Male Stressed Mice Having Behavioral Control Exhibit Escalations in Dorsal Dentate Adult-Born Neurons and Spatial Memory
Abstract
1. Introduction
2. Results
2.1. ES Mice Had a Greater Number of Newly Proliferative Cells and Neuroblasts in Dorsal, but Not Ventral, DG
2.2. Operant Conditioning and Forced Running Did Not Evoke CORT Secretion or Affect Short-Term Cell Proliferation or Early Neurogenesis in Dorsal DG
2.3. ES Mice Had a Greater Number of BrdU-Labeled Mature and Functionally Integrated Neurons in the Dorsal DG at 6 Weeks after the 10-Day Stressor Regimen
2.4. The Repeated Stressor Regimen did Not Produce Long-Term Effects on Dorsal DG Mitosis, Neuronal Density, Apoptosis, Autophagic Flux, or Animals’ Heterotypic Stress Response
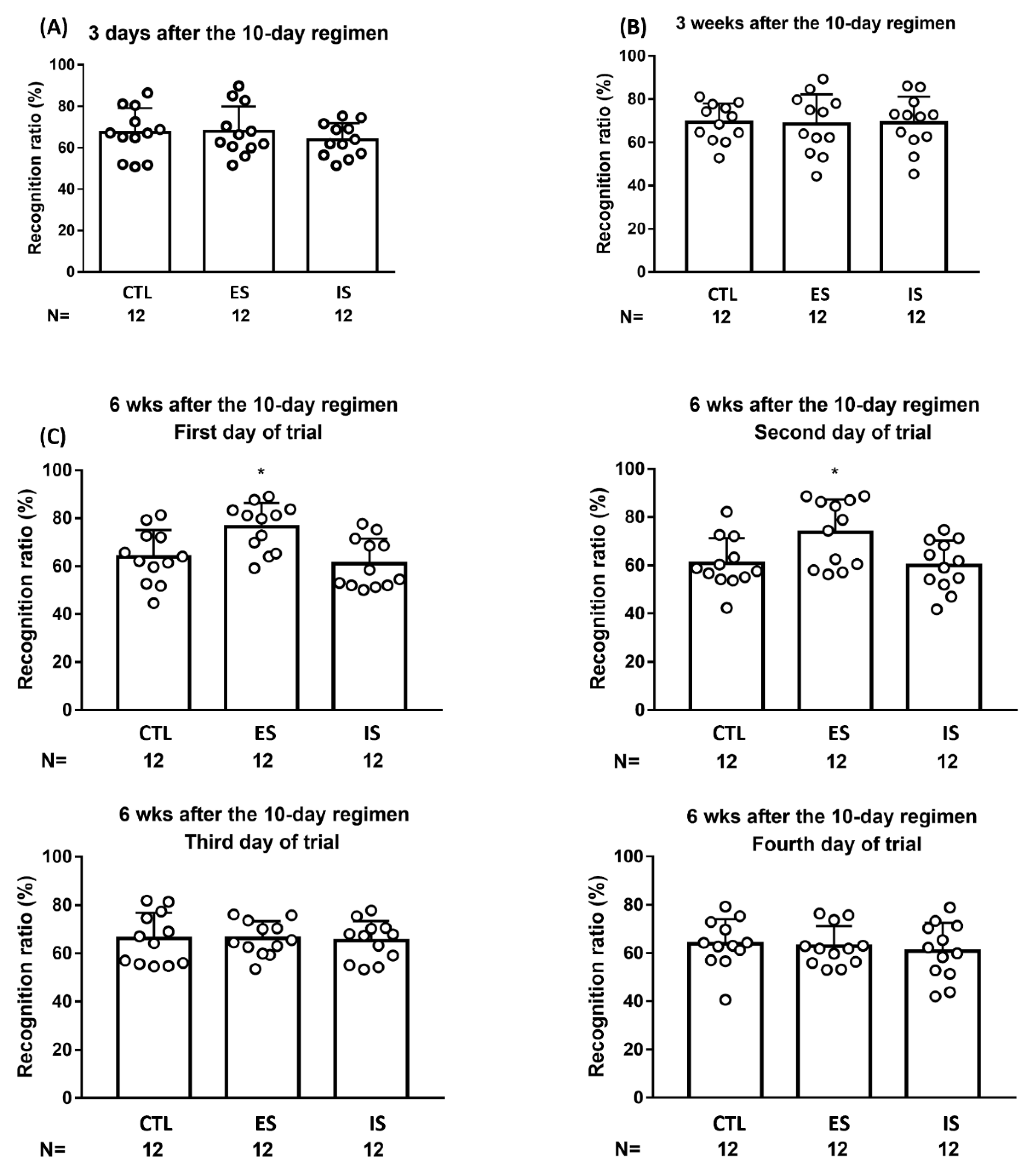
2.5. ES Mice Outperformed IS and Control Mice in the Object Location Task on the First and Second Day of the Trial Starting 6 Weeks after the Conclusion of the 10-Day Stressor Regimen
2.6. TMZ Treatment Deteriorated Mice’s Performance in Two Consecutive Days of Object Location Task 6 Weeks after the Conclusion of the 10-Day Stressor Regimen
3. Discussion
4. Materials and Methods
4.1. Animals
4.2. The 10-Day Footshock Stressor Regimen and Behavioral Control
4.3. Quantification of Short-Term Effects of Stress and Behavioral Control on DG Neurogenesis and their Long-Term Effects on the Local Micro-Environment
4.4. Kainic Acid-Induced Seizure and Triple Staining for Dorsal DG BrdU/NeuN/Arc-Expressing Neurons
4.5. Operant Conditioning and Running
4.6. Serum Corticosterone (CORT) Level
4.7. Object Location Task Versions and Temozolomide (TMZ) Treatment
4.8. Statistical Analysis
5. Conclusions
Supplementary Materials
Author Contributions
Funding
Institutional Review Board Statement
Informed Consent Statement
Data Availability Statement
Conflicts of Interest
References
- Brady, J.V.; Porter, R.W.; Conrad, D.G.; Mason, J.W. Avoidance behavior and the development of gastroduodenal ulcers. J. Exp. Anal. Behav. 1958, 1, 69–72. [Google Scholar] [CrossRef]
- Weiss, J.M. Effects of coping responses on stress. J. Comp. Physiol. Psychol. 1968, 65, 251–260. [Google Scholar] [CrossRef]
- Weiss, J.M. Effects of predictable and unpredictable shock on development of gastrointestinal lesions in rats. Proc. 76th Annu. Conv. APA 1968, 3, 281–282. [Google Scholar]
- Glavin, G.B.; Mikhail, A.A. Role of gastric acid in restraint-induced ulceration in the rat. Physiol. Behav. 1976, 17, 777–780. [Google Scholar] [CrossRef]
- Glavin, G.B. Restraint ulcer: History, current research and future implications. Brain Res. Bull. 1980, 5 (Suppl. S1), 51–58. [Google Scholar] [CrossRef]
- Holmer, H.K.; Rodman, J.E.; Helmreich, D.L.; Parfitt, D.B. Differential effects of chronic escapable versus inescapable stress on male syrian hamster (Mesocricetus auratus) reproductive behavior. Horm. Behav. 2003, 43, 381–387. [Google Scholar] [CrossRef]
