Next Article in Journal
Mebendazole-Induced Blood-Testis Barrier Injury in Mice Testes by Disrupting Microtubules in Addition to Triggering Programmed Cell Death
Previous Article in Journal
Vitamin D and Ocular Diseases: A Systematic Review
 
 
Font Type:
Arial Georgia Verdana
Font Size:
Aa Aa Aa
Line Spacing:
Column Width:
Background:
Article

Identification of CDPK Gene Family in Solanum habrochaites and Its Function Analysis under Stress

1
College of Life Sciences, Northeast Agricultural University, Harbin 150030, China
2
College of Horticulture and Landscape Architecture, Northeast Agricultural University, Harbin 150030, China
3
College of Sciences, Northeast Agricultural University, Harbin 150030, China
*
Authors to whom correspondence should be addressed.
These authors contributed equally to this work.
Int. J. Mol. Sci. 2022, 23(8), 4227; https://doi.org/10.3390/ijms23084227
Submission received: 17 March 2022 / Revised: 6 April 2022 / Accepted: 8 April 2022 / Published: 11 April 2022
(This article belongs to the Section Molecular Genetics and Genomics)

Abstract

:
Tomato is an important vegetable crop. In the process of tomato production, it will encounter abiotic stress, such as low temperature, drought, and high salt, and biotic stress, such as pathogen infection, which will seriously affect the yield of tomato. Calcium-dependent protein kinase (CDPK) is a class of major calcium signal receptor which has an important regulatory effect on the perception and decoding of calcium signals. CDPK plays a key role in many aspects of plant growth, such as the elongation of pollen tubes, plant growth, and response to biotic and abiotic stress. While some studies have concentrated on Arabidopsis and pepper, Solanum habrochaites is a wild species relative of cultivated tomato and there is no report on CDPK in Solanum habrochaites to date. Using tomato genomic data, this study identified 33 members of the CDPK gene family. Evolutionary analysis divides family members into four Asian groups, of which the CDPK family members have 11 gene replication pairs. Subcellular location analysis showed that most proteins were predicted to be located in the cytoplasm, and less protein existed on the cell membrane. Not all CDPK family members have a transmembrane domain. Cis regulatory elements relating to light, hormones, and drought stress are overrepresented in the promoter region of the CDPK genes in Solanum habrochaites. The expression levels of each gene under biotic stress and abiotic stress were quantified by qRT-PCR. The results showed that members of the CDPK family in Solanum habrochaites respond to different biotic and abiotic stresses. Among them, the expression of ShCDPK6 and ShCDPK26 genes change significantly. ShCDPK6 and ShCDPK26 genes were silenced using VIGS (virus-induced gene silencing), and the silenced plants illustrated reduced stress resistance to Botrytis cinerea, cold, and drought stress. The results of this study will provide a basis for the in-depth study of the CDPK gene family in Solanum habrochaites, laying the foundation for further analysis of the function of the gene family.

1. Introduction

Plants often encounter a wide variety of abiotic and biotic stresses in nature and thus they have evolved a complex defense system to resists external pressure. This system facilitates the recognition and perception of external attack, which in turn will be converted to defense mode. Ca2+ is an important second messenger in the transduction of plant cell signaling [1]. When plants are subjected to an external adverse stress, calcium signals in cells are transmitted to downstream components through calcium sensing proteins, such as calmodulin, Calcinerium-B Like, and the Calcium-dependent protein kinase (CDPK) proteins, thereby modulating the expression of associated genes [2,3,4]. In plants, cytoplasmic regulation of Ca2+ concentration can be a response to various endogenous and exogenous signals, including changes in hormone level, abiotic stress (such as drought, high and low temperature, or light), and biotic stress (such as pathogens and non-pathogenic microbes) [5,6,7,8,9]. External signals lead to a short increase in Ca2+ concentration in the cytoplasm. Ca2+ is combined with the calcium binding protein (CBP) or Ca2+ sensor, transmitting signals and causing cells to change during biochemical and physiological processes [10,11]. In addition, Ca2+ also help maintain cell wall and cell membrane stability through the regulation of physiological processes, such as stomatal guard cell movement, root hair elongation, and pollen tube growth [12,13]. There are five types of calcium ion sensors in plants, including calcium modes (CAM), calcium modulous protein (CML), calcineriumB protein (CBL), calcium/calcium modulus protein kinase (CAMK), and calcium-dependent protein kinase (CDPK) [14,15]. Compared to CAM, CML, and CBL, CDPKs direct Ca2+ signals to the phosphorylation level. This confers CDPKs with dual functions, namely Ca2+ sensor and responder [16].
CDPKs are widely distributed in plants [3]. Specific expression of CDPK genes can be detected in different tissues, including roots, stems, leaves, and flowers, among others [17,18,19]. The CDPK gene is generally present in a branch tissue cell, a wooden portion cell, a pollen mother, and embryonic cells [20]. The wide distribution of CDPKs among many plant species is an indication of the importance of these proteins in signal transduction pathways. For a long time, researchers have thought that CDPK exists in plants. Genomic analysis revealed that there are 34 CDPKs in Arabidopsis, 31 in rice, 20 in wheat, 20 in poplar, and 40 in corn [3,20]. The CDPK family consists of six protein kinases, including calcium-dependent protein kinase (CDPKs), CDPK-related kinase (CRKs), phosphate kettate carboxylase kinase (PPCKs), phosphate ketone carboxylase kinase-related kinase (PEPRKS), calcium mode in regulatory kinase (CAMKs), and calmodulin dependent protein kinase (CDPKs). The main difference between them is that they have different regulatory domains. CDPK has a conservative structure including a variable N-terminal domain, a Ser/Thr protein kinase domain, and an automatic suppression structure, usually included four EF-hands structures [21].
Many members of the CDPK family play important roles in plant response to abiotic stress and in disease resistance. OsCDPK1 regulates rice salt and drought tolerance [22]. The CDPK family is involved in drought or salt stress adaptation by inducing ABA responsive genes and adjusting the ABA-induced anionic channel (SLAC1, SLAH3), leading to stomata adjustment in Arabidopsis [23,24]. Overexpression of MDCPK1A in tobacco removes ROS accumulation and regulates the expression of stress-related genes, thereby significantly increasing cold and salt resistance [25]. Excessive expression of ZMCPK1 in corn leaf inhibits the expression of cold inducing marker gene ZMERF3. The ectopic expression of ZMCPK1 in Arabidopsis reduced the adaptation of the plant in terms of cold resistance, indicating that ZMCPK1 acts as a negative regulatory factor under cold stress [26]. Arabidopsis CPK28 functions as a negative regulator of an immune signal which responds to immune responses by regulating BIK1 (multi-mode identification receptor (PRR)) [3]. CDPK can also be used as a negative regulator of the stress response. Transgenic plants overexpressing CDPK are more sensitive to abiotic stress and biotic stress. Arabidopsis cpk23 mutant increases tolerance to drought and salt stress, but resistance to drought and salt stress is reduced in AtCPK23 overexpressing plants [27]. Taken together, it is apparent that CDPKs participate in plant abiotic and biotic stress in the form of positive and negative regulation. Virus-induced silencing of CDPK2 and CDPK3 showed that CDPK1 and CDPK2 are involved in the regulation of AVR9/CF-9 genes, and CDPK is a necessary condition for plant AVR9/CF-9 induced hypersensitivity during pathogen infection [28]. CDPK10 in maize is also involved in defense signaling pathways [29].
As an important economic crop, tomatoes often suffer from biotic and abiotic stress, such as drought, salt, and low temperatures. At the same time, as a widely cultivated vegetable crop and model plant, tomato plays an important role in vegetables and plant research. Solanum habrochaites is the nearest wild relative of cultivated tomato and has strong resistance to cold stress [30,31,32,33]. It is an excellent germplasm material for the agronomic improvement of cultivated tomato. S. habrochaites can cross with cultivated tomato only when it is used as male parent, but the fruit seed setting rate is low and it is difficult to cross pests. It is difficult to transfer the excellent characteristics of S. habrochaites to cultivated varieties. Therefore, as superior stress resistant materials, Solanum habrochaites often play an important role in improving the quality characteristics of tomatoes.
While CDPKs’ important role in calcium signal transduction has been studied in Arabidopsis and corn, among others, it has not been studied in Solanum habrochaites. We suspect that the CDPK gene family plays an important role in affecting the strong low temperature and disease resistance of Solanum habrochaites. In order to analyze the function and genetic evolution of the CDPK gene family in Solanum habrochaites, the genomic data of Solanum habrochaites were first studied by bioinformatics, where the gene family members of CDPKs were identified and their gene and protein sequences, conservative motif, and cis acting elements were analyzed in this study. The expression of the CDPK gene family under biotic stress (Botrytis cinerea) and abiotic stress, such as low temperature and drought, was investigated by qRT-PCR. The functions of ShCDPK6 and ShCDPK26 genes were further verified by virus-induced gene silencing. This study provides a theoretical basis for clarifying the biological function of CDPK genes in response to stress, and further lays a foundation for tomato crop improvement.

