Field Control Effect and Initial Mechanism: A Study of Isobavachalcone against Blister Blight Disease
Abstract
1. Introduction
2. Results
2.1. The Field Control Effect of Isobavachalcone (IBC) on Blister Blight (BB)
2.2. Relevant Enzyme Activity Results
2.3. Results and Analysis of the Fungal Community Diversity
2.3.1. Quality of the Fungal Sequence Data
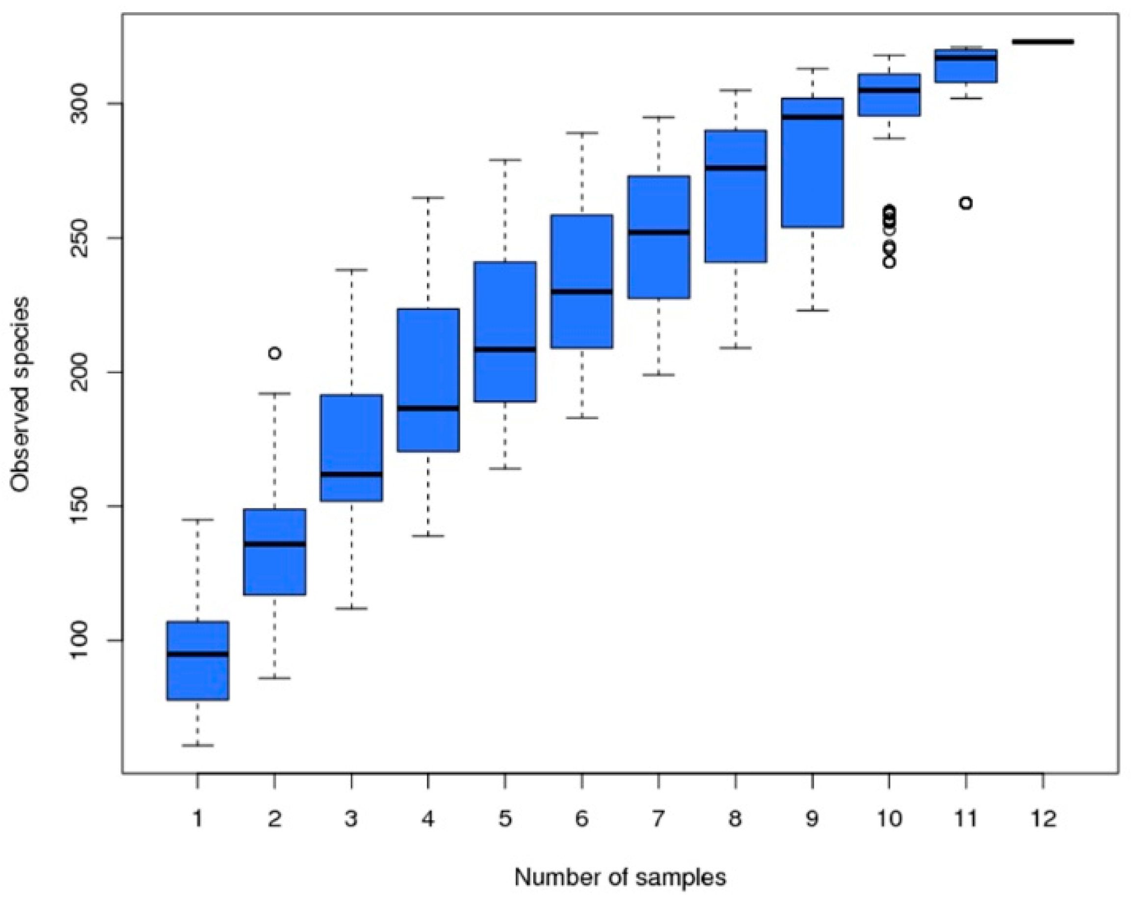
2.3.2. Fungal Operational Taxonomic Unit (OTU) Distribution and Diversity
2.3.3. Fungal Community Composition
2.3.4. Spatial Distribution of the Fungal Communities
2.3.5. Significant Differences in the Fungal Communities
3. Discussion
4. Materials and Methods
4.1. Plant Material and Test Agents
4.2. Field Experiment and Disease Assessment
4.3. Sample Collection
4.4. Assay of Defense Enzymes
4.5. DNA Extraction, PCR Amplification, and High-Throughput Sequencing
4.6. Statistical AnalysisS
5. Conclusions
Author Contributions
Funding
Institutional Review Board Statement
Informed Consent Statement
Data Availability Statement
Conflicts of Interest
Appendix A
| Sample Name | Raw PE | Clean Tags | Effective Tags | Base (nt) | AvgLen (nt) |
|---|---|---|---|---|---|
| IBC.1 | 80,487 | 78,758 | 60,249 | 13,963,128 | 232 |
| IBC.2 | 93,742 | 92,630 | 67,438 | 15,611,324 | 231 |
| IBC.3 | 92,719 | 92,027 | 66,875 | 15,491,731 | 232 |
| IBC + COS.1 | 85,062 | 83,762 | 67,155 | 15,550,339 | 232 |
| IBC + COS.2 | 87,439 | 85,701 | 69,553 | 16,093,890 | 231 |
| IBC + COS.3 | 94,978 | 93,010 | 68,798 | 15,920,544 | 231 |
| Py.1 | 57,257 | 55,936 | 38,742 | 8,977,112 | 232 |
| Py.2 | 82,841 | 82,212 | 65,353 | 15,155,021 | 232 |
| Py.3 | 89,116 | 88,385 | 68,694 | 15,932,821 | 232 |
| CK.1 | 88,936 | 86,946 | 66,369 | 15,456,529 | 233 |
| CK.2 | 71,492 | 70,989 | 55,524 | 12,926,278 | 233 |
| CK.3 | 78,098 | 76,742 | 60,603 | 14,109,218 | 233 |

References
- Zhang, L.; Yan, P.; Shen, C.; Zhang, L.; Wei, J.; Xu, H.; Li, X.; Han, W. Effects of exogenous TIBA on dwarfing, shoot branching and yield of tea plant (Camellia sinensis L.). Sci. Hortic. 2017, 225, 676–680. [Google Scholar] [CrossRef]
- Wang, Y.; Hao, X.; Wang, L.; Xiao, B.; Wang, X.; Yang, Y. Diverse Colletotrichum species cause anthracnose of tea plants (Camellia sinensis (L.) O. Kuntze) in China. Sci. Rep. 2016, 6, 35287. [Google Scholar] [CrossRef]
- Li, J.; Arkorful, E.; Cheng, S.; Zhou, Q.; Li, H.; Chen, X.; Sun, K.; Li, X. Alleviation of cold damage by exogenous application of melatonin in vegetatively propagated tea plant (Camellia sinensis (L.) O. Kuntze). Sci. Hortic. 2018, 238, 356–362. [Google Scholar] [CrossRef]
- Xia, E.H.; Tong, W.; Wu, Q.; Wei, S.; Zhao, J.; Zhang, Z.Z.; Wei, C.L.; Wan, X.C. Tea plant genomics: Achievements, challenges and perspectives. Hortic. Res. 2020, 7, 7. [Google Scholar] [CrossRef]
