Grapevine Leafroll-Associated Virus 3 in Single and Mixed Infections Triggers Changes in the Oxidative Balance of Four Grapevine Varieties
Abstract
1. Introduction
2. Results
2.1. Laboratory Virus Detection
2.2. Biochemical and Physiological Measurements in 2020 and 2021
2.2.1. Leafroll-Induced Changes
2.2.2. LR Genotype-Related Changes
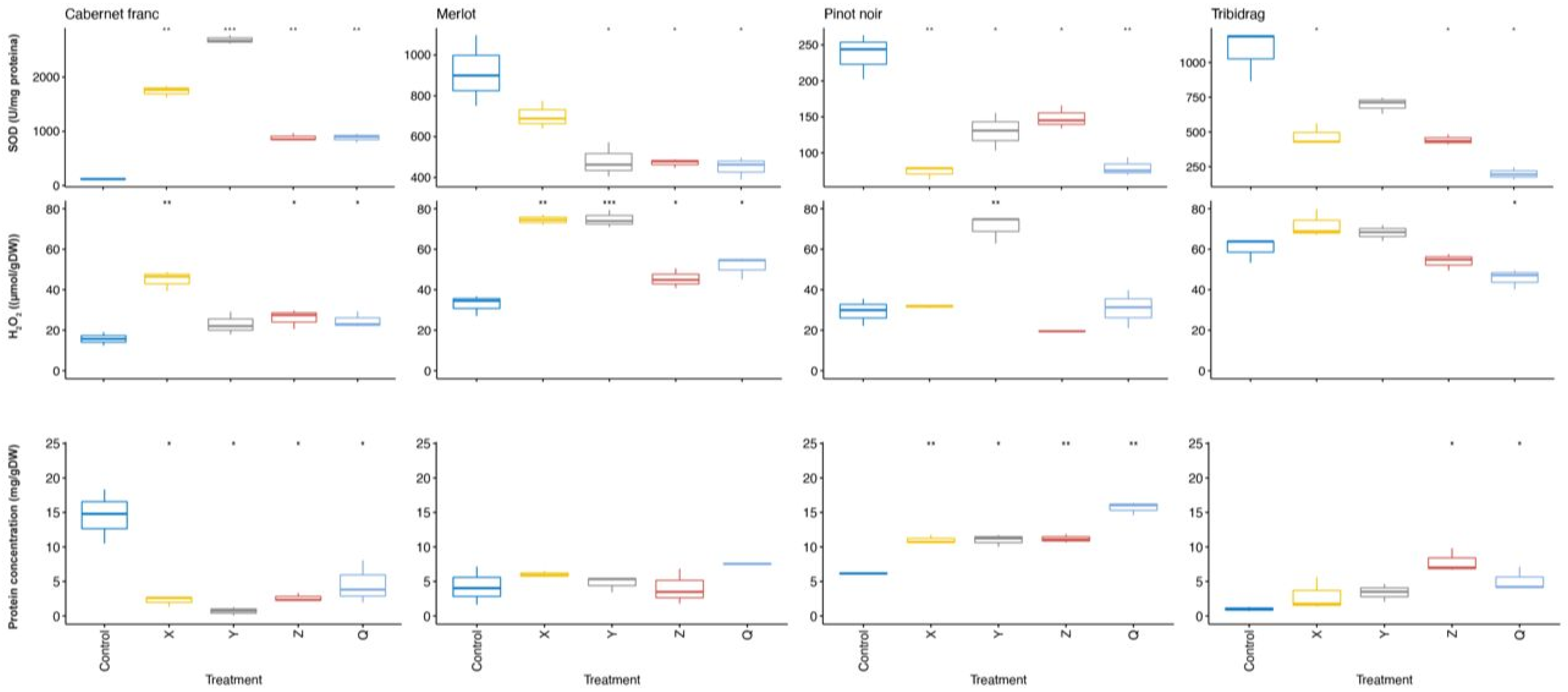
2.2.3. Wild-Type-Induced Changes
2.2.4. WT Genotype-Related Changes
2.2.5. Symptoms Observation
3. Discussion
3.1. Common Host Responses to Viral Infection
3.2. Reaction to Viral Infection Is Variety-Dependent
3.3. LR and WT Isolates Differ in the Ability to Provoke Host Reaction
3.4. The Host Response Is Time-Dependent
3.5. Symptoms Expression of GLRaV-3 Isolates in Single and Mixed Infections
4. Material and Methods
4.1. Grapevine Plants for Grafting
4.2. Viral Isolates for Grapevine Grafting
4.3. Confirmation of Virus Transmission
4.3.1. Enzyme-Linked Immunosorbent Assays (ELISA)
4.3.2. GLRaV-3 Detection by Reverse Transcription-Polymerase Chain Reaction (RT-PCR)
4.4. Physiological and Biochemical Measurements
4.4.1. Plant Material for Analysis
4.4.2. Chlorophyll Analysis
4.4.3. Photosynthesis and Stomatal Conductance
4.4.4. Nutritive Status
4.4.5. Leaf Water Status
4.4.6. Membrane Permeability
4.4.7. Biochemical Indicators of Oxidative Stress and Total Protein Analysis
4.4.8. Leaf Colorimetric Characteristics
4.5. Morphometrical Measurements and Symptoms Observation
4.6. Statistical Analysis
5. Conclusions
Supplementary Materials
Author Contributions
Funding
Institutional Review Board Statement
Informed Consent Statement
Data Availability Statement
Conflicts of Interest
References
- Martelli, G.P.; Piro, G. Virus diseases of the grapevine in a Sicilian herbarium of the past century. Vitis 1975, 13, 329–335. [Google Scholar]
- Domingo, E.; Martin, V.; Perales, C.; Grande-Perez, A.; Garcia-Arriaza, J.; Arias, A. Viruses as quasispecies: Biological implications. In Quasispecies: Concept and Implications for Virology; Springer: Berlin/Heidelberg, Germany, 2006; pp. 51–82. [Google Scholar]
- Diaz-Lara, A.; Klaassen, V.; Stevens, K.; Sudarshana, M.R.; Rowhani, A.; Maree, H.J.; Chooi, K.M.; Blouin, A.G.; Habili, N.; Song, Y.; et al. Characterization of grapevine leafroll-associated virus 3 genetic variants and application towards RT-qPCR assay design. PLoS ONE 2018, 13, e0208862. [Google Scholar] [CrossRef] [PubMed]
