Dendritic Mesoporous Silica Nanoparticle Supported PtSn Catalysts for Propane Dehydrogenation
Abstract
1. Introduction
2. Results and Discussion
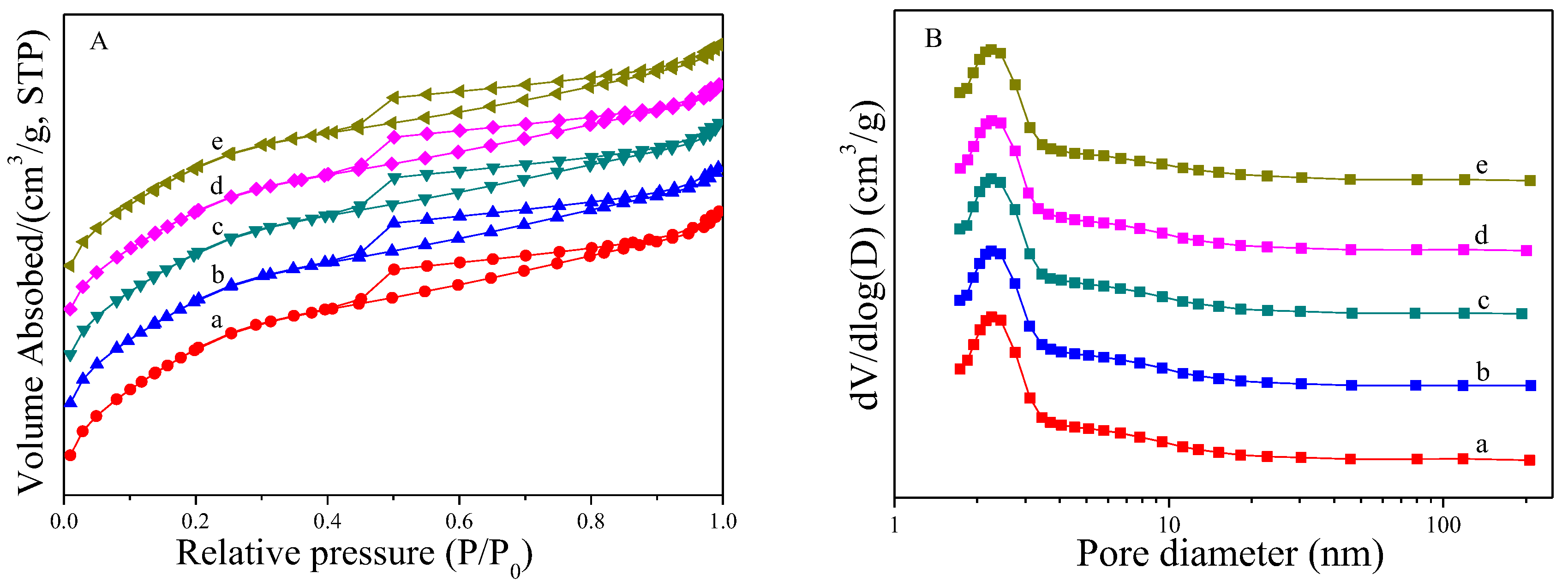
2.1. Analysis of Physico-Chemical Properties
2.2. Catalytic Performance of Propane Dehydrogenation
2.3. Characterization Results of the Spent Catalysts
3. Materials and Methods
3.1. Catalyst Preparation
3.2. Characterization
3.3. Catalytic Activity Test
4. Conclusions
Author Contributions
Funding
Institutional Review Board Statement
Informed Consent Statement
Data Availability Statement
Acknowledgments
Conflicts of Interest
References
- Bai, P.; Ma, Z.; Li, T.; Tian, Y.; Zhang, Z.; Zhong, Z.; Xing, W.; Wu, P.; Liu, X.; Yan, Z. Relationship between surface chemistry and catalytic performance of mesoporous γ-Al2O3 supported VOX catalyst in catalytic dehydrogenation of propane. ACS Appl. Mater. Interfaces 2016, 8, 25979–25990. [Google Scholar] [CrossRef] [PubMed]
- Zhao, D.; Guo, K.; Han, S.; Doronkin, D.E.; Lund, H.; Li, J.; Grunwaldt, J.-D.; Zhao, Z.; Xu, C.; Jiang, G.; et al. Controlling reaction-induced loss of active sites in ZnOx/silicalite-1 for durable nonoxidative propane dehydrogenation. ACS Catal. 2022, 12, 4608–4617. [Google Scholar] [CrossRef]
- Frank, B.; Cotter, T.P.; Schuster, M.E.; Schlögl, R.; Trunschke, A. Carbon dynamics on the molybdenum carbide surface during catalytic propane dehydrogenation. Chem. Eur. J. 2013, 19, 16938–16945. [Google Scholar] [CrossRef] [PubMed]
- Zhang, T.; Guo, X.; Song, C.; Liu, Y.; Zhao, Z. Fabrication of isolated VOx sites on alumina for highly active and stable non-oxidative dehydrogenation. J. Phys. Chem. C 2021, 125, 19229–19237. [Google Scholar] [CrossRef]
- Bian, Z.; Dewangan, N.; Wang, Z.; Pati, S.; Xi, S.; Borgna, A.; Kus, H.; Kawi, S. Mesoporous-silica-stabilized cobalt(II) oxide nanoclusters for propane dehydrogenation. ACS Appl. Nano Mater. 2021, 4, 1112–1125. [Google Scholar] [CrossRef]
- Searles, K.; Siddiqi, G.; Safonova, O.V.; Copéret, C. Silica-supported isolated gallium sites as highly active, selective and stable propane dehydrogenation catalysts. Chem. Sci. 2017, 8, 2661–2666. [Google Scholar] [CrossRef] [PubMed]
- Castro-Fernández, P.; Mance, D.; Liu, C.; Abdala, P.M.; Willinger, E.; Rossinelli, A.A.; Serykh, A.I.; Pidko, E.A.; Copéret, C.; Fedorov, A.; et al. Bulk and surface transformations of Ga2O3 nanoparticle catalysts for propane dehydrogenation induced by a H2 treatment. J. Catal. 2022, 408, 155–164. [Google Scholar] [CrossRef]
- Yun, J.H.; Lobo, R.F. Catalytic dehydrogenation of propane over iron-silicate zeolites. J. Catal. 2014, 312, 263–270. [Google Scholar] [CrossRef]
- Sun, Y.; Wu, Y.; Shan, H.; Wang, G.; Li, C. Studies on the promoting effect of sulfate species in catalytic dehydrogenation of propane over Fe2O3/Al2O3 catalysts. Catal. Sci. Technol. 2015, 5, 1290–1298. [Google Scholar] [CrossRef]
