Ca2+ Dynamics of Gap Junction Coupled and Uncoupled Deiters’ Cells in the Organ of Corti in Hearing BALB/c Mice
Abstract
1. Introduction
2. Results
2.1. Effect of Different Gap Junction Blockers on ATP-Induced Ca2+ Transients in Deiters’ Cells in the Apical and Middle Turns of the Mouse Cochlea
2.1.1. Octanol Had No Effect on ATP-Evoked Ca2+ Transients in Deiters’ Cells in Either Cochlear Regions
2.1.2. Carbenoxolone Significantly Decreased the ATP-Induced Ca2+ Transients in Deiters’ Cells in Both Cochlear Regions
2.1.3. Tonotopic Differences Were Found in Ca2+ Transients under Treatment with CBX, but Not in Octanol-Treated Cells
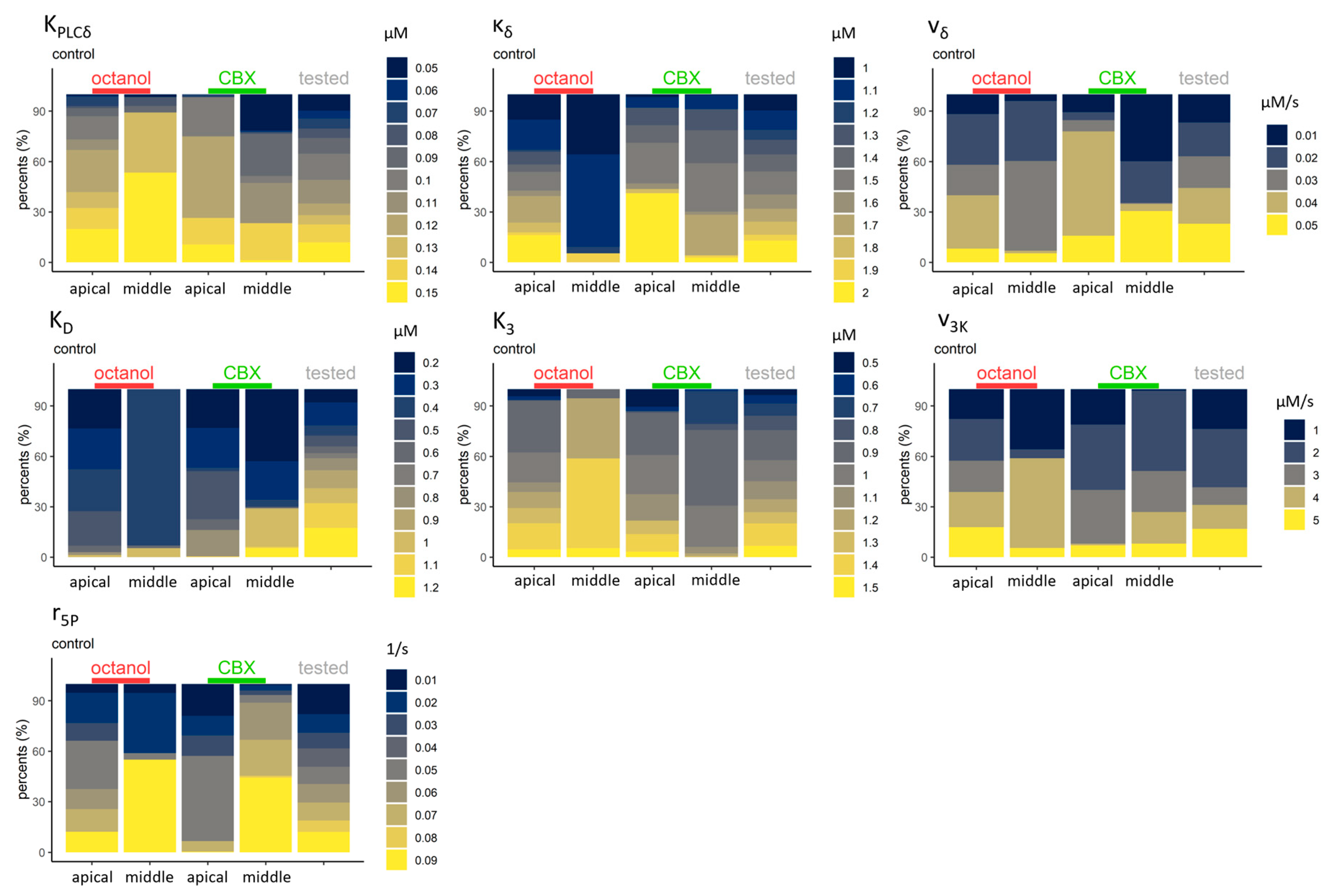
2.2. Mathematical Modelling of Ca2+ Transients
2.2.1. The Model
2.2.2. Analysis of the Parameter Combinations
3. Discussion
4. Materials and Methods
4.1. Collection of Experimental Data from Ca2+ Imaging of DCs
4.2. Mathematical Modelling and Comparison with Experimental Data
5. Conclusions
Supplementary Materials
Author Contributions
Funding
Institutional Review Board Statement
Informed Consent Statement
Data Availability Statement
Acknowledgments
Conflicts of Interest
References
- Berekméri, E.; Deák, O.; Téglás, T.; Sághy, É.; Horváth, T.; Aller, M.; Fekete, Á.; Köles, L.; Zelles, T. Targeted single-cell electroporation loading of Ca2+ indicators in the mature hemicochlea preparation. Hear. Res. 2019, 371, 75–86. [Google Scholar] [CrossRef] [PubMed]
- Berekméri, E.; Fekete, Á.; Köles, L.; Zelles, T. Postnatal Development of the Subcellular Structures and Purinergic Signaling of Deiters’ Cells along the Tonotopic Axis of the Cochlea. Cells 2019, 8, 1266. [Google Scholar] [CrossRef]
- Ruben, R.J. The Developing Concept of Tonotopic Organization of the Inner Ear. J. Assoc. Res. Otolaryngol. 2020, 21, 1–20. [Google Scholar] [CrossRef]
- Simon, É.; Perrot, X.; Mertens, P. Anatomie fonctionnelle du nerf cochléaire et du système auditif central. Neurochirurgie 2009, 55, 120–126. [Google Scholar] [CrossRef] [PubMed]
- Fettiplace, R. Hair cell transduction, tuning, and synaptic transmission in the mammalian cochlea. Compr. Physiol. 2017, 7, 1197–1227. [Google Scholar] [CrossRef]
- Monzack, E.L.; Cunningham, L.L. Lead roles for supporting actors: Critical functions of inner ear supporting cells. Hear. Res. 2013, 303, 20–29. [Google Scholar] [CrossRef]
- Bieniussa, L.; Jain, I.; Bosch Grau, M.; Juergens, L.; Hagen, R.; Janke, C.; Rak, K. Microtubule and auditory function—An underestimated connection. Semin. Cell Dev. Biol. 2023, 137, 74–86. [Google Scholar] [CrossRef]