- Zhang, Q.; Guo, N.; Zhang, Y.; Yu, Y.; Liu, S. Genome-wide characterization and expression analysis of pathogenesis-related 1 (PR-1) gene family in tea plant (Camellia sinensis (L.) O. Kuntze) in response to blister-blight disease stress. Int. J. Mol. Sci. 2022, 23, 1292. [Google Scholar] [CrossRef]
- Ji, D.; Ou, L.; Ren, X.; Yang, X.; Tan, Y.; Zhou, X.; Jin, L. Transcriptomic and Metabolomic Analysis Reveal Possible Molecular Mechanisms Regulating Tea Plant Growth Elicited by Chitosan Oligosaccharide. Int. J. Mol. Sci. 2022, 23, 5469. [Google Scholar] [CrossRef]
- Higdon, J.V.; Frei, B. Tea catechins and polyphenols: Health effects, metabolism, and antioxidant functions. Crit. Rev. Food Sci. Nutr. 2003, 43, 89–143. [Google Scholar] [CrossRef]
- Sowndhararajan, K.; Marimuthu, S.; Manian, S. Biocontrol potential of phylloplane bacterium Ochrobactrum anthropi BMO-111 against blister blight disease of tea. J. Appl. Microbiol. 2013, 114, 209–218. [Google Scholar] [CrossRef]
- Pandey, A.K.; Sinniah, G.D.; Babu, A.; Tanti, A. How the global tea industry copes with fungal diseases-challenges and opportunities. Plant Dis. 2021, 105, 1868–1879. [Google Scholar] [CrossRef]
- Shahriar, S.A.; Nur-Shakirah, A.O.; Mohd, M.H. Neopestalotiopsis clavispora and Pseudopestalotiopsis camelliae-sinensis causing grey blight disease of tea (Camellia sinensis) in Malaysia. Eur. J. Plant Pathol. 2022, 162, 709–724. [Google Scholar] [CrossRef]
- Barman, A.; Nath, A.; Thakur, D. Identification and characterization of fungi associated with blister blight lesions of tea (Camellia sinensis L. Kuntze) isolated from Meghalaya, India. Microbiol. Res. 2020, 240, 126561. [Google Scholar] [CrossRef]
- Jayaswall, K.; Mahajan, P.; Singh, G.; Parmar, R.; Seth, R.; Raina, A.; Swarnkar, M.K.; Singh, A.K.; Shankar, R.; Sharma, R.K. Transcriptome analysis reveals candidate genes involved in blister blight defense in tea (Camellia sinensis (L) Kuntze). Sci. Rep. 2016, 6, 30412. [Google Scholar] [CrossRef]
- Punyasiri, N.P.A.; Tanner, G.J.; Abeysinghe, I.S.; Kumar, V.; Campbell, P.M.; Pradeepa, N.H. Exobasidium vexans infection of Camellia sinensis increased 2,3-cis isomerisation and gallate esterification of proanthocyanidins. Phytochemistry 2004, 65, 2987–2994. [Google Scholar] [CrossRef]
- Zhi, Y.a.; Chen, L.j.; Shi, H.z.; Wang, G.j.; Guo, S.b. Research Advances in Integrated Management of Tea blister blight. J. Xinyang Agric. For. Coll. 2018, 28, 98–100. [Google Scholar]
- Luo, Q.l.; Zheng, S.; Pan, X.l.; Wei, Q. The occurrence pattern of blister blight disease and prevention and control technology in Qiannan. Plant Health Med. 2016, 29, 57–59. [Google Scholar]
- LI, X.y.; Qi, P.y.; Kai, C.; Wang, Q.s. A Preliminary Study on Biopesticides for Controlling Exobasidium vexans Massee at High Altitude Tea Plantations. Tea Sci. Technol. 2017, 58, 201–203. [Google Scholar]