2. Results

2.1. Identification of CDPK Family Members in Solanum habrochaites

In order to identify the members of the CDPK family in Solanum habrochaites, we conducted local tBLASTn comparison between the nucleotide sequences of the existing tomato annotated genes and the CDPK amino acid sequences of Arabidopsis thaliana (E-value < 1 × 10−7, identity >50%), removing duplicates to obtain tomato candidate CDPK. We used the Prosite (http://prosite.expasy.org/ accessed on 24 July 2020) website to identify candidate CDPK protein domains, screening CDPKs with NAF domain structure, and eventually received 33 members of the CDPK family (Table 1). These genes were named ShCDPK1–ShCDPK33 according to chromosome location information. The CDPK gene family is distributed on 12 chromosomes, of which six family members are distributed on chromosome 1. We analyzed the physical and chemical properties of CDPK family gene length, amino acid length, isoelectric point, and molecular weight of Solanum habrochaites. It was found that the gene length of CDPK family members varied greatly, ranging from 1506 to 3204 bp, of which ShCDPK19 gene was the shortest and ShCDPK31 gene was the longest. The range of amino acids encoded by CDPK family is 501~1067 aa. The minimum isoelectric point (ShCDPK17) was 4.77 and the maximum isoelectric point (ShCDPK8) was 9.77. The members of the gene family were acid protein and basic protein. Subcellular localization prediction analysis showed that most genes were localized in the cytoplasm and two family members existed not only in the cytoplasm, but also on the cell membrane. All family members predicted that there was no transmembrane domain (Table 1).

2.2. Phylogenetic Analysis of CDPK Gene in Solanum habrochaites

In order to further understand the evolutionary relationship of CDPK gene in Solanum habrochaites, we constructed a phylogenetic tree with Arabidopsis, tomato and pepper CDPK family members. It can be seen from Figure 1 that 98 CDPK gene evolutionary trees are divided into four subfamilies, named 1~4 respectively. One subgroup includes family members ShCDPK1, ShCDPK5, ShCDPK6, ShCDPK14, ShCDPK15, ShCDPK17, ShCDPK19, ShCDPK23, ShCDPK24, ShCDPK26, ShCDPK27, ShCDPK30, and ShCDPK31. Parallel homologous pairs include ShCDPK6 and ShCDPK24, ShCDPK14 and ShCDPK31, ShCDPK19 and ShCDPK30. Vertical homologous pairs include ShCDPK1 and CaCDPK6, ShCDPK5 and CaCDPK22, ShCDPK17 and CaCDPK19. 2, while subgroups include: ShCDPK3, ShCDPK13, ShCDPK16, ShCDPK20, ShCDPK21, ShCDPK29, ShCDPK32, and ShCDPK33. Parallel homologous pairs include ShCDPK3 and ShCDPK29, ShCDPK20 and ShCDPK33. Vertical homologous pairs ShCDPK13 and CaCDPK7, ShCDPK16 and AtCPK9, and ShCDPK21 and AtCPK3. Three subgroups include ShCDPK4, ShCDPK10, ShCDPK11, ShCDPK18, ShCDPK22, ShCDPK25, and ShCDPK28. Parallel homologous pairs include ShCDPK4 and ShCDPK25, ShCDPK10 and ShCDPK11. Vertical homologous pairs include ShCDPK18 and AtCPK24, ShCDPK22 and AtCPK13. Four subgroups include ShCDPK2, ShCDPK7, ShCDPK8, ShCDPK9, and ShCDPK12. The results showed that the CDPK gene family was similar between Solanum habrochaites and cultivated tomato (Figure 1).

2.3. Analysis of CDPK Gene Family Structure in Solanum habrochaites

The gene structural analysis by GSDs tool show that the CDPK gene family in Solanum habrochaites was mainly enriched by introns. ShCDPK8 and ShCDPK12 have 11 introns. ShCDPK2, ShCDPK7, and ShCDPK9 have 10 introns. ShCDPK25 has nine introns. ShCDPK4, ShCDPK13, ShCDPK18, ShCDPK27, ShCDPK28, ShCDPK31, and ShCDPK32 have eight introns. ShCDPK1, ShCDPK6, ShCDPK16, ShCDPK19, ShCDPK20, ShCDPK21, ShCDPK23, ShCDPK24, ShCDPK29, and ShCDPK33 have seven introns. ShCDPK3, ShCDPK5, ShCDPK10, ShCDPK11, ShCDPK14, ShCDPK15, ShCDPK17, ShCDPK22, ShCDPK26, and ShCDPK30 have six introns. The above members belong to the intron enrichment group (Figure 2).

2.4. Motif Analysis of CDPK Gene Family in Solanum habrochaites

Ten motifs were predicted in the tomato CDPK family by meme software, and their motif types and sequence were basically the same. The higher the homology, the stronger the similarity of gene motif arrangement (Figure 3). Hence, 33 ShCDPK genes have the same conservative motif and order. ShCDPK4, ShCDPK10, ShCDPK11, ShCDPK18, ShCDPK22, ShCDPK25, and ShCDPK28 do not have motif 9. Compared with other family members, they contain a unique motif 10. ShCDPK4, ShCDPK10, ShCDPK11, ShCDPK18, and ShCDPK22 do not have motif 4 or motif 10, but have two motif 6.

2.5. Gene Replication and Collinearity Analysis of CDPK Gene Family in Solanum habrochaites

The gene replication of CDPK gene family in Solanum habrochaites is analyzed in Table S2. ShCDPK1:ShCDPK27, ShCDPK4:ShCDPK28, ShCDPK5:ShCDPK23, ShCDPK6:ShCDPK24, ShCDPK6:ShCDPK26, ShCDPK24:ShCDPK26, ShCDPK30:ShCDPK19, ShCDPK20:ShCDPK33, ShCDPK7:ShCDPK9, ShCDPK8:ShCDPK12, and ShCDPK15:ShCDPK17 have 11 pairs of gene replication pairs. The KS range of four repetitions is 0.0932819–1.30348, and the separation time range can be inferred to be 8.2–115.2 Mya. Except for ShCDPK7 and ShCDPK9, the repeated Ka/Ks values of the fragments of the 10 replication gene pairs are less than 1, indicating that they have been purified and selected (Table S1).

2.6. Analysis of Cis Acting Elements of CDPK Gene Family in Solanum habrochaites

The structure of the promoter affects the affinity between promoter and RNA polymerase, thus affecting the level of gene expression. By analyzing the 1500 bp upstream of CDPK gene family members in Solanum habrochaites, many cis acting elements associated with plant stress were determined (Table S2). In the analysis of cis acting elements of ShCDPKs, in addition to the common CAAT box and TATA box originals, they can be divided into three categories. The first category comprises hormone related components, such as ABRE and CGTCA motif. The second category is the original related to regulation, such as light regulation. The third category is the original related to biological stress, such as TC rich repeats, MBS, and LTR. All members have photoregulated cis acting elements, 23 family members have abscisic acid (ABRE), 19 family members contain methyl jasmonate (CGTCA motif), 19 family members have cis acting elements of defense and adversity responses (TC rich repeats), and 18 family members contain anaerobic induction cis acting elements (ARE), 13 family members have salicylic acid cis acting elements (TCA), 11 family members have cold stress cis acting elements (LTR), nine family members have drought stress cis acting elements (MBS), 10 family members have auxin related cis acting elements (TGA element), and six family members have gibberellin related cis acting elements(P-Box).

