A Comparative Analysis of Chemical Constituents and Antioxidant Effects of Dendrobium fimbriatum Hook Fractions with Different Polarities
Abstract
1. Introduction
2. Results
2.1. Identification of Chemical Constituents in Different DH Fractions
2.2. The Values of TPC and TFC in DH Fractions
2.3. ABTS and DPPH Radical Scavenging Abilities of DH Fractions
2.4. Effect of DH Fractions on the Cell Viability and Oxidative Stress in HepG2 Cells
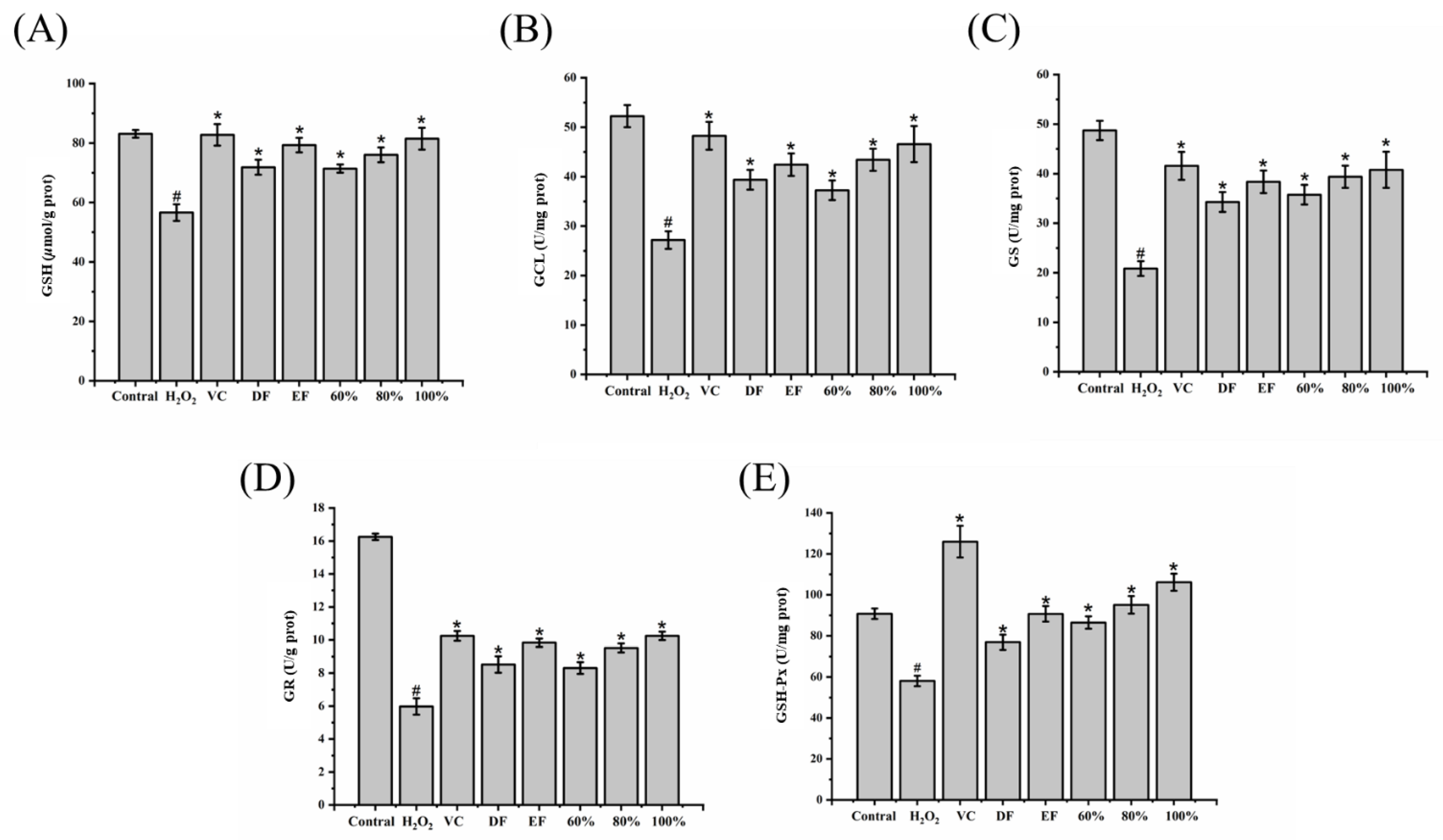
2.5. Influence of DH Fractions on GSH Synthesis and Metabolism
2.6. Antioxidative Activities of SOD, CAT, HO-1, and NQO1
2.7. Activation of Nrf2 Expression in H2O2-Induced HepG2 Cells by DH Fractions
2.8. Multivariate Analysis
3. Discussion
4. Materials and Methods
4.1. Chemicals and Reagents
4.2. Preparation of Dendrobium fimbriatum Hook Fractions
- (a)
- The CF powder (2 g) was fractionated with dichloromethane, ethyl acetate and n-butanol (each 3 times) in sequence. After rotary evaporation and lyophilization, the dichloromethane (DF, 336 mg), ethyl acetate fraction (EF, 100 mg), n-butanol fraction (BF, 691 mg), and the remaining water fraction (WF, 784 mg) were obtained for further studies.
- (b)
- The CF powder (2 g) was subjected to a column filled with D101 macroporous adsorption resin, which was eluted by different polarities of ethanol-aqueous solutions, to obtain 0% fraction (672 mg), 20% fraction (215 mg), 40% fraction, (216 mg), 60% fraction (174 mg), 80% fraction (152 mg), and 100% fraction (126 mg).