- Ho, Y.C.; Wang, S. Adult neurogenesis is reduced in the dorsal hippocampus of rats displaying learned helplessness behavior. Neuroscience 2010, 171, 153–161. [Google Scholar] [CrossRef]
- Liao, Y.H.; Chan, Y.H.; Chen, H.; Yu, A.E.; Sun, L.H.; Yao, W.J.; Yu, L. Stress while lacking of control induces ventral hippocampal autophagic flux hyperactivity and a depression-like behavior. Biomed. J. 2022, 45, 896–906. [Google Scholar] [CrossRef]
- Sun, L.H.; Tzeng, W.Y.; Liao, Y.H.; Deng, W.T.; Cherng, C.G.; Yu, L. Relevance of number and physiological status of conspecifics in preventing stress-induced decreases in newly proliferated cells and neuroblasts. Psychopharmacology 2019, 236, 3329–3339. [Google Scholar] [CrossRef]
- Malberg, J.E.; Duman, R.S. Cell proliferation in adult hippocampus is decreased by inescapable stress: Reversal by fluoxetine treatment. Neuropsychopharmacology 2003, 28, 1562–1571. [Google Scholar] [CrossRef]
- Cherng, C.G.; Lin, P.S.; Chuang, J.Y.; Chang, W.T.; Lee, Y.S.; Kao, G.S.; Lai, Y.T.; Yu, L. Presence of conspecifics and their odor-impregnated objects reverse stress-decreased neurogenesis in mouse dentate gyrus. J. Neurochem. 2010, 112, 1138–1146. [Google Scholar] [CrossRef]
- Cherng, C.F.; Chang, C.P.; Su, C.C.; Tzeng, W.Y.; Chuang, J.Y.; Chen, L.H.; Lin, K.Y.; Yu, L. Odors from proximal species reverse the stress-decreased neurogenesis via main olfactory processing. Behav. Brain Res. 2012, 229, 106–112. [Google Scholar] [CrossRef]
- Schoenfeld, T.J.; Gould, E. Stress, stress hormones, and adult neurogenesis. Exp. Neurol. 2012, 233, 12–21. [Google Scholar] [CrossRef]
- Zhao, Z.; Zhang, L.; Guo, X.D.; Cao, L.L.; Xue, T.F.; Zhao, X.J.; Yang, D.D.; Yang, J.; Ji, J.; Huang, J.Y.; et al. Rosiglitazone Exerts an Anti-depressive Effect in Unpredictable Chronic Mild-Stress-Induced Depressive Mice by Maintaining Essential Neuron Autophagy and Inhibiting Excessive Astrocytic Apoptosis. Front. Mol. Neurosci. 2017, 10, 293. [Google Scholar] [CrossRef]
- Rusznák, K.; Csekő, K.; Varga, Z.; Csabai, D.; Bóna, Á.; Mayer, M.; Kozma, Z.; Helyes, Z.; Czéh, B. Long-Term Stress and Concomitant Marijuana Smoke Exposure Affect Physiology, Behavior and Adult Hippocampal Neurogenesis. Front. Pharmacol. 2018, 9, 786. [Google Scholar] [CrossRef]
- Shi, X.; Zhou, N.; Cheng, J.; Shi, X.; Huang, H.; Zhou, M.; Zhu, H. Chlorogenic acid protects PC12 cells against corticosterone-induced neurotoxicity related to inhibition of autophagy and apoptosis. BMC Pharm. Toxicol. 2019, 20, 56. [Google Scholar] [CrossRef]
- Huang, Y.L.; Zeng, N.X.; Chen, J.; Niu, J.; Luo, W.L.; Liu, P.; Yan, C.; Wu, L.L. Dynamic changes of behaviors, dentate gyrus neurogenesis and hippocampal miR-124 expression in rats with depression induced by chronic unpredictable mild stress. Neural Regen. Res. 2020, 15, 1150–1159. [Google Scholar]