- Thompson, B.D.; Dahan, J.; Lee, J.; Martin, R.R.; Karasev, A. V A novel genetic variant of Grapevine leafroll-associated virus-3 (GLRaV-3) from Idaho grapevines. Plant Dis. 2019, 103, 509–518. [Google Scholar] [CrossRef] [PubMed]
- Martelli, G.P.; Agranovsky, A.A.; Bar-Joseph, M.; Boscia, D.; Candresse, T.; Coutts, R.H.A.; Dolja, V.V.; Falk, B.W.; Gonsalves, D.; Jelkmann, W.; et al. The family Closteroviridae revised. Arch. Virol. 2002, 147, 2039–2044. [Google Scholar] [CrossRef]
- Garnsey, S.M.; Civerolo, E.L.; Gumpf, D.J.; Paul, C.; Hilf, M.E.; Lee, R.F.; Brlansky, R.H.; Yokomi, R.K.; Hartung, J.S. Biological Characterization of an International Collection of Citrus tristeza virus (CTV) Isolates. Int. Organ. Citrus Virol. Conf. Proc. 2005, 16, 75–93. [Google Scholar] [CrossRef]
- Hančević, K.; Černi, S.; Nolasco, G.; Radić, T.; Djelouah, K.; Škorić, D. Biological characterization of Citrus tristeza virus monophyletic isolates with respect to p25 gene. Physiol. Mol. Plant Pathol. 2013, 81, 45–53. [Google Scholar] [CrossRef]
- Maree, H.J.; Almeida, R.P.P.; Bester, R.; Chooi, K.M.; Cohen, D.; Dolja, V.V.; Fuchs, M.F.; Golino, D.A.; Jooste, A.E.C.; Martelli, G.P.; et al. Grapevine leafroll-associated virus 3. Front. Microbiol. 2013, 4, 82. [Google Scholar] [CrossRef]
- Naidu, R.; Rowhani, A.; Fuchs, M.; Golino, D.; Martelli, G.P. Grapevine Leafroll: A complex viral disease affecting a high-value fruit crop. Plant Dis. 2014, 98, 1172–1185. [Google Scholar] [CrossRef]
- Bester, R.; Aldrich, D.J.; Burger, J.T.; Maree, H.J. Variable concentration ratios of Grapevine leafroll-associated virus 3 genetic variants. In Proceedings of the 19th Congress of ICVG, Santiago, Chile, 9–12 April 2018; p. 2. [Google Scholar]
- Bester, R.; Jooste, A.E.C.; Maree, H.J.; Burger, J.T. Real-time RT-PCR high-resolution melting curve analysis and multiplex RT-PCR to detect and differentiate grapevine leafroll-associated associated virus 3 variant groups I, II, III and VI. Virol. J. 2012, 9, 219. [Google Scholar] [CrossRef]
- Chooi, K.M.; Cohen, D.; Pearson, M.N. Differential distribution and titre of selected grapevine leafroll-associated virus 3 genetic variants within grapevine rootstocks. Arch. Virol. 2016, 161, 1371–1375. [Google Scholar] [CrossRef]
- Blaisdell, G.K.; Zhang, S.; Daane, K.; Almeida, R.P.P. Patterns of virus transmission from hosts with mixed infections. In Proceedings of the 17th Congress of ICVG, Davis, CA, USA, 7–14 October 2012; pp. 178–179. [Google Scholar]