4.3. Chemical Constituent Analysis of DH Fractions
4.4. Determinations of TPC and TFC
4.5. Determination of Antioxidant Activities of DH Fractions
4.5.1. ABTS Scavenging Assay
4.5.2. DPPH Scavenging Assay
4.6. Estimation of DH Fractions on HepG2 Cell Toxicity
4.7. Determination of ROS Content in H2O2-Induced HepG2 Cells
4.8. Measurements of GSH Synthesis and Metabolism in H2O2-Induced HepG2 Cells
4.9. Determination of Antioxidative Enzyme Activities in H2O2-Induced HepG2 Cells
4.10. Western Blotting Analysis
4.11. Analysis of the Relationship between Chemical Constituents and Bioactivities
4.12. Data Analysis
5. Conclusions
Supplementary Materials
Author Contributions
Funding
Institutional Review Board Statement
Informed Consent Statement
Data Availability Statement
Acknowledgments
Conflicts of Interest
References
- Zhang, Q.; Li, J.; Luo, M.; Xie, G.; Zeng, W.; Wu, Y.; Zhu, Y.; Yang, X.; Guo, A. Systematic transcriptome and regulatory network analyses reveal the hypoglycemic mechanism of Dendrobium fimbriatum. Mol. Ther.—Nucl. Acids 2020, 19, 1–14. [Google Scholar] [CrossRef]
- Paul, P.; Kumaria, S. Precursor- induced bioaccumulation of secondary metabolites and antioxidant activity in suspension cultures of Dendrobium fimbriatum, an orchid of therapeutic importance. S. Afr. J. Bot. 2020, 135, 137–143. [Google Scholar] [CrossRef]
- Xu, F.; Fan, W.; Zi, C.; Dong, F.; Yang, D.; Zhou, J.; Hu, J. Four new glycosides from the stems of Dendrobium fimbriatum hook. Nat. Prod. Res. 2017, 31, 797–801. [Google Scholar] [CrossRef] [PubMed]
- Paul, P.; Joshi, M.; Gurjar, D.; Shailajan, S.; Kumaria, S. In Vitro organogenesis and estimation of β-sitosterol in Dendrobium fimbriatum hook.: An orchid of biopharmaceutical importance. S. Afr. J. Bot. 2017, 113, 248–252. [Google Scholar] [CrossRef]
- Wang, Y.; Wang, H.; Li, Q.; Zha, X.; Luo, J. Dendrobium fimbriatum polysaccharide ameliorates dss-induced intestinal mucosal injury by IL-22-regulated intestinal stem cell regeneration. Int. J. Biol. Macromol. 2023, 230, 123199. [Google Scholar] [CrossRef]
- Wu, W.; Lin, Y.; Farag, M.A.; Li, Z.; Shao, P. Dendrobium as a new natural source of bioactive for the prevention and treatment of digestive tract diseases: A comprehensive review with future perspectives. Phytomedicine 2023, 114, 154784. [Google Scholar] [CrossRef]
- Fu, X.; Chen, S.; Xian, S.; Wu, Q.; Shi, J.; Zhou, S. Dendrobium and its active ingredients: Emerging role in liver protection. Biomed. Pharmacother. 2023, 157, 114043. [Google Scholar] [CrossRef]
- Supruniuk, E.; Górski, J.; Chabowski, A. Endogenous and exogenous antioxidants in skeletal muscle fatigue development during exercise. Antioxidants. 2023, 12, 501. [Google Scholar] [CrossRef] [PubMed]
- Li, W.; Liu, C.; Yang, Q.; Zhou, Y.; Liu, M.; Shan, H. Oxidative stress and antioxidant imbalance in ovulation disorder in patients with polycystic ovary syndrome. Front. Nutr. 2022, 9, 1018674. [Google Scholar] [CrossRef]
- Sharma, S.; Pradhan, R.; Manickavasagan, A.; Thimmanagari, M.; Saha, D.; Singh, S.S.; Dutta, A. Production of antioxidative protein hydrolysates from corn distillers solubles: Process optimization, antioxidant activity evaluation, and peptide analysis. Ind. Crop. Prod. 2022, 184, 115107. [Google Scholar] [CrossRef]
- Zhang, D.D.; Chapman, E. The role of natural products in revealing Nrf2 function. Nat. Prod. Rep. 2020, 37, 797–826. [Google Scholar] [CrossRef] [PubMed]
