Synthesis of Novel Phosphorus-Containing Derivatives of 1,3,4-Trimethylglycoluril via the Birum–Oleksyszyn Reaction
Abstract
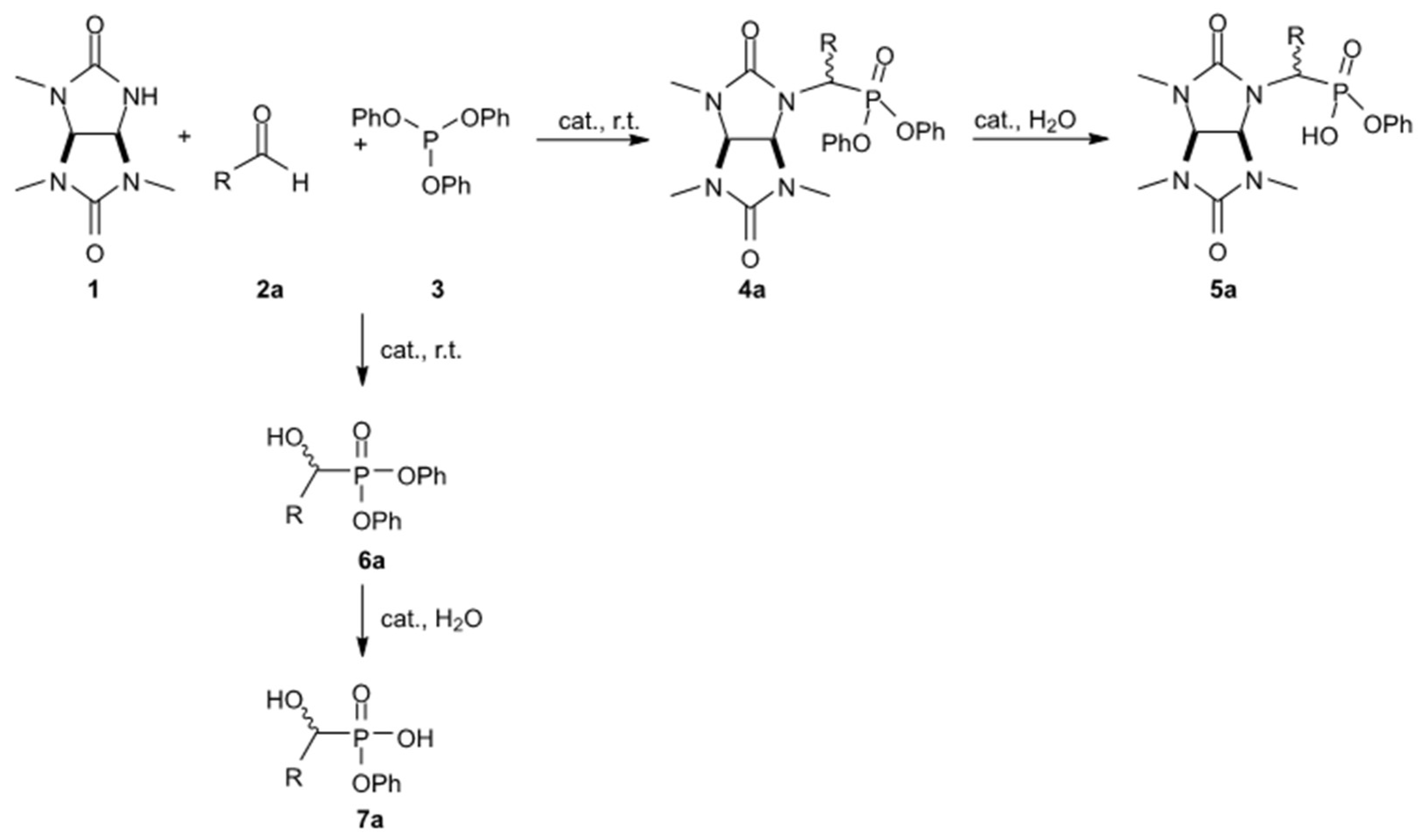
:1. Introduction
2. Results and Discussion
2.1. The Effect of Synthesis Conditions on the Yield of Phosphonate Derivatives of 1,3,4-Trimethylglycoluriles
2.2. Separation and Identification of Diastereomers of Phosphonate Derivatives of 1,3,4-Trimethylglycoluriles 4a′ and 4a″
2.2.1. X-ray Crystal Structure Analysis of the Diastereomers 4a′ and 4a″
2.2.2. Stereoisomerization of Nitro- and Hydroxyphosphonate Derivatives of 1,3,4-Trimethylglycoluriles 4b–f
2.2.3. The Diastereomers of the Phosphonate Derivatives of 1,3,4-Trimethylglycolyrils (4a–f): General Regularities in the NMR Spectra
3. Materials and Methods
3.1. General Procedure for the Synthesis of Compounds 4a–4f
3.2. NMR Spectroscopy
3.3. X-ray Crystallography
3.4. HPLC Analysis
3.5. Preparative HPLC
3.6. HRMS
3.7. Computational Details
4. Conclusions
Supplementary Materials
Author Contributions
Funding
Institutional Review Board Statement
Informed Consent Statement
Data Availability Statement
Acknowledgments
Conflicts of Interest
References
- Ryzhkina, I.S.; Kiseleva, Y.V.; Mishina, O.A.; Timosheva, A.P.; Sergeeva, S.Y.; Kravchenko, A.N.; Konovalov, A.I. Correlations between the self-organization, physicochemical properties and biological activity of Mebicar in dilute aqueous solutions. Mendeleev Commun. 2013, 23, 262–264. [Google Scholar] [CrossRef]
- Kravchenko, A.N.; Baranov, V.V.; Anikina, L.V.; Vikharev, Y.B.; Bushmarinov, I.S.; Nelyubina, Y.V. Neuroprotective Activity of (+)-(S)-2-[(1S,5R)-(3,7-Dioxo-2,4,6,8-Tetraazabicyclo[3.3.0]oct-2-yl)]-4-methylthiobutanoic acid. Russ. J. Bioorg. Chem. 2012, 38, 550–557. [Google Scholar] [CrossRef] [PubMed]
- Steinhauer, K.; Beilfus, W.; Krull, I.; Gradtke, R. Verwendung von Formaldehyd und Formaldehyd Freisetzenden Verbindungen in einer Zusammensetzung zur Bekämpfung von Mykobakterien. DE Patent 102004059041, 8 June 2006. [Google Scholar]
- Mcbride, R.; Elsmore, R.; Houghton, M.P. Bactericide Combinations in Detergents. GB Patent 2354771, 4 April 2001. [Google Scholar]
- Lizal, T.; Sindelar, V. Bambusuril Anion Receptors. Isr. J. Chem. 2018, 58, 326–333. [Google Scholar] [CrossRef]