- Schäferhans, J.; Gómez-Quero, S.; Andreeva, D.V.; Rothenberg, G. Novel and effective copper–aluminum propane dehydrogenation catalysts. Chem. Eur. J. 2011, 17, 12254–12256. [Google Scholar] [CrossRef]
- Zhang, B.; Song, M.; Liu, H.; Li, G.; Liu, S.; Wang, L.; Zhang, X.; Liu, G. Role of Ni species in ZnO supported on Silicalite-1 for efficient propane dehydrogenation. Chin. J. Chem. Eng. 2022, 43, 240–247. [Google Scholar] [CrossRef]
- Sharma, L.; Baltrus, J.; Rangarajan, S.; Baltrusaitis, J. Elucidating the underlying surface chemistry of Sn/Al2O3 catalysts during the propane dehydrogenation in the presence of H2S co-feed. Appl. Surf. Sci. 2022, 573, 151205. [Google Scholar] [CrossRef]
- Wang, G.; Zhang, H.; Wang, H.; Zhu, Q.; Li, C.; Shan, H. The role of metallic Sn species in catalytic dehydrogenation of propane: Active component rather than only promoter. J. Catal. 2016, 344, 606–608. [Google Scholar] [CrossRef]
- Zhao, S.; Xu, B.; Yu, L.; Fan, Y. Honeycomb-shaped PtSnNa/γ-Al2O3/cordierite monolithic catalyst with improved stability and selectivity for propane dehydrogenation. Chin. Chem. Lett. 2018, 29, 884–886. [Google Scholar] [CrossRef]
- Zhao, S.; Xu, B.; Yu, L.; Fan, Y. Catalytic dehydrogenation of propane to propylene over highly active PtSnNa/γ-Al2O3 catalyst. Chin. Chem. Lett. 2018, 29, 475–478. [Google Scholar] [CrossRef]
- Xie, J.; Jiang, H.; Qian, Y.; Wang, H.; An, N.; Chen, S.; Dai, Y.; Guo, S. Fine tuning the morphology of spinel as ultra-stable catalyst support in propane dehydrogenation. Adv. Mater. Interfaces 2021, 8, 2101325. [Google Scholar] [CrossRef]
- Lezcano-González, I.; Cong, P.; Campbell, E.; Panchal, M.; Agote-Arán, M.; Celorrio, V.; He, Q.; Oord, R.; Weckhuysen, B.M.; Beale, A.M. Structure-activity relationships in highly active platinum-tin MFI-type zeolite catalysts for propane dehydrogenation. ChemCatChem 2022, 14, e202101828. [Google Scholar] [CrossRef]
- Wang, X.; Hu, H.; Zhang, N.; Song, J.; Fan, X.; Zhao, Z.; Kong, L.; Xiao, X.; Xie, Z. One-Pot synthesis of MgAlO support for PtSn catalysts over propane dehydrogenation. ChemistrySelect 2022, 7, e202104367. [Google Scholar] [CrossRef]
- Llorca, J.; Homs, N.; León, J.; Sales, J.; Fierro, J.L.G.; Ramirez de la Piscina, P. Supported Pt–Sn catalysts highly selective for isobutane dehydrogenation: Preparation, characterization and catalytic behavior. Appl. Catal. A Gen. 1999, 189, 77–86. [Google Scholar] [CrossRef]
- Sexton, B.A.; Hughes, A.E.; Foger, K. An X-ray photoelectron spectroscopy and reaction study of Pt Sn catalysts. J. Catal. 1984, 88, 466–477. [Google Scholar] [CrossRef]
- Motagamwala, A.H.; Almallahi, R.; Wortman, J.; Igenegbai, V.O.; Linic, S. Stable and selective catalysts for propane dehydrogenation operating at thermodynamic limit. Science 2021, 373, 217–222. [Google Scholar] [CrossRef] [PubMed]