- Zhuang, L.; Ding, Y.; Xiao, W.; Wang, Z.; Zhu, J. Continuous chromatography with multi-zone and multi-column dynamic tandem techniques for the isolation and enrichment of class compounds from natural products of panax notoginseng. J. Chromatogr. A 2020, 1629, 461499. [Google Scholar] [CrossRef]
- Hu, G.; Wang, L.; Li, X.; Qi, J. Rapidly and accurately screening histidine decarboxylase inhibitors from radix paeoniae alba using ultrafiltration–high performance liquid chromatography/mass spectrometry combined with enzyme channel blocking and directional enrichment technique. J. Chromatogr. A 2023, 1693, 463859. [Google Scholar] [CrossRef] [PubMed]
- Hou, Y.; Carne, A.; McConnell, M.; Mros, S.; Bekhit, A.A.; El-Din, A.; Bekhit, A. Macroporous resin extraction of phnqs from evechinus chloroticus sea urchin and their In Vitro antioxidant, anti-bacterial and in silico anti-inflammatory activities. LWT 2020, 131, 109817. [Google Scholar] [CrossRef]
- Afshar Mogaddam, M.R.; Farajzadeh, M.A.; Tuzen, M.; Jouyban, A.; Khandaghi, J. Organic solvent-free elevated temperature liquid–liquid extraction combined with a new switchable deep eutectic solvent-based dispersive liquid–liquid microextraction of three phenolic antioxidants from oil samples. Microchem. J. 2021, 168, 106433. [Google Scholar] [CrossRef]
- Yang, M.; Ma, Y.; Wang, Z.; Khan, A.; Zhou, W.; Zhao, T.; Cao, J.; Cheng, G.; Cai, S. Phenolic constituents, antioxidant and cytoprotective activities of crude extract and fractions from cultivated artichoke inflorescence. Ind. Crop. Prod. 2020, 143, 111433. [Google Scholar] [CrossRef]
- Cui, Q.; Wang, Y.; Zhou, W.; He, S.; Yang, M.; Xue, Q.; Wang, Y.; Zhao, T.; Cao, J.; Khan, A.; et al. Phenolic composition, antioxidant and cytoprotective effects of aqueous-methanol extract from Anneslea fragrans leaves as affected by drying methods. Int. J. Food. Sci. Tech. 2021, 56, 4807–4819. [Google Scholar] [CrossRef]
- Zhao, Y.; Li, Q.; Wang, M.; Wang, Y.; Piao, C.; Yu, H.; Liu, J.; Li, Z. Structural characterization of polysaccharides after fermentation from Ganoderma lucidum and its antioxidant activity in HepG2 cells induced by H2O2. Food Chem. X 2023, 18, 100682. [Google Scholar] [CrossRef]
- Wang, Y.; Deng, X.; Liu, Y.; Wang, Y.; Luo, X.; Zhao, T.; Wang, Z.; Cheng, G. Protective effect of Anneslea fragrans ethanolic extract against CCl4-induced liver injury by inhibiting inflammatory response, oxidative stress and apoptosis. Food. Chem. Toxicol. 2023, 175, 113752. [Google Scholar] [CrossRef]
- Ghazzawy, H.S.; Gouda, M.M.; Awad, N.S.; Al-Harbi, N.A.; Alqahtani, M.M.; Abdel-Salam, M.M.; Abdein, M.A.; Al-Sobeai, S.M.; Hamad, A.A.; Alsberi, H.M.; et al. Potential bioactivity of phoenix dactylifera fruits, leaves, and seeds against prostate and pancreatic cancer cells. Front. Nutr. 2022, 9, 998929. [Google Scholar] [CrossRef]
- Wang, Y.; Wang, Z.; Xue, Q.; Zhen, L.; Wang, Y.; Cao, J.; Liu, Y.; Khan, A.; Zhao, T.; Cheng, G. Effect of ultra-high pressure pretreatment on the phenolic profiles, antioxidative activity and cytoprotective capacity of different phenolic fractions from Que Zui tea. Food. Chem. 2023, 409, 135271. [Google Scholar] [CrossRef] [PubMed]
- Wang, Z.; Liang, M.; Liu, B.; Yang, L. Methionine strengthens anti-inflammation of rice protein via depressing NF-κB activation and stimulating MSR expression in rats fed cholesterol-enriched diets. Food. Sci. Biotechnol. 2022, 31, 745–758. [Google Scholar] [CrossRef] [PubMed]
- Labarrere, C.A.; Kassab, G.S. Glutathione: A samsonian life-sustaining small molecule that protects against oxidative stress, ageing and damaging inflammation. Front. Nutr. 2022, 9, 1007816. [Google Scholar] [CrossRef] [PubMed]