2.7. Expression Analysis of CDPK Gene Family in Solanum habrochaites under Various Stress

Bioinformatics analysis revealed that members of the CDPK gene family in Solanum habrochaites were associated with multiple stresses (biotic and abiotic). Therefore, in order to further analyze the function of the CDPK gene family, we treated tomato seedlings with low temperature (4 °C), drought, and Botrytis cinerea and detected the gene expression under stress by qRT-PCR.
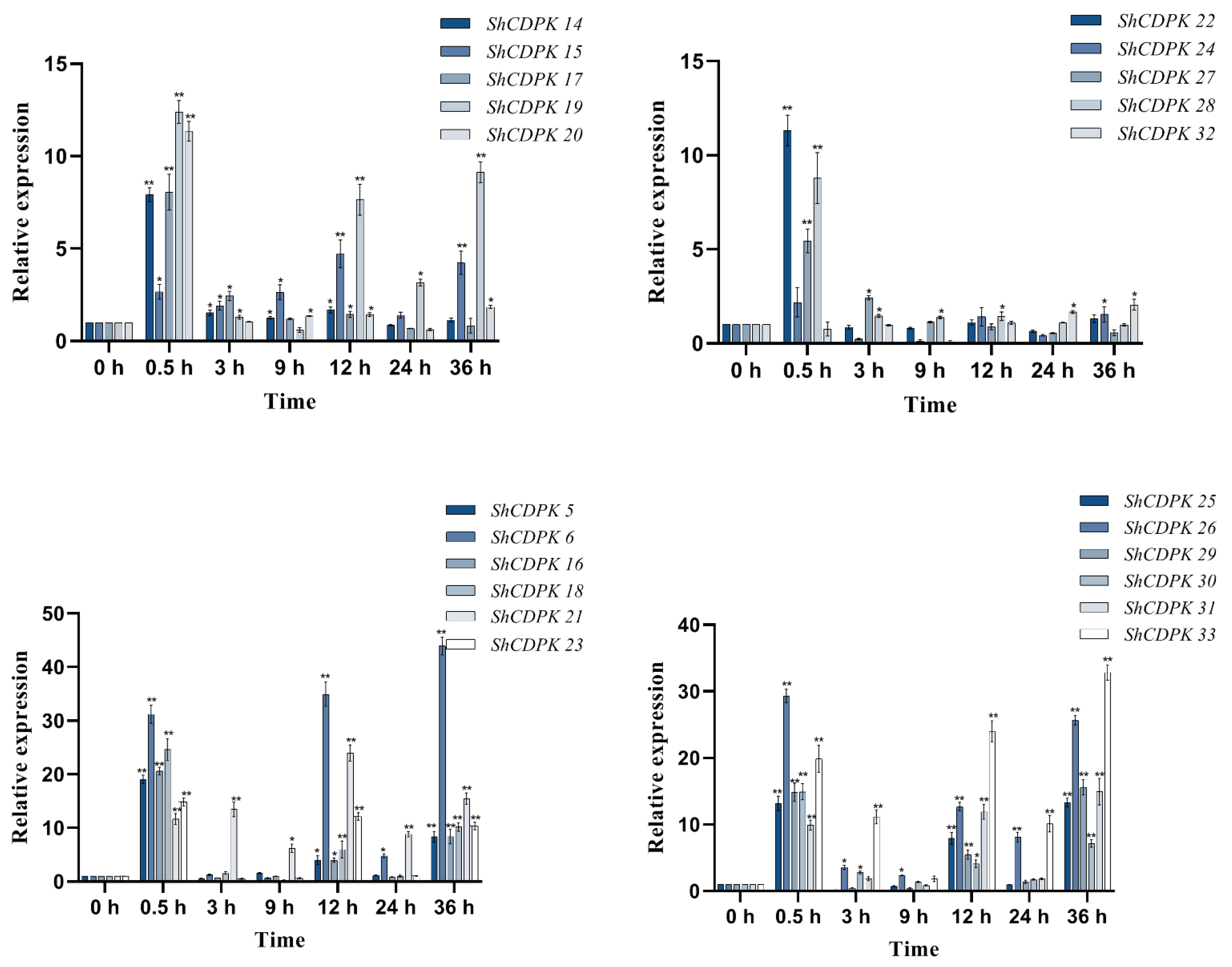
The expression of the CDPK gene family in Solanum habrochaites changed to a certain extent under cold stress. The expression of ShCDPK5, ShCDPK6, ShCDPK12, ShCDPK15, ShCDPK26, ShCDPK29, and ShCDPK33 changed significantly under cold stress. The expressions of ShCDPK5 and ShCDPK6 were significantly up-regulated after cold induction for 0.5, 12, and 24 h. The expression of ShCDPK5 at 12 h was about 11.0 times that of untreated leaves (the expression at 0 h, CK). The expression of ShCDPK6 was the highest at 12 h, about 31.8 times that of the control group (CK). ShCDPK19, ShCDPK29, and ShCDPK33 showed an upward trend as a whole. The highest value of ShCDPK19 appeared at 24 h, about 18.1 times that of the control group. The highest value of the ShCDPK29 occurred at 12 h and was about 12.7 times higher than the control group. The highest value of the ShCDPK33 occurred at 12 h and was about 26.1 times higher than the control group. The expression of ShCDPK26 increased significantly at the beginning of stress, and the highest expression was found at 12 h, about 38.9 times that of the control group. In conclusion, ShCDPK6 and ShCDPK26 were the most affected by cold stress in the CDPK gene family of Solanum habrochaites, followed by ShCDPK19 (Figure 4).
Under drought induction, the expression of CDPK gene family in Solanum habrochaites changed visibly, and the most significant appeared at 0.5 h. At this time, those with high relative expression include ShCDPK6, ShCDPK23, and ShCDPK26, and the expression of these genes can reach levels higher than 30 times. Most genes showed a wave expression trend and peaked at different time points. The expression of ShCDPK6 gene was 32.5 times that of the control group at 0.5 h and 16.4 times that of the control group at 12 h. The expression of ShCDPK23 gene was 31.0 times that of the control group at 0.5 h and 17.9 times that of the control group at 12 h. The expression of ShCDPK26 gene was 32.9 times that of the control group at 0.5 h and 20.7 times that of the control group at 12 h. ShCDPK6, ShCDPK8, ShCDPK10, ShCDPK16, ShCDPK18, ShCDPK20, ShCDPK21, ShCDPK23, ShCDPK26, ShCDPK29, ShCDPK30, and ShCDPK33 genes was higher than that of 0 h at all time points, with the most pronounced expression at 0.5 h and 24 h. In conclusion, after drought treatment, several genes with significant gene changes are ShCDPK6, ShCDPK16, ShCDPK18, ShCDPK23, ShCDPK26, ShCDPK29, ShCDPK30, and ShCDPK33 (Figure 5).
We detected the expression changes of the CDPK gene family under Botrytis cinerea stress. Through qRT-PCR detection, we found that the expression of the CDPK gene family in Solanum habrochaites changed in varying degrees under Botrytis cinerea stress, and most of them changed significantly in 0.5 h. ShCDPK4, ShCDPK12, ShCDPK20, and ShCDPK22 genes had the same expression change trend, and showed high expression at 0.5 h, with little change at other points in time. The expression of ShCDPK6, ShCDPK18, ShCDPK19, ShCDPK25, ShCDPK26, ShCDPK29, ShCDPK30, ShCDPK31, and ShCDPK33 decreased at 0.5–9 h and increased at the later stage. The expression of ShCDPK6 and ShCDPK33 was overtly raised in the later stage of stress, and at 36 h, the expression of both genes was 43.9 times and 32.8 times higher than that of the control. The peak values of ShCDPK26, ShCDPK29, and ShCDPK31 were 25.6 times, 15.5 times, and 14.9 times that of the control at 36 h, respectively. In conclusion, ShCDPK6 and ShCDPK33 were the most affected by Botrytis cinerea stress in the CDPK gene family of Solanum habrochaites, followed by ShCDPK26 (Figure 6).

