsdotter, U.; Ganeteg, U. Nitrogen Uptake and Assimilation in Proliferating Embryogenic Cultures of Norway Spruce-Investigating the Specific Role of Glutamine. PLoS ONE 2017, 12, e0181785. [Google Scholar] [CrossRef] [PubMed]
- Nasholm, T. Qualitative and Quantitative Changes in Plant Nitrogen Acquisition Induced by Anthropogenic Nitrogen Deposition. New Phytol. 1998, 139, 87–90. [Google Scholar] [CrossRef]
- Svennerstam, H.; Ganeteg, U.; Näsholm, T. Root Uptake of Cationic Amino Acids by Arabidopsis Depends on Functional Expression of Amino Acid Permease 5. New Phytol. 2008, 180, 620–630. [Google Scholar] [CrossRef]
- Couturier, J.; de Faÿ, E.; Fitz, M.; Wipf, D.; Blaudez, D.; Chalot, M. PtAAP11, a High Affinity Amino Acid Transporter Specifically Expressed in Differentiating Xylem Cells of Poplar. J. Exp. Bot. 2010, 61, 1671–1682. [Google Scholar] [CrossRef]
- Yao, X.; Nie, J.; Bai, R.; Sui, X. Amino Acid Transporters in Plants: Identification and Function. Plants 2020, 9, 972. [Google Scholar] [CrossRef]
- Lee, Y.-H.; Foster, J.; Chen, J.; Voll, L.M.; Weber, A.P.M.; Tegeder, M. AAP1 Transports Uncharged Amino Acids into Roots of Arabidopsis. Plant J. 2007, 50, 305–319. [Google Scholar] [CrossRef]
- Näsholm, T.; Kielland, K.; Ganeteg, U. Uptake of Organic Nitrogen by Plants. New Phytol. 2009, 182, 31–48. [Google Scholar] [CrossRef]
- Dolev, N.; Katz, Z.; Ludmer, Z.; Ullmann, A.; Brauner, N.; Goikhman, R. Natural Amino Acids as Potential Chelators for Soil Remediation. Environ. Res. 2020, 183, 109140. [Google Scholar] [CrossRef]
- Popko, M.; Michalak, I.; Wilk, R.; Gramza, M.; Chojnacka, K.; Górecki, H. Effect of the New Plant Growth Biostimulants Based on Amino Acids on Yield and Grain Quality of Winter Wheat. Molecules 2018, 23, 470. [Google Scholar] [CrossRef] [Green Version]
- Hassan, M.U.; Islam, M.M.; Wang, R.; Guo, J.; Luo, H.; Chen, F.; Li, X. Glutamine Application Promotes Nitrogen and Biomass Accumulation in the Shoot of Seedlings of the Maize Hybrid ZD958. Planta 2020, 251, 66. [Google Scholar] [CrossRef] [PubMed]
- Jiao, Y.; Chen, Y.; Ma, C.; Qin, J.; Nguyen, T.H.N.; Liu, D.; Gan, H.; Ding, S.; Luo, Z.-B. Phenylalanine as a Nitrogen Source Induces Root Growth and Nitrogen-Use Efficiency in Populus × Canescens. Tree Physiol. 2018, 38, 66–82. [Google Scholar] [CrossRef] [PubMed]
- Altman, B.J.; Stine, Z.E.; Dang, C.V. From Krebs to Clinic: Glutamine Metabolism to Cancer Therapy. Nat. Rev. Cancer 2016, 16, 619–634. [Google Scholar] [CrossRef] [PubMed]
- Han, M.; Xu, M.; Wang, S.; Wu, L.; Sun, S.; Su, T. Effects of Exogenous L-Glutamine as a Sole Nitrogen Source on Physiological Characteristics and Nitrogen Use Efficiency of Poplar. Plant Physiol. Biochem. 2022, 172, 1–13. [Google Scholar] [CrossRef]
- Forde, B.G.; Lea, P.J. Glutamate in Plants: Metabolism, Regulation, and Signalling. J. Exp. Bot. 2007, 58, 2339–2358. [Google Scholar] [CrossRef]
- Kan, C.C.; Chung, T.Y.; Juo, Y.A.; Hsieh, M.H. Glutamine Rapidly Induces the Expression of Key Transcription Factor Genes Involved in Nitrogen and Stress Responses in Rice Roots. BMC Genom. 2015, 16, 731. [Google Scholar] [CrossRef]