- Chen, J.; Gao, D.; Sun, L.; Yang, J. Kölliker’s organ-supporting cells and cochlear auditory development. Front. Mol. Neurosci. 2022, 15, 1031989. [Google Scholar] [CrossRef]
- May, L.A.; Kramarenko, I.I.; Brandon, C.S.; Voelkel-Johnson, C.; Roy, S.; Truong, K.; Francis, S.P.; Monzack, E.L.; Lee, F.; Cunningham, L.L. Inner ear supporting cells protect hair cells by secreting HSP70. J. Clin. Investig. 2013, 123, 3577–3587. [Google Scholar] [CrossRef]
- Berekméri, E.; Szepesy, J.; Köles, L.; Zelles, T. Purinergic signaling in the organ of Corti: Potential therapeutic targets of sensorineural hearing losses. Brain Res. Bull. 2019, 151, 109–118. [Google Scholar] [CrossRef]
- Matsunaga, M.; Nakagawa, T. Future Pharmacotherapy for Sensorineural Hearing Loss by Protection and Regeneration of Auditory Hair Cells. Pharmaceutics 2023, 15, 777. [Google Scholar] [CrossRef] [PubMed]
- Walters, B.J.; Zuo, J. Postnatal development, maturation and aging in the mouse cochlea and their effects on hair cell regeneration. Hear. Res. 2013, 297, 68–83. [Google Scholar] [CrossRef] [PubMed]
- Wang, H.C.; Lin, C.C.; Cheung, R.; Zhang-Hooks, Y.; Agarwal, A.; Ellis-Davies, G.; Rock, J.; Bergles, D.E. Spontaneous Activity of Cochlear Hair Cells Triggered by Fluid Secretion Mechanism in Adjacent Support Cells. Cell 2015, 163, 1348–1359. [Google Scholar] [CrossRef] [PubMed]
- Dayaratne, M.W.N.; Vlajkovic, S.M.; Lipski, J.; Thorne, P.R. Kölliker’s Organ and the Development of Spontaneous Activity in the Auditory System: Implications for Hearing Dysfunction. Biomed Res. Int. 2014, 2014, 367939. [Google Scholar] [CrossRef] [PubMed]
- Fettiplace, R.; Nam, J.H. Tonotopy in calcium homeostasis and vulnerability of cochlear hair cells. Hear. Res. 2019, 376, 11–21. [Google Scholar] [CrossRef] [PubMed]
- Halford, J.; Bateschell, M.; Barr-Gillespie, P.G. Ca2+ entry through mechanotransduction channels localizes BAIAP2L2 to stereocilia tips. Mol. Biol. Cell 2022, 33, 1–14. [Google Scholar] [CrossRef]
- Ceriani, F.; Hendry, A.; Jeng, J.-Y.; Johnson, S.L.; Stephani, F.; Olt, J.; Holley, M.C.; Mammano, F.; Engel, J.; Kros, C.J.; et al. Coordinated calcium signalling in cochlear sensory and non-sensory cells refines afferent innervation of outer hair cells. EMBO J. 2019, 38, e99839. [Google Scholar] [CrossRef]
- Vlajkovic, S.M.; Thorne, P.R. Purinergic Signalling in the Cochlea. Int. J. Mol. Sci. 2022, 23, 14874. [Google Scholar] [CrossRef]
