miR-145 as a Potential Biomarker and Therapeutic Target in Patients with Non-Small Cell Lung Cancer
Abstract
1. Introduction
2. Results
2.1. miR-145 Expression Is Downregulated in the Human Plasma Samples of NSCLC Patients
2.2. Upregulated miR-145 Expression Inhibits Proliferation, Migration, and Invasion of NSCLC Cells
2.3. miR-145 Overexpression Delays Tumor Growth in a Nude Mouse Model
2.4. miR-145 Downregulates the Enzyme Activities of Golgi Phosphoprotein 73 (GOLM1) and Rhotekin (RTKN) through Their 3′-UTRs
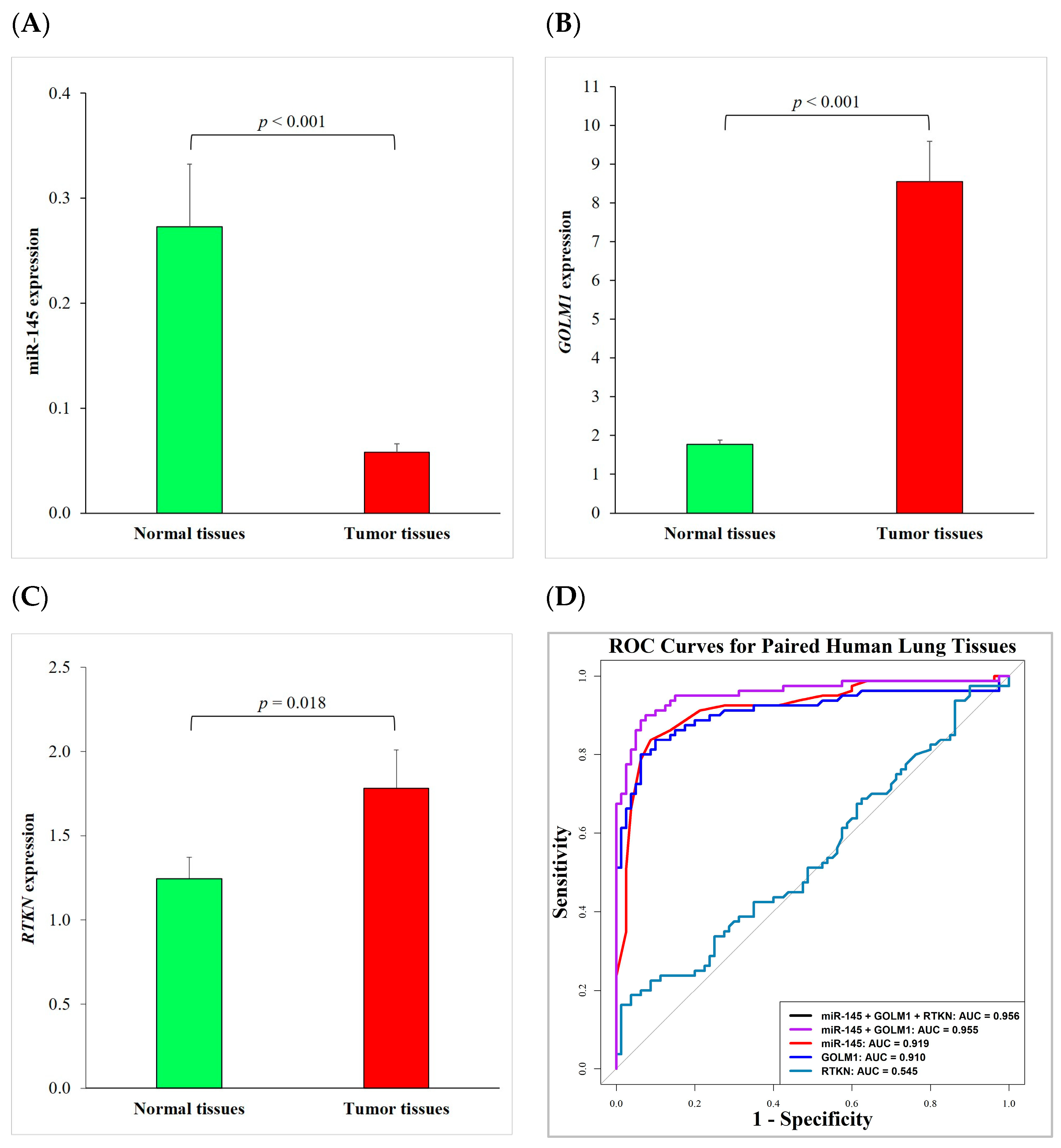
2.5. The Expression and Clinical Value of miR-145 and Its Gene Targets in Paired Lung Tissues of NSCLC Patients
2.6. External Validation in TCGA Data
3. Discussion
4. Materials and Methods
4.1. Patients’ Specimens
4.2. RNA Extraction and Reverse Transcription
4.3. Quantitative Real-Time Polymerase Chain Reaction (qPCR)
4.4. Cell Culture
4.5. Cell Transfection
4.6. Cell Proliferation Assay
4.7. Transwell Migration and Invasion Assays
4.8. Flow Cytometry Analysis
4.9. Subcutaneous Tumor Xenograft Mouse Model
4.10. Dual-Luciferase Reporter Gene Assay
4.11. The Cancer Genome Atlas (TCGA) Data Validation
4.12. Statistical Analysis
5. Conclusions
Author Contributions
Funding
Institutional Review Board Statement
Informed Consent Statement
Data Availability Statement
Conflicts of Interest
References
- Sung, H.; Ferlay, J.; Siegel, R.L.; Laversanne, M.; Soerjomataram, I.; Jemal, A.; Bray, F. Global cancer statistics 2020: GLOBOCAN estimates of incidence and mortality worldwide for 36 cancers in 185 countries. CA Cancer J. Clin. 2022, 71, 209–249. [Google Scholar] [CrossRef] [PubMed]
- Markopoulos, G.S.; Roupakia, E.; Tokamani, M.; Chavdoula, E.; Hatziapostolou, M.; Polytarchou, C.; Marcu, K.B.; Papavassiliou, A.G.; Sandaltzopoulos, R.; Kolettas, E. A step-by-step microRNA guide to cancer development and metastasis. Cell. Oncol. 2017, 40, 303–339. [Google Scholar] [CrossRef]
- Cho, W.C. MicroRNAs in cancer—From research to therapy. Biochim. Biophys. Acta 2010, 1805, 209–217. [Google Scholar] [CrossRef] [PubMed]
- Cho, W.C.; Chow, A.S.; Au, J.S. Restoration of tumour suppressor hsa-miR-145 inhibits cancer cell growth in lung adenocarcinoma patients with epidermal growth factor receptor mutation. Eur. J. Cancer 2009, 45, 2197–2206. [Google Scholar] [CrossRef] [PubMed]
- Lagos-Quintana, M.; Rauhut, R.; Lendeckel, W.; Tuschl, T. Identification of Novel Genes Coding for Small Expressed RNAs. Science 2001, 294, 853–858. [Google Scholar] [CrossRef]
- Michael, M.Z.; O’Connor, S.M.; van Holst Pellekaan, N.G.; Young, G.P.; James, R.J. Reduced accumulation of specific mi-croRNAs in colorectal neoplasia. Mol. Cancer Res. 2003, 1, 882–891. [Google Scholar]