- Xiong, H.; Lin, S.; Goetze, J.; Pletcher, P.; Guo, H.; Kovarik, L.; Artyushkova, K.; Weckhuysen, B.M.; Datye, A.K. Thermally stable and regenerable platinum–tin clusters for propane dehydrogenation prepared by atom trapping on ceria. Angew. Chem. Int. Ed. 2017, 56, 8986–8991. [Google Scholar] [CrossRef] [PubMed]
- Wang, J.; Chang, X.; Chen, S.; Sun, G.; Zhou, X.; Vovk, E.; Yang, Y.; Deng, W.; Zhao, Z.-J.; Mu, R.; et al. On the role of Sn segregation of Pt-Sn catalysts for propane dehydrogenation. ACS Catal. 2021, 11, 4401–4410. [Google Scholar] [CrossRef]
- Liu, L.; Lopez-Haro, M.; Lopes, C.W.; Meira, D.M.; Concepcion, P.; Calvino, J.J.; Corma, A. Atomic-level understanding on the evolution behavior of subnanometric Pt and Sn species during high-temperature treatments for generation of dense PtSn clusters in zeolites. J. Catal. 2020, 391, 11–24. [Google Scholar] [CrossRef]
- Gao, X.; Xu, W.; Li, X.; Cen, J.; Xu, Y.; Lin, L.; Yao, S. Non-oxidative dehydrogenation of propane to propene over Pt-Sn/Al2O3 catalysts: Identification of the nature of active site. Chem. Eng. J. 2022, 443, 136393. [Google Scholar] [CrossRef]
- Sun, Q.; Wang, N.; Fan, Q.; Zeng, L.; Mayoral, A.; Miao, S.; Yang, R.; Jiang, Z.; Zhou, W.; Zhang, J.; et al. Subnanometer bimetallic platinum–zinc clusters in zeolites for propane dehydrogenation. Angew. Chem. Int. Ed. 2020, 59, 2–11. [Google Scholar] [CrossRef]
- Wang, Y.; Hu, Z.P.; Lv, X.; Chen, L.; Yuan, Z.Y. Ultrasmall PtZn bimetallic nanoclusters encapsulated in silicalite-1 zeolite with superior performance for propane dehydrogenation. J. Catal. 2020, 385, 61–69. [Google Scholar] [CrossRef]
- Sun, G.; Zhao, Z.J.; Mu, R.; Zha, S.; Li, L.; Chen, S.; Zang, K.; Luo, J.; Li, Z.; Purdy, S.C.; et al. Breaking the scaling relationship via thermally stable Pt/Cu single atom alloys for catalytic dehydrogenation. Nat. Commun. 2018, 9, 4454. [Google Scholar] [CrossRef]
- Cai, W.; Mu, R.; Zha, S.; Sun, G.; Chen, S.; Zhao, Z.J.; Li, H.; Tian, H.; Tang, Y.; Tao, F.; et al. Subsurface catalysis-mediated selectivity of dehydrogenation reaction. Sci. Adv. 2018, 4, 5418–5425. [Google Scholar] [CrossRef]
- Liu, D.; Hu, H.; Yang, Y.; Cui, J.; Fan, X.; Zhao, Z.; Kong, L.; Xiao, X.; Xie, Z. Restructuring effects of Pt and Fe in Pt/Fe-DMSN catalysts and their enhancement of propane dehydrogenation. Catal. Today 2022, 402, 161–171. [Google Scholar] [CrossRef]
- Cesar, L.G.; Yang, C.; Lu, Z.; Ren, Y.; Zhang, G.; Miller, J.T. Identification of a Pt3Co surface intermetallic alloy in Pt–Co propane dehydrogenation catalysts. ACS. Catal. 2019, 9, 5231–5244. [Google Scholar] [CrossRef]
- Searles, K.; Chan, K.W.; Mendes Burak, J.A.; Zemlyanov, D.; Safonova, O.; Copéret, C. Highly productive propane dehydrogenation catalyst using silica-supported Ga–Pt nanoparticles generated from single-sites. J. Am. Chem. Soc. 2018, 140, 11674–11679. [Google Scholar] [CrossRef] [PubMed]