- Lafosse, M.; Liang, Y.; Schneider, J.P.; Cartier, E.; Bodlenner, A.; Compain, P.; Heck, M.-P. Bambus[4,6]urils as Dual Scaffolds for Multivalent Iminosugar Presentation and Ion Transport: Access to Unprecedented Glycosidase-Directed Anion Caging Agents. Molecules 2022, 27, 4772. [Google Scholar] [CrossRef] [PubMed]
- Cong, H.; Ni, X.L.; Xiao, X.; Huang, Y.; Zhu, Q.-J.; Xue, S.-F.; Tao, Z.; Leonard, F. Lindoy and Gang Wei. Synthesis and separation of cucurbit[n]urils and their derivatives. Org. Biomol. Chem. 2016, 14, 4335–4364. [Google Scholar] [CrossRef] [PubMed]
- Tang, B.; Zhao, J.; Xu, J.-F.; Zhang, X. Cucurbit[n]urils for Supramolecular Catalysis. Chem. Eur. J. 2020, 26, 15446. [Google Scholar] [CrossRef] [PubMed]
- Urbaniak, M.; Gosecki, M.; Gostynskia, B.; Gosecka, M. Synthesis of a monofunctional glycoluril molecular clip via cyclic imide formation on the convex site. New J. Chem. 2020, 44, 596–604. [Google Scholar] [CrossRef]
- Sokolov, J.; Šindelář, V. Synthesis of Glycoluril Dimers with the Ability to Form Polymeric Self-Associates in Water. Chemistry 2022, 4, 53. [Google Scholar] [CrossRef]
- Amita, N.; Sushma, J.; Singh, B.; Mane, M.V.; Kumbhar, A.S. Heteroleptic Copper(I) complexes of bipyridine glycoluril and phosphine ligands: Photophysical and computational studies. Inorganica Chim. Acta 2022, 538, 120934. [Google Scholar] [CrossRef]
- Berdimurodov, E.; Kholikov, A.; Akbarov, K.; Guo, L.; Kaya, S.; Verma, D.K.; Rbaa, M.; Dagdag, O. Novel glycoluril pharmaceutically active compound as a green corrosion inhibitor for the oil and gas industry. J. Electroanal. Chem. 2022, 907, 116055. [Google Scholar] [CrossRef]
- Baranov, V.V.; Vol’khina, T.N.; Kolotyrkina, N.G.; Kravchenko, A.N. Synthesis and crystal structures of novel glycoluril carboxylic acids conglomerates. Mendeleev Commun. 2022, 32, 537–539. [Google Scholar] [CrossRef]
- Kalichkina, L.E.; Fateev, A.V.; Krivolapenko, P.K.; Isakova, K.A.; Knyazev, A.S.; Malkov, V.S.; Bakibaev, A.A.; Tuguldurova, V.P. The Study of Structural Features of N- and O-Derivatives of 4,5-Dihydroxyimidazolidine-2-Thione by NMR Spectroscopy and Quantum Chemical Calculations. Magnetochemistry 2023, 9, 15. [Google Scholar] [CrossRef]
- Sinitsyna, A.A.; Il’yasov, S.G.; Chikina, M.V.; Eltsov, I.V.; Nefedov, A.A. A search for synthetic routes to tetrabenzylglycoluril. Chem. Pap. 2020, 74, 1019–1025. [Google Scholar] [CrossRef]
