Mechanism of Phase Separation in Aqueous Two-Phase Systems
Abstract
1. Introduction
2. Results
2.1. Mesoscopic Changes in the Analyzed Systems Detected by DLS
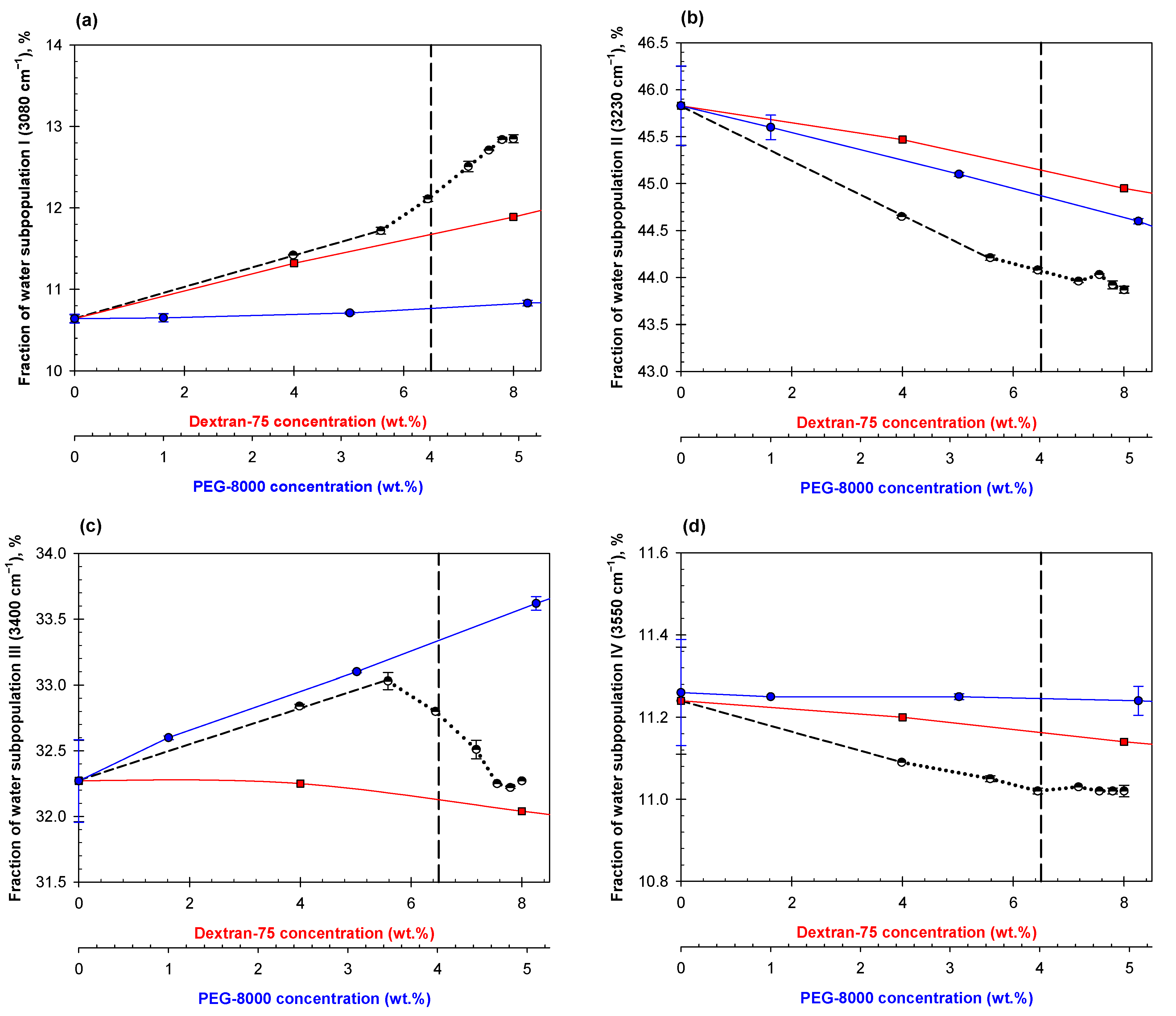
2.2. Changes in Water Structure Detected by ATR-FTIR
3. Discussion
4. Materials and Methods
4.1. Materials
4.2. Methods
4.2.1. Preparation of Aqueous Two-Phase Systems
4.2.2. Attenuated Total Reflection—Fourier Transform Infrared Spectroscopy Analysis
4.2.3. Dynamic Light Scattering
5. Conclusions
- Polymer agglomerates are formed in the aqueous mixtures of two polymers and single polymer and salt prior to visual macroscopic phase separation.