- Sirko, P.; Gale, J.E.; Ashmore, J.F. Intercellular Ca2+ signalling in the adult mouse cochlea. J. Physiol. 2019, 597, 303–317. [Google Scholar] [CrossRef]
- Sun, L.; Gao, D.; Chen, J.; Hou, S.; Li, Y.; Huang, Y.; Mammano, F.; Chen, J.; Yang, J. Failure of Hearing Acquisition in Mice with Reduced Expression of Connexin 26 Correlates with the Abnormal Phasing of Apoptosis Relative to Autophagy and Defective ATP-Dependent Ca2+ Signaling in Kölliker’s Organ. Front. Cell. Neurosci. 2022, 16, 816079. [Google Scholar] [CrossRef]
- Coate, T.M.; Kelley, M.W. Making connections in the inner ear: Recent insights into the development of spiral ganglion neurons and their connectivity with sensory hair cells. Semin. Cell Dev. Biol. 2013, 24, 460–469. [Google Scholar] [CrossRef] [PubMed]
- Jagger, D.J.; Forge, A. Connexins and gap junctions in the inner ear—it’s not just about K+ recycling. Cell Tissue Res. 2015, 360, 633–644. [Google Scholar] [CrossRef] [PubMed]
- Majumder, P.; Crispino, G.; Rodriguez, L.; Ciubotaru, C.D.; Anselmi, F.; Piazza, V.; Bortolozzi, M.; Mammano, F. ATP-mediated cell-cell signaling in the organ of corti: The role of connexin channels. Purinergic Signal. 2010, 6, 167–187. [Google Scholar] [CrossRef] [PubMed]
- Connors, B.W. Tales of a Dirty Drug: Carbenoxolone, Gap Junctions, and Seizures. Epilepsy Curr. 2012, 12, 66–68. [Google Scholar] [CrossRef] [PubMed]
- Buckley, C.; Zhang, X.; Wilson, C.; McCarron, J.G. Carbenoxolone and 18β-glycyrrhetinic acid inhibit inositol 1,4,5-trisphosphate-mediated endothelial cell calcium signalling and depolarise mitochondria. Br. J. Pharmacol. 2021, 178, 896–912. [Google Scholar] [CrossRef]
- Vessey, J.P.; Lalonde, M.R.; Mizan, H.A.; Welch, N.C.; Kelly, M.E.M.; Barnes, S. Carbenoxolone Inhibition of Voltage-Gated Ca Channels and Synaptic Transmission in the Retina. J. Neurophysiol. 2004, 92, 1252–1256. [Google Scholar] [CrossRef]
- Kelley, M.W. Cochlear Development; New Tools and Approaches. Front. Cell Dev. Biol. 2022, 10, 884240. [Google Scholar] [CrossRef]
- Driver, E.C.; Kelley, M.W. Development of the cochlea. Development 2020, 147, 162263. [Google Scholar] [CrossRef]
- Handy, G.; Taheri, M.; White, J.A.; Borisyuk, A. Mathematical investigation of IP3-dependent calcium dynamics in astrocytes. J. Comput. Neurosci. 2017, 42, 257–273. [Google Scholar] [CrossRef]
- Taheri, M.; Handy, G.; Borisyuk, A.; White, J.A. Diversity of evoked astrocyte Ca2+ dynamics quantified through experimental measurements and mathematical modeling. Front. Syst. Neurosci. 2017, 11, 79. [Google Scholar] [CrossRef]