- Amin, A.A.; Gharib, F.A.E.; El-Awadi, M.; Rashad, E.-S.M. Physiological Response of Onion Plants to Foliar Application of Putrescine and Glutamine. Sci. Hortic. 2011, 129, 353–360. [Google Scholar] [CrossRef]
- Souri, M.K.; Hatamian, M. Aminochelates in Plant Nutrition: A Review. J. Plant Nutr. 2019, 42, 67–78. [Google Scholar] [CrossRef]
- Aghaye Noroozlo, Y.; Souri, M.K.; Delshad, M. Effects of Soil Application of Amino Acids, Ammonium, and Nitrate on Nutrient Accumulation and Growth Characteristics of Sweet Basil. Commun. Soil Sci. Plant Anal. 2019, 50, 2864–2872. [Google Scholar] [CrossRef]
- Yoo, H.C.; Yu, Y.C.; Sung, Y.; Han, J.M. Glutamine Reliance in Cell Metabolism. Exp. Mol. Med. 2020, 52, 1496–1516. [Google Scholar] [CrossRef] [PubMed]
- Vasudevan, A.; Selvaraj, N.; Ganapathi, A.; Kasthurirengan, S.; Anbazhagan, V.; Manickavasagam, M. Glutamine: A Suitable Nitrogen Source for Enhanced Shoot Multiplication in Cucumis Sativus L. Biol. Plant. 2004, 48, 125–128. [Google Scholar] [CrossRef]
- Hamasaki, R.M.; Purgatto, E.; Mercier, H. Glutamine enhances competence for organogenesis in pineapple leaves cultivated in vitro. Braz. J. Plant Physiol. 2005, 17, 383–389. [Google Scholar] [CrossRef]
- Husin, N.; Jalil, M.; Othman, R.Y.; Khalid, N. Enhancement of Regeneration Efficiency in Banana (Musa Acuminata cv. Berangan) by Using Proline and Glutamine. Sci. Hortic. 2014, 168, 33–37. [Google Scholar] [CrossRef]
- Forsum, O.; Svennerstam, H.; Ganeteg, U.; Näsholm, T. Capacities and Constraints of Amino Acid Utilization in Arabidopsis. New Phytol. 2008, 179, 1058–1069. [Google Scholar] [CrossRef]
- Zhang, Y.; Mulpuri, S.; Liu, A. Exogenous Glutamine Increases Lipid Accumulation in Developing Seeds of Castor Bean (Ricinus Communis L.) Cultured in Vitro. Arch. Biol. Sci. 2015, 67, 1137–1149. [Google Scholar] [CrossRef]
- Sarropoulou, V.; Chatzissavvidis, C.; Dimassi-Theriou, K.; Therios, I. Effect of Asparagine, Cysteine, Citrulline, and Glutamine on in Vitro Rooting and Biochemical Constituents in Cherry Rootstocks. Biol. Plant. 2016, 60, 1–12. [Google Scholar] [CrossRef]
- Salih, K.J.; Duncan, O.; Li, L.; O’Leary, B.; Fenske, R.; Trösch, J.; Millar, A.H. Impact of Oxidative Stress on the Function, Abundance, and Turnover of the Arabidopsis 80S Cytosolic Ribosome. Plant J. 2020, 103, 128–139. [Google Scholar] [CrossRef]
- Rudra, D.; Warner, J.R. What Better Measure than Ribosome Synthesis? Genes Dev. 2004, 18, 2431–2436. [Google Scholar] [CrossRef]
- Mager, W.H. Control of Ribosomal Protein Gene Expression. BBA-Gene Struct. Expr. 1988, 949, 1–15. [Google Scholar] [CrossRef]
- Schmollinger, S.; Mühlhaus, T.; Boyle, N.R.; Blaby, I.K.; Casero, D.; Mettler, T.; Moseley, J.L.; Kropat, J.; Sommer, F.; Strenkert, D.; et al. Nitrogen-Sparing Mechanisms in Chlamydomonas Affect the Transcriptome, the Proteome, and Photosynthetic Metabolism. Plant Cell 2014, 26, 1410–1435. [Google Scholar] [CrossRef] [PubMed] [Green Version]
- Yamasaki, S.; Anderson, P. Reprogramming mRNA Translation during Stress. Curr. Opin. Cell Biol. 2008, 20, 222–226. [Google Scholar] [CrossRef] [PubMed]