- Sun, P.; Siddiqi, G.; Vining, W.C.; Chi, M.; Bell, A.T. Novel Pt/Mg (In)(Al) O catalysts for ethane and propane dehydrogenation. J. Catal. 2011, 282, 165–174. [Google Scholar] [CrossRef]
- Srisakwattana, T.; Watmanee, S.; Wannakao, S.; Saiyasombat, C.; Praserthdam, P.; Panpranot, J. Comparative incorporation of Sn and In in Mg(Al)O for the enhanced stability of Pt/MgAl(X)O catalysts in propane dehydrogenation. Appl. Catal. A Gen. 2021, 615, 118053. [Google Scholar] [CrossRef]
- Rochlitz, L.; Pessemesse, Q.; Fischer, J.W.A.; Klose, D.; Clark, A.H.; Plodinec, M.; Jeschke, G.; Payard, P.-A.; Copéret, C. A robust and efficient propane dehydrogenation catalyst from unexpectedly segregated Pt2Mn nanoparticles. J. Am. Chem. Soc. 2022, 144, 13384–13393. [Google Scholar] [CrossRef] [PubMed]
- Fan, X.; Liu, D.; Sun, X.; Yu, X.; Li, D.; Yang, Y.; Liu, H.; Diao, J.; Xie, Z.; Kong, L.; et al. Mn-doping induced changes in Pt dispersion and PtxMny alloying extent on Pt/Mn-DMSN catalyst with enhanced propane dehydrogenation stability. J. Catal. 2020, 389, 450–460. [Google Scholar] [CrossRef]
- Tong, Q.; Zhao, S.; Liu, Y.; Xu, B.; Yu, L.; Fan, Y. Design and synthesis of the honeycomb PtSnNa/ZSM-5 monolithic catalyst for propane dehydrogenation. Appl. Organometal. Chem. 2019, 34, e5380. [Google Scholar] [CrossRef]
- Deng, L.; Miura, H.; Shishido, T.; Hosokawa, S.; Teramura, K.; Tanaka, T. Strong metal-support interaction between Pt and SiO2 following high-temperature reduction: A catalytic interface for propane dehydrogenation. Chem. Commun. 2017, 53, 6937–6940. [Google Scholar] [CrossRef]
- Shi, L.; Deng, G.M.; Li, W.C.; Miao, S.; Wang, Q.N.; Zhang, W.P.; Lu, A.H. Al2O3 Nanosheets rich in pentacoordinate Al3+ ions stabilize Pt-Sn clusters for propane dehydrogenation. Angew. Chem. Int. Ed. 2015, 54, 13994–13998. [Google Scholar] [CrossRef]
- Zhou, H.; Gong, J.; Xu, B.; Deng, S.; Ding, Y.; Yu, L.; Fan, Y. PtSnNa/SUZ-4: An efficient catalyst for propane dehydrogenation. Chin. J. Catal. 2017, 38, 529–536. [Google Scholar] [CrossRef]
- Smoliło-Utrata, M.; Tarach, K.A.; Samson, K.; Gackowski, M.; Madej, E.; Korecki, J.; Mordarski, G.; Śliwa, M.; Jarczewski, S.; Podobiński, J.; et al. Modulation of ODH propane selectivity by zeolite support desilication: Vanadium species anchored to Al-rich shell as crucial active sites. Int. J. Mol. Sci. 2022, 23, 5584. [Google Scholar] [CrossRef]
- Singh, B.; Polshettiwar, V. Design of CO2 sorbents using functionalized fibrous nanosilica (KCC-1): Insights into the effect of the silica morphology (KCC-1 vs. MCM-41). J. Mater. Chem. A 2016, 4, 7005–7019. [Google Scholar] [CrossRef]