- Jung, S.; Choe, S.; Woo, H.; Jeong, H.; An, H.K.; Moon, H.; Ryu, H.Y.; Yeo, B.K.; Lee, Y.W.; Choi, H.; et al. Autophagic death of neural stem cells mediates chronic stress-induced decline of adult hippocampal neurogenesis and cognitive deficits. Autophagy 2020, 16, 512–530. [Google Scholar] [CrossRef]
- Bueler, H. Mitochondrial and Autophagic Regulation of Adult Neurogenesis in the Healthy and Diseased Brain. Int. J. Mol. Sci. 2021, 22, 3342. [Google Scholar] [CrossRef]
- Friedman, J.R.; Nunnari, J. Mitochondrial form and function. Nature 2014, 505, 335–343. [Google Scholar] [CrossRef]
- Shu, X.; Sun, Y.; Sun, X.; Zhou, Y.; Bian, Y.; Shu, Z.; Ding, J.; Lu, M.; Hu, G. The effect of fluoxetine on astrocyte autophagy flux and injured mitochondria clearance in a mouse model of depression. Cell Death Dis. 2019, 10, 577. [Google Scholar] [CrossRef]
- Choi, G.E.; Lee, H.J.; Chae, C.W.; Cho, J.H.; Jung, Y.H.; Kim, J.S.; Kim, S.Y.; Lim, J.R.; Han, H.J. BNIP3L/NIX-mediated mitophagy protects against glucocorticoid-induced synapse defects. Nat. Commun. 2021, 12, 487. [Google Scholar] [CrossRef]
- Snyder, J.S.; Ferrante, S.C.; Cameron, H.A. Late maturation of adult-born neurons in the temporal dentate gyrus. PLoS ONE 2012, 7, e48757. [Google Scholar] [CrossRef]
- Stone, S.S.; Teixeira, C.M.; Zaslavsky, K.; Wheeler, A.L.; Martinez-Canabal, A.; Wang, A.H.; Sakaguchi, M.; Lozano, A.M.; Frankland, P.W. Functional convergence of developmentally and adult-generated granule cells in dentate gyrus circuits supporting hippocampus-dependent memory. Hippocampus 2011, 21, 1348–1362. [Google Scholar] [CrossRef]
- Gu, Y.; Arruda-Carvalho, M.; Wang, J.; Janoschka, S.R.; Josselyn, S.A.; Frankland, P.W.; Ge, S. Optical controlling reveals time-dependent roles for adult-born dentate granule cells. Nat. Neurosci. 2012, 15, 1700–1706. [Google Scholar] [CrossRef]
- Vivar, C.; Potter, M.C.; Choi, J.; Lee, J.Y.; Stringer, T.P.; Callaway, E.M.; Gage, F.H.; Suh, H.; van Praag, H. Monosynaptic inputs to new neurons in the dentate gyrus. Nat. Commun. 2012, 3, 1107. [Google Scholar] [CrossRef]
- Temprana, S.G.; Mongiat, L.A.; Yang, S.M.; Trinchero, M.F.; Alvarez, D.D.; Kropff, E.; Giacomini, D.; Beltramone, N.; Lanuza, G.M.; Schinder, A.F. Delayed coupling to feedback inhibition during a critical period for the integration of adult-born granule cells. Neuron 2015, 85, 116–130. [Google Scholar] [CrossRef]
- Llorens-Martin, M.; Jurado-Arjona, J.; Avila, J.; Hernandez, F. Novel connection between newborn granule neurons and the hippocampal CA2 field. Exp. Neurol. 2015, 263, 285–292. [Google Scholar] [CrossRef]