- Vaksman, O.; Stavnes, H.T.; Kaern, J.; Trope, C.G.; Davidson, B.; Reich, R. miRNA profiling along tumour progression in ovarian carcinoma. J. Cell. Mol. Med. 2011, 15, 1593–1602. [Google Scholar] [CrossRef]
- Lakshmipathy, U.; Love, B.; Adams, C.; Thyagarajan, B.; Chesnut, J.D. Micro RNA Profiling: An easy and rapid method to screen and characterize stem cell populations. Methods Mol. Biol. 2007, 407, 97–114. [Google Scholar] [CrossRef]
- Ye, D.; Shen, Z.; Zhou, S. Function of microRNA-145 and mechanisms underlying its role in malignant tumor diagnosis and treatment. Cancer Manag. Res. 2019, 11, 969–979. [Google Scholar] [CrossRef]
- Xu, W.-X.; Liu, Z.; Deng, F.; Wang, D.-D.; Li, X.-W.; Tian, T.; Zhang, J.; Tang, J.-H. MiR-145: A potential biomarker of cancer migration and invasion. Am. J. Transl. Res. 2019, 11, 6739–6753. [Google Scholar]
- Cho, W.C.; Chow, A.S.; Au, J.S. MiR-145 inhibits cell proliferation of human lung adenocarcinoma by targeting EGFR and NUDT1. RNA Biol. 2011, 8, 125–131. [Google Scholar] [CrossRef] [PubMed]
- Yi, M.; Liao, Z.; Deng, L.; Xu, L.; Tan, Y.; Liu, K.; Chen, Z.; Zhang, Y. High diagnostic value of miRNAs for NSCLC: Quantitative analysis for both single and combined miRNAs in lung cancer. Ann. Med. 2021, 53, 2178–2193. [Google Scholar] [CrossRef]
- Nagata, M.; Muto, S.; Horie, S. Molecular Biomarkers in Bladder Cancer: Novel Potential Indicators of Prognosis and Treatment Outcomes. Dis. Markers 2016, 2016, 820–836. [Google Scholar] [CrossRef]
- Piasecka, D.; Braun, M.; Kordek, R.; Sadej, R.; Romanska, H. MicroRNAs in regulation of triple-negative breast cancer progression. J. Cancer Res. Clin. Oncol. 2018, 144, 1401–1411. [Google Scholar] [CrossRef] [PubMed]
- Xu, J.; An, P.; Winkler, C.A.; Yu, Y. Dysregulated microRNAs in Hepatitis B Virus-Related Hepatocellular Carcinoma: Potential as Biomarkers and Therapeutic Targets. Front. Oncol. 2020, 10, 1271. [Google Scholar] [CrossRef] [PubMed]
- Prinz, C.; Mese, K.; Weber, D. MicroRNA Changes in Gastric Carcinogenesis: Differential Dysregulation during Helicobacter pylori and EBV Infection. Genes 2021, 12, 597. [Google Scholar] [CrossRef] [PubMed]
- Oh-Hohenhorst, S.J.; Lange, T. Role of Metastasis-Related microRNAs in Prostate Cancer Progression and Treatment. Cancers 2021, 13, 4492. [Google Scholar] [CrossRef]
- Sudhanva, M.S.; Hariharasudhan, G.; Jun, S.; Seo, G.; Kamalakannan, R.; Kim, H.H.; Lee, J.-H. MicroRNA-145 Impairs Classical Non-Homologous End-Joining in Response to Ionizing Radiation-Induced DNA Double-Strand Breaks via Targeting DNA-PKcs. Cells 2022, 11, 1509. [Google Scholar] [CrossRef]