- Bellavite, P. Neuroprotective potentials of flavonoids: Experimental studies and mechanisms of action. Antioxidants 2023, 12, 280. [Google Scholar]
- Wang, D.; Wang, T.; Li, Z.; Guo, Y.; Granato, D. Green tea polyphenols upregulate the Nrf2 signaling pathway and suppress oxidative stress and inflammation markers in D-galactose-induced liver aging in mice. Front. Nutr. 2022, 9, 1007816. [Google Scholar]
- Wang, H.; Sun, Z.; Ur-Rehman, R.; Riaz, S.; Shen, T.; Fan, Z.; Liu, D. Apple phlorizin reduce plasma cholesterol by down-regulating hepatic HMG-COA reductase and enhancing the excretion of fecal sterols. J. Funct. Foods 2019, 62, 103548. [Google Scholar] [CrossRef]
- Yuan, X.; Wu, Y.; Liang, J.; Yuan, H.; Zhao, X.; Zhu, D.; Liu, H.; Lin, J.; Huang, S.; Lai, X.; et al. Phlorizin treatment attenuates obesity and related disorders through improving bat thermogenesis. J. Funct. Foods 2016, 27, 429–438. [Google Scholar] [CrossRef]
- Li, P.; Li, L.; Wang, Y. Traditional uses, chemical compositions and pharmacological activities of dendrobium: A review. J. Ethnopharmacol. 2023, 310, 116382. [Google Scholar]
- Wang, Y.; Tian, L.; Wang, Y.; Zhao, T.; Khan, A.; Wang, Y.; Cao, J.; Cheng, G. Protective effect of Que Zui tea hot-water and aqueous ethanol extract against acetaminophen-induced liver injury in mice via inhibition of oxidative stress, inflammation, and apoptosis. Food. Funct. 2021, 12, 2468–2480. [Google Scholar] [CrossRef]
- Zhang, J.; Li, M.; Zhao, T.; Cao, J.; Liu, Y.; Wang, Y.; Wang, Y.; Cheng, G. E se tea alleviates acetaminophen-induced liver injury by activating the Nrf2 signaling pathway. Food. Funct. 2022, 13, 7240–7250. [Google Scholar] [CrossRef]
- He, C.; Gao, M.; Zhang, X.; Lei, P.; Yang, H.; Qing, Y.; Zhang, L. The protective effect of sulforaphane on Dextran sulfate sodium-induced colitis depends on gut microbial and Nrf2-related mechanism. Front. Nutr. 2022, 9, 893344. [Google Scholar] [CrossRef] [PubMed]
- Li, N.; Wen, L.; Wang, F.; Li, T.; Zheng, H.; Wang, T.; Qiao, M.; Huang, X.; Song, L.; Bukyei, E.; et al. Alleviating effects of pea peptide on oxidative stress injury induced by lead in PC12 cells via Keap1/Nrf2/TXNIP signaling pathway. Front. Nutr. 2022, 9, 964938. [Google Scholar] [CrossRef] [PubMed]
- Tsai, B.C.; Hsieh, D.J.; Lin, W.; Tamilselvi, S.; Day, C.H.; Ho, T.; Chang, R.; Viswanadha, V.P.; Kuo, C.; Huang, C. Functional potato bioactive peptide intensifies Nrf2-dependent antioxidant defense against renal damage in hypertensive rats. Food Res. Int. 2020, 129, 108862. [Google Scholar] [CrossRef] [PubMed]
- Liang, M.; Wang, Z.; Li, H.; Cai, L.; Pan, J.; He, H.; Wu, Q.; Tang, Y.; Ma, J.; Yang, L. L-arginine induces antioxidant response to prevent oxidative stress via stimulation of glutathione synthesis and activation of Nrf2 pathway. Food Chem. Toxicol. 2018, 115, 315–328. [Google Scholar] [CrossRef] [PubMed]
- Wu, S.; Liao, X.; Zhu, Z.; Huang, R.; Chen, M.; Huang, A.; Zhang, J.; Wu, Q.; Wang, J.; Ding, Y. Antioxidant and anti-inflammation effects of dietary phytochemicals: The Nrf2/NF-κB signalling pathway and upstream factors of Nrf2. Phytochemistry 2022, 204, 113429. [Google Scholar]
- Zhao, J.; Yu, L.; Zhai, Q.; Tian, F.; Zhang, H.; Chen, W. Effects of probiotic administration on hepatic antioxidative parameters depending on oxidative stress models: A meta-analysis of animal experiments. J. Funct. Foods. 2020, 71, 103936. [Google Scholar] [CrossRef]
- Lu, S.C. Glutathione synthesis. BBA—Gene Subj. 2013, 1830, 3143–3153. [Google Scholar] [CrossRef]