- Bergami, M.; Masserdotti, G.; Temprana, S.G.; Motori, E.; Eriksson, T.M.; Gobel, J.; Yang, S.M.; Conzelmann, K.K.; Schinder, A.F.; Gotz, M.; et al. A critical period for experience-dependent remodeling of adult-born neuron connectivity. Neuron 2015, 85, 710–717. [Google Scholar] [CrossRef]
- Hornsby, A.K.; Redhead, Y.T.; Rees, D.J.; Ratcliff, M.S.; Reichenbach, A.; Wells, T.; Francis, L.; Amstalden, K.; Andrews, Z.B.; Davies, J.S. Short-term calorie restriction enhances adult hippocampal neurogenesis and remote fear memory in a Ghsr-dependent manner. Psychoneuroendocrinology 2016, 63, 198–207. [Google Scholar] [CrossRef]
- Wang, G.; Wang, C.; Chen, H.; Chen, L.; Li, J. Activation of 6-8-week-old new mature adult-born dentate granule cells contributes to anxiety-like behavior. Neurobiol. Stress 2021, 15, 100358. [Google Scholar] [CrossRef]
- Deng, W.; Saxe, M.D.; Gallina, I.S.; Gage, F.H. Adult-born hippocampal dentate granule cells undergoing maturation modulate learning and memory in the brain. J. Neurosci. 2009, 29, 13532–13542. [Google Scholar] [CrossRef]
- McCormick, C.M.; Thomas, C.M.; Sheridan, C.S.; Nixon, F.; Flynn, J.A.; Mathews, I.Z. Social instability stress in adolescent male rats alters hippocampal neurogenesis and produces deficits in spatial location memory in adulthood. Hippocampus 2012, 22, 1300–1312. [Google Scholar] [CrossRef]
- Ishikawa, R.; Kim, R.; Namba, T.; Kohsaka, S.; Uchino, S.; Kida, S. Time-dependent enhancement of hippocampus-dependent memory after treatment with memantine: Implications for enhanced hippocampal adult neurogenesis. Hippocampus 2014, 24, 784–793. [Google Scholar] [CrossRef]
- Cope, E.C.; Gould, E. Adult Neurogenesis, Glia, and the Extracellular Matrix. Cell Stem Cell 2019, 24, 690–705. [Google Scholar] [CrossRef]
- Miller, S.M.; Sahay, A. Functions of adult-born neurons in hippocampal memory interference and indexing. Nat. Neurosci. 2019, 22, 1565–1575. [Google Scholar] [CrossRef]
- Tzeng, W.Y.; Wu, H.H.; Wang, C.Y.; Chen, J.C.; Yu, L.; Cherng, C.G. Sex Differences in Stress and Group Housing Effects on the Number of Newly Proliferated Cells and Neuroblasts in Middle-Aged Dentate Gyrus. Front. Behav. Neurosci. 2016, 10, 249. [Google Scholar] [CrossRef]
- Weinberg, M.S.; Bhatt, A.P.; Girotti, M.; Masini, C.V.; Day, H.E.; Campeau, S.; Spencer, R.L. Repeated ferret odor exposure induces different temporal patterns of same-stressor habituation and novel-stressor sensitization in both hypothalamic-pituitary-adrenal axis activity and forebrain c-fos expression in the rat. Endocrinology 2009, 150, 749–761. [Google Scholar] [CrossRef]
- Bentosela, M.; Ruetti, E.; Muzio, R.N.; Mustaca, A.E.; Papini, M.R. Administration of corticosterone after the first downshift trial enhances consummatory successive negative contrast. Behav. Neurosci. 2006, 120, 371–376. [Google Scholar] [CrossRef]