- Xu, W.; Hua, Y.; Deng, F.; Wang, D.; Wu, Y.; Zhang, W.; Tang, J. MiR-145 in cancer therapy resistance and sensitivity: A comprehensive review. Cancer Sci. 2020, 111, 3122–3131. [Google Scholar] [CrossRef]
- Zeinali, T.; Mansoori, B.; Mohammadi, A.; Baradaran, B. Regulatory mechanisms of miR-145 expression and the importance of its function in cancer metastasis. Biomed. Pharmacother. 2018, 109, 195–207. [Google Scholar] [CrossRef]
- Sawant, D.; Lilly, B. MicroRNA-145 targets in cancer and the cardiovascular system: Evidence for common signaling pathways. Vasc. Biol. 2021, 2, R115–R128. [Google Scholar] [CrossRef] [PubMed]
- Zhou, Y.; Cai, W.; Lu, H. Overexpression of microRNA-145 enhanced docetaxel sensitivity in breast cancer cells via inactivation of protein kinase B gamma-mediated phosphoinositide 3-kinase -protein kinase B pathway. Bioengineered 2022, 13, 11310–11320. [Google Scholar] [CrossRef]
- Dang, X.; Yang, L.; Guo, J.; Hu, H.; Li, F.; Liu, Y.; Pang, Y. miR-145-5p is associated with smoke-related chronic obstructive pulmonary disease via targeting KLF5. Chem. Interact. 2019, 300, 82–90. [Google Scholar] [CrossRef] [PubMed]
- Gu, W.; Yuan, Y.; Wang, L.; Yang, H.; Li, S.; Tang, Z.; Li, Q. Long non-coding RNA TUG1 promotes airway remodelling by suppressing the miR-145-5p/DUSP6 axis in cigarette smoke-induced COPD. J. Cell. Mol. Med. 2019, 23, 7200–7209. [Google Scholar] [CrossRef] [PubMed]
- Tiwari, A.; Li, J.; Kho, A.T.; Sun, M.; Lu, Q.; Weiss, S.T.; Tantisira, K.G.; McGeachie, M.J. COPD-associated miR-145-5p is downregulated in early-decline FEV1 trajectories in childhood asthma. J. Allergy Clin. Immunol. 2021, 147, 2181–2190. [Google Scholar] [CrossRef]
- McLendon, J.M.; Joshi, S.R.; Sparks, J.; Matar, M.; Fewell, J.G.; Abe, K.; Oka, M.; McMurtry, I.F.; Gerthoffer, W.T. Lipid nanoparticle delivery of a microRNA-145 inhibitor improves experimental pulmonary hypertension. J. Control. Release 2015, 210, 67–75. [Google Scholar] [CrossRef]
- Cao, X.; Zhang, C.; Zhang, X.; Chen, Y.; Zhang, H. MiR-145 negatively regulates TGFBR2 signaling responsible for sepsis-induced acute lung injury. Biomed. Pharmacother. 2019, 111, 852–858. [Google Scholar] [CrossRef]
- Dai, S.-H.; Chen, L.-J.; Qi, W.-H.; Ye, C.-L.; Zou, G.-W.; Liu, W.-C.; Yu, B.-T.; Tang, J. microRNA-145 Inhibition Upregulates SIRT1 and Attenuates Autophagy in a Mouse Model of Lung Ischemia/Reperfusion Injury via NF-κB-dependent Beclin 1. Transplantation 2021, 105, 529–539. [Google Scholar] [CrossRef]
- Hu, L.; Li, L.; Xie, H.; Gu, Y.; Peng, T. The Golgi Localization of GOLPH2 (GP73/GOLM1) Is Determined by the Transmembrane and Cytoplamic Sequences. PLoS ONE 2011, 6, e28207. [Google Scholar] [CrossRef]