- Abrupt changes in the H-bond rearrangement in aqueous mixtures of two phase-forming polymers or a single polymer and inorganic salt occurs prior to the visually detectable macroscopic phase separation. This finding implies that the separation of mesoscopic pro-phases represents the initial state in the formation of aqueous two-phase systems.
- A theoretical model of liquid-liquid phase separation in aqueous media, based on the solvent concentration functional, is supported by these experimental findings.
Supplementary Materials
Author Contributions
Funding
Institutional Review Board Statement
Informed Consent Statement
Data Availability Statement
Conflicts of Interest
References
- Hyman, A.A.; Simons, K. Cell biology. Beyond oil and water--phase transitions in cells. Science 2012, 337, 1047–1049. [Google Scholar] [CrossRef] [PubMed]
- Hyman, A.A.; Weber, C.A.; Julicher, F. Liquid-liquid phase separation in biology. Annu. Rev. Cell Dev. Biol. 2014, 30, 39–58. [Google Scholar] [CrossRef] [PubMed]
- Shin, Y.; Brangwynne, C.P. Liquid phase condensation in cell physiology and disease. Science 2017, 357, eaaf4382. [Google Scholar] [CrossRef] [PubMed]
- Stroberg, W.; Schnell, S. On the origin of non-membrane-bound organelles, and their physiological function. J. Theor. Biol. 2017, 434, 42–49. [Google Scholar] [CrossRef]
- Bentley, E.P.; Frey, B.B.; Deniz, A.A. Physical Chemistry of Cellular Liquid-Phase Separation. Chem. A Eur. J. 2019, 25, 5600–5610. [Google Scholar] [CrossRef]
- Berry, J.; Brangwynne, C.P.; Haataja, M. Physical principles of intracellular organization via active and passive phase transitions. Rep. Prog. Phys. 2018, 81, 046601. [Google Scholar] [CrossRef]
- Falahati, H.; Haji-Akbari, A. Thermodynamically driven assemblies and liquid–liquid phase separations in biology. Soft Matter 2019, 15, 1135–1154. [Google Scholar] [CrossRef]
- Wang, J.; Choi, J.M.; Holehouse, A.S.; Lee, H.O.; Zhang, X.; Jahnel, M.; Maharana, S.; Lemaitre, R.; Pozniakovsky, A.; Drechsel, D.; et al. A Molecular Grammar Governing the Driving Forces for Phase Separation of Prion-like RNA Binding Proteins. Cell 2018, 174, 688–699.e616. [Google Scholar] [CrossRef]
- Yoo, H.; Triandafillou, C.; Drummond, D.A. Cellular sensing by phase separation: Using the process, not just the products. J. Biol. Chem. 2019, 294, 7151–7159. [Google Scholar] [CrossRef]
- Harrison, A.F.; Shorter, J. RNA-binding proteins with prion-like domains in health and disease. Biochem. J. 2017, 474, 1417–1438. [Google Scholar] [CrossRef]
- Martin, N. Dynamic synthetic cells based on liquid–liquid phase separation. ChemBioChem 2019, 20, 2553–2568. [Google Scholar] [CrossRef] [PubMed]
- Dignon, G.L.; Zheng, W.; Kim, Y.C.; Mittal, J. Temperature-controlled liquid–liquid phase separation of disordered proteins. ACS Cent. Sci. 2019, 5, 821–830. [Google Scholar] [CrossRef] [PubMed]
- Roy, P.; Mael, L.E.; Makhnenko, I.; Martz, R.; Grassian, V.H.; Dutcher, C.S. Temperature-dependent phase transitions of aqueous aerosol droplet systems in microfluidic traps. ACS Earth Space Chem. 2020, 4, 1527–1539. [Google Scholar] [CrossRef]
- Ahlers, J.; Adams, E.M.; Bader, V.; Pezzotti, S.; Winklhofer, K.F.; Tatzelt, J.; Havenith, M. The key role of solvent in condensation: Mapping water in liquid-liquid phase-separated FUS. Biophys. J. 2021, 120, 1266–1275. [Google Scholar] [CrossRef]