- Moradi, S.; Zolfigol, M.A.; Zarei, M.; Alonso, D.A.A. Khoshnood Synthesis of a Biological-Based Glycoluril with Phosphorous Acid Tags as a New Nanostructured Catalyst: Application for the Synthesis of Novel Natural Henna-Based Compounds. Chem. Sel. 2018, 3, 3042. [Google Scholar] [CrossRef]
- Danishyar, B.; Sepehrmansourit, H.; Zarei, M.; Zolfigol, M.A.; As’Habi, M.A.; Gu, Y. Synthesis and Application of Novel Magnetic Glycoluril Tetrakis(Methylene Phosphorous Acid) as a Nano Biological Catalyst for the Preparation of Nicotinonitriles via a Cooperative Vinylogous Anomeric-Based Oxidation. Polycycl. Aromat. Compd. 2022, 43, 6837–6857. [Google Scholar] [CrossRef]
- Sal’keeva, L.K.; Bakibaev, A.A.; Khasenova, G.T.; Taishibekova, Y.K.; Sugralina, L.M.; Minaeva, Y.V.; Sal’keeva, A.K. Effect of glycoluril and its derivatives on the flame resistance and physico-mechanical properties of rubber. Russ. J. Appl. Chem. 2016, 89, 132–139. [Google Scholar] [CrossRef]
- Heilmann, M.; Tiefenbacher, K. A Modular Phosphorylated Glycoluril-Derived Molecular Tweezer for Potent Binding of Aliphatic Diamines. Chem. Eur. J. 2019, 25, 12900–12904. [Google Scholar] [CrossRef]
- Gorbin, S.I.; Bakibaev, A.A.; Kurgachev, D.A.; Malkov, V.S.; Novolokov KYu Sysoev, G.O. Synthesis of 1-[1-(diphenoxyphosphoryl)alkyl]-3,4,6-trimethylglycolurils. Mendeleev Commun. 2023, 33, 638–639. [Google Scholar] [CrossRef]
- Oleksyszyn, J.; Subotkowska, L.; Mastalerz, P. Diphenyl 1-Aminoalkanephosphonates. Synthesis 1979, 12, 985–986. [Google Scholar] [CrossRef]
- Van der Veken, P.; El Sayed, I.; Joossens, J.; Stevens, C.V.; Augustyns, K. Achiel Haemers Lewis Acid Catalyzed Synthesis of N-Protected Diphenyl 1-Aminoalkylphosphonates. Synthesis 2005, 4, 634–638. [Google Scholar] [CrossRef]
- Birum, G.H. Urylenediphosphonates. General method for the synthesis of α-ureidophosphonates and related structures. J. Org. Chem. 1974, 39, 209–213. [Google Scholar] [CrossRef]
- Kravchenko, A.N.; Sigachev, A.S.; Maksareva, E.Y.; Gazieva, G.A.; Trunova, N.S.; Lozhkin, B.V.; Pivina, T.S.; Il’in, M.M.; Lyssenko, K.A.; Nelyubina, Y.V.; et al. Synthesis of new chiral mono-, di-, tri-, and tetraalkylglycolurils. Russ. Chem. Bull. 2005, 54, 691–704. [Google Scholar] [CrossRef]
- Sheldrick, G.M. SHELXT–Integrated space-group and crystal-structure determination. Acta Cryst. 2015, A71, 3–8. [Google Scholar] [CrossRef] [PubMed]