- De Pittà, M.; Goldberg, M.; Volman, V.; Berry, H.; Ben-Jacob, E. Glutamate regulation of calcium and IP3 oscillating and pulsating dynamics in astrocytes. J. Biol. Phys. 2009, 35, 383–411. [Google Scholar] [CrossRef] [PubMed]
- Wu, D.; Jia, Y.; Zhan, X.; Yang, L.; Liu, Q. Effects of gap junction to Ca2+ and to IP 3 on the synchronization of intercellular calcium oscillations in hepatocytes. Biophys. Chem. 2005, 113, 145–154. [Google Scholar] [CrossRef] [PubMed]
- Rabbitt, R.D.; Holman, H.A. ATP and ACh Evoked Calcium Transients in the Neonatal Mouse Cochlear and Vestibular Sensory Epithelia. Front. Neurosci. 2021, 15, 710076. [Google Scholar] [CrossRef]
- Zheng, Q.Y.; Johnson, K.R.; Erway, L.C. Assessment of hearing in 80 inbred strains of mice by ABR threshold analyses. Hear. Res. 1999, 130, 94–107. [Google Scholar] [CrossRef] [PubMed]
- Szepesy, J.; Humli, V.; Farkas, J.; Miklya, I.; Tímár, J.; Tábi, T.; Gáborján, A.; Polony, G.; Szirmai, Á.; Tamás, L.; et al. Chronic oral selegiline treatment mitigates age-related hearing loss in balb/c mice. Int. J. Mol. Sci. 2021, 22, 2853. [Google Scholar] [CrossRef] [PubMed]
- Keiler, S.; Richter, C.-P. Cochlear dimensions obtained in hemicochleae of four different strains of mice: CBA/CaJ, 129/CD1, 129/SvEv and C57BL/6J. Hear. Res. 2001, 162, 91–104. [Google Scholar] [CrossRef] [PubMed]
- Lalo, U.; Kostyuk, P. Developmental changes in purinergic calcium signalling in rat neocortical neurones. Dev. Brain Res. 1998, 111, 43–50. [Google Scholar] [CrossRef]
- Huang, L.C.; Ryan, A.F.; Cockayne, D.A.; Housley, G.D. Developmentally regulated expression of the P2X3 receptor in the mouse cochlea. Histochem. Cell Biol. 2006, 125, 681–692. [Google Scholar] [CrossRef]
- Burnstock, G.; Dale, N. Purinergic signalling during development and ageing. Purinergic Signal. 2015, 11, 277–305. [Google Scholar] [CrossRef]
- Son, E.J.; Wu, L.; Yoon, H.; Kim, S.; Choi, J.Y.; Bok, J. Developmental Gene Expression Profiling along the Tonotopic Axis of the Mouse Cochlea. PLoS ONE 2012, 7, e40735. [Google Scholar] [CrossRef]
- Ricci, A.J.; Crawford, A.C.; Fettiplace, R. Tonotopic Variation in the Conductance of the Hair Cell Mechanotransducer Channel channel properties in the intact cell. Neuron 2003, 40, 983–990. [Google Scholar] [CrossRef]
- Cai, Q.; Vethanayagam, R.R.; Yang, S.; Bard, J.; Jamison, J.; Cartwright, D.; Dong, Y.; Hu, B.H. Molecular profile of cochlear immunity in the resident cells of the organ of Corti. J. Neuroinflamm. 2014, 11, 173. [Google Scholar] [CrossRef] [PubMed]