- Bielskutė, S.; Garcia-Cabau, C.; Frigolé-Vivas, M.; Szulc, E.; De Mol, E.; Pesarrodona, M.; García, J.; Salvatella, X. Low amounts of heavy water increase the phase separation propensity of a fragment of the androgen receptor activation domain. Protein Sci. 2021, 30, 1427–1437. [Google Scholar] [CrossRef]
- Ferreira, L.A.; Cole, J.T.; Reichardt, C.; Holland, N.B.; Uversky, V.N.; Zaslavsky, B.Y. Solvent properties of water in aqueous solutions of elastin-like polypeptide. Int. J. Mol. Sci. 2015, 16, 13528–13547. [Google Scholar] [CrossRef]
- Ge, X.; Conley, A.J.; Brandle, J.E.; Truant, R.; Filipe, C.D. In vivo formation of protein based aqueous microcompartments. J. Am. Chem. Soc. 2009, 131, 9094–9099. [Google Scholar] [CrossRef]
- Johansson, H.O.; Persson, J.; Tjerneld, F. Thermoseparating water/polymer system: A novel one-polymer aqueous two-phase system for protein purification. Biotechnol. Bioeng. 1999, 66, 247–257. [Google Scholar] [CrossRef]
- Li, L.; Rumyantsev, A.M.; Srivastava, S.; Meng, S.; de Pablo, J.J.; Tirrell, M.V. Effect of solvent quality on the phase behavior of polyelectrolyte complexes. Macromolecules 2020, 54, 105–114. [Google Scholar] [CrossRef]
- Li, N.K.; Quiroz, F.G.; Hall, C.K.; Chilkoti, A.; Yingling, Y.G. Molecular description of the LCST behavior of an elastin-like polypeptide. Biomacromolecules 2014, 15, 3522–3530. [Google Scholar] [CrossRef]
- Moreau, N.G.; Martin, N.; Gobbo, P.; Tang, T.-Y.D.; Mann, S. Spontaneous membrane-less multi-compartmentalization via aqueous two-phase separation in complex coacervate micro-droplets. Chem. Commun. 2020, 56, 12717–12720. [Google Scholar] [CrossRef] [PubMed]
- Urry, D.W. Physical Chemistry of Biological Free Energy Transduction as Demonstrated by Elastic Protein-Based Polymers. J. Phys. Chem. B 1997, 101, 11007–11028. [Google Scholar] [CrossRef]
- Keating, C.D. Aqueous phase separation as a possible route to compartmentalization of biological molecules. Acc. Chem. Res. 2012, 45, 2114–2124. [Google Scholar] [CrossRef] [PubMed]
- Zaslavsky, B.Y. Aqueous Two-Phase Partitioning: Physical Chemistry and Bioanalytical Applications; CRC press: Boca Raton, FL, USA, 1994. [Google Scholar]
- Andersson, E.; Hahn-Hägerdal, B. Bioconversions in aqueous two-phase systems. Enzym. Microb. Technol. 1990, 12, 242–254. [Google Scholar] [CrossRef]
- Hatti-Kaul, R. Aqueous two-phase systems. Mol. Biotechnol. 2001, 19, 269–277. [Google Scholar] [CrossRef]
- da Silva, N.R.; Ferreira, L.A.; Madeira, P.P.; Teixeira, J.A.; Uversky, V.N.; Zaslavsky, B.Y. Analysis of partitioning of organic compounds and proteins in aqueous polyethylene glycol-sodium sulfate aqueous two-phase systems in terms of solute–solvent interactions. J. Chromatogr. A 2015, 1415, 1–10. [Google Scholar] [CrossRef]
- da Silva, N.R.; Ferreira, L.A.; Teixeira, J.A.; Uversky, V.N.; Zaslavsky, B.Y. Effects of sodium chloride and sodium perchlorate on properties and partition behavior of solutes in aqueous dextran-polyethylene glycol and polyethylene glycol-sodium sulfate two-phase systems. J. Chromatogr. A 2019, 1583, 28–38. [Google Scholar] [CrossRef]
- Ferreira, L.A.; Breydo, L.; Reichardt, C.; Uversky, V.N.; Zaslavsky, B.Y. Effects of osmolytes on solvent features of water in aqueous solutions. J. Biomol. Struct. Dyn. 2017, 35, 1055–1068. [Google Scholar] [CrossRef]