- Hernández, J.A.; Gullner, G.; Clemente-Moreno, M.J.; Künstler, A.; Juhász, C.; Díaz-Vivancos, P.; Király, L. Oxidative stress and antioxidative responses in plant–virus interactions. Physiol. Mol. Plant Pathol. 2016, 94, 134–148. [Google Scholar] [CrossRef]
- Halldorson, M.M.; Keller, M. Grapevine leafroll disease alters leaf physiology but has little effect on plant cold hardiness. Planta 2018, 248, 1201–1211. [Google Scholar] [CrossRef] [PubMed]
- Song, Y.; Hanner, R.H.; Meng, B. Probing into the effects of grapevine leafroll-associated viruses on the physiology, fruit quality and gene expression of grapes. Viruses 2021, 13, 593. [Google Scholar] [CrossRef] [PubMed]
- Bertamini, M.; Malossini, U.; Muthuchelian, K.; Nedunchezhian, N. Physiological response of field grown grapevine (Vitis vinifera L. cv. Marzemino) to grapevine leafroll-associated virus (GLRaV-1). Phytopathol. Mediterr. 2005, 44, 256–265. [Google Scholar] [CrossRef]
- Montero, R.; El aou ouad, H.; Flexas, J.; Bota, J. Effects of grapevine leafroll associated virus 3 (GLRaV-3) on plant carbon balance in Vitis vinifera L. cv. Giró Ros. Theor. Exp. Plant Physiol. 2016, 28, 1–10. [Google Scholar] [CrossRef]
- Vega, A.; Gutiérrez, R.A.; Peña-Neira, A.; Cramer, G.R.; Arce-Johnson, P. Compatible GLRaV-3 viral infections affect berry ripening decreasing sugar accumulation and anthocyanin biosynthesis in Vitis vinifera. Plant Mol. Biol. 2011, 77, 261–274. [Google Scholar] [CrossRef]
- Espinoza, C.; Vega, A.; Medina, C.; Schlauch, K.; Cramer, G.; Arce-Johnson, P. Gene expression associated with compatible viral diseases in grapevine cultivars. Funct. Integr. Genom. 2007, 7, 95–110. [Google Scholar] [CrossRef]
- Montero, R.; El aou ouad, H.; Pacifico, D.; Marzachì, C.; Castillo, N.; García, E.; Del Saz, N.F.; Florez-Sarasa, I.; Flexas, J.; Bota, J. Effects of Grapevine leafroll-associated virus 3 on the physiology in asymptomatic plants of Vitis vinifera. Ann. Appl. Biol. 2017, 171, 155–171. [Google Scholar] [CrossRef]
- Prator, C.A.; Chooi, K.M.; Jones, D.; Davy, M.W.; MacDiarmid, R.M.; Almeida, R.P.P. Comparison of two different host plant genera responding to grapevine leafroll-associated virus 3 infection. Sci. Rep. 2020, 10, 8505. [Google Scholar] [CrossRef]
- Cui, Z.H.; Bi, W.L.; Hao, X.Y.; Xu, Y.; Li, P.M.; Walker, M.A.; Wang, Q.C. Responses of in vitro-grown plantlets (Vitis vinifera) to Grapevine leafroll-associated virus-3 and PEG-induced drought stress. Front. Physiol. 2016, 7, 203. [Google Scholar] [CrossRef]
- Clarke, S.F.; Guy, P.L.; Burritt, D.J.; Jameson, P.E. Changes in the activities of antioxidant enzymes in response to virus infection and hormone treatment. Physiol. Plant. 2002, 114, 157–164. [Google Scholar] [CrossRef] [PubMed]