- Hummel, M.; Cordewener, J.H.G.; de Groot, J.C.M.; Smeekens, S.; America, A.H.P.; Hanson, J. Dynamic Protein Composition of Arabidopsis Thaliana Cytosolic Ribosomes in Response to Sucrose Feeding as Revealed by Label Free MSE Proteomics. Proteomics 2012, 12, 1024–1038. [Google Scholar] [CrossRef]
- Li, Y.; Xu, S.; Wang, Z.; He, L.; Xu, K.; Wang, G. Glucose Triggers Stomatal Closure Mediated by GIN1, GIN2, PYR/RCAR, ROS, NO, CDPK6 and SLAC1 in Arabidposis. J. Exp. Bot. 2018, 69, 1471–1484. [Google Scholar] [CrossRef] [PubMed]
- Xu, X.; Yang, Y.; Liu, C.; Sun, Y.; Zhang, T.; Hou, M.; Huang, S.; Yuan, H. The Evolutionary History of the Sucrose Synthase Gene Family in Higher Plants. BMC Plant Biol. 2019, 19, 566. [Google Scholar] [CrossRef]
- Dong, X.; Duan, S.; Wang, H.; Jin, H. Plastid Ribosomal Protein LPE2 Is Involved in Photosynthesis and the Response to C/N Balance in Arabidopsis Thaliana. J. Integr. Plant Biol. 2020, 62, 1418–1432. [Google Scholar] [CrossRef] [PubMed]
- Sprenger, N.; Keller, F. Allocation of Raffinose Family Oligosaccharides to Transport and Storage Pools in Ajuga Reptans: The Roles of Two Distinct Galactinol Synthases. Plant J. 2000, 21, 249–258. [Google Scholar] [CrossRef]
- Peterbauer, T.; Richter, A. Biochemistry and Physiology of Raffinose Family Oligosaccharides and Galactosyl Cyclitols in Seeds. Seed Sci. Res. 2001, 11, 185–197. [Google Scholar]
- Taji, T.; Ohsumi, C.; Iuchi, S.; Seki, M.; Kasuga, M.; Kobayashi, M.; Yamaguchi-Shinozaki, K.; Shinozaki, K. Important Roles of Drought- and Cold-Inducible Genes for Galactinol Synthase in Stress Tolerance in Arabidopsis Thaliana. Plant J. 2002, 29, 417–426. [Google Scholar] [CrossRef]
- Vinson, C.C.; Mota, A.P.Z.; Porto, B.N.; Oliveira, T.N.; Sampaio, I.; Lacerda, A.L.; Danchin, E.G.J.; Guimaraes, P.M.; Williams, T.C.R.; Brasileiro, A.C.M. Characterization of Raffinose Metabolism Genes Uncovers a Wild Arachis Galactinol Synthase Conferring Tolerance to Abiotic Stresses. Sci. Rep. 2020, 10, 15258. [Google Scholar] [CrossRef]
- Selvaraj, M.G.; Ishizaki, T.; Valencia, M.; Ogawa, S.; Dedicova, B.; Ogata, T.; Yoshiwara, K.; Maruyama, K.; Kusano, M.; Saito, K.; et al. Overexpression of an Arabidopsis Thaliana Galactinol Synthase Gene Improves Drought Tolerance in Transgenic Rice and Increased Grain Yield in the Field. Plant Biotechnol. J. 2017, 15, 1465–1477. [Google Scholar] [CrossRef]
- Sun, Z.; Qi, X.; Wang, Z.; Li, P.; Wu, C.; Zhang, H.; Zhao, Y. Overexpression of TsGOLS2, a Galactinol Synthase, in Arabidopsis Thaliana Enhances Tolerance to High Salinity and Osmotic Stresses. Plant Physiol. Biochem. 2013, 69, 82–89. [Google Scholar] [CrossRef]
- Xu, J.-J.; Fang, X.; Li, C.-Y.; Yang, L.; Chen, X.Y. General and Specialized Tyrosine Metabolism Pathways in Plants. Abiotech 2020, 1, 97–105. [Google Scholar] [CrossRef]
- Maeda, H.; Dudareva, N. The Shikimate Pathway and Aromatic Amino Acid Biosynthesis in Plants. Annu. Rev. Plant Biol. 2012, 63, 73–105. [Google Scholar] [CrossRef]