- Ferreira, L.A.; Madeira, P.P.; Uversky, V.N.; Zaslavsky, B.Y. Analyzing the effects of protecting osmolytes on solute–water interactions by solvatochromic comparison method: I. Small organic compounds. RSC Adv. 2015, 5, 59812–59822. [Google Scholar] [CrossRef]
- Titus, A.R.; Ferreira, L.A.; Belgovskiy, A.I.; Kooijman, E.E.; Mann, E.K.; Mann, J.A., Jr.; Meyer, W.V.; Smart, A.E.; Uversky, V.N.; Zaslavsky, B.Y. Interfacial tension and mechanism of liquid-liquid phase separation in aqueous media. Phys Chem Chem Phys 2020, 22, 4574–4580. [Google Scholar] [CrossRef]
- Atefi, E.; Mann Jr, J.A.; Tavana, H. Ultralow interfacial tensions of aqueous two-phase systems measured using drop shape. Langmuir 2014, 30, 9691–9699. [Google Scholar] [CrossRef] [PubMed]
- Zaslavsky, B.Y.; Ferreira, L.A.; Uversky, V.N. Driving Forces of Liquid–Liquid Phase Separation in Biological Systems; MDPI: Basel, Switzerland, 2019; Volume 9, p. 473. [Google Scholar]
- Feric, M.; Vaidya, N.; Harmon, T.S.; Mitrea, D.M.; Zhu, L.; Richardson, T.M.; Kriwacki, R.W.; Pappu, R.V.; Brangwynne, C.P. Coexisting Liquid Phases Underlie Nucleolar Subcompartments. Cell 2016, 165, 1686–1697. [Google Scholar] [CrossRef] [PubMed]
- Jawerth, L.M.; Ijavi, M.; Ruer, M.; Saha, S.; Jahnel, M.; Hyman, A.A.; Jülicher, F.; Fischer-Friedrich, E. Salt-Dependent Rheology and Surface Tension of Protein Condensates Using Optical Traps. Phys. Rev. Lett. 2018, 121, 258101. [Google Scholar] [CrossRef] [PubMed]
- Scott, R.L. The thermodynamics of high polymer solutions. V. Phase equilibria in the ternary system: Polymer 1—polymer 2—solvent. J. Chem. Phys. 1949, 17, 279–284. [Google Scholar] [CrossRef]
- Tompa, H. Phase relationships in polymer solutions. Trans. Faraday Soc. 1949, 45, 1142–1152. [Google Scholar] [CrossRef]
- Flory, P.J. Principles of Polymer Chemistry; Cornell University Press: Ithaca, NY, USA, 1953. [Google Scholar]
- Guan, Y.; Lilley, T.; Garcia-Lisbona, M.; Treffry, T. New approaches to aqueous polymer systems: Theory, thermodynamics and applications to biomolecular separations. Pure Appl. Chem. 1995, 67, 955–962. [Google Scholar] [CrossRef][Green Version]
- Guan, Y.; Lilley, T.H.; Treffry, T.E. Theory of phase equilibria for multicomponent aqueous solutions: Applications to aqueous polymer two-phase systems. J. Chem. Soc. Faraday Trans. 1993, 89, 4283–4298. [Google Scholar] [CrossRef]
- Zaslavsky, B.Y.; Bagirov, T.; Borovskaya, A.; Gulaeva, N.; Miheeva, L.; Mahmudov, A.; Rodnikova, M. Structure of water as a key factor of phase separation in aqueous mixtures of two nonionic polymers. Polymer 1989, 30, 2104–2111. [Google Scholar] [CrossRef]
- da Silva, N.; Ferreira, L.A.; Belgovskiy, A.I.; Madeira, P.P.; Teixeira, J.A.; Mann, E.K.; Mann, J.A., Jr.; Meyer, W.V.; Smart, A.E.; Chernyak, V.Y. Effects of different solutes on the physical chemical properties of aqueous solutions via rearrangement of hydrogen bonds in water. J. Mol. Liq. 2021, 335, 116288. [Google Scholar] [CrossRef]
- Ferreira, L.; Madeira, P.P.; Mikheeva, L.; Uversky, V.N.; Zaslavsky, B. Effect of salt additives on protein partition in polyethylene glycol–sodium sulfate aqueous two-phase systems. Biochim. Et Biophys. Acta BBA Proteins Proteom. 2013, 1834, 2859–2866. [Google Scholar] [CrossRef]