- Sheldrick, G.M. Crystal structure refinement with SHELXL. Acta Cryst. 2015, C71, 3–8. [Google Scholar] [CrossRef]
- Dolomanov, O.V.; Bourhis, L.J.; Gildea, R.J.; Howard, J.A.K.; Puschmann, H.J. OLEX2: A complete structure solution, refinement and analysis program. Appl. Cryst. 2009, 42, 339–341. [Google Scholar] [CrossRef]
- Frisch, M.J.; Trucks, G.W.; Schlegel, H.B.; Scuseria, G.E.; Robb, M.A.; Cheeseman, J.R.; Scalmani, G.; Barone, V.; Mennucci, B.; Petersson, G.A.; et al. Gaussian 09, Revision C.01.01; Gaussian Inc.: Wallingford, CT, USA, 2010. [Google Scholar]
- Zhao, Y.; Truhlar, D.G. The M06 suite of density functionals for main group thermochemistry, thermochemical kinetics, noncovalent interactions, excited states, and transition elements: Two new functionals and systematic testing of four M06-class functionals and 12 other functional. Theor. Chem. Acc. 2008, 120, 215–241. [Google Scholar]
- Funes-Ardoiz, I.; Paton, R. GoodVibes Version 3.2. Available online: https://github.com/bobbypaton/GoodVibes (accessed on 12 August 2022).






| No. | Catalyst | pKa | Reaction Time, min | Yield, % (Analytical) |
|---|---|---|---|---|
| 1 | CH3COOH | 4.75 | 360 | 5 |
| 2 | 580 | 10 | ||
| 3 | CF3COOH | 0.23 | 580 | 58 |
| 4 | CH3SO3H | −1.90 | 30 | 91 (82) 1 |
| 5 | CF3SO3H | −14.70 | 30 | 38 1 |
| 6 | 30 | 75 1,2 | ||
| 7 | BF3 Et2O | 180 | 25 | |
| 8 | TiCl4 | 30 | 24 | |
| 9 | AlCl3 | 30 | 15 | |
| 10 | CH3COOH | solvent | 60 | 23 3 |
| No. | Solvent | ε (Permittivity) | Time, min | Yield, % (Analytical) |
|---|---|---|---|---|
| 1 | 1,4-Dioxane | 2.21 | 180 | 55 |
| 2 | Benzene | 2.27 | 120 | 29 |
| 3 | Chloroform | 4.81 | 120 | 59 |
| 4 | Acetonitrile | 38.00 | 30 | 91 |
| 5 | Methanol | 32.63 | 60 | 8 |
| 6 | DMSO | 45.00 | 180 | 0 |
| Structure | δ 1H of CHPO3 Proton, ppm | δ 1H of 6a Proton, ppm | δ 1H of 3a Proton, ppm | δ 13C of CHPO3, ppm | δ 13C of 6a, ppm | δ 13C of 3a, ppm | δ 31P, ppm |
|---|---|---|---|---|---|---|---|
| 4a′ (RSR/SRS) calc | 5.33 | 5.26 | 5.25 | 56.34 | 70.64 | 70.27 | 10.28 |
| 4a′ (RSR/SRS) exp | 5.77 | 5.28 | 5.24 | 57.37 | 72.40 | 72.14 | 14.06 |
| 4a″ (SRR/RSS) calc | 6.57 | 5.2 | 2.74 | 48.77 | 67.85 | 68.08 | 8.00 |
| 4a″ (SRR/RSS) exp | 5.85 | 5.5 | 5.0 | 53.84 | 70.38 | 72.32 | 13.35 |
| 4b′ (RSR/SRS) calc | 5.49 | 5.28 | 5.35 | 56.02 | 70.22 | 70.01 | 6.79 |