- Liu, W.J.; Yang, J. Developmental expression of inositol 1, 4, 5-trisphosphate receptor in the post-natal rat cochlea. Eur. J. Histochem. 2015, 59, 147–155. [Google Scholar] [CrossRef] [PubMed]
- Liu, H.; Chen, L.; Giffen, K.P.; Stringham, S.T.; Li, Y.; Judge, P.D.; Beisel, K.W.; He, D.Z.Z. Cell-Specific Transcriptome Analysis Shows That Adult Pillar and Deiters’ Cells Express Genes Encoding Machinery for Specializations of Cochlear Hair Cells. Front. Mol. Neurosci. 2018, 11, 356. [Google Scholar] [CrossRef] [PubMed]
- Waldhaus, J.; Durruthy-Durruthy, R.; Heller, S. Quantitative High-Resolution Cellular Map of the Organ of Corti. Cell Rep. 2015, 11, 1385–1399. [Google Scholar] [CrossRef] [PubMed]
- Lagostena, L.; Mammano, F. Intracellular calcium dynamics and membrane conductance changes evoked by Deiters’ cell purinoceptor activation in the organ of Corti. Cell Calcium 2001, 29, 191–198. [Google Scholar] [CrossRef] [PubMed]
- Tajima, S.; Danzaki, K.; Ikeda, K.; Kamiya, K. Degradation and modification of cochlear gap junction proteins in the early development of age-related hearing loss. Exp. Mol. Med. 2020, 52, 166–175. [Google Scholar] [CrossRef]
- Gossman, D.G.; Zhao, H.-B. Hemichannel-mediated inositol 1,4,5-trisphosphate (IP3) release in the cochlea: A novel mechanism of IP3 intercellular signaling. Cell Commun. Adhes. 2008, 15, 305–315. [Google Scholar] [CrossRef]
- Manjarrez-Marmolejo, J.; Franco-Pérez, J. Gap Junction Blockers: An Overview of their Effects on Induced Seizures in Animal Models. Curr. Neuropharmacol. 2016, 14, 759–771. [Google Scholar] [CrossRef]
- Zhao, H.-B.B.; Yu, N. Distinct and gradient distributions of connexin26 and connexin30 in the cochlear sensory epithelium of guinea pigs. J. Comp. Neurol. 2006, 499, 506–518. [Google Scholar] [CrossRef]
- Viberg, A.; Canlon, B. The guide to plotting a cochleogram. Hear. Res. 2004, 197, 1–10. [Google Scholar] [CrossRef] [PubMed]
- Basch, M.L.; Brown, R.M.; Jen, H.I.; Groves, A.K. Where hearing starts: The development of the mammalian cochlea. J. Anat. 2016, 228, 233–254. [Google Scholar] [CrossRef] [PubMed]
- Lee, Y.S.; Liu, F.; Segil, N. A morphogenetic wave of p27Kip1 transcription directs cell cycle exit during organ of Corti development. Development 2006, 133, 2817–2826. [Google Scholar] [CrossRef] [PubMed]
- Litovsky, R. Chapter 3—Development of the auditory system. In Handbook of Clinical Neurology; Elsevier: Amsterdam, The Netherlands, 2015; Volume 129, pp. 55–72. [Google Scholar]