- Wang, L.; Ahn, Y.J.; Asmis, R. Sexual dimorphism in glutathione metabolism and glutathione-dependent responses. Redox. Biol. 2020, 31, 101410. [Google Scholar] [CrossRef]
- Wang, Z.; Cai, L.; Li, H.; Liang, M.; Zhang, Y.; Qiong, W.; Yang, L. Rice protein stimulates endogenous antioxidant response attributed to methionine availability in growing rats. J. Food Biochem. 2020, 44, e13180. [Google Scholar] [CrossRef]
- Zhou, Q.; Zhang, N.; Hu, T.; Xu, H.; Duan, X.; Liu, B.; Chen, F.; Wang, M. Dietary phenolic-type Nrf2-activators: Implications in the control of toxin-induced hepatic disorders. Food Funct. 2022, 13, 5480–5497. [Google Scholar]
- McCord, J.M.; Gao, B.; Hybertson, B.M. The complex genetic and epigenetic regulation of the Nrf2 pathways: A review. Antioxidants 2023, 12, 366. [Google Scholar] [CrossRef] [PubMed]
- Li, H.; Cai, L.; Liang, M.; Wang, Z.; Zhang, Y.; Wu, Q.; Yang, L. Methionine augments endogenous antioxidant capacity of rice protein through stimulating MSR antioxidant system and activating Nrf2-are pathway in growing and adult rats. Eur. Food Res. Technol. 2020, 246, 1051–1063. [Google Scholar] [CrossRef]
- Zhou, Y.; Wu, Q.; Yu, W.; Ye, F.; Cao, Y.; Akan, O.D.; Wu, X.; Xie, T.; Lu, H.; Cao, F.; et al. Gastrodin ameliorates exercise-induced fatigue via modulating Nrf2 pathway and inhibiting inflammation in mice. Food Biosci. 2023, 51, 102262. [Google Scholar] [CrossRef]
- Hu, J.; Wang, H.; Pan, C.; Lin, M. Isovitexin alleviates liver injury induced by lipopolysaccharide/d-galactosamine by activating Nrf2 and inhibiting NF-κB activation. Microb. Pathog. 2018, 119, 86–92. [Google Scholar] [CrossRef] [PubMed]
- Abduh, M.S.; Alruhaimi, R.S.; Alqhtani, H.A.; Hussein, O.E.; Abukhalil, M.H.; Kamel, E.M.; Mahmoud, A.M. Rosmarinic acid mitigates chlorpyrifos-induced oxidative stress, inflammation, and kidney injury in rats by modulating sirt1 and Nrf2/HO-1 signaling. Life Sci. 2023, 313, 121281. [Google Scholar] [CrossRef] [PubMed]








| Compounds | RT (s) | [M-H]− (m/z) | Molecular Formula | DH Extracts | |||||||||||
|---|---|---|---|---|---|---|---|---|---|---|---|---|---|---|---|
| CF | DF | EF | BF | WF | 0% | 20% | 40% | 60% | 80% | 100% | |||||
| 1 | p-Anisic acid | 2.288025 | 151.0404394 | C8H8O3 | 0.0916 | 0.2001 | 0.0771 | 3.4933 | —— | —— | 0.2794 | 0.1426 | 0.1416 | 0.0326 | 0.0329 |
| 2 | Phloretic acid | 17.24835 | 165.0560322 | C9H10O3 | 0.0350 | 0.0271 | 0.0397 | 0.0007 | 0.1344 | 0.0591 | 0.2124 | 0.1057 | 0.0288 | 0.0125 | 0.0084 |
| 3 | D-Glucuronolactone | 38.043 | 221.0302291 | C6H8O6 | 0.0891 | 0.0031 | 0.2907 | 3.4858 | 0.1515 | 0.0732 | —— | 0.1314 | 0.0039 | 0.0253 | 0.0029 |
| 4 | Rhein | 42.3867 | 283.0286209 | C15H8O6 | 0.0228 | —— | 0.2543 | 7.9278 | 0.0104 | 0.2289 | —— | 0.1162 | 0.0372 | —— | —— |
| 5 | 1,2,3-Trihydroxybenzene | 46.63125 | 171.0288259 | C6H6O3 | 0.0738 | 0.7312 | 0.0860 | 6.2935 | 0.0040 | —— | 0.0093 | 0.3319 | 0.0965 | 0.1797 | —— |
| 6 | 4-Nitrophenol | 49.12335 | 138.0197092 | C6H5NO3 | 0.5999 | 0.3267 | 0.4740 | 16.8797 | —— | —— | 0.4759 | 0.4276 | 0.4833 | 0.3024 | 0.2754 |
| 7 | Daidzin | 49.8962 | 415.1091951 | C21H20O9 | 0.0753 | 0.0646 | 0.0626 | 13.7131 | —— | 0.0961 | 0.4082 | 0.0707 | 0.0262 | 0.0431 | 0.0079 |
| 8 | Nepodin | 69.69 | 215.0738272 | C13H12O3 | 0.2885 | 0.0421 | 0.7701 | 18.2224 | 0.2139 | 0.2776 | 0.2865 | 0.2557 | 0.0230 | 0.0535 | 0.0206 |
| 9 | Thymidine | 75.919 | 241.0875386 | C10H14N2O5 | 0.1239 | 0.5287 | —— | 7.0666 | 0.0320 | 0.0376 | 0.0463 | 0.3986 | 0.0701 | 0.0514 | 0.0189 |
| 10 | Coniferaldehyde | 79.23495 | 177.0557204 | C10H10O3 | 0.2182 | 0.6817 | 0.1459 | 0.0007 | 0.0000 | 0.1593 | 1.1408 | 0.6181 | 0.0640 | 1.6804 | 0.4695 |