- Siddique, Z.; Akhtar, K.P.; Hameed, A.; Sarwar, N.; Imran-Ul-Haq; Khan, S.A. Biochemical alterations in leaves of resistant and susceptible cotton genotypes infected systemically by cotton leaf curl Burewala virus. J. Plant Interact. 2014, 9, 702–711. [Google Scholar] [CrossRef]
- Hančević, K.; Radić, T.; Pasković, I.; Urlić, B. Biochemical and physiological responses to long-term Citrus tristeza virus infection in Mexican lime plants. Plant Pathol. 2018, 67, 987–994. [Google Scholar] [CrossRef]
- Radić, S.; Štefanić, P.P.; Lepeduš, H.; Roje, V.; Pevalek-Kozlina, B. Salt tolerance of Centaurea ragusina L. is associated with efficient osmotic adjustment and increased antioxidative capacity. Environ. Exp. Bot. 2013, 87, 39–48. [Google Scholar] [CrossRef]
- Díaz-Vivancos, P.; Rubio, M.; Mesonero, V.; Periago, P.M.; Ros Barceló, A.; Martínez-Gómez, P.; Hernández, J.A. The apoplastic antioxidant system in Prunus: Response to long-term plum pox virus infection. J. Exp. Bot. 2006, 57, 3813–3824. [Google Scholar] [CrossRef]
- Sampol, B.; Bota, J.; Riera, D.; Medrano, H.; Flexas, J. Analysis of the virus-induced inhibition of photosynthesis in malmsey grapevines. New Phytol. 2003, 160, 403–412. [Google Scholar] [CrossRef]
- Moutinho-Pereira, J.; Correia, C.M.; Gonçalves, B.; Bacelar, E.A.; Coutinho, J.F.; Ferreira, H.F.; Lousada, J.L.; Cortez, M.I. Impacts of leafroll-associated viruses (GLRaV-1 and -3) on the physiology of the Portuguese grapevine cultivar ‘Touriga Nacional’ growing under field conditions. Ann. Appl. Biol. 2012, 160, 237–249. [Google Scholar] [CrossRef]
- Bertamini, M.; Muthuchelian, K.; Nedunchezhian, N. Effect of grapevine leafroll on the photosynthesis of field grown grapevine plants (Vitis vinifera L. cv. Lagrein). J. Phytopathol. 2004, 152, 145–152. [Google Scholar] [CrossRef]
- Lehto, K.; Tikkanen, M.; Hiriart, J.-B.; Paakkarinen, V.; Aro, E.-M. Depletion of the photosystem II core complex in mature tobacco leaves infected by the flavum strain of tobacco mosaic virus. Mol. Plant-Microbe Interact. 2003, 16, 1135–1144. [Google Scholar] [CrossRef]
- Pérez-Bueno, M.L.; Ciscato, M.; VandeVen, M.; García-Luque, I.; Valcke, R.; Barón, M. Imaging viral infection: Studies on Nicotiana benthamiana plants infected with the pepper mild mottle tobamovirus. Photosynth. Res. 2006, 90, 111–123. [Google Scholar] [CrossRef]