| 4b′ (RSR/SRS) exp | 5.97 | 5.37 | 5.26 | 57.44 | 72.69 | 72.41 | 12.77 |
| 4b″ (SRR/RSS) calc | 6.57 | 5.24 | 3.11 | 48.35 | 67.13 | 68.45 | 3.88 |
| 4b″ (SRR/RSS) exp | 5.97 | 5.49 | 5.08 | 54.02 | 71.00 | 72.46 | 12.32 |
| 4c′ (RSR/SRS) calc | 5.28 | 5.27 | 5.24 | 56.22 | 70.54 | 70.18 | 10.22 |
| 4c′ (RSR/SRS) exp | 5.64 | 5.15 | 5.15 | 54.92 | 70.30 | 69.79 | 14.16 |
| 4c″ (SRR/RSS) calc | 6.48 | 5.22 | 2.81 | 48.54 | 67.76 | 68.14 | 7.02 |
| 4c″ (SRR/RSS) exp | 5.76 | 5.49 | 4.97 | 51.47 | 68.62 | 70.16 | 13.35 |
| 4d′ (RSR/SRS) calc | 5.43 | 5.27 | 5.29 | 55.55 | 70.20 | 70.07 | 8.36 |
| 4d′ (RSR/SRS) exp | 5.98 | 5.36 | 5.25 | 57.88 | 72.77 | 72.26 | 11.29 |
| 4d″ (SRR/RSS) calc | 6.53 | 5.16 | 3.12 | 48.59 | 67.34 | 68.19 | 3.96 |
| 4d″ (SRR/RSS) exp | 5.98 | 5.51 | 5.1 | 50.53 | 68.62 | 70.31 | 10.48 |
| 4e′ (RSR/SRS) calc | 5.22 | 5.22 | 5.23 | 55.67 | 70.53 | 70.15 | 10.25 |
| 4e′ (RSR/SRS) exp | 5.64 | 5.11 | 5.11 | 54.34 | 70.40 | 69.61 | 14.56 |
| 4e″ (SRR/RSS) calc | 6.48 | 5.17 | 2.72 | 48.17 | 67.82 | 68.05 | 8.48 |
| 4e″ (SRR/RSS) exp | 5.71 | 5.48 | 4.95 | 53.36 | 70.64 | 72.27 | 13.87 |
| 4f′ (RSR/SRS) calc | 6.66 | 5.44 | 5.37 | 49.55 | 69.62 | 70.10 | 5.99 |
| 4f′ (RSR/SRS) exp | - | - | - | - | - | - | - |
| 4f″ (SRR/RSS) calc | 6.69 | 4.85 | 3.62 | 47.34 | 66.85 | 70.46 | 6.31 |
| 4f″ (SRR/RSS) exp | 6.35 | 5.49 | 5.11 | 50.04 | 72.48 | 70.83 | 11.67 |
| Parameter | 4a′ | 4a″ |
|---|---|---|
| Empirical formula | C29H31.50N5.50O5P | C26H27N4O5P |
| Formula weight | 568.07 | 506.49 |
| Temperature, °K | 150 (2) | 150 (2) |
| Crystal system | Monoclinic | Monoclinic |
| Space group | C2/c | P21/c |
| a, Å | 23.3403 (5) | 19.9010 (12) |
| b, Å | 10.3182 (2) | 6.7267 (4) |
| c, Å | 24.6303 (5) | 18.6840 (13) |
| β, ° | 109.626 (1) | 101.842 (2) |
| Volume, Å3 | 5587.1 (2) | 2448.0 (3) |
| Z | 8 | 4 |
| ρcalc, g/cm3 | 1.351 | 1.374 |
| μ, mm−1 | 0.15 | 0.16 |
| F(000) | 2392 | 1064 |
| Crystal size, mm3 | 0.30 × 0.15 × 0.04 | 0.17 × 0.03 × 0.02 |
| 2Θ range for data collection, ° | 4.36–62.0 | 4.45–50.13 |
| Index ranges | −29 ≤ h ≤ 32 −14 ≤ k ≤ 14 −32 ≤ l ≤ 35 | −20 ≤ h ≤ 23 −7 ≤ k ≤ 8 −19 ≤ l ≤ 22 |
| Reflections collected | 44,831 | 15,374 |
| Independent reflections | 8204 | 4314 |
| Parameters | 372 | 328 |
| Goodness-of-fit on F2 | 1.039 | 0.971 |
| Final R indexes [I ≥ 2σ (I)] | R1 = 0.0417, wR2 = 0.1133 | R1 = 0.0417, wR2 = 0.1133 |