| 11 | Nicotinamide N-oxide | 87.9813 | 137.0357308 | C6H6N2O2 | 2.8887 | 2.3539 | 0.3391 | 2.8195 | 0.2324 | 0.4231 | 0.4566 | 0.8607 | 0.7632 | 0.2891 | —— |
| 12 | Isobutyrylglycine | 91.5977 | 144.0668483 | C6H11NO3 | 0.2093 | 0.0284 | 0.8858 | 0.0007 | 0.0031 | 0.0176 | —— | —— | 0.2785 | 0.1729 | 0.0230 |
| 13 | β-Hydroxypyruvic acid | 94.436 | 103.0037513 | C₃H₄O₄ | —— | 0.1528 | 0.0628 | 0.0007 | —— | —— | 0.0217 | 0.0687 | 0.0672 | 0.1523 | 0.0266 |
| 14 | Vanillin | 98.6035 | 151.0404444 | C8H8O3 | 1.4805 | 2.5335 | —— | 0.0007 | 0.6991 | 0.8441 | 2.3695 | 0.5707 | 0.1337 | 0.8053 | 0.1778 |
| 15 | Gentisaldehyde | 114.6265 | 137.0246661 | C7H6O3 | 0.2238 | 0.2754 | 0.3780 | 4.9913 | 0.1568 | 0.2609 | 0.3035 | 0.3042 | —— | 0.3003 | 0.2612 |
| 16 | 2,3-Dihydroxybenzoic acid | 132.969 | 153.0196768 | C7H6O4 | 0.0391 | 0.0528 | 0.0362 | 4.8839 | 0.0180 | —— | 0.0456 | 0.0029 | 0.0004 | 0.1296 | 0.0029 |
| 17 | 6-Hydroxynicotinic acid | 147.72 | 138.0198821 | C6H5NO3 | 0.2631 | 0.1204 | 0.1961 | 0.0007 | 0.1459 | 0.1205 | 0.1785 | 0.0184 | 0.1979 | 0.0667 | 0.0816 |
| 18 | Gentisic acid | 160.302 | 153.0196684 | C7H6O4 | 0.2443 | 0.1166 | 0.1670 | 0.0007 | —— | 0.1037 | 0.1672 | 0.0475 | 0.0360 | 0.0525 | 0.0737 |
| 19 | Adenine | 168.86 | 134.0472648 | C5H5N5 | 0.0834 | —— | 0.0037 | 1.3238 | 0.0235 | 0.0139 | 0.0162 | 0.0204 | 0.0262 | 0.0438 | 0.1442 |
| 20 | 2-Isopropylmalic acid | 171.5385 | 175.0614802 | C7H12O5 | 0.0269 | —— | 0.1579 | 0.1507 | 0.0188 | 0.0152 | 0.0231 | 0.0225 | 0.0226 | 0.1158 | —— |
| 21 | Deoxyguanosine | 181.783 | 266.0895776 | C10H13N5O4 | 0.3232 | 0.0936 | 0.2640 | 8.7179 | 0.2685 | —— | 0.4353 | 0.0949 | 0.1397 | 0.1742 | 0.1062 |
| 22 | Guanosine | 188.495 | 282.0850112 | C10H13N5O5 | 0.9932 | 0.0669 | 1.5511 | 5.8745 | 0.3280 | —— | 0.0709 | 0.0646 | 0.1094 | 0.0712 | 0.0696 |
| 23 | Quinic acid | 189.151 | 191.0564597 | C7H12O6 | 4.9520 | 0.4802 | 0.4181 | 52.3224 | 5.6111 | 6.6556 | —— | —— | —— | 0.1459 | 0.7790 |
| 24 | Vanillic acid | 189.359 | 167.0353101 | C8H8O4 | 0.2242 | 0.1470 | 0.1225 | 6.6700 | 0.0798 | 0.1173 | 0.2849 | 0.1038 | 0.0382 | 0.0666 | 0.1925 |
| 25 | 4-Hydroxy-3-methylbenzoic acid | 190.0785 | 151.0404309 | C8H8O3 | 0.0144 | 0.0099 | 0.0249 | 0.2518 | 0.0142 | 0.0169 | 0.0638 | 0.0203 | 0.0362 | 0.0428 | 0.0044 |
| 26 | Gastrodin | 196.616 | 345.118909 | C13H18O7 | 0.1607 | 0.1935 | 0.1864 | 0.0007 | 0.0549 | —— | 0.2060 | 0.0791 | 0.0482 | 0.0882 | 0.1636 |
| 27 | Methylmalonic acid | 204.8075 | 117.0195125 | C4H6O4 | 5.7798 | 0.8711 | —— | 14.3993 | 0.0786 | —— | 3.1999 | 15.0147 | 8.7629 | 0.7702 | 0.1527 |
| 28 | Xanthurenic acid | 208.4115 | 204.0302746 | C10H7NO4 | 0.6953 | 0.0734 | 0.1787 | 17.1292 | 0.0000 | 0.1620 | 0.1069 | 0.0682 | 0.1043 | 0.0114 | 0.0769 |
| 29 | 3,5-Dihydroxybenzoic acid | 216.7765 | 153.0196894 | C7H6O4 | —— | 0.1626 | 1.9679 | 39.9793 | 2.6082 | —— | 2.0348 | 1.6361 | 0.8824 | 0.9116 | 0.2098 |
| 30 | 4-Hydroxycinnamic acid | 219.943 | 163.0403603 | C9H8O3 | 0.0636 | 0.0129 | 0.1153 | 0.0007 | —— | 0.0373 | 0.0934 | 0.0356 | 0.0336 | 0.0412 | 0.0238 |
| 31 | trans-ferulic acid | 224.396 | 193.0506035 | C10H10O4 | 0.3113 | 0.0612 | —— | 0.7106 | 0.0017 | 0.0000 | 0.0585 | 0.1160 | 0.9230 | 0.5970 | 0.0647 |
| 32 | L-Tryptophan | 225.028 | 203.0828503 | C11H12N2O2 | 0.0708 | 0.0547 | 0.0509 | 0.5656 | —— | 0.0139 | 0.0729 | —— | 0.0525 | 0.0227 | 0.0044 |
| 33 | 3,4-Dihydroxyhydrocinnamic acid | 225.145 | 181.0508496 | C9H10O4 | 0.0060 | —— | —— | 0.0007 | 0.0172 | —— | 0.0115 | 0.0168 | —— | 0.0551 | 0.0118 |