- Saravanakumar, D.; Vijayakumar, C.; Kumar, N.; Samiyappan, R. PGPR-induced defense responses in the tea plant against blister blight disease. Crop Prot. 2007, 26, 556–565. [Google Scholar] [CrossRef]
- Gurusubramanian, G.; Rahman, A.; Sarmah, M.; Ray, S.; Bora, S. Pesticide usage pattern in tea ecosystem, their retrospects and alternative measures. J. Environ. Biol. 2008, 29, 813–826. [Google Scholar]
- Ou, L.; Zhang, Q.; Ji, D.; Li, Y.; Zhou, X.; Jin, L. Physiological, transcriptomic investigation on the tea plant growth and yield motivation by chitosan oligosaccharides. Horticulturae 2022, 8, 68. [Google Scholar] [CrossRef]
- Chandra, S.; Chakraborty, N.; Panda, K.; Acharya, K. Chitosan-induced immunity in Camellia sinensis (L.) O. Kuntze against blister blight disease is mediated by nitric-oxide. Plant Physiol. Biochem. 2017, 115, 298–307. [Google Scholar] [CrossRef]
- Alam, F.; Khan, G.N.; Asad, M.H.H.B. Psoralea corylifolia L: Ethnobotanical, biological, and chemical aspects: A review. Phytother. Res. 2018, 32, 597–615. [Google Scholar] [CrossRef]
- Zhu, G.; Luo, Y.; Xu, X.; Zhang, H.; Zhu, M. Anti-diabetic compounds from the seeds of Psoralea corylifolia. Fitoterapia 2019, 139, 104373. [Google Scholar] [CrossRef]
- Zhang, X.; Zhao, W.; Wang, Y.; Lu, J.; Chen, X. The chemical constituents and bioactivities of Psoralea corylifolia Linn.: A review. J. Xinyang Agric. Coll. 2016, 44, 35–60. [Google Scholar] [CrossRef]
- Guan, L.j.; Zhang, H.m.; Cai, L.l.; Li, H.y.; Shao, S.; Wu, Y.h. Studies on Antifugal Mechanism of Buguzhi Extract for Valsa mali. J. Shenyang Agric. Univ. 2008, 39, 358–361. [Google Scholar]
- Li, Y.j.; Guan, L.j. Field Control Effect of Microemulsion of Psoralea corylifolia L. Extract Against Pesudomonas Syringae pv.lachrymans. J. Mt. Agric. Biol. 2021, 40, 5. [Google Scholar]
- Liu, X.; Li, W.; Hu, B.; Wang, M.; Wang, J.; Guan, L. Identification of isobavachalcone as a potential drug for rice blast disease caused by the fungus Magnaporthe grisea. J. Biomol. Struct. Dyn. 2018, 37, 3399–3409. [Google Scholar] [CrossRef]
- Liu, X. A Preliminary Mechanism of Action of Isobavachalcone against Rice Fungus; Shenyang University of Chemical Technology: Shenyang, China, 2019. [Google Scholar] [CrossRef]
- Li, Y.; Hu, B.; Wang, Z.; He, J.; Zhang, Y.; Wang, J.; Guan, L. Identification of pyruvate dehydrogenase E1 as a potential target against Magnaporthe oryzae through experimental and theoretical investigation. Int. J. Mol. Sci. 2021, 22, 5163. [Google Scholar] [CrossRef]
- Yang, H.; Li, J.; Xiao, Y.; Gu, Y.; Liu, H.; Liang, Y.; Liu, X.; Hu, J.; Meng, D.; Yin, H. An integrated insight into the relationship between soil microbial community and tobacco bacterial wilt disease. Front. Microbiol. 2017, 8, 2179. [Google Scholar] [CrossRef]