- Christov, I.; Stefanov, D.; Velinov, T.; Goltsev, V.; Georgieva, K.; Abracheva, P.; Genova, Y.; Christov, N. The symptomless leaf infection with grapevine leafroll associated virus 3 in grown in vitro plants as a simple model system for investigation of viral effects on photosynthesis. J. Plant Physiol. 2006, 164, 1124–1133. [Google Scholar] [CrossRef] [PubMed]
- El Aou-Ouad, H.; Montero, R.; Medrano, H.; Bota, J. Interactive effects of grapevine leafroll-associated virus 3 (GLRaV-3) and water stress on the physiology of Vitis vinifera L. cv. Malvasia de Banyalbufar and Giro-Ros. J. Plant Physiol. 2016, 196–197, 106–115. [Google Scholar] [CrossRef] [PubMed]
- Yuan, P.; Poovaiah, B.W. Interplay between Ca2+/Calmodulin-Mediated Signaling and AtSR1/CAMTA3 during Increased Temperature Resulting in Compromised Immune Response in Plants. Int. J. Mol. Sci. 2022, 23, 2175. [Google Scholar] [CrossRef] [PubMed]
- Gilardi, G.; Chitarra, W.; Moine, A.; Mezzalama, M.; Boccacci, P.; Gullino, M.L.; Gambino, G. Biological and molecular interplay between two viruses and powdery and downy mildews in two grapevine cultivars. Hortic. Res. 2020, 7, 188. [Google Scholar] [CrossRef]
- Devlin, R.M.; Witham, F.H. Plant Physiology; Wardsworth Publ. Co.: Wardsworth, CA, USA, 1983; p. 577. [Google Scholar]
- Graham, R.D.; Webb, M.J. Micronutrients and disease resistance and tolerance in plants. Micronutr. Agric. 1991, 4, 329–370. [Google Scholar]
- Meng, B.; Martelli, G.P.; Golino, D.A.; Fuchs, M. Grapevine Viruses: Molecular Biology, Diagnostics and Management; Springer: Chem, Switzeland, 2017; pp. 1–698. [Google Scholar] [CrossRef]
- Chooi, K.M.; Blouin, A.G.; Cohen, D.; Bell, V.A.; Mundy, D.; Nobillo, S.; MacDiarmid, R.M. The influence of Grapevine leafroll-associated virus 3 genetic variants on management initiatives in New Zeland. In Proceedings of the 19th Congress of ICVG, Santiago, Chile, 9–12 April 2018; p. 2. [Google Scholar]
- Martelli, G.P. Leafroll. In Graft-Transmissible Diseases of Grapevines Handbook for Detection and Diagnosis; Food & Agriculture Org: Roma, Italy, 1993; pp. 37–45. ISBN 9251032459. [Google Scholar]
- Hančević, K.; Saldarelli, P.; Čarija, M.; Černi, S.; Zdunić, G.; Mucalo, A.; Radić, T. Predominance and Diversity of GLRaV-3 in Native Vines of Mediterranean Croatia. Plants 2021, 10, 17. [Google Scholar] [CrossRef]
- MacKenzie, D.J.; McLean, M.A.; Mukerji, S.; Green, M. Improved RNA extraction from woody plants for the detection of viral pathogens by reverse transcription-polymerase chain reaction. Plant Dis. 1997, 81, 222–226. [Google Scholar] [CrossRef]