- Yang, L.; Luo, P.; Song, Q.; Fei, X. DNMT1/miR-200a/GOLM1 signaling pathway regulates lung adenocarcinoma cells proliferation. Biomed. Pharmacother. 2018, 99, 839–847. [Google Scholar] [CrossRef]
- Yan, J.; Zhou, B.; Li, H.; Guo, L.; Ye, Q. Recent advances of GOLM1 in hepatocellular carcinoma. Hepatic Oncol. 2020, 7, HEP22. [Google Scholar] [CrossRef] [PubMed]
- Liu, Y.; Hu, X.; Liu, S.; Zhou, S.; Chen, Z.; Jin, H. Golgi Phosphoprotein 73: The Driver of Epithelial-Mesenchymal Transition in Cancer. Front. Oncol. 2021, 11, 783860. [Google Scholar] [CrossRef] [PubMed]
- Ye, Q.-H.; Zhu, W.-W.; Zhang, J.-B.; Qin, Y.; Lu, M.; Lin, G.-L.; Guo, L.; Zhang, B.; Lin, Z.-H.; Roessler, S.; et al. GOLM1 Modulates EGFR/RTK Cell-Surface Recycling to Drive Hepatocellular Carcinoma Metastasis. Cancer Cell 2016, 30, 444–458. [Google Scholar] [CrossRef] [PubMed]
- Kojima, S.; Enokida, H.; Yoshino, H.; Itesako, T.; Chiyomaru, T.; Kinoshita, T.; Fuse, M.; Nishikawa, R.; Goto, Y.; Naya, Y.; et al. The tumor-suppressive microRNA-143/145 cluster inhibits cell migration and invasion by targeting GOLM1 in prostate cancer. J. Hum. Genet. 2014, 59, 78–87. [Google Scholar] [CrossRef]
- Heasman, S.J.; Ridley, A.J. Mammalian Rho GTPases: New insights into their functions from in vivo studies. Nat. Rev. Mol. Cell Biol. 2008, 9, 690–701. [Google Scholar] [CrossRef]
- Ito, H.; Morishita, R.; Nagata, K.-I. Functions of Rhotekin, an Effector of Rho GTPase, and Its Binding Partners in Mammals. Int. J. Mol. Sci. 2018, 19, 2121. [Google Scholar] [CrossRef]
- Wang, S.; Bian, C.; Yang, Z.; Bo, Y.; Li, J.; Zeng, L.; Zhou, H.; Zhao, R.C. miR-145 inhibits breast cancer cell growth through RTKN. Int. J. Oncol. 2009, 34, 1461–1466. [Google Scholar] [CrossRef]
- Dong, Y.; Wei, M.-H.; Lu, J.-G.; Bi, C.-Y. Long non-coding RNA HULC interacts with miR-613 to regulate colon cancer growth and metastasis through targeting RTKN. Biomed. Pharmacother. 2018, 109, 2035–2042. [Google Scholar] [CrossRef]
- Sun, M.-Y.; Zhang, H.; Tao, J.; Ni, Z.-H.; Wu, Q.-X.; Tang, Q.-F. Expression and biological function of rhotekin in gastric cancer through regulating p53 pathway. Cancer Manag. Res. 2019, 11, 1069–1080. [Google Scholar] [CrossRef]
- Zhang, W.; Liang, Z.; Li, J. Inhibition of rhotekin exhibits antitumor effects in lung cancer cells. Oncol. Rep. 2016, 35, 2529–2534. [Google Scholar] [CrossRef]
- Marrugal, Á.; Ferrer, I.; Gómez-Sánchez, D.; Quintanal-Villalonga, Á.; Pastor, M.D.; Ojeda, L.; Paz-Ares, L.; Molina-Pinelo, S. Identification of Predictive Biomarkers of Response to HSP90 Inhibitors in Lung Adenocarcinoma. Int. J. Mol. Sci. 2021, 22, 2538. [Google Scholar] [CrossRef]
- Hou, J.; Meng, F.; Chan, L.W.C.; Cho, W.C.S.; Wong, S.C.C. Circulating Plasma MicroRNAs as Diagnostic Markers for NSCLC. Front. Genet. 2016, 7, 193. [Google Scholar] [CrossRef]