2.8. Functional Analysis of Silencing ShCDPK6 and ShCDPK26 in Solanum habrochaites

Gene expression differences between ShCDPK6 and ShCDPK26 were the most obvious after three stress treatments. It is speculated that they may be involved in the response of Solanum habrochaites to stress. We will take ShCDPK6 and ShCDPK26 as the research objects to further verify the function of the gene through VIGS. VIGS vectors PTRV2-ShCDPK6 and PTRV2-ShCDPK26 were successfully constructed and transformed into Agrobacterium tumefaciens. Tomato seedlings were injected with agrobacterium tumefaciens containing the target vector and PDS (Phytoene dehydrogenase) silenced plants were used as indicators of the VIGS silencing effect. The expression levels of target genes in ShCDPK6 and ShCDPK26 silent plants and control plants were detected by fluorescence quantitative PCR, and the silencing efficiency of ShCDPK6 and ShCDPK26 is 69.4% and 48.5% respectively (Figure S1). Finally, we obtained 15 ShCDPK6 and ShCDPK26 silencing plants respectively. In terms of bioinformatics analysis, ShCDPK6, ShCDPK24, and ShCDPK26 genes were found to have a close evolutionary relationship, and the expression of ShCDPK24 gene was analyzed separately for the silenced plants, as shown in Figure S2. The results revealed that the expression of ShCDPK24 gene in ShCDPK6 and ShCDPK26-silenced plants did not show significant changes in expression.
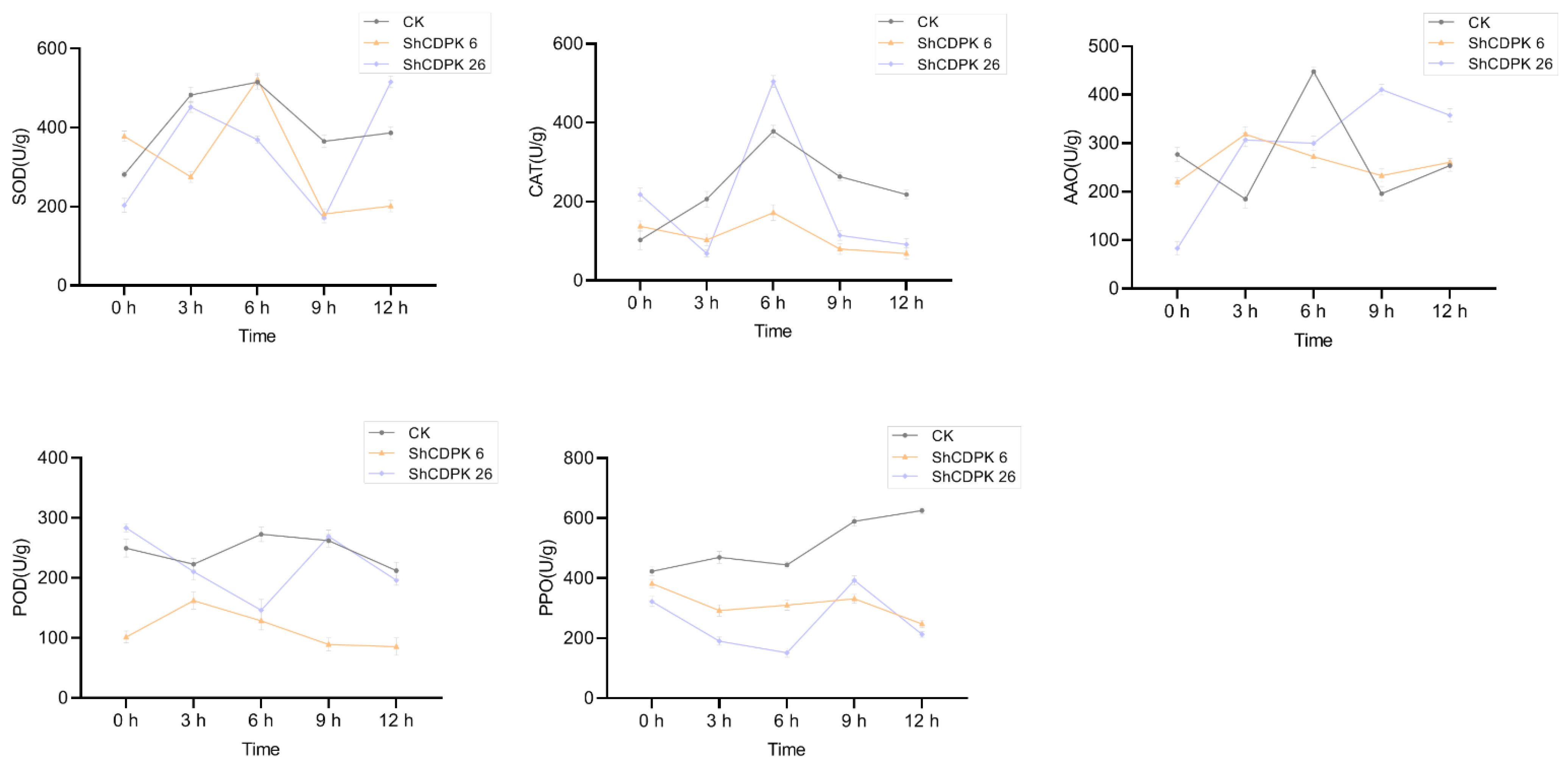
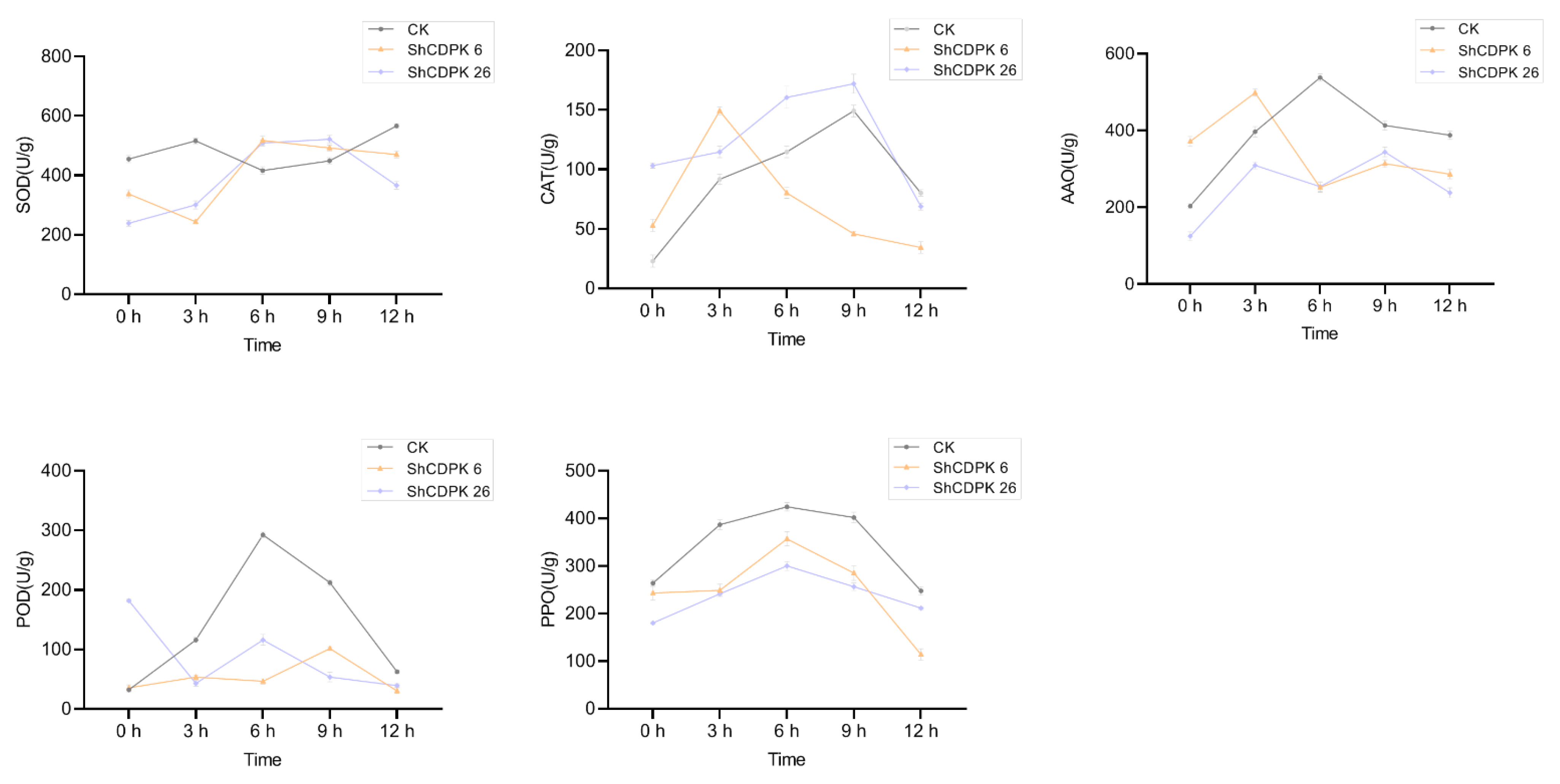
Plants will produce some reactive oxygen species after encountering adversity, which will have a toxic effect on cells, leading to plant cell and tissue damage and death. Therefore, under Botrytis cinerea, drought, and cold stress, various physiological indexes of ShCDPK6 and ShCDPK26 silenced plants and control plants were measured respectively to evaluate the degree of oxidative damage between them. The contents of superoxide dismutase (SOD), catalase (CAT), ascorbate oxidase (AAO), peroxidase (POD), and polyphenol oxidase (PPO) in silenced and control plants were determined under low temperature (4 °C), drought, and biotic stress (Botrytis cinerea). Under cold stress, SOD, AAO, POD, and PPO values of silenced plants were lower than those of control plants, indicating that the cold resistance of the silenced plants was reduced (Figure 7). Under drought treatment, the contents of CAT, POD, and PPO in silenced plant were significantly lower than that of control group. The change in the dynamic of PPO content was in keeping with that of the control plant in the early stage of stress. ShCDPK6 and ShCDPK26 decreased in varying degrees after 9 h (Figure 8). Under Botrytis cinerea treatment, changes of SOD, POD, PPO, and AAO contents in the ShCDPK6 silenced plants was distinctly lower than that of the control group, while the changes of CAT, POD, and PPO in silent plant ShDPK26 were smaller than those in control group, indicating that the Botrytis cinerea resistance of the silenced plants was reduced (Figure 9). The phenotype of the control and silenced plants under three stresses is shown in Figure S3. Compared with the control plants, the silent plants showed more wilting under low temperature and drought stress, but the phenotypic difference was not very obvious under Botrytis cinerea stress.