- Zhou, L.; Wang, Y.; Xie, Z.; Zhang, Y.; Malhi, S.S.; Guo, Z.; Qiu, Y.; Wang, L. Effects of lily/maize intercropping on rhizosphere microbial community and yield of Lilium davidii var. unicolor. J. Basic Microbiol. 2018, 58, 892–901. [Google Scholar] [CrossRef]
- Vu, V.H.; Li, X.; Wang, M.; Liu, R.; Zhang, G.; Liu, W.; Xia, B.; Sun, Q. Dynamics of fungal community during silage fermentation of elephant grass (Pennisetum purpureum) produced in northern Vietnam. Asian-Australas. J. Anim. Sci. 2019, 32, 996. [Google Scholar] [CrossRef]
- Cao, X.; Guo, L.; Cai, C.; Kong, F.; Yuan, J.; Gai, C.; Dai, H.; Wang, P.; Mei, W. Metabolites from the Mangrove-Derived Fungus Cladosporium sp. HNWSW-1. Front. Chem. 2021, 9, 1096. [Google Scholar] [CrossRef] [PubMed]
- Qureshi, A.W.; Javed, B.; Khan, L. Analysis of internal transcribed spacer1 (ITS1) region of rDNA for genetic characterization of Paramphistomum sp. Saudi J. Biol. Sci. 2021, 28, 5617–5620. [Google Scholar] [CrossRef]
- Chen, F.; Wang, M.; Zheng, Y.; Luo, J.M.; Yang, X.R.; Wang, X.L. Quantitative changes of plant defense enzymes and phytohormone in biocontrol of cucumber Fusarium wilt by Bacillus subtilis B579. World J. Microbiol. Biotechnol. 2010, 26, 675–684. [Google Scholar] [CrossRef]
- Abdul Malik, N.A.; Kumar, I.S.; Nadarajah, K. Elicitor and Receptor Molecules: Orchestrators of Plant Defense and Immunity. Int. J. Mol. Sci. 2020, 21, 963. [Google Scholar] [CrossRef] [PubMed]
- Koramutla, M.K.; Kaur, A.; Negi, M.; Venkatachalam, P.; Bhattacharya, R. Elicitation of jasmonate-mediated host defense in Brassica juncea (L.) attenuates population growth of mustard aphid Lipaphis erysimi (Kalt.). Planta 2014, 240, 177–194. [Google Scholar] [CrossRef]
- Zhang, F.L.; Ruan, X.L.; Wang, X.; Liu, Z.H.; Hu, L.Z.; Li, C.W. Overexpression of a chitinase gene from trichoderma asperellum increases disease resistance in transgenic soybean. Appl. Biochem. Biotechnol. 2016, 180, 1542–1558. [Google Scholar] [CrossRef]
- Guan, L.; Bai, K.; Li, H.; Shao, S.; Wu, Y. Effects of Psoralea corylifolia L. Extract on the Defensive Enzymes of Cucumber. Chin. J. Biol. Control 2008, 24 (Suppl. S1), 71–75. [Google Scholar] [CrossRef]
- Liu, C.J. A Preliminary Investigation on the Anti-TMV Activity and Its Mechanism of Action Induced by Isobavachalcone in Tobacco; Shenyang University of Chemical Technology: Shenyang, China, 2022. [Google Scholar] [CrossRef]
- Liu, H.; Jiang, J.; An, M.; Li, B.; Xie, Y.; Xu, C.; Jiang, L.; Yan, F.; Wang, Z.; Wu, Y. Bacillus velezensis SYL-3 suppresses Alternaria alternata and tobacco mosaic virus infecting Nicotiana tabacum by regulating the phyllosphere. Adv. Microb. Biotechnol. Sustain. Agric. 2022, 2, 241. [Google Scholar] [CrossRef]