| Final R indexes [all data] | R1 = 0.0517, wR2 = 0.1208 | R1 = 0.0517, wR2 = 0.1208 |
| Largest diff. peak/hole, e·Å−3 | 0.42, −0.56 | 0.24, −0.37 |
Disclaimer/Publisher’s Note: The statements, opinions and data contained in all publications are solely those of the individual author(s) and contributor(s) and not of MDPI and/or the editor(s). MDPI and/or the editor(s) disclaim responsibility for any injury to people or property resulting from any ideas, methods, instructions or products referred to in the content. |
© 2023 by the authors. Licensee MDPI, Basel, Switzerland. This article is an open access article distributed under the terms and conditions of the Creative Commons Attribution (CC BY) license (https://creativecommons.org/licenses/by/4.0/).
Share and Cite
Gorbin, S.I.; Bakibaev, A.A.; Tuguldurova, V.P.; Kotov, A.V.; Sysoev, G.O.; Potapov, A.S.; Pavlov, D.I.; Malkov, V.S.; Knyazev, A.S.; Kurgachev, D.A.; et al. Synthesis of Novel Phosphorus-Containing Derivatives of 1,3,4-Trimethylglycoluril via the Birum–Oleksyszyn Reaction. Int. J. Mol. Sci. 2023, 24, 17082. https://doi.org/10.3390/ijms242317082
Gorbin SI, Bakibaev AA, Tuguldurova VP, Kotov AV, Sysoev GO, Potapov AS, Pavlov DI, Malkov VS, Knyazev AS, Kurgachev DA, et al. Synthesis of Novel Phosphorus-Containing Derivatives of 1,3,4-Trimethylglycoluril via the Birum–Oleksyszyn Reaction. International Journal of Molecular Sciences. 2023; 24(23):17082. https://doi.org/10.3390/ijms242317082
Chicago/Turabian StyleGorbin, Sergey I., Abdigali A. Bakibaev, Vera P. Tuguldurova, Andrey V. Kotov, Gleb O. Sysoev, Andrei S. Potapov, Dmitry I. Pavlov, Victor S. Malkov, Alexey S. Knyazev, Dmitriy A. Kurgachev, and et al. 2023. "Synthesis of Novel Phosphorus-Containing Derivatives of 1,3,4-Trimethylglycoluril via the Birum–Oleksyszyn Reaction" International Journal of Molecular Sciences 24, no. 23: 17082. https://doi.org/10.3390/ijms242317082
APA StyleGorbin, S. I., Bakibaev, A. A., Tuguldurova, V. P., Kotov, A. V., Sysoev, G. O., Potapov, A. S., Pavlov, D. I., Malkov, V. S., Knyazev, A. S., Kurgachev, D. A., & Michalchenkov, M. V. (2023). Synthesis of Novel Phosphorus-Containing Derivatives of 1,3,4-Trimethylglycoluril via the Birum–Oleksyszyn Reaction. International Journal of Molecular Sciences, 24(23), 17082. https://doi.org/10.3390/ijms242317082