3. Discussion

The CDPK gene family widely exists in all parts of plants, such as roots, stems, leaves, flowers, fruits, and seeds, and plays an important role in plant state construction [17,34]. Arabidopsis CPK11 positively regulates the ABA signaling pathway in seed germination and stomatal movement [35]. Later, it was found that Arabidopsis CPK12, as a homologue of CPK4 and CPK11, negatively regulates the process of plant seed germination and growth after germination and antagonizes CPK4 and CPK11 in the ABA signaling pathway [34]. CDPKs also play an important role in plant growth and development and response to biotic and abiotic stresses. This has been identified and studied in many species [36]. For example, the first purification and identification were carried out in soybean. Cucumber CsCDPK5 is involved in the formation of adventitious roots of hypocotyl [37]. Arabidopsis contains 34 CDPK genes [26]. There are great differences in the number of CDPK genes in different species, including 21 in potato and 18 in melon [38,39]. In this study, 33 ShCDPK genes of Solanum habrochaites were identified by BLAST analysis. The physical and chemical properties of ShCDPK gene family members, such as gene length, amino acid, molecular weight, isoelectric point, and molecular weight, were determined by bioinformatics analysis. Through phylogenetic analysis of the gene family in Arabidopsis and pepper, 33 ShCDPK gene family members were divided into four subfamilies, which is consistent with the studies conducted in cucumber [40], pineapple [41], and grape [42], indicating that there are still some commonalities among different species.
CDPK was identified in pea and soybean for the first time. However, a subsequent study showed that CDPK can be found in green algae, oomycetes, and some protozoa, such as ciliates and capsicum. The CDPK gene family is more distributed on chromosomes 1, 10, and 11 and unevenly distributed on other chromosomes. The unbalanced distribution of genes may be related to species evolution and genetic variation. The phylogenetic tree constructed from Solanum habrochaites, Arabidopsis, and Pepper is divided into four subfamilies, and each subfamily has ShCDPK distribution. Group 1 included three pairs of vertical homologous pairs of Solanum habrochaites and Pepper. Groups 2 and 3 included two pairs of vertical homologous pairs between Solanum habrochaites and Arabidopsis. Group 4 did not contain vertical homologous pairs between Solanum habrochaites and Arabidopsis. These results showed that the homologous genes related to Solanum habrochaites and Arabidopsis had a conserved structure and function. In contrast, Arabidopsis and Solanum habrochaites have vertical homologous pairs, indicating that the CDPK gene family of Solanum habrochaites is relative to Arabidopsis in functional evolution. The CDPK gene family is mainly rich in introns, and the composition of intron exons can reflect the evolutionary relationship of the gene family. ShCDPK8 and ShCDPK12 present the most intron enrichment, containing 11 introns. ShCDPK2, ShCDPK7, and ShCDPK9 have 10 introns. They are located in group 4 in the phylogenetic tree. Other introns were enriched in group 1, group 2, and group 3 of the phylogenetic tree. The number of introns in all gene family members was greater than 6, and there were no genes with intron deletion. The rate of intron acquisition is slower than that of intron deletion. The phylogeny of intron deleted CDPK gene may be the branch of intron enriched gene mRNA re inserted into the genome during the reverse transcription of intron enriched gene mRNA. There are 11 pairs of tandem repeat genes in ShCDPKs. The results showed that fragment duplication originated from stress. These 11 pairs of genes are highly consistent on the conserved motif, indicating that tandem replication plays a key role in the amplification of ShCDPKs. The KS of tandem repeat gene pairs is 0.0932819~1.30348, the separation time is 82~115.2 Mya, and it is 200~205 Mya during single dicotyledon differentiation. It is speculated that the fragment replication of ShCDPKs occurs after single dicotyledon differentiation [43].
It is well known that Ca2+ as a ubiquitous second messenger in the plant signal system plays a great role in plant growth and development. When plants are stimulated by environment and development, the stimulation triggered by external factors, such as temperature, light, salt, and osmotic stress, can produce different calcium ion changes. Specific calcium receptors can recognize and perceive these changes, and then play a role in regulating gene expression through a series of cascade reactions [44]. Through research, the CDPK gene senses the change of Ca2+ concentration through EF hand structure, relieves self-inhibition, activates kinase domain, and then transmits information to regulate the physiological changes of plants, widely participating in plant growth, development, and morphological construction [45]. In this study, the expression of ShCDPK family members changed significantly after cold, drought stress, and Botrytis cinerea stress. The expressions of ShCDPK6, ShCDPK19, and ShCDPK26 were significantly up-regulated under low temperature stress, suggesting that these genes may be involved in cold response. Under cold stress, the expression of ShCDPK12 and ShCDPK30 decreased significantly, indicating that different members of CDPK may play different roles in response to cold stress. At the beginning of the drought and Botrytis cinerea treatments, the expression level of most genes increased significantly, the expression of ShCDPK5, ShCDPK6, ShCDPK23, ShCDPK26, ShCDPK29, ShCDPK30, and ShCDPK33 genes increased significantly at 0.5 h of drought stress, and the expression of ShCDPK6, ShCDPK16, ShCDPK23, ShCDPK26, and ShCDPK29 peaked at 0.5 h and 12 h. This may be because of the overrepresentation of cis acting elements relating to defense and drought stress in their promoter. The results show that CPK10 and HSP1 participate in the regulation of stomatal movement through ABA and Ca2+ signaling pathways, which may play an important role in the response of plants to drought stress [39]. It is also reported that guard cell anion channel SLAC1 is regulated by CPK21 and CPK23 and has different Ca2+ affinity [46]. AtCDPK4 and AtCDPK11 in Arabidopsis are responsive to salt stress. Grape VpCDPK16 was similar to AtCDPK4 and AtCDPK11, while they could phosphorylate ABA response transcription factors and reduce the tolerance to salt stress in seed germination and seedling growth. VpCDPK16 also had similar expression [35]. In this study, under abiotic stress, such as low temperature and drought, and biotic stress of Botrytis cinerea infection, the expression of ShCDPK6 and ShCDPK26 changed significantly, indicating that these genes play an important role in the environmental adaptability of Solanum habrochaites. VIGS experiments were performed on ShCDPK6 and ShCDPK26.The level of gene silencing is influenced by a variety of factors, including the size of the inserted silencing fragment, the direction of insertion, and the environment in which it is grown [47], and of course, genetic differences exist in plants of different species. All these factors may make the level of gene silencing different. This silencing system mediated by TRV (tobacco rattle virus) vector has been widely used in tomato varieties [48,49], but the presence of multiple factors leads to an average level of silencing. During biotic stress, the activities of SOD, POD, AAO, PPO, and CAT in silenced plants increased to varying degrees with stress stimulation, indicating that after the silencing of ShCDPK6 and ShCDPK26 genes, the enzyme activity response is more sensitive, so as to balance the metabolic system in order to eliminate the active oxygen produced by plant stress. From the expression of various enzyme activities, the enzyme activities of silenced plants are less than those of control plants, which may be caused by the silencing of CDPK family genes. In abiotic stress, we explored the changes of physiological indexes of silent plants under drought stress and cold stress. Under low temperature and drought stress, plants will produce a large amount of reactive oxygen species which can damage the plant cell membrane. In order to effectively remove reactive oxygen species from plant cells, plants activate a series of antioxidant systems, such as SOD and POD [50]. The results showed that there were some changes between the silent plants and the control plants under the two stresses. The change of POD in silent plants increased first and then decreased, but it was less than that in CK group, which may be because POD needs to remove hydrogen peroxide produced under stress and reduce the damage caused by stress. The change of SOD value increases first and then decreases as time goes on. However, compared with ShCDPK6, ShCDPK26 gene may play a regulatory role under abiotic stress. These results further indicate that the lack of ShCDPKs family member genes make plant more sensitive to low temperature, drought, and Botrytis cinerea. However, how ShCDPK6 and ShCDPK26 respond to various stress conditions and functions needs to be further studied.

4. Materials and Methods

4.1. Plant Materials and Treatments

Solanum habrochaites (LA1777, https://tgrc.ucdavis.edu/, the National Plant Germplasm System (NPGS), California (for USA) accessed on 5 April 2022) was conserved in our lab supplying by the Tomato Genetics Research Center (University of California, Davis, CA, USA). The seeds were first soaked in 2% sodium hypochlorite solution for 16 min (slowly shaken), then rinsed with sterile water 3–4 times, then soaked in 75% alcohol for 30 s, and rinsed with sterile water. Sterilized seeds were pre-germinated on wet filter paper and subsequently transferred to plastic basin of the soil mixture (1 V:1 V). They were planted in an artificial climate chamber at 21–26 °C, 16 h/8 h (day/night). Tomato seedlings at five leaves and one heart were used for subsequent experimental treatment. Three plants with the same growth were taken from each treatment for three biological replicates. Three technical replicates were performed for each treatment.

4.1.1. Cold Stress

Plant roots were dipped in half-strength Hoagland culture solution for 2–3 days. Cold stress was exerted by exposing a subset of the plants to low temperature (4 °C). Samples were obtained at time points 0, 0.5, 3, 9, 12, 24, and 36 h.

4.1.2. Drought Stress

Roots of experimental and control plants were dipped in half-strength Hoagland culture solution for 2–3 days. The treatment group and the control group were sampled simultaneously. Treatment group: The roots of plants were soaked with 20% PEG6000 (1/4 Hoagland nutrient solution). They were allowed to continue growing in this medium until samples were obtained. Samples were obtained at time points 0, 0.5, 3, 9, 12, and 24 h.

4.1.3. Botrytis Cinerea Stress

B. cinerea spores were diluted with sterile water to make the concentration of spore suspension 107 CFU/mL. Treatment group: The fungus solution was sprayed on the tomato leaves and cultured in a light incubator with 90% humidity at 20–25 °C, while in the control group the tomato blade was sprayed with water, and other conditions remained constant. Samples were obtained at time points 0, 0.5, 3, 9, 12, 24, and 36 h.

4.2. Identification of the CDPK Gene Family in Solanum habrochaites by Bioinformatic Analysis

4.2.1. Identification and Basic Information Analysis of CDPK Gene Family Members in Solanum habrochaites

Firstly, the hidden Markov model (HMM) files corresponding to protease (PF00069) and NaF domain (PF03822) were downloaded from Pfam protein family database (https://pfam.xfam.org/ accessed on 24 July 2020). Then, the whole genome data of Solanum habrochaites were obtained by hmmsearch (https://www.ncbi.nlm.nih.gov/data-hub/taxonomy/62890/ accessed on 24 July 2020). CDPK gene (E-value < 1 × 10−7, similarity >50%), and the members and number of CDPK gene family in Solanum habrochaites were obtained. The length, molecular weight, and isoelectric point of CDPK protein in Solanum habrochaites were predicted by bio-linux software. In order to understand the chromosome situation of the gene family, the chromosome mapping map was drawn by MapChart software. At the same time, SOSUI (http://harrier.nagahama-i-bio.Ac.jp/sosui/ accessed on 24 July 2020) online software was used to predict the protein transmembrane domain. CELLO (http//cello.life.nctu.edu.tw accessed on 24 July 2020) was used to predict subcellular localization and identify the functional sites of the CDPK gene family.

4.2.2. Evolutionary Analysis of CDPK Gene Family in Solanum habrochaites

In order to explore the evolutionary relationship between the CDPK gene family, comparative analysis of the CDPK gene family in Solanum habrochaites, Arabidopsis, and peppers was conducted using MEGA software with bootstrap repeated 1000 times.

4.2.3. Analysis of Genetic Structure of CDPK Gene in Solanum habrochaites

Genomic sequence of CDPK genes consisting of the coding sequence and the non-coding regions were obtained for Solanum habrochaites. The GSDS tool (http://gsds.cbi.Pku.Edu.cn/ accessed on 24 July 2020) was used to perform gene structure analysis and draw the exon-intron structure diagram.

4.2.4. Analysis of CDPK Gene Family Conservative Motif in Solanum habrochaites

In order to study the evolutionary relationship of CDPK gene family in Solanum habrochaites, 10 conserved motifs of CDPK genes were analyzed online with MEME (https://meme-suite.org/meme/ accessed on 24 July 2020).

4.2.5. Gene Replication of CDPK Gene Family in Solanum habrochaites

The full-length amino acid sequence is compared using Clustal. Ka is the non-synonymous substitution rate, and Ks is the synonymous substitution rate. Ks and Ka programs were calculated using Kaks_Calculator 2.0 and the discrete time of genetic pairs was estimated using mutation rate. The substitution of each synonymation in each year is T = Ks/2X (x = 6.56 × 10−9). If Ka/Ks > 1, a positive selection effect is considered. If Ka/Ks = 1, neutral selection is considered to exist. If Ka/Ks < 1, a purifying selection effect is considered.