- Kitadai, N.; Sawai, T.; Tonoue, R.; Nakashima, S.; Katsura, M.; Fukushi, K. Effects of ions on the OH stretching band of water as revealed by ATR-IR spectroscopy. J. Solut. Chem. 2014, 43, 1055–1077. [Google Scholar] [CrossRef]
- Brini, E.; Fennell, C.J.; Fernandez-Serra, M.; Hribar-Lee, B.; Luksic, M.; Dill, K.A. How water’s properties are encoded in its molecular structure and energies. Chem. Rev. 2017, 117, 12385–12414. [Google Scholar] [CrossRef] [PubMed]
- Chen, Y.; Zhang, Y.-H.; Zhao, L.-J. ATR-FTIR spectroscopic studies on aqueous LiClO4, NaClO4, and Mg(ClO4)2 solutions. Phys. Chem. Chem. Phys. 2004, 6, 537–542. [Google Scholar] [CrossRef]
- Masuda, K.; Haramaki, T.; Nakashima, S.; Habert, B.; Martinez, I.; Kashiwabara, S. Structural change of water with solutes and temperature up to 100 C in aqueous solutions as revealed by attenuated total reflectance infrared spectroscopy. Appl. Spectrosc. 2003, 57, 274–281. [Google Scholar] [CrossRef]
- Pavelec, J.; DiGuiseppi, D.; Zavlavsky, B.Y.; Uversky, V.N.; Schweitzer-Stenner, R. Perturbation of water structure by water-polymer interactions probed by ftir and polarized raman spectroscopy. J. Mol. Liq. 2019, 275, 463–473. [Google Scholar] [CrossRef]
- Madeira, P.P.; Titus, A.R.; Ferreira, L.A.; Belgovskiy, A.I.; Mann, E.K.; Mann Jr, J.A.; Meyer, W.V.; Smart, A.E.; Uversky, V.N.; Zaslavsky, B.Y. Hydrogen Bond Arrangement Is Shown to Differ in Coexisting Phases of Aqueous Two-Phase Systems. Biomolecules 2021, 11, 1787. [Google Scholar] [CrossRef]
- Titus, A.R.; Madiera, P.P.; Ferreira, L.A.; Belgovskiy, A.I.; Mann, E.K.; Mann, J.A., Jr.; Meyer, W.V.; Smart, A.E.; Uversky, V.N.; Zaslavsky, B.Y. Arrangement of hydrogen bonds in aqueous solutions of different globular proteins. Manuscr. Submitt. Publ. 2022, 23, 11381. [Google Scholar] [CrossRef]
- Kuznetsova, I.M.; Turoverov, K.K.; Uversky, V.N. What macromolecular crowding can do to a protein. Int. J. Mol. Sci. 2014, 15, 23090–23140. [Google Scholar] [CrossRef]
- Armstrong, J.K.; Wenby, R.B.; Meiselman, H.J.; Fisher, T.C. The hydrodynamic radii of macromolecules and their effect on red blood cell aggregation. Biophys. J. 2004, 87, 4259–4270. [Google Scholar] [CrossRef]
- Georgalis, Y.; Philipp, M.; Aleksandrova, R.; Krüger, J. Light scattering studies on Ficoll PM70 solutions reveal two distinct diffusive modes. J. Colloid Interface Sci. 2012, 386, 141–147. [Google Scholar] [CrossRef]
- Nivaggioli, T.; Alexandridis, P.; Hatton, T.A.; Yekta, A.; Winnik, M.A. Fluorescence probe studies of pluronic copolymer solutions as a function of temperature. Langmuir 1995, 11, 730–737. [Google Scholar] [CrossRef]
- Atefi, E.; Fyffe, D.; Kaylan, K.B.; Tavana, H. Characterization of aqueous two-phase systems from volume and density measurements. J. Chem. Eng. Data 2016, 61, 1531–1539. [Google Scholar] [CrossRef]
- Snyder, S.M.; Cole, K.D.; Szlag, D.C. Phase compositions, viscosities, and densities for aqueous two-phase systems composed of polyethylene glycol and various salts at 25 degree. C. J. Chem. Eng. Data 1992, 37, 268–274. [Google Scholar] [CrossRef]
- Ferreira, L.A.; Loureiro, J.A.; Gomes, J.; Uversky, V.N.; Madeira, P.P.; Zaslavsky, B.Y. Why physicochemical properties of aqueous solutions of various compounds are linearly interrelated. J. Mol. Liq. 2016, 221, 116–123. [Google Scholar] [CrossRef]