- Cernava, T.; Chen, X.Y.L.; Krug, L.; Li, H.X.; Yang, M.F.; Berg, G. The tea leaf microbiome shows specific responses to chemical pesticides and biocontrol applications. Sci. Total Environ. 2019, 667, 33–40. [Google Scholar] [CrossRef]
- Trivedi, P.; Leach, J.E.; Tringe, S.G.; Sa, T.; Singh, B.K. Plant–microbiome interactions: From community assembly to plant health. Nat. Rev. Microbiol. 2020, 18, 607–621. [Google Scholar] [CrossRef]
- Zhang, Y.Q.; Zhang, J.; Yan, C.Y.; Fang, M.S.; Wang, L.J.; Huang, Y.H.; Wang, F.Y. Metabolome and microbiome signatures in the leaves of wild tea plant resources resistant to Pestalotiopsis theae. Front. Microbiol. 2022, 13, 907962. [Google Scholar] [CrossRef]
- Bensch, K.; Braun, U.; Groenewald, J.Z.; Crous, P.W. The genus cladosporium. Stud. Mycol. 2012, 72, 1–401. [Google Scholar] [CrossRef]
- Köhl, J.; Scheer, C.; Holb, I.J.; Masny, S.; Molhoek, W. Toward an integrated use of biological control by Cladosporium cladosporioides H39 in apple scab (Venturia inaequalis) management. Plant Dis. 2015, 99, 535–543. [Google Scholar] [CrossRef]
- Bensaci, O.A.; Rouabah, K.; Aliat, T.; Lombarkia, N.; Plushikov, V.G.; Kucher, D.E.; Dokukin, P.A.; Temirbekova, S.K.; Rebouh, N.Y. Biological Pests Management for Sustainable Agriculture: Understanding the Influence of Cladosporium-Bioformulated Endophytic Fungi Application to Control Myzus persicae (Sulzer, 1776) in Potato (Solanum tuberosum L.). Plants 2022, 11, 2055. [Google Scholar] [CrossRef] [PubMed]
- Oh, D.; Ryu, J.-H.; Oh, S.; Jeong, H.; Park, J.; Jeong, R.-D.; Kim, W.; Cho, J. Optical sensing for evaluating the severity of disease caused by Cladosporium sp. in barley under warmer conditions. Plant Pathol. J. 2018, 34, 236. [Google Scholar] [CrossRef]
- Cai, L.; Hyde, K.; Taylor, P.; Weir, B.; Waller, J.; Abang, M.; Zhang, J.; Yang, Y.; Phoulivong, S.; Liu, Z. A polyphasic approach for studying Colletotrichum. Fungal Divers. 2009, 39, 183–204. [Google Scholar]
- Phoulivong, S. Colletotrichum, naming, control, resistance, biocontrol of weeds and current challenges. Curr. Res. Environ. Appl. Mycol. 2011, 1, 53–73. [Google Scholar]
- Wan, Y.; Zou, L.; Zeng, L.; Tong, H.; Chen, Y. A new Colletotrichum species associated with brown blight disease on Camellia sinensis. Plant Dis. 2021, 105, 1474–1481. [Google Scholar] [CrossRef] [PubMed]
- Chen, Y.; Qiao, W.; Zeng, L.; Shen, D.; Liu, Z.; Wang, X.; Tong, H. Characterization, pathogenicity, and phylogenetic analyses of Colletotrichum species associated with brown blight disease on Camellia sinensis in China. Plant Dis. 2017, 101, 1022–1028. [Google Scholar] [CrossRef]
- Lin, H.; Liu, C.; Peng, Z.; Tan, B.; Wang, K.; Liu, Z. Distribution pattern of endophytic bacteria and fungi in tea plants. Front. Microbiol. 2022, 13, 872034. [Google Scholar] [CrossRef]