4.3. Real-Time Quantitative PCR (qRT-PCR) Analysis

The plants were grown at 25 °C for 4 weeks. The total RNA of samples were extracted using Trizol reagent (Invitrogen, California (for USA)) and used for mRNA synthesis with High-Capacity cDNA Reverse Transcription Kits (ThermoFisher Scientific, Waltham, MA, USA) following the manufacturer’s recommendations. qRT-PCR was performed with the SYBR Green qPCR Mix Kit (Biosharp, Hefei, China). NCBI (https://www.ncbi.nlm.nih.gov/ accessed on 15 July 2021) Primer Blast was used to design fluorescent quantitative primers (MAX value to 200 base pairs), and the primer sequence is shown in Table S1. The product cDNA was diluted 10 times and used as template for qRT-PCR. Each reaction contained 10 µL Chamq SYBR qPCR Master Mix (Without Rox) and 0.4 µL forward primer (10 μM), 0.4 µL reverse primer (10 μM), and cDNA samples diluted 10 times with 1.0 µL. PCR amplification was performed using a Quant Studio real-time fluorescent quantitative PCR instrument. Reaction conditions: predeformation, 95 °C for 5 min, followed by 40 cycles, 95 °C for 10 s, 60 °C for 30 s. Data represent means of three replicates ± standard deviation (SD). Analysis was performed using the Data Processing System, and Tukey’s multiple range test was conducted to determine significant differences. p < 0.05 was considered to indicate statistical significance.

4.4. Virus-Induced Gene Silencing (VIGS)

The successfully constructed pTRV2-ShCDPK6 and pTRV2-ShCDPK26 were transformed into Agrobacterium tumefaciens strain GV3101 together with pTRV1 and pTRV2-PDS. Cell culture containing the appropriate plasmid was injected into the tomato seedlings through the leaves with a syringe. Agrobacterium tumefaciens containing PTRV1 was mixed with agrobacterium tumefaciens containing pTRV2-ShCDPK6, pTRV2-ShCDPK26 and pTRV2-PDS respectively at 1:1 and placed at room temperature for 3 h. Plant leaves were inoculated with a 1 mL syringe to fill the injected leaves with bacterial solution to the greatest extent (the leaves are not damaged). Hence, 50 seedlings were infected at one time, among which 5 seedlings were used as the pTRV2-PDS plants,15 seedlings used for the drought treatment, 15 seedlings used for cold treatment, and 15 seedlings used for the Botrytis cinerea treatment. Each plant was inoculated 3 times, with 1 mL each time. At the same time, the pTRV2-PDS empty vector was inoculated into plant leaves as the positive control group. The soaked tomatoes were incubated overnight in dark conditions at 22 °C, and then incubated in a constant temperature incubator with a light cycle of 16 h/8 h. Other conditions were not changed. To ensure successful infiltration, tomato plant materials were inoculated with different combinations of fluid in each 4 min vacuum process. After the positive control plants showed the phenomenon of melatonin, the leaves of the experimental group and the control group were taken to detect efficiency of silencing gene using qRT-PCR [51]. The experiment was repeated three times. After the target fragment was successfully silenced, five physiological indexes of superoxide dismutase (SOD), catalase (CAT), ascorbate oxidase (AAO), peroxidase (POD), and polyphenol oxidase (PPO) were determined.

5. Conclusions

In this study, 33 CDPK gene family members of Solanum habrochaites were identified, which can be divided into four subgroups, mainly distributed in the cytoplasm with a few in the outer membrane. Phylogenetic analysis showed that the CDPK gene family had similar genes between Solanum habrochaites and cultivated tomato. Structural analysis showed that there was intron enrichment in the CDPK family of Solanum habrochaites. Motif analysis showed that the gene motifs with high homology of the CDPK gene family in Solanum habrochaites had strong similarity. According to the analysis of cis acting elements, the CDPK gene family of Solanum habrochaites is related to defense and stress response, anaerobic induction, drought stress, and other functions. The results of qRT-PCR showed that the CDPK gene family could respond to low temperature, drought, and Botrytis cinerea stress, and ShCDPK6 and ShCDPK26 were significantly expressed under the three stresses. The stress resistance of ShCDPK6 and ShCDPK26 silenced plants decreased significantly, indicating that ShCDPK6 and ShCDPK26 play an important role in response to abiotic and biotic stress.

Supplementary Materials

The following supporting information can be downloaded at: https://www.mdpi.com/article/10.3390/ijms23084227/s1.

Author Contributions

H.Z. collected common data sets and performed bioinformatics analysis. Y.Z. and Y.L. were involved in data collection. S.L. and J.L. provided ideas for bioinformatics analysis. X.C. and H.Z. performed the experiments. Y.Z. and Y.L. drafted the manuscript. Y.Z. and A.W. conceived the study and reviewed the manuscript. All authors have read and agreed to the published version of the manuscript.

Funding

This research was funded by the National Natural Science Foundation of China (32002052 and 31872120) and Postdoctoral Foundation of Heilongjiang Province (LBH_Z19114).

Institutional Review Board Statement

Not applicable.

Informed Consent Statement

Not applicable.

Data Availability Statement

Not applicable.

Acknowledgments

We would like to thank the anonymous reviewers for their constructive comments.

Conflicts of Interest

The authors declare no conflict of interest.