- Fihri, A.; Bouhrara, M.; Patil, U.; Cha, D.; Saih, Y.; Polshettiwar, V. Fibrous nano-silica supported ruthenium (KCC-1/Ru): A sustainable catalyst for the hydrogenolysis of alkanes with good catalytic activity and lifetime. ACS. Catal. 2012, 2, 1425–1431. [Google Scholar] [CrossRef]
- Fan, X.; Li, J.; Zhao, Z.; Wei, Y.; Liu, J.; Duan, A.; Jiang, G. Dehydrogenation of propane over PtSnAl/SBA-15 catalysts: Al addition effect and coke formation analysis. Catal. Sci. Technol. 2015, 5, 339–350. [Google Scholar] [CrossRef]
- Febriyanti, E.; Suendo, V.; Mukti, R.R.; Prasetyo, A.; Arifin, A.F.; Akbar, M.A.; Triwahyono, S.; Marsih, I.N. Further insight into the definite morphology and formation mechanism of mesoporous silica KCC-1. Langmuir 2016, 32, 5802–5811. [Google Scholar] [CrossRef]
- Deng, L.; Miura, H.; Shishido, T.; Hosokawa, S.; Teramura, K.; Tanaka, T. Dehydrogenation of propane over silica-supported platinum–tin catalysts prepared by direct reduction: Effects of tin/platinum ratio and reduction temperature. ChemCatChem 2014, 6, 2680–2691. [Google Scholar] [CrossRef]
- Fan, X.; Li, J.; Zhao, Z.; Wei, Y.; Liu, J.; Duan, A.; Jiang, G. Dehydrogenation of propane over PtSn/SBA-15 catalysts: Effect of the amount of metal loading and state. RSC. Adv. 2015, 5, 28305–28315. [Google Scholar] [CrossRef]
- Wachs, I.E. Raman and IR studies of surface metal oxide species on oxide supports: Supported metal oxide catalysts. Catal. Today 1996, 27, 437–455. [Google Scholar] [CrossRef]
- Li, C.; Xiong, G.; Liu, J.; Ying, P.; Xin, Q.; Feng, Z. Identifying framework titanium in TS-1 zeolite by UV resonance Raman spectroscopy. J. Phys. Chem. 2001, 105, 2993–2997. [Google Scholar] [CrossRef]
- Yu, X.; Li, J.; Wei, Y.; Zhao, Z.; Liu, J.; Jin, B.; Duan, A.; Jiang, G. Three-dimensionally ordered macroporous MnxCe1–xOδ and Pt/Mn0.5Ce0.5Oδ catalysts: Synthesis and catalytic performance for soot oxidation. Ind. Eng. Chem. Res. 2014, 53, 9653–9664. [Google Scholar] [CrossRef]
- Gong, N.; Zhao, Z. Efficient supported Pt-Sn catalyst on carambola-like alumina for direct dehydrogenation of propane to propene. Mol. Catal. 2019, 477, 110543. [Google Scholar] [CrossRef]
- Li, B.; Xu, Z.; Jing, F.; Luo, S.; Chu, W. Facile one-pot synthesized ordered mesoporous Mg-SBA-15 supported PtSn catalysts for propane dehydrogenation. Appl. Catal. A Gen. 2017, 533, 17–27. [Google Scholar] [CrossRef]
- Ye, C.; Mao, P.; Wang, Y.; Zhang, N.; Wang, D.; Jiao, M.; Miller, J.T. Surface hexagonal Pt1Sn1 intermetallic on Pt nanoparticles for selective propane dehydrogenation. ACS Appl. Mater. Interfaces 2020, 12, 25903–25909. [Google Scholar] [CrossRef] [PubMed]
- Vu, B.K.; Shin, E.W.; Ahn, I.Y.; Ha, J.M.; Suh, D.J.; Kim, W.I.; Koh, H.L.; Choi, Y.G.; Lee, S.B. The effect of tin–support interaction on catalytic stability over Pt–Sn/xAl–SBA-15 catalysts for propane dehydrogenation. Catal. Lett. 2012, 142, 838–844. [Google Scholar] [CrossRef]