- Arun, K.D.; Sabarinathan, K.G.; Gomathy, M.; Kannan, R.; Balachandar, D. Mitigation of drought stress in rice crop with plant growth-promoting abiotic stress-tolerant rice phyllosphere bacteria. J. Basic Microbiol. 2020, 60, 768–786. [Google Scholar] [CrossRef] [PubMed]
- Han, L.; Wang, Z.; Li, N.; Wang, Y.; Feng, J.; Zhang, X. Bacillus amyloliquefaciens B1408 suppresses Fusarium wilt in cucumber by regulating the rhizosphere microbial community. Appl. Soil Ecol. 2019, 136, 55–66. [Google Scholar] [CrossRef]
- Huang, Y.; Wang, H.-C.; Cai, L.-T.; Li, W.; Pan, D.; Xiang, L.; Su, X.; Li, Z.; Adil, M.F.; Shamsi, I.H. Phyllospheric microbial composition and diversity of the tobacco leaves infected by Didymella segeticola. Front. Microbiol. 2021, 12, 699699. [Google Scholar] [CrossRef] [PubMed]
- Magoč, T.; Salzberg, S.L. FLASH: Fast length adjustment of short reads to improve genome assemblies. Bioinformatics 2011, 27, 2957–2963. [Google Scholar] [CrossRef] [PubMed]
- Edgar, R.C. UPARSE: Highly accurate OTU sequences from microbial amplicon reads. Nat. Methods 2013, 10, 996–998. [Google Scholar] [CrossRef]
- Edgar, R.C. MUSCLE: Multiple sequence alignment with high accuracy and high throughput. Nucleic Acids Res. 2004, 32, 1792–1797. [Google Scholar] [CrossRef]







| Treatments | Shannon | Simpson | Chao1 | ACE | Coverage |
|---|---|---|---|---|---|
| CK | 0.95 ± 0.04 a | 0.23 ± 0.01 a | 152.78 ± 15.48 a | 160.12 ± 13.92 a | 1.00 |
| IBC | 0.54 ± 0.08 b | 0.11 ± 0.02 c | 143.40 ± 21.53 a | 143.66 ± 31.88 ab | 1.00 |
| IBC + COSs | 0.32 ± 0.06 c | 0.07 ± 0.01 d | 85.62 ± 5.09 b | 94.59 ± 7.00 c | 1.00 |
| Py | 0.60 ± 0.04 b | 0.15 ± 0.01 b | 127.01 ± 18.45 a | 123.66 ± 2.21 bc | 1.00 |
| Treatments | Phylum | Class | Order | Family | Genus |
|---|---|---|---|---|---|
| CK | 3 | 17 | 43 | 86 | 130 |
| IBC | 3 | 18 | 38 | 69 | 99 |
| IBC + COSs | 2 | 10 | 27 | 48 | 68 |
| Py | 2 | 13 | 33 | 62 | 89 |
| Total No. of detected phylotypes | 4 | 21 | 54 | 110 | 175 |
| Community Structure | Relative Abundance (%) | ||||
|---|---|---|---|---|---|
| CK | IBC | IBC + COSs | Py | ||
| Phylum | Ascomycota | 97.47 ± 0.26 c | 98.34 ± 0.39 b | 98.88 ± 0.18 a | 98.55 ± 0.20 ab |
| Basidiomycota | 0.84 ± 0.18 a | 0.67 ± 0.30 a | 0.17 ± 0.03 b | 0.33 ± 0.02 b | |
| Genus | Cladosporium | 87.40 ± 0.65 d | 94.49 ± 0.86 b | 96.49 ± 0.70 a | 91.84 ± 0.77 c |
| Colletotrichum | 4.07 ± 0.78 b | 1.67 ± 0.35 c | 0.87 ± 0.23 c | 5.41 ± 0.62 a | |
| Unidentified_Pleosporales_sp. | 4.08 ± 0.72 a | 0.48 ± 0.07 bc | 1.08 ± 0.18 b | 0.08 ± 0.02 c | |
| Epicoccum | 0.26 ± 0.13 a | 0.27 ± 0.13 a | 0.05 ± 0.01 b | 0.15 ± 0.01 ab | |
| Setophoma | 0.25 ± 0.07 a | 0.28 ± 0.12 a | 0.03 ± 0.01 b | 0.17 ± 0.04 a | |
| Tilletiopsis | 0.30 ± 0.09 a | 0.07 ± 0.04 b | 0.03 ± 0.02 b | 0.05 ± 0.01 b | |