| Characteristic | Case | Plasma miR-145 * | p Value |
|---|---|---|---|
| Age (years) | 0.779 | ||
| ≤60 | 31 | 0.134 ± 0.031 | |
| >60 | 49 | 0.145 ± 0.026 | |
| Sex | 0.906 | ||
| Male | 41 | 0.139 ± 0.030 | |
| Female | 39 | 0.143 ± 0.026 | |
| Stage | 0.013 | ||
| Early (I and II) | 38 | 0.093 ± 0.015 | |
| Advanced (III and IV) | 42 | 0.184 ± 0.034 | |
| Smoking history | 0.293 | ||
| Non-smoker | 46 | 0.159 ± 0.027 | |
| Smoker | 34 | 0.117 ± 0.029 | |
| Overall survival | 0.365 | ||
| ≥5 years | 32 | 0.119 ± 0.027 | |
| <5 years | 48 | 0.155 ± 0.027 |
| miRNA/Gene | Forward Sequences (5′-3′) | Reverse Sequences (5′-3′) |
|---|---|---|
| miR-145 | GTCCAGTTTTCCCAGGAATC | AGGTCCAGTTTTTTTTTTTTTTTAGG |
| miR-16 | CGCAGTAGCAGCACGTA | CAGTTTTTTTTTTTTTTTCGCCAA |
| GOLM1 | TGGCCTGCATCATCGTCTTG | CCCTGGAACTCGTTCTTCTTCA |
| RTKN | ATGTTCTCCCGAAACCACCG | TTCCTCTGCAACTCCGTGTC |
| HPRT1 | GGGCGGATTGTTGTTTAACTTG | GGGAACTGCTGACAAAGATTCA |
Disclaimer/Publisher’s Note: The statements, opinions and data contained in all publications are solely those of the individual author(s) and contributor(s) and not of MDPI and/or the editor(s). MDPI and/or the editor(s) disclaim responsibility for any injury to people or property resulting from any ideas, methods, instructions or products referred to in the content. |
© 2023 by the authors. Licensee MDPI, Basel, Switzerland. This article is an open access article distributed under the terms and conditions of the Creative Commons Attribution (CC BY) license (https://creativecommons.org/licenses/by/4.0/).
Share and Cite
Cho, W.C.; Wong, C.F.; Li, K.P.; Fong, A.H.; Fung, K.Y.; Au, J.S. miR-145 as a Potential Biomarker and Therapeutic Target in Patients with Non-Small Cell Lung Cancer. Int. J. Mol. Sci. 2023, 24, 10022. https://doi.org/10.3390/ijms241210022
Cho WC, Wong CF, Li KP, Fong AH, Fung KY, Au JS. miR-145 as a Potential Biomarker and Therapeutic Target in Patients with Non-Small Cell Lung Cancer. International Journal of Molecular Sciences. 2023; 24(12):10022. https://doi.org/10.3390/ijms241210022
Chicago/Turabian StyleCho, William C., Chi F. Wong, Kwan P. Li, Alvin H. Fong, King Y. Fung, and Joseph S. Au. 2023. "miR-145 as a Potential Biomarker and Therapeutic Target in Patients with Non-Small Cell Lung Cancer" International Journal of Molecular Sciences 24, no. 12: 10022. https://doi.org/10.3390/ijms241210022
APA StyleCho, W. C., Wong, C. F., Li, K. P., Fong, A. H., Fung, K. Y., & Au, J. S. (2023). miR-145 as a Potential Biomarker and Therapeutic Target in Patients with Non-Small Cell Lung Cancer. International Journal of Molecular Sciences, 24(12), 10022. https://doi.org/10.3390/ijms241210022