References

  1. Tuteja, N.; Mahajan, S. Calcium Signaling Network in Plants. Plant Signal. Behav. 2007, 2, 79–85. [Google Scholar] [CrossRef] [PubMed] [Green Version]
  2. Liese, A.; Romeis, T. Biochemical regulation of in vivo function of plant calcium-dependent protein kinases (CDPK). BBA Mol. Cell Res. 2013, 1833, 1582–1589. [Google Scholar] [CrossRef] [PubMed] [Green Version]
  3. Simeunovic, A.; Mair, A.; Wurzinger, B.; Teige, M. Know where your clients are: Subcellular localization and targets of calcium-dependent protein kinases. J. Exp. Bot. 2016, 67, 3855–3872. [Google Scholar] [CrossRef] [PubMed] [Green Version]
  4. Almonte, G.R.; Arthur, K.; Higgins, C.M.; MacDiarmid, R.M. Calcium-dependent protein kinases in plants: Evolution, expression and function. Plant Cell Physiol. 2014, 55, 551–569. [Google Scholar] [CrossRef] [Green Version]
  5. Knight, H. Calcium signaling during abiotic stress in plants. Int. Rev. Cytol. 1999, 195, 269–324. [Google Scholar]
  6. Sanders, D.; Brownlee, C.; Harper, J.F. Communicating with calcium. Plant Cell 1999, 11, 691–706. [Google Scholar] [CrossRef] [Green Version]
  7. Kudla, J.; Batistič, O.; Hashimoto, K. Calcium signals: The lead currency of plant information processing. Plant Cell 2010, 22, 541–563. [Google Scholar] [CrossRef]
  8. Dodd, A.N.; Kudla, J.; Sanders, D. The language of calcium signaling. Annu. Rev. Plant Biol. 2010, 61, 593–620. [Google Scholar] [CrossRef]
  9. Knight, H.; Knight, M.R. Abiotic stress signalling pathways: Specifificity and cross-talk. Trends Plant Sci. 2001, 6, 262–267. [Google Scholar] [CrossRef]
  10. Marcec, M.J.; Gilroy, S.; Poovaiah, B.W.; Tanaka, K. Mutual interplay of Ca2+ and ROS signaling in plant immune response. Plant Sci. 2019, 283, 343–354. [Google Scholar] [CrossRef]
  11. Tian, W.; Wang, C.; Gao, Q.; Li, L.; Luan, S. Calcium spikes, waves and oscillations in plant development and biotic interactions. Nat. Plants 2020, 6, 750–759. [Google Scholar] [CrossRef] [PubMed]
  12. White, P.; Broadley, M. Calcium in plants. Ann. Bot. 2003, 92, 487–511. [Google Scholar] [CrossRef] [PubMed]
  13. Sanders, D.; Pelloux, J.; Brownlee, C.; Harper, J.F. Calcium at the crossroads of signaling. Plant Cell 2002, 14, S401–S417. [Google Scholar] [CrossRef] [PubMed] [Green Version]
  14. Batistic, O.; Kudla, J. Analysis of calcium signaling pathways in plants. Biochim. Biophys. Acta 2012, 1820, 1283–1293. [Google Scholar] [CrossRef] [PubMed]
  15. Schulz, P.; Herde, M.; Romeis, T. Calcium-dependent protein kinases: Hubs in plant stress signaling and development. Plant Physiol. 2013, 163, 523–530. [Google Scholar] [CrossRef] [Green Version]
  16. Harper, J.F.; Breton, G.; Harmon, A. Decoding Ca2+ signals through plant protein kinases. Annu. Rev. Plant Biol. 2004, 55, 263–288. [Google Scholar] [CrossRef]
  17. Monaghan, J.; Matschi, S.; Shorinola, O.; Rovenich, H.; Matei, A.; Segonzac, C.; Malinovsky, F.G.; Rathjen, J.P.; MacLean, D.; Romeis, T.; et al. The calcium-dependent protein kinase CPK28 buffers plant immunity and regulates BIK1 turn over. Cell Host Microbe 2014, 16, 605–615. [Google Scholar] [CrossRef] [Green Version]
  18. Hong, Y.; Takano, M.; Liu, C.; Gasch, A.; Chye, M.; Chua, N. Expression of three members of the calcium-dependent protein kinase gene family in Arabidopsis thaliana. Plant Mol. Biol. 1996, 30, 1259–1275. [Google Scholar] [CrossRef] [Green Version]
  19. Ye, S.; Wang, L.; Xie, W.; Wan, B.; Li, X.; Lin, Y. Expression profifile of calcium-dependent protein kinase (CDPKs) genes during the whole lifespan and under phytohormone treatment conditions in rice (Oryza sativa L. ssp. indica). Plant Mol. Biol. 2009, 70, 311–325. [Google Scholar] [CrossRef]
  20. Boudsocq, M.; Sheen, J. CDPKs in immune and stress signaling. Trends Plant Sci. 2013, 18, 30–40. [Google Scholar] [CrossRef] [Green Version]
  21. Harmon, A.C.; Gribskov, M.; Gubrium, E.; Harper, J.F. The CDPK superfamily of protein kinases. New Phytol. 2001, 151, 175–183. [Google Scholar] [CrossRef] [PubMed] [Green Version]
  22. Ho, S.L.; Huang, L.F.; Lu, C.A.; He, S.L.; Wang, C.C.; Yu, S.P.; Chen, J.; Yu, S.-M. Sugar starvation-and GA-inducible calcium dependent protein kinase 1 feedback regulates GA biosynthesis and activates a 14-3-3 protein to confer drought tolerance in rice seedlings. Plant Mol. Biol. 2013, 81, 347–361. [Google Scholar] [CrossRef] [PubMed]
  23. Edel, K.H.; Kudla, J. Integration of calcium and ABA signaling. Curr. Opin. Plant Biol. 2016, 33, 83–91. [Google Scholar] [PubMed]
  24. Zhang, H.F.; Liu, D.Y.; Yang, B.; Liu, W.Z.; Mu, B.B.; Song, H.X.; Chen, B.Y.; Li, Y.; Ren, D.T.; Deng, H.Q.; et al. Arabidopsis CPK6 positively regulates ABA signaling and drought tolerance through phosphorylating ABA-responsive element-binding factors. J. Exp. Bot. 2020, 71, 188–203. [Google Scholar] [CrossRef] [PubMed]
  25. Dong, H.; Wu, C.; Luo, C.; Wei, M.; Qu, S.; Wang, S. Overexpression of MdCPK1a gene, a calcium dependent protein kinase in apple, increase tobacco cold tolerance via scavenging ROS accumulation. PLoS ONE 2020, 15, e0242139. [Google Scholar] [CrossRef]
  26. Weckwerth, P.; Ehlert, B.; Romeis, T. ZmCPK1, a calcium-independent kinase member of the Zea mays CDPK gene family, functions as a negative regulator in cold stress signalling. Plant Cell Environ. 2015, 38, 544–558. [Google Scholar] [CrossRef]
  27. Ma, S.; Wu, W. AtCPK23 functions in Arabidopsis responses to drought and salt stresses. Plant Mol. Biol. 2007, 65, 511–518. [Google Scholar] [CrossRef]
  28. Romeis, T.; Ludwig, A.A.; Martin, R.; Jones, J.D. Calcium-dependent protein kinases play an essential role in a plant defence response. EMBO J. 2001, 20, 5556–5567. [Google Scholar] [CrossRef] [Green Version]
  29. Murillo, I.; Jaeck, E.; Cordero, M.J.; San Segundo, B. Transcriptional activation of a maize calcium-dependent protein kinase gene in response to fungal elicitors and infection. Plant Mol. Biol. 2001, 45, 145–158. [Google Scholar] [CrossRef]
  30. Cao, X.; Jiang, F.; Wang, X.; Zang, Y.; Wu, Z. Comprehensive evaluation and screening for chilling-tolerance in tomato lines at the seedling stage. Euphytica 2015, 205, 569–584. [Google Scholar] [CrossRef]
  31. Foolad, M.R.; Lin, G.Y. Relationship between cold tolerance during seed germination and vegetative growth in tomato: Germplasm evaluation. J. Am. Soc. Hortic. Sci. 2000, 125, 679–683. [Google Scholar] [CrossRef]
  32. Venema, J.H.; Linger, P.; Van Heusden, A.W.; Van Hasselt, P.R.; Bruggemann, W. The inheritance of chilling tolerance in tomato (Lycopersicon spp.). Plant Biol. 2005, 7, 118–130. [Google Scholar] [CrossRef] [PubMed]
  33. Egashira, H.; Kuwashima, A.; Ishiguro, H.; Fukushima, K.; Kaya, T.; Imanishi, S. Screening of wild accessions resistance to gray mold (Botrytis cinerea Pers.) in Lycopersicon. Acta Physiol. Plant. 2000, 22, 324–326. [Google Scholar] [CrossRef]
  34. Zhao, R.; Sun, H.L.; Mei, C.; Wang, X.J.; Yan, L.; Liu, R.; Zhang, X.F.; Wang, X.F.; Zhang, D.P. The Arabidopsis Ca2+-dependent protein kinase CPK12 negatively regulates abscisic acid signaling in seed germination and post-germination growth. New Phytol. 2011, 192, 61–73. [Google Scholar] [CrossRef] [PubMed]
  35. Zhu, S.Y.; Yu, X.C.; Wang, X.J.; Zhao, R.; Li, Y.; Fan, R.C.; Shang, Y.; Du, S.Y.; Wang, X.F.; Wu, F.Q.; et al. Two calcium-dependent protein kinases, CPK4 and CPK11, regulate abscisic acid signal transduction in Arabidopsis. Plant Cell 2007, 19, 3019–3036. [Google Scholar] [CrossRef] [PubMed] [Green Version]
  36. Zhou, L.; Lan, W.; Jiang, Y.; Fang, W.; Luan, S. A calcium-dependent protein kinase interacts with and activates a calcium channel to regulate pollen tube growth. Mol. Plant 2014, 7, 369–376. [Google Scholar] [CrossRef] [Green Version]
  37. Xu, X.W.; Ji, J.; Lu, L.; Qi, X.H.; Chen, X.H. Cloning and expression analysis of Cucumis sativus calcium-dependent protein kinase 5 gene (CsCDPK5) under waterlogging stress. Acta Hortic. Sin. 2016, 43, 704–714. [Google Scholar]
  38. Klimecka, M.; Muszyńska, G. Structure and functions of plant calcium-dependent protein kinases. Acta Biochim. Pol. 2007, 54, 219–233. [Google Scholar] [CrossRef] [Green Version]
  39. Zou, J.J.; Wei, F.J.; Wang, C.; Wu, J.J.; Ratnasekera, D.; Liu, W.X.; Wu, W.H. Arabidopsis calcium-dependent protein kinase CPK10 functions in abscisic acid- and Ca2 +-mediated stomatal regulation in response to drought stress. Plant Physiol. 2010, 154, 1232–1243. [Google Scholar] [CrossRef] [Green Version]
  40. Xu, X.; Liu, M.; Lu, L.; Qu, W.Q. Genome-wide analysis and expression of the calcium-dependent protein kinase gene family in cucumber. Mol. Genet. Genom. 2015, 290, 1403–1414. [Google Scholar] [CrossRef]
  41. Zhang, M.; Liu, Y.; He, Q.; Chai, M.; Huang, Y.; Chen, F.; Wang, X.; Liu, Y.; Cai, H.; Qin, Y. Genome-wide investigation of calcium-dependent protein kinase gene family in pineapple: Evolution and expression profiles during development and stress. BMC Genom. 2020, 21, 72. [Google Scholar] [CrossRef] [PubMed]
  42. Zhang, K.; Han, Y.T.; Zhao, F.L.; Hu, Y.; Gao, Y.R.; Ma, Y.F.; Zheng, Y.; Wang, Y.J.; Wen, Y.Q. Genome-wide identification and expression analysis of the CDPK gene family in grape, Vitis spp. BMC Plant Biol. 2015, 15, 164. [Google Scholar] [CrossRef] [PubMed] [Green Version]
  43. Wolfe, K.H.; Gouy, M.; Yang, Y.W.; Sharp, P.M.; Li, W.H. Date of the monocot-dicot divergence estimated from chloroplast DNA sequence data. Proc. Natl. Acad. Sci. USA 1989, 86, 6201–6205. [Google Scholar] [CrossRef] [PubMed] [Green Version]
  44. Mcainsh, M.R.; Pinttman, J.K. Shaping the calcium signature: Tansley review. New Phytol. 2009, 181, 275–294. [Google Scholar] [CrossRef]
  45. Jiang, S.S.; Zhang, D.; Kong, X.P.; Zhou, Y.; Li, D.Q. Research progress of structural characteristics and functions of calcium-dependent protein kinases in plants. Biotechnol. Bull. 2013, 29, 12–19. [Google Scholar]
  46. Geiger, D.; Scherzer, S.; Mumm, P.; Marten, I.; Ache, P.; Matschi, S.; Liese, A.; Wellmann, C.; Al-Rasheid, K.A.; Grill, E.; et al. Guard cell anion channel SLAC1 is regulated by CDPK protein kinases with distinct Ca2+ affifinities. Proc. Natl. Acad. Sci. USA 2010, 107, 8023–8028. [Google Scholar] [CrossRef] [Green Version]
  47. Liu, E.; Page, J.E. Optimized cDNA libraries for virus-induced gene silencing (VIGS) using tobacco rattle virus. Plant Methods 2008, 4, 5. [Google Scholar] [CrossRef] [Green Version]
  48. Cui, Y.N.; Jiang, J.B.; Yang, H.H.; Zhao, T.T.; Xu, X.Y.; Li, J.F. Virus-induced gene silencing (VIGS) of the NBS-LRR gene SlNLC1 compromises Sm-mediated disease resistance to Stemphylium lycopersici in tomato. Biochem. Bioph. Res. Commun. 2018, 503, 1524–1529. [Google Scholar] [CrossRef]
  49. Virk, N.; Liu, B.; Zhang, H.J.; Li, X.H.; Zhang, Y.F.; Li, D.Y.; Song, F.M. Tomato SlMPK4 is required for resistance against Botrytis cinerea and tolerance to drought stress. Acta Physiol. Plant. 2013, 35, 1211–1221. [Google Scholar] [CrossRef]
  50. Apel, K.; Hirt, H. Reactive oxygen species: Metabolism, oxidative stress, and signal transduction. Annu. Rev. Plant Biol. 2004, 55, 373–399. [Google Scholar] [CrossRef] [Green Version]
  51. Liu, M.; Liang, Z.; Aranda, M.A.; Hong, N.; Liu, L.; Kang, B.; Gu, Q. A cucumber green mottle mosaic virus vector for virus-induced gene silencing in cucurbit plants. Plant Methods 2020, 16, 9. [Google Scholar] [CrossRef] [PubMed] [Green Version]
Figure 1. Phylogenetic tree analysis of CDPK gene family in Solanum habrochaites.
Figure 1. Phylogenetic tree analysis of CDPK gene family in Solanum habrochaites.
Ijms 23 04227 g001
Figure 2. Exon and intron structure analysis of CDPK gene family in Solanum habrochaites.
Figure 2. Exon and intron structure analysis of CDPK gene family in Solanum habrochaites.
Ijms 23 04227 g002
Figure 3. Conserved motif types of CDPK gene family in Solanum habrochaites.
Figure 3. Conserved motif types of CDPK gene family in Solanum habrochaites.
Ijms 23 04227 g003
Figure 4. Expression analysis of CDPKs gene in Solanum habrochaites with real-time PCR under cold stress. Quantitative PCR data are represented as mean ± SEM. ** p < 0.01, * p < 0.05. All date represent mean values for three independent biological replicates.
Figure 4. Expression analysis of CDPKs gene in Solanum habrochaites with real-time PCR under cold stress. Quantitative PCR data are represented as mean ± SEM. ** p < 0.01, * p < 0.05. All date represent mean values for three independent biological replicates.
Ijms 23 04227 g004
Figure 5. Expression analysis of CDPKs gene in Solanum habrochaites with real-time PCR under drought stress. Quantitative PCR data are represented as mean ± SEM. ** p < 0.01, * p < 0.05. All date represent mean values for three independent biological replicates.
Figure 5. Expression analysis of CDPKs gene in Solanum habrochaites with real-time PCR under drought stress. Quantitative PCR data are represented as mean ± SEM. ** p < 0.01, * p < 0.05. All date represent mean values for three independent biological replicates.
Ijms 23 04227 g005aIjms 23 04227 g005b
Figure 6. Expression analysis of CDPKs gene in Solanum habrochaites with real-time PCR under Botrytis cinerea stress. Quantitative PCR data are represented as mean ± SEM. ** p < 0.01, * p < 0.05. All date represent mean values for three independent biological replicates.
Figure 6. Expression analysis of CDPKs gene in Solanum habrochaites with real-time PCR under Botrytis cinerea stress. Quantitative PCR data are represented as mean ± SEM. ** p < 0.01, * p < 0.05. All date represent mean values for three independent biological replicates.
Ijms 23 04227 g006aIjms 23 04227 g006b
Figure 7. Determination of physiological indexes of ShCDPK6 and ShCDPK26 silenced plants and control plants under cold stress. Activity of SOD, CAT, AAO, POD, PPO. Each value is the mean ± standard deviation of at least three independent measurements.
Figure 7. Determination of physiological indexes of ShCDPK6 and ShCDPK26 silenced plants and control plants under cold stress. Activity of SOD, CAT, AAO, POD, PPO. Each value is the mean ± standard deviation of at least three independent measurements.
Ijms 23 04227 g007
Figure 8. Determination of physiological indexes of ShCDPK6 and ShCDPK26 silenced plants and control plants under drought stress. Activity of SOD, CAT, AAO, POD, PPO. Each value is the mean ± standard deviation of at least three independent measurements.
Figure 8. Determination of physiological indexes of ShCDPK6 and ShCDPK26 silenced plants and control plants under drought stress. Activity of SOD, CAT, AAO, POD, PPO. Each value is the mean ± standard deviation of at least three independent measurements.
Ijms 23 04227 g008
Figure 9. Determination of physiological indexes of ShCDPK6 and ShCDPK26 silenced plants and control plants under Botrytis cinerea stress. Activity of SOD, CAT, AAO, POD, PPO. Each value is the mean ± standard deviation of at least three independent measurements.
Figure 9. Determination of physiological indexes of ShCDPK6 and ShCDPK26 silenced plants and control plants under Botrytis cinerea stress. Activity of SOD, CAT, AAO, POD, PPO. Each value is the mean ± standard deviation of at least three independent measurements.
Ijms 23 04227 g009
Table 1. Characteristic of CDPK gene family in Solanum habrochaites.
Table 1. Characteristic of CDPK gene family in Solanum habrochaites.
Gene NameSequence AccessionGene
Length (bp)
Protein Length (aa)Mv/Da (ku)PIChromosomeChromosome Starting PositionChromosome Termination PositionSubcellula Localization
ShCDPK1Solhab01g001000160853560,015.85.8Chr11532661653571
ShCDPK2Solhab01g038800176758865,8369.25Chr1289826429044511
ShCDPK3Solhab01g408500162654161,077.65.52Chr11017183411017248931
ShCDPK4Solhab01g412600160253360,048.37.28Chr11021217441021284261
ShCDPK5Solhab01g424200179759867,570.65.22Chr11034382291034415511
ShCDPK6Solhab01g425400174958264,6775.93Chr11035220361035257991
ShCDPK7Solhab02g041900182460767,931.89.51Chr2344731734526291
ShCDPK8Solhab02g106200171357064,271.59.77Chr2867494986801391.2
ShCDPK9Solhab02g234000177659166,246.18.72Chr219980037199853171
ShCDPK10Solhab03g087000161753860,922.56.85Chr3705657670621551
ShCDPK11Solhab03g089800162053960,876.46.98Chr3728487672898241
ShCDPK12Solhab03g289900169856563,9599.39Chr367058383670662821.2
ShCDPK13Solhab03g297700166255362,883.16.84Chr367914192679227761
ShCDPK14Solhab04g006300174658164,561.95.56Chr47478007538991
ShCDPK15Solhab04g100300152750857,230.74.88Chr420036567200485581
ShCDPK16Solhab04g295200159052959,692.75.17Chr469050936690560091
ShCDPK17Solhab05g000900151250356,429.84.77Chr52015942067791
ShCDPK18Solhab06g061000161153661,044.46.02Chr6451426545179371
ShCDPK19Solhab06g118900150650156,383.95.78Chr6908922690932271
ShCDPK20Solhab07g020200156652157,818.77.05Chr7136817313728871
ShCDPK21Solhab08g229700155151657,7516.02Chr865522651655273981
ShCDPK22Solhab09g271700159052959,620.46.39Chr985410171854185861
ShCDPK23Solhab10g042100186362069,779.15.57Chr10309914631040721
ShCDPK24Solhab10g043000190863569,576.75Chr10318047331850061
ShCDPK25Solhab10g069000151550457,051.66.06Chr10526173852653331
ShCDPK26Solhab10g082100163554460,419.35.44Chr10630202363057151
ShCDPK27Solhab10g101400167455762,198.85.59Chr10875322887605081
ShCDPK28Solhab11g059000160253359,654.86.41Chr11542292654287091
ShCDPK29Solhab11g068700159052959,5335.97Chr11678751667946601
ShCDPK30Solhab11g157600151850556,832.45.4Chr1156529976565340491
ShCDPK31Solhab11g23470032041067120,659.37.4Chr1165019137650288211
ShCDPK32Solhab12g006400160853559,607.15.31Chr124305174339051
ShCDPK33Solhab12g260400157852558,3216.79Chr1269390749693938791
Note: Subcellular localization: 1. Cytoplasmic, 2. Outer membrane.
Publisher’s Note: MDPI stays neutral with regard to jurisdictional claims in published maps and institutional affiliations.