| 34 | Suberic acid | 240.8435 | 173.0822936 | C8H14O4 | 0.0088 | 0.0907 | 0.1320 | 0.0007 | 0.0000 | 0.0593 | 0.0103 | —— | 0.0261 | 0.1225 | 0.0821 |
| 35 | Picolinic acid | 242.2815 | 122.0247855 | C6H5NO2 | 0.1511 | 0.3593 | 0.2585 | 1.0082 | 0.0000 | 0.1341 | 0.1935 | 0.1655 | 0.2526 | 0.2742 | 0.1714 |
| 36 | N-Acetyl-L-phenylalanine | 248.142 | 206.0822059 | C11H13NO3 | 0.0572 | 0.1233 | 0.1603 | 6.3544 | 0.0000 | 0.0494 | 0.1125 | 0.0668 | 0.1455 | —— | 0.1045 |
| 37 | Isovitexin | 261.957 | 431.1011504 | C21H20O10 | 2.9303 | 2.8189 | 3.2317 | 42.3072 | 1.2943 | —— | 3.5981 | 1.3451 | 0.8434 | 1.7325 | 2.5823 |
| 38 | Rosmarinic acid | 265.2535 | 359.0776065 | C18H16O8 | 1.9446 | 1.1495 | 4.8024 | 5.1753 | 0.2191 | 0.8922 | 1.0642 | 0.8161 | 2.8470 | 1.5225 | 0.3295 |
| 39 | 3-Methoxytyrosine | 267.141 | 210.0772445 | C10H13NO4 | 1.9539 | 0.5663 | 1.8479 | 8.5020 | 0.1042 | 0.0850 | 0.3534 | 2.1029 | —— | 2.2729 | 0.8262 |
| 40 | p-Hydroxymandelic acid | 270.556 | 167.0353064 | C8H8O4 | 2.0663 | —— | 2.5993 | 8.8652 | 0.0370 | 0.1083 | 0.4502 | 0.1708 | 0.7354 | —— | 2.9926 |
| 41 | L-Tyrosine | 274.5095 | 180.0668782 | C9H11NO3 | —— | 0.0858 | 1.7178 | 13.3174 | 0.7696 | 0.8725 | —— | 1.9643 | 0.8848 | 0.7403 | 0.1039 |
| 42 | Sucrose | 274.651 | 341.1099464 | C12H22O11 | 0.1667 | 0.4042 | 0.2833 | 6.5297 | 0.1725 | 0.2127 | —— | 0.3963 | 0.0753 | 0.1684 | 0.2092 |
| 43 | L-Malic acid | 290.951 | 133.0143139 | C4H6O5 | 0.0370 | 0.0369 | —— | 0.0007 | 0.0861 | 0.0091 | 0.0907 | 0.1002 | 0.0021 | 0.0052 | 0.0015 |
| 44 | Succinic acid | 293.207 | 117.0194885 | C4H6O4 | 5.7112 | —— | 11.0985 | 5.3234 | 0.5606 | 0.3551 | 0.4933 | 0.6221 | 0.7346 | 4.8614 | —— |
| 45 | Azelaic acid | 304.671 | 187.0976293 | C9H16O4 | 0.0965 | 0.0485 | 0.0751 | 3.0576 | 0.0289 | 0.0349 | 0.0899 | 0.0438 | 0.0891 | 0.0445 | 0.0511 |
| 46 | 3-Hydroxycinnamic acid | 307.7435 | 163.0404304 | C18H14O5 | —— | 0.2008 | 0.0240 | 0.0007 | —— | 0.0880 | 0.0763 | 0.0491 | 0.0066 | 0.0890 | 0.1737 |
| 47 | Astringin | 310.984 | 405.1199949 | C20H22O9 | 0.4726 | 0.2142 | 0.9561 | 10.5820 | 0.0307 | 0.1411 | 0.2567 | —— | 0.3422 | 0.3105 | 0.0212 |
| Sample | TPC (mg/g) | TFC (mg/g) |
|---|---|---|
| DF | 79.27 ± 2.39 h | 17.91 ± 1.30 e |
| EF | 298.13 ± 1.59 a | 47.05 ± 1.73 a |
| BF | 38.20 ± 1.77 i | 14.51 ± 0.43 g |
| WF | 27.93 ± 0.60 j | 6.05 ± 1.04 h |
| 0% | 23.32 ± 2.39 k | 13.11 ± 1.87 g |
| 20% | 102.62 ± 0.40 g | 12.93 ± 0.94 g |
| 40% | 153.54 ± 2.78 d | 20.15 ± 0.61 d |
| 60% | 185.04 ± 1.59 c | 20.68 ± 0.35 d |
| 80% | 256.77 ± 2.16 b | 45.44 ± 1.54 b |
| 100% | 145.94 ± 0.01 e | 37.67 ± 1.54 c |
| CF | 112.32 ± 1.39 f | 15.88 ± 0.35 f |
| Free Radical | Fractions | Concentrations (μg/mL) | IC50 Values (μg/mL) | ||||
|---|---|---|---|---|---|---|---|
| 1000 | 500 | 250 | 125 | 62.5 | |||
| ABTS free radical | DF | 94.28 ± 1.26 | 83.01 ± 1.80 | 55.85 ± 0.96 | 39.61 ± 0.84 | 27.51 ± 0.29 | 158.87 ± 2.20 e |
| EF | 152.15 ± 1.42 | 98.57 ± 1.69 | 88.98 ± 1.69 | 61.43 ± 1.33 | 26.45 ± 1.95 | 109.45 ± 2.04 h | |
| BF | 59.58 ± 2.41 | 51.77 ± 1.67 | 35.69 ± 2.34 | 24.96 ± 1.61 | 18.10 ± 0.72 | 534.70 ± 2.73 b | |
| WF | 30.47 ± 2.61 | 21.81 ± 1.05 | 16.19 ± 0.86 | 12.98 ± 1.07 | 9.89 ± 1.22 | 1234.88 ± 3.09 a | |
| 0% | 84.21 ± 2.26 | 74.93 ± 1.68 | 50.93 ± 1.03 | 31.68 ± 1.28 | 22.13 ± 0.82 | 220.08 ± 2.34 c | |
| 20% | 84.74 ± 2.28 | 78.51 ± 1.19 | 50.45 ± 1.38 | 34.93 ± 2.28 | 22.40 ± 0.58 | 196.22 ± 2.29 d | |
| 40% | 92.08 ± 1.24 | 89.71 ± 2.93 | 68.92 ± 1.93 | 46.70 ± 2.08 | 33.33 ± 2.26 | 122.45 ± 2.09 g | |