| Didymella | 0.26 ± 0.10 ab | 0.31 ± 0.09 a | 0.06 ± 0.01 c | 0.16 ± 0.04 bc | |
| Apiotrichum | 0.16 ± 0.06 ab | 0.23 ± 0.11 a | 0.02 ± 0.01 c | 0.09 ± 0.02 bc | |
| Uwebraunia | 0.18 ± 0.04 a | 0.07 ± 0.01 b | 0.01 ± 0.01 c | 0.01 ± 0.00 c | |
| Unidentified | 0.18 ± 0.04 a | 0.07 ± 0.01 b | 0.01 ± 0.01 c | 0.01 ± 0.00 c | |
| Exobasidium | 0.07 ± 0.04 a | 0.02 ± 0.01 b | 0.04 ± 0.00 b | 0.03 ± 0.01 b | |
| Item and Structure of the Active Ingredient | Foliar Application in the Field Treatment | ||
|---|---|---|---|
| Dilution Times (×) | Consumption of Agents per Mu (mL/667 m2) | Dosage of Active Ingredient (g/Ha) | |
| Seed extract from Psoralea corylifolia L. (0.2% isobavachalcone, IBC) ![]() | 300 | 150 | 4.5 |
| 600 | 75 | 2.25 | |
| 900 | 50 | 1.5 | |
| 1200 | 37.5 | 1.2 | |
| 1600 | 28.12 | 0.9 | |
5% Chitosan oligosaccharides (COSs) ![]() | 300 | 150 | 112.5 |
| 500 | 90 | 67.5 | |
| 600 | 75 | 56.25 | |
| 1200 | 37.5 | 28.2 | |
30% Pyraclostrobin (Py) ![]() | 1100 | 40.9 | 184.05 |
| Clear water (CK) | / | 45 kg | / |
Disclaimer/Publisher’s Note: The statements, opinions and data contained in all publications are solely those of the individual author(s) and contributor(s) and not of MDPI and/or the editor(s). MDPI and/or the editor(s) disclaim responsibility for any injury to people or property resulting from any ideas, methods, instructions or products referred to in the content. |
© 2023 by the authors. Licensee MDPI, Basel, Switzerland. This article is an open access article distributed under the terms and conditions of the Creative Commons Attribution (CC BY) license (https://creativecommons.org/licenses/by/4.0/).
Share and Cite
Yang, X.; Cao, K.; Ren, X.; Cao, G.; Xun, W.; Qin, J.; Zhou, X.; Jin, L. Field Control Effect and Initial Mechanism: A Study of Isobavachalcone against Blister Blight Disease. Int. J. Mol. Sci. 2023, 24, 10225. https://doi.org/10.3390/ijms241210225
Yang X, Cao K, Ren X, Cao G, Xun W, Qin J, Zhou X, Jin L. Field Control Effect and Initial Mechanism: A Study of Isobavachalcone against Blister Blight Disease. International Journal of Molecular Sciences. 2023; 24(12):10225. https://doi.org/10.3390/ijms241210225
Chicago/Turabian StyleYang, Xiuju, Kunqian Cao, Xiaoli Ren, Guangyun Cao, Weizhi Xun, Jiayong Qin, Xia Zhou, and Linhong Jin. 2023. "Field Control Effect and Initial Mechanism: A Study of Isobavachalcone against Blister Blight Disease" International Journal of Molecular Sciences 24, no. 12: 10225. https://doi.org/10.3390/ijms241210225
APA StyleYang, X., Cao, K., Ren, X., Cao, G., Xun, W., Qin, J., Zhou, X., & Jin, L. (2023). Field Control Effect and Initial Mechanism: A Study of Isobavachalcone against Blister Blight Disease. International Journal of Molecular Sciences, 24(12), 10225. https://doi.org/10.3390/ijms241210225