Share and Cite

MDPI and ACS Style

Li, Y.; Zhang, H.; Liang, S.; Chen, X.; Liu, J.; Zhang, Y.; Wang, A. Identification of CDPK Gene Family in Solanum habrochaites and Its Function Analysis under Stress. Int. J. Mol. Sci. 2022, 23, 4227. https://doi.org/10.3390/ijms23084227

AMA Style

Li Y, Zhang H, Liang S, Chen X, Liu J, Zhang Y, Wang A. Identification of CDPK Gene Family in Solanum habrochaites and Its Function Analysis under Stress. International Journal of Molecular Sciences. 2022; 23(8):4227. https://doi.org/10.3390/ijms23084227

Chicago/Turabian Style

Li, Yingying, Haixin Zhang, Sibo Liang, Xiuling Chen, Jiayin Liu, Yao Zhang, and Aoxue Wang. 2022. "Identification of CDPK Gene Family in Solanum habrochaites and Its Function Analysis under Stress" International Journal of Molecular Sciences 23, no. 8: 4227. https://doi.org/10.3390/ijms23084227

APA Style

Li, Y., Zhang, H., Liang, S., Chen, X., Liu, J., Zhang, Y., & Wang, A. (2022). Identification of CDPK Gene Family in Solanum habrochaites and Its Function Analysis under Stress. International Journal of Molecular Sciences, 23(8), 4227. https://doi.org/10.3390/ijms23084227

Note that from the first issue of 2016, this journal uses article numbers instead of page numbers. See further details here.

Article Metrics

Back to TopTop