| 60% | 97.55 ± 1.52 | 96.47 ± 1.86 | 79.47 ± 0.54 | 56.02 ± 2.47 | 37.79 ± 1.87 | 94.68 ± 1.98 i | |
| 80% | 99.67 ± 0.52 | 99.39 ± 1.50 | 94.88 ± 1.80 | 62.29 ± 0.67 | 42.94 ± 2.03 | 60.49 ± 1.78 k | |
| 100% | 100.17 ± 2.33 | 99.50 ± 0.53 | 84.38 ± 1.90 | 56.17 ± 0.60 | 35.77 ± 1.35 | 88.33 ± 1.92 j | |
| CF | 74.72 ± 0.33 | 72.76 ± 2.35 | 70.34 ± 1.11 | 44.30 ± 1.18 | 29.13 ± 2.05 | 152.45 ± 2.18 f | |
| Vc | — | — | — | 99.77 ± 0.29 | 85.05 ± 1.38 | 21.21 ± 1.33 l | |
| DPPH free radical | DF | 88.22 ± 1.81 | 70.18 ± 0.60 | 52.44 ± 1.99 | 33.65 ± 1.98 | 25.00 ± 1.17 | 208.35 ± 2.32 g |
| EF | 95.55 ± 0.39 | 93.98 ± 0.56 | 82.64 ± 2.70 | 55.14 ± 1.84 | 42.48 ± 1.89 | 87.21 ± 1.94 i | |
| BF | 54.43 ± 1.39 | 43.16 ± 1.73 | 33.26 ± 0.92 | 26.25 ± 1.26 | 18.32 ± 0.99 | 678.18 ± 2.83 d | |
| WF | 22.11 ± 0.42 | 16.32 ± 1.39 | 11.77 ± 1.89 | 9.33 ± 0.98 | 7.61 ± 1.20 | 3681.58 ± 3.57 a | |
| 0% | 48.66 ± 1.13 | 34.30 ± 0.14 | 23.02 ± 0.05 | 16.63 ± 0.14 | 13.37 ± 0.28 | 885.66 ± 2.95 b | |
| 20% | 54.29 ± 1.55 | 45.58 ± 2.92 | 32.34 ± 0.56 | 21.09 ± 2.15 | 14.84 ± 1.01 | 721.35 ± 2.86 c | |
| 40% | 75.57 ± 2.04 | 54.75 ± 1.60 | 40.28 ± 1.23 | 27.77 ± 1.28 | 19.65 ± 0.71 | 350.94 ± 2.55 f | |
| 60% | 87.30 ± 2.15 | 72.23 ± 1.42 | 52.59 ± 1.31 | 35.10 ± 0.49 | 24.1 ± 1.67 | 204.95 ± 2.31 g | |
| 80% | 93.17 ± 0.36 | 89.16 ± 0.72 | 78.25 ± 0.31 | 57.63 ± 1.12 | 37.68 ± 2.01 | 93.67 ± 1.97 h | |
| 100% | 93.24 ± 0.31 | 89.36 ± 0.20 | 79.99 ± 0.81 | 63.25 ± 1.09 | 42.44 ± 1.28 | 78.43 ± 1.89 j | |
| CF | 69.00 ± 2.36 | 56.55 ± 1.01 | 36.90 ± 1.09 | 23.15 ± 1.05 | 15.82 ± 1.83 | 414.33 ± 2.62 e | |
| Vc | — | — | — | 98.36 ± 1.59 | 92.03 ± 1.26 | 17.54 ± 1.24 k | |
Disclaimer/Publisher’s Note: The statements, opinions and data contained in all publications are solely those of the individual author(s) and contributor(s) and not of MDPI and/or the editor(s). MDPI and/or the editor(s) disclaim responsibility for any injury to people or property resulting from any ideas, methods, instructions or products referred to in the content. |
© 2023 by the authors. Licensee MDPI, Basel, Switzerland. This article is an open access article distributed under the terms and conditions of the Creative Commons Attribution (CC BY) license (https://creativecommons.org/licenses/by/4.0/).
Share and Cite
Zhao, T.; Zheng, F.; Liu, Y.; Khan, A.; Wang, Z.; Cheng, G. A Comparative Analysis of Chemical Constituents and Antioxidant Effects of Dendrobium fimbriatum Hook Fractions with Different Polarities. Int. J. Mol. Sci. 2023, 24, 12646. https://doi.org/10.3390/ijms241612646
Zhao T, Zheng F, Liu Y, Khan A, Wang Z, Cheng G. A Comparative Analysis of Chemical Constituents and Antioxidant Effects of Dendrobium fimbriatum Hook Fractions with Different Polarities. International Journal of Molecular Sciences. 2023; 24(16):12646. https://doi.org/10.3390/ijms241612646
Chicago/Turabian StyleZhao, Tianrui, Fangyuan Zheng, Yaping Liu, Afsar Khan, Zhengxuan Wang, and Guiguang Cheng. 2023. "A Comparative Analysis of Chemical Constituents and Antioxidant Effects of Dendrobium fimbriatum Hook Fractions with Different Polarities" International Journal of Molecular Sciences 24, no. 16: 12646. https://doi.org/10.3390/ijms241612646
APA StyleZhao, T., Zheng, F., Liu, Y., Khan, A., Wang, Z., & Cheng, G. (2023). A Comparative Analysis of Chemical Constituents and Antioxidant Effects of Dendrobium fimbriatum Hook Fractions with Different Polarities. International Journal of Molecular Sciences, 24(16), 12646. https://doi.org/10.3390/ijms241612646