| Gap Junction Blocker | Treatment | Apical Region | Middle Region | ||||
|---|---|---|---|---|---|---|---|
| Amplitude (dF/F0) | Duration (s) | AUC (dF/F0 × s) | Amplitude (dF/F0) | Duration (s) | AUC (dF/F0 × s) | ||
| Octanol (n.s.) | (−) | 0.7 ± 0.15 | 42.73 ± 8.38 | 29.45 ± 9.58 | 0.66 ± 0.16 | 44.71 ± 13.75 | 34.45 ± 15.57 |
| (+) | 0.68 ± 0.19 | 50.47 ± 7.04 | 35.89 ± 14.33 | 0.54 ± 0.1 | 36.53 ± 4.41 | 20.31 ± 5.7 | |
| CBX | (−) | 0.35 ± 0.05 | 32.62 ± 4.08 | 10.53 ± 1.73 | 0.74 ± 0.18 | 26.57 ± 4.27 | 22.36 ± 7.56 |
| (+) | 0.07 ± 0.02 *** | 21.69 ± 3.56 * | 1.76 ± 0.7 *** | 0.13 ± 0.06 *** | 12.62 ± 3.13 * | 2.94 ± 1.87 *** | |
| Parameters | Definition | Apical Region | Middle Region | p |
|---|---|---|---|---|
| c0 (µM) | Total free Ca2+ concentration | 1 ± 0.41 | 1 ± 0.30 | ** |
| κδ (µM) | Inhibition constant of PLCδ activity | 1.1 ± 0.25 | 1.1 ± 0.16 | *** |
| K3 (µM) | IP3 affinity of IP3-3-kinase | 1.2 ± 0.15 | 1.2 ± 0.15 | n.s. |
| Kπ (µM) | Ca2+ affinity of PKC | 0.6 ± 0.21 | 0.8 ± 0.11 | *** |
| KD (µM) | Ca2+ affinity of IP3-3-kinase | 0.4 ± 0.13 | 0.4 ± 0.19 | *** |
| KER (µM) | SERCA Ca2+ affinity | 0.11 ± 0.024 | 0.11 ± 0.026 | n.s. |
| Kp (µM) | Ca2+/PKC-dependent inhibition factor | 13 ± 2.7 | 14 ± 1.09 | *** |
| KPLCδ (µM) | Ca2+ affinity of PLCδ | 0.14 ± 0.014 | 0.13 ± 0.018 | *** |
| KR (µM) | ATP affinity of the P2Y receptor | 1.3 ± 0.31 | 1.6 ± 0.37 | *** |
| (1·s−1) | Maximal rate of degradation by inositol-5-phosphatase | 0.06 ± 0.032 | 0.09 ± 0.035 | *** |
| rC (1·s−1) | Maximal rate of Ca2+ induced Ca2+ release | 5 ± 0.74 | 4 ± 1.18 | *** |
| (µM·s−1) | Maximal rate of degradation by IP3-3-kinase | 2 ± 1.38 | 3 ± 1.42 | *** |
| (µM·s−1) | Maximal rate of IP3 production by PLCβ | 0.4 ± 0.14 | 0.3 ± 0.14 | *** |
| (µM·s−1) | Maximal rate of IP3 production by PLCδ | 0.02 ± 0.07 | 0.03 ± 0.009 | *** |
| vER (µM·s−1) | Maximal rate of SERCA uptake | 1.3 ± 0.19 | 1.3 ± 0.17 | *** |
| rP2X (µM·s−1) | Rate of the Ca2+ influx through P2X receptors | 0.055 ± 0.015 | 0.035 ± 0.019 | *** |
| vPMCA (µM·s−1) | Maximal rate of PMCA uptake | 2.5 ± 0.28 | 2.42 ± 0.23 | *** |
| KPMCA (µM) | PMCA Ca2+ affinity | 8.7 ± 2.88 | 9.6 ± 3.11 | * |
| ci (µM) | Initial intracellular Ca2+ concentration | 0.08 ± 0.017 | 0.07 ± 0.016 | n.s. |
| h | Initial fraction of active IP3 receptors | 0.7 ± 0.14 | 0.7 ± 0.13 | *** |
| [IP3] (µM) | Initial intracellular IP3 concentration | 0.3 ± 0.14 | 0.3 ± 0.13 | ** |