- Turturo, C.; Saldarelli, P.; Yafeng, D.; Digiaro, M.; Minafra, A.; Savino, V.; Martelli, G.P. Genetic variability and population structure of Grapevine leafroll-associated virus 3 isolates. J. Gen. Virol. 2005, 86, 217–224. [Google Scholar] [CrossRef]
- Wellburn, A.R. The Spectral Determination of Chlorophylls a and b, as well as Total Carotenoids, Using Various Solvents with Spectrophotometers of Different Resolution. J. Plant Physiol. 1994, 144, 307–313. [Google Scholar] [CrossRef]
- Olsen, S.R.; Sommers, L.E.; Page, A.L. Methods of soil analysis. Part 1982, 2, 403–430. [Google Scholar]
- Gucci, R.; Lombardini, L.; Tattini, M. Analysis of leaf water relations in leaves of two olive (Olea europaea) cultivars differing in tolerance to salinity. Tree Physiol. 1997, 17, 13–21. [Google Scholar] [CrossRef] [PubMed]
- Tarhanen, S.; Holopainen, T.; Oksanen, J. Ultrastructural changes and electrolyte leakage from ozone fumigated epiphytic lichens. Ann. Bot. 1997, 80, 611–621. [Google Scholar] [CrossRef][Green Version]
- Beauchamp, C.; Fridovich, I. Superoxide dismutase: Improved assays and an assay applicable to acrylamide gels. Anal. Biochem. 1971, 44, 276–287. [Google Scholar] [CrossRef] [PubMed]
- Heath, R.L.; Packer, L. Photoperoxidation in isolated chloroplasts: I. Kinetics and stoichiometry of fatty acid peroxidation. Arch. Biochem. Biophys. 1968, 125, 189–198. [Google Scholar] [CrossRef]
- Mondal, R.; Choudhuri, M.A. Role of Hydrogen Peroxide in Senescence of Excised Leaves of Rice and Maize. Biochem. Physiol. Pflanz. 1981, 176, 700–709. [Google Scholar] [CrossRef]
- Raskin, I.; Turner, I.M.; Melander, W.R. Regulation of heat production in the inflorescences of an Arum lily by endogenous salicylic acid. Proc. Natl. Acad. Sci. USA 1989, 86, 2214–2218. [Google Scholar] [CrossRef]
- Bates, L.S.; Waldren, R.P.; Teare, I.D. Rapid determination of free proline for water-stress studies. Plant Soil 1973, 39, 205–207. [Google Scholar] [CrossRef]
- Bradford, M.M. A rapid and sensitive method for the quantitation of microgram quantities of protein utilizing the principle of protein-dye binding. Anal. Biochem. 1976, 72, 248–254. [Google Scholar] [CrossRef]
- Commission International de l’Eclairage. Colorimetry, 2nd ed.; Commission International de l’Eclairage (CIE), Publication CIE 15.2; Scientific Research Publishing: Wien, Vienna, 1986; Available online: https://www.scirp.org/(S(i43dyn45teexjx455qlt3d2q))/reference/ReferencesPapers.aspx?ReferenceID=1125567 (accessed on 9 July 2021).