- Bunkin, N.F.; Shkirin, A.V.; Lyakhov, G.A.; Kobelev, A.V.; Penkov, N.V.; Ugraitskaya, S.V.; Fesenko, E.E., Jr. Droplet-like heterogeneity of aqueous tetrahydrofuran solutions at the submicrometer scale. J Chem Phys 2016, 145, 184501. [Google Scholar] [CrossRef]
- Bunkin, N.; Lyakhov, G.; Shkirin, A.; Krivokhizha, S.; Afonin, A.; Kobelev, A.; Penkov, N.; Fesenko, E. Laser diagnostics of the mesoscale heterogeneity of aqueous solutions of polar organic compounds. Phys. Wave Phenom. 2018, 26, 21–35. [Google Scholar] [CrossRef]
- Bunkin, N.; Lyakhov, G.; Shkirin, A.; Ignatiev, P.; Kobelev, A.; Penkov, N.; Fesenko, E. Mesodroplet heterogeneity of low-concentration aqueous solutions of polar organic compounds. Phys. Wave Phenom. 2019, 27, 91–101. [Google Scholar] [CrossRef]
- Gonzalez-Tello, P.; Camacho, F.; Blazquez, G. Density and viscosity of concentrated aqueous solutions of polyethylene glycol. J. Chem. Eng. Data 1994, 39, 611–614. [Google Scholar] [CrossRef]











| Polymer 1 | Polymer 2/ Salt | Total Composition (wt.%) | Disruption Point (wt.%) | ||
|---|---|---|---|---|---|
| Polymer 1 | Polymer 2/ Salt | Polymer 1 | Polymer 2/ Salt | ||
| PEG-8000 | Dextran-75 | 5.2 | 5.0 | 5.0 | 4.8 |
| PEG-8000 | Dextran-75 | 3.8 | 7.6 | 3.6 | 7.2 |
| PEG-8000 | Dextran-75 | 5.0 | 8.0 | 4.0 | 6.5 |
| PEG-8000 | Dextran-75 | 2.8 | 10 | 2.6 | 9.3 |
| Ucon-3930 | Dextran-75 | 6.2 | 7.5 | 4.5 | 5.4 |
| Ucon-3930 | Dextran-75 | 3.0 | 10 | 2.6 | 8.5 |
| Ficoll-70 | Ucon-3930 | 13.5 | 9.0 | 10.6 | 7.1 |
| Ficoll-70 | Ucon-3930 | 7.6 | 12.5 | 6.5 | 10.8 |
| PEG-8000 | Ficoll-70 | 8.0 | 17 | 6.9 | 14.7 |
| PEG-8000 | Ficoll-70 | 7.8 | 14.8 | 7.4 | 13.9 |
| PEG-8000 | Na2SO4 | 5.1 | 7.2 | 4.9 | 6.9 |
| PEG-8000 | Na2SO4 | 11.1 | 6.3 | 9.4 | 5.3 |
| PEG-8000 | Na2SO4 | 14 | 4.5 | 13.3 | 4.3 |
| PEG-8000 | Dextran-75 | 5.2 | 5.0 | 5.0 | 4.8 |
Publisher’s Note: MDPI stays neutral with regard to jurisdictional claims in published maps and institutional affiliations. |
© 2022 by the authors. Licensee MDPI, Basel, Switzerland. This article is an open access article distributed under the terms and conditions of the Creative Commons Attribution (CC BY) license (https://creativecommons.org/licenses/by/4.0/).
Share and Cite
Titus, A.R.; Madeira, P.P.; Ferreira, L.A.; Chernyak, V.Y.; Uversky, V.N.; Zaslavsky, B.Y. Mechanism of Phase Separation in Aqueous Two-Phase Systems. Int. J. Mol. Sci. 2022, 23, 14366. https://doi.org/10.3390/ijms232214366
Titus AR, Madeira PP, Ferreira LA, Chernyak VY, Uversky VN, Zaslavsky BY. Mechanism of Phase Separation in Aqueous Two-Phase Systems. International Journal of Molecular Sciences. 2022; 23(22):14366. https://doi.org/10.3390/ijms232214366
Chicago/Turabian StyleTitus, Amber R., Pedro P. Madeira, Luisa A. Ferreira, Vladimir Y. Chernyak, Vladimir N. Uversky, and Boris Y. Zaslavsky. 2022. "Mechanism of Phase Separation in Aqueous Two-Phase Systems" International Journal of Molecular Sciences 23, no. 22: 14366. https://doi.org/10.3390/ijms232214366
APA StyleTitus, A. R., Madeira, P. P., Ferreira, L. A., Chernyak, V. Y., Uversky, V. N., & Zaslavsky, B. Y. (2022). Mechanism of Phase Separation in Aqueous Two-Phase Systems. International Journal of Molecular Sciences, 23(22), 14366. https://doi.org/10.3390/ijms232214366