| Parameters | Minimum | Maximum | Steps |
|---|---|---|---|
| c0 (µM) | 1 | 10 | 1 |
| κδ (µM) | 1 | 2 | 0.1 |
| K3 (µM) | 0.5 | 1.5 | 0.1 |
| Kπ (µM) | 0.1 | 1 | 0.1 |
| KD (µM) | 0.2 | 1.2 | 0.1 |
| KER (µM) | 0.05 | 0.15 | 0.01 |
| Kp (µM) | 5 | 15 | 1 |
| KPLCδ (µM) | 0.05 | 0.15 | 0.01 |
| KR (µM) | 0.1 | 2 | 0.1 |
| (1 s−1) | 0.01 | 0.09 | 0.01 |
| rC (1 s−1) | 1 | 10 | 1 |
| (µM·s−1) | 1 | 5 | 1 |
| (µM·s−1) | 0.1 | 0.5 | 0.01 |
| (µM·s−1) | 0.01 | 0.05 | 0.01 |
| vER (µM·s−1) | 0.5 | 1.5 | 0.1 |
| rP2X (µM·s−1) | 0.005 | 0.1 | 0.001 |
| vPMCA (µM·s−1) | 5 | 15 | 1 |
| KPMCA (µM) | 2 | 3 | 0.01 |
| ci (µM) | 0.05 | 0.1 | 0.01 |
| h | 0.1 | 1 | 0.1 |
| [IP3] (µM) | 0.1 | 0.5 | 0.1 |
Disclaimer/Publisher’s Note: The statements, opinions and data contained in all publications are solely those of the individual author(s) and contributor(s) and not of MDPI and/or the editor(s). MDPI and/or the editor(s) disclaim responsibility for any injury to people or property resulting from any ideas, methods, instructions or products referred to in the content. |
© 2023 by the authors. Licensee MDPI, Basel, Switzerland. This article is an open access article distributed under the terms and conditions of the Creative Commons Attribution (CC BY) license (https://creativecommons.org/licenses/by/4.0/).
Share and Cite
Moysan, L.; Fazekas, F.; Fekete, A.; Köles, L.; Zelles, T.; Berekméri, E. Ca2+ Dynamics of Gap Junction Coupled and Uncoupled Deiters’ Cells in the Organ of Corti in Hearing BALB/c Mice. Int. J. Mol. Sci. 2023, 24, 11095. https://doi.org/10.3390/ijms241311095
Moysan L, Fazekas F, Fekete A, Köles L, Zelles T, Berekméri E. Ca2+ Dynamics of Gap Junction Coupled and Uncoupled Deiters’ Cells in the Organ of Corti in Hearing BALB/c Mice. International Journal of Molecular Sciences. 2023; 24(13):11095. https://doi.org/10.3390/ijms241311095
Chicago/Turabian StyleMoysan, Louise, Fruzsina Fazekas, Adam Fekete, László Köles, Tibor Zelles, and Eszter Berekméri. 2023. "Ca2+ Dynamics of Gap Junction Coupled and Uncoupled Deiters’ Cells in the Organ of Corti in Hearing BALB/c Mice" International Journal of Molecular Sciences 24, no. 13: 11095. https://doi.org/10.3390/ijms241311095
APA StyleMoysan, L., Fazekas, F., Fekete, A., Köles, L., Zelles, T., & Berekméri, E. (2023). Ca2+ Dynamics of Gap Junction Coupled and Uncoupled Deiters’ Cells in the Organ of Corti in Hearing BALB/c Mice. International Journal of Molecular Sciences, 24(13), 11095. https://doi.org/10.3390/ijms241311095