- Jombart, T.; Devillard, S.; Balloux, F. Discriminant analysis of principal components: A new method for the analysis of genetically structured populations. BMC Genet. 2010, 11, 94. [Google Scholar] [CrossRef]
- Arbizu, P.M. pairwiseAdonis: Pairwise Multilevel Comparison Using Adonis R Package Version 0.4.0. 2020. Available online: https://github.com/pmartinezarbizu/pairwiseAdonis (accessed on 18 August 2022).






| No of Isolate | Name of Isolate | Virus Composition within Isolate | Type of Isolate | GLRaV-3 Genomic Variants Within Isolate | Total Number of Grafted Plants |
|---|---|---|---|---|---|
| 1 | I | GLRaV-3 * | LR ** | I | 20 |
| 2 | II | GLRaV-3 | LR | II | 20 |
| 3 | III | GLRaV-3 | LR | III | 20 |
| 4 | VI | GLRaV-3 | LR | VI | 20 |
| 5 | VII | GLRaV-3 | LR | VII | 20 |
| 6 | I, II | GLRaV-3 | LR | I + II | 20 |
| 7 | I, III | GLRaV-3 | LR | I + III | 20 |
| 8 | II, III | GLRaV-3 | LR | II + III | 20 |
| 9 | I, II, III | GLRaV-3 | LR | I + II + III | 20 |
| 10 | X | GLRaV-3, GVA, GPGV, GRSPaV | WT | I + II | 20 |
| 11 | Y | GLRaV-3, GVA, GLRaV-1, GPGV, GRSPaV | WT | I + II | 20 |
| 12 | Z | GLRaV-3, GVA | WT | I + II | 20 |
| 13 | Q | GLRaV-3, GVA, GLRaV-2, GFkV, GPV, GRSPaV | WT | I + II | 20 |
Disclaimer/Publisher’s Note: The statements, opinions and data contained in all publications are solely those of the individual author(s) and contributor(s) and not of MDPI and/or the editor(s). MDPI and/or the editor(s) disclaim responsibility for any injury to people or property resulting from any ideas, methods, instructions or products referred to in the content. |
© 2022 by the authors. Licensee MDPI, Basel, Switzerland. This article is an open access article distributed under the terms and conditions of the Creative Commons Attribution (CC BY) license (https://creativecommons.org/licenses/by/4.0/).
Share and Cite
Hančević, K.; Čarija, M.; Radić Brkanac, S.; Gaši, E.; Likar, M.; Zdunić, G.; Regvar, M.; Radić, T. Grapevine Leafroll-Associated Virus 3 in Single and Mixed Infections Triggers Changes in the Oxidative Balance of Four Grapevine Varieties. Int. J. Mol. Sci. 2023, 24, 8. https://doi.org/10.3390/ijms24010008
Hančević K, Čarija M, Radić Brkanac S, Gaši E, Likar M, Zdunić G, Regvar M, Radić T. Grapevine Leafroll-Associated Virus 3 in Single and Mixed Infections Triggers Changes in the Oxidative Balance of Four Grapevine Varieties. International Journal of Molecular Sciences. 2023; 24(1):8. https://doi.org/10.3390/ijms24010008
Chicago/Turabian StyleHančević, Katarina, Mate Čarija, Sandra Radić Brkanac, Emanuel Gaši, Matevž Likar, Goran Zdunić, Marjana Regvar, and Tomislav Radić. 2023. "Grapevine Leafroll-Associated Virus 3 in Single and Mixed Infections Triggers Changes in the Oxidative Balance of Four Grapevine Varieties" International Journal of Molecular Sciences 24, no. 1: 8. https://doi.org/10.3390/ijms24010008
APA StyleHančević, K., Čarija, M., Radić Brkanac, S., Gaši, E., Likar, M., Zdunić, G., Regvar, M., & Radić, T. (2023). Grapevine Leafroll-Associated Virus 3 in Single and Mixed Infections Triggers Changes in the Oxidative Balance of Four Grapevine Varieties. International Journal of Molecular Sciences, 24(1), 8. https://doi.org/10.3390/ijms24010008