- Tran, L.T.; Taylor, J.S.; Constabel, C.P. The Polyphenol Oxidase Gene Family in Land Plants: Lineage-Specific Duplication and Expansion. BMC Genom. 2012, 13. [Google Scholar] [CrossRef]
- Chen, X.; Yang, B.; Huang, W.; Wang, T.; Li, Y.; Zhong, Z.; Yang, L.; Li, S.; Tian, J. Comparative Proteomic Analysis Reveals Elevated Capacity for Photosynthesis in Polyphenol Oxidase Expression-Silenced Clematis Terniflora DC. Leaves. Int. J. Mol. Sci. 2018, 19, 3897. [Google Scholar] [CrossRef]
- Araji, S.; Grammer, T.A.; Gertzen, R.; Anderson, S.D.; Mikulic-Petkovsek, M.; Veberic, R.; Phu, M.L.; Solar, A.; Leslie, C.A.; Dandekar, A.M.; et al. Novel Roles for the Polyphenol Oxidase Enzyme in Secondary Metabolism and the Regulation of Cell Death in Walnut. Plant Physiol. 2014, 164, 1191–1203. [Google Scholar] [CrossRef] [PubMed]
- Li, L.; Steffens, J.C. Overexpression of Polyphenol Oxidase in Transgenic Tomato Plants Results in Enhanced Bacterial Disease Resistance. Planta 2002, 215, 239–247. [Google Scholar] [CrossRef] [PubMed]
- Thipyapong, P.; Hunt, M.D.; Steffens, J.C. Antisense Downregulation of Polyphenol Oxidase Results in Enhanced Disease Susceptibility. Planta 2004, 220, 105–117. [Google Scholar] [CrossRef]
- Wang, J.; Constabel, C.P. Polyphenol Oxidase Overexpression in Transgenic Populus Enhances Resistance to Herbivory by Forest Tent Caterpillar (Malacosoma Disstria). Planta 2004, 220, 87–96. [Google Scholar] [CrossRef] [PubMed]
- Boeckx, T.; Winters, A.L.; Webb, K.J.; Kingston-Smith, A.H. Polyphenol Oxidase in Leaves: Is There Any Significance to the Chloroplastic Localization? J. Exp. Bot. 2015, 66, 3571–3579. [Google Scholar] [CrossRef] [PubMed]
- Zhao, Z.; Assmann, S.M. The Glycolytic Enzyme, Phosphoglycerate Mutase, Has Critical Roles in Stomatal Movement, Vegetative Growth, and Pollen Production in Arabidopsis Thaliana. J. Exp. Bot. 2011, 62, 5179–5189. [Google Scholar] [CrossRef] [PubMed] [Green Version]
- Rosa-Téllez, S.; Anoman, A.D.; Flores-Tornero, M.; Toujani, W.; Alseek, S.; Fernie, A.R.; Nebauer, S.G.; Muñoz-Bertomeu, J.; Segura, J.; Ros, R. Phosphoglycerate Kinases Are Co-Regulated to Adjust Metabolism and to Optimize Growth. Plant Physiol. 2018, 176, 1182–1198. [Google Scholar] [CrossRef] [PubMed]
- Baier, M.; Dietz, K.-J. Chloroplasts as Source and Target of Cellular Redox Regulation: A Discussion on Chloroplast Redox Signals in the Context of Plant Physiology. J. Exp. Bot. 2005, 56, 1449–1462. [Google Scholar] [CrossRef]
- Su, T.; Han, M.; Min, J.; Cao, D.; Zhai, G.; Zhou, H.; Li, N.; Li, M. Genome-Wide Characterization of AspATs in Populus: Gene Expression Variation and Enzyme Activities in Response to Nitrogen Perturbations. Forests 2019, 10, 449. [Google Scholar] [CrossRef] [Green Version]
Publisher’s Note: MDPI stays neutral with regard to jurisdictional claims in published maps and institutional affiliations. |
© 2022 by the authors. Licensee MDPI, Basel, Switzerland. This article is an open access article distributed under the terms and conditions of the Creative Commons Attribution (CC BY) license (https://creativecommons.org/licenses/by/4.0/).