- Yang, M.L.; Zhu, Y.A.; Zhou, X.G.; Sui, Z.J.; Chen, D. First-principles calculations of propane dehydrogenation over PtSn catalysts. ACS Catal. 2012, 2, 1247–1258. [Google Scholar] [CrossRef]








| Samples | S BET a (m2·g−1) | V t b (cm3·g−1) | V mes c (cm3·g−1) | d BJH d (nm) |
|---|---|---|---|---|
| Pt/DMSN | 1091.8 | 0.79 | 0.55 | 3.2 |
| Pt1Sn1/DMSN | 1061.9 | 0.75 | 0.53 | 3.1 |
| Pt1Sn2/DMSN | 1042.1 | 0.74 | 0.52 | 3.2 |
| Pt1Sn3/DMSN | 1018.6 | 0.72 | 0.51 | 3.1 |
| Pt1Sn4/DMSN | 1005.5 | 0.71 | 0.49 | 3.2 |
| Catalyst | Reaction Temperature (°C) | WHSV (h−1) | Feed Composition | Equilibrium Conversion (%) | Initial Conversion (%) | Initial Selectivity (%) | kd (h−1) | Ref |
|---|---|---|---|---|---|---|---|---|
| Pt/Sn-MFI | 600 | 3.2 | Pure C3H8 | 49.3 | 42 | 95 | 0.012 | [17] |
| Pt1Sn1/SiO2 | 580 | 4.7 | C3H8:He = 4:21 | 67 | 66.5 | ~99 | 0.008 | [21] |
| Pt-Sn/SBA-15 | 600 | 16.5 | C3H8:H2:N2 = 14:14:72 | 60.8 | ~40 | ~92 | ~0.09 | [23] |
| K-PtSn@MFI | 650 | 29.5 | C3H8:N2 = 5:16 | 83.5 | ~55 | ~99 | ~0.006 | [24] |
| 4SnPt/SiO2 | 500 | 17.7 | C3H8:H2:N2 = 2:3:95 | 45.7 | ~11 | 99 | 0.004 | [53] |
| Pt-Sn/xAlSBA-15 | 600 | 11.8 | C3H8:N2 = 3:10 | 52.7 | 25.5 | ~97 | 0.22 | [54] |
| Pt1Sn2/DMSN | 590 | 2.4 | Pure C3H8 | 40.8 | 34.9 | 96.7 | 0.09 | This work |
Publisher’s Note: MDPI stays neutral with regard to jurisdictional claims in published maps and institutional affiliations. |
© 2022 by the authors. Licensee MDPI, Basel, Switzerland. This article is an open access article distributed under the terms and conditions of the Creative Commons Attribution (CC BY) license (https://creativecommons.org/licenses/by/4.0/).
Share and Cite
Zhang, N.; Shan, Y.; Song, J.; Fan, X.; Kong, L.; Xiao, X.; Xie, Z.; Zhao, Z. Dendritic Mesoporous Silica Nanoparticle Supported PtSn Catalysts for Propane Dehydrogenation. Int. J. Mol. Sci. 2022, 23, 12724. https://doi.org/10.3390/ijms232112724
Zhang N, Shan Y, Song J, Fan X, Kong L, Xiao X, Xie Z, Zhao Z. Dendritic Mesoporous Silica Nanoparticle Supported PtSn Catalysts for Propane Dehydrogenation. International Journal of Molecular Sciences. 2022; 23(21):12724. https://doi.org/10.3390/ijms232112724
Chicago/Turabian StyleZhang, Ning, Yiou Shan, Jiaxin Song, Xiaoqiang Fan, Lian Kong, Xia Xiao, Zean Xie, and Zhen Zhao. 2022. "Dendritic Mesoporous Silica Nanoparticle Supported PtSn Catalysts for Propane Dehydrogenation" International Journal of Molecular Sciences 23, no. 21: 12724. https://doi.org/10.3390/ijms232112724
APA StyleZhang, N., Shan, Y., Song, J., Fan, X., Kong, L., Xiao, X., Xie, Z., & Zhao, Z. (2022). Dendritic Mesoporous Silica Nanoparticle Supported PtSn Catalysts for Propane Dehydrogenation. International Journal of Molecular Sciences, 23(21), 12724. https://doi.org/10.3390/ijms232112724