- Lagace, D.C.; Donovan, M.H.; DeCarolis, N.A.; Farnbauch, L.A.; Malhotra, S.; Berton, O.; Nestler, E.J.; Krishnan, V.; Eisch, A.J. Adult hippocampal neurogenesis is functionally important for stress-induced social avoidance. Proc. Natl. Acad. Sci. USA 2010, 107, 4436–4441. [Google Scholar] [CrossRef]
- Sabel, B.A.; Flammer, J.; Merabet, L.B. Residual vision activation and the brain-eye-vascular triad: Dysregulation, plasticity and restoration in low vision and blindness—A review. Restor. Neurol. Neurosci. 2018, 36, 767–791. [Google Scholar] [CrossRef]
- Gobinath, A.R.; Workman, J.L.; Chow, C.; Lieblich, S.E.; Galea, L.A.M. Sex-dependent effects of maternal corticosterone and SSRI treatment on hippocampal neurogenesis across development. Biol. Sex Differ. 2017, 8, 20. [Google Scholar] [CrossRef]
- Shome, A.; Sultana, R.; Siddiqui, A.; Romeo, R.D. Adolescent Changes in Cellular Proliferation in the Dentate Gyrus of Male and Female C57BL/6N Mice Are Resilient to Chronic Oral Corticosterone Treatments. Front. Behav. Neurosci. 2018, 12, 192. [Google Scholar] [CrossRef]
- Takayanagi, Y.; Onaka, T. Roles of Oxytocin in Stress Responses, Allostasis and Resilience. Int. J. Mol. Sci. 2021, 23, 150. [Google Scholar] [CrossRef]
- Scheinert, R.B.; Haeri, M.H.; Lehmann, M.L.; Herkenham, M. Therapeutic effects of stress-programmed lymphocytes transferred to chronically stressed mice. Prog. Neuropsychopharmacol. Biol. Psychiatry 2016, 70, 1–7. [Google Scholar] [CrossRef]
- Wani, G.A.; Sprenger, H.G.; Ndoci, K.; Chandragiri, S.; Acton, R.J.; Schatton, D.; Kochan, S.M.V.; Sakthivelu, V.; Jevtic, M.; Seeger, J.M.; et al. Metabolic control of adult neural stem cell self-renewal by the mitochondrial protease YME1L. Cell Rep. 2022, 38, 110370. [Google Scholar] [CrossRef]
- Shakya, A.; Soni, U.K.; Rai, G.; Chatterjee, S.S.; Kumar, V. Gastro-protective and Anti-stress Efficacies of Monomethyl Fumarate and a Fumaria indica Extract in Chronically Stressed Rats. Cell Mol. Neurobiol. 2016, 36, 621–635. [Google Scholar] [CrossRef]
- Opendak, M.; Briones, B.A.; Gould, E. Social behavior, hormones and adult neurogenesis. Front. Neuroendocr. 2016, 41, 71–86. [Google Scholar] [CrossRef]
- McEwen, B.S. Neurobiological and Systemic Effects of Chronic Stress. Chronic Stress 2017, 1, 2470547017692328. [Google Scholar] [CrossRef]
- Steib, K.; Schaffner, I.; Jagasia, R.; Ebert, B.; Lie, D.C. Mitochondria modify exercise-induced development of stem cell-derived neurons in the adult brain. J. Neurosci. 2014, 34, 6624–6633. [Google Scholar] [CrossRef]
- Xi, Y.; Dhaliwal, J.S.; Ceizar, M.; Vaculik, M.; Kumar, K.L.; Lagace, D.C. Knockout of Atg5 delays the maturation and reduces the survival of adult-generated neurons in the hippocampus. Cell Death Dis. 2016, 7, e2127. [Google Scholar] [CrossRef]
- Schaffner, I.; Minakaki, G.; Khan, M.A.; Balta, E.A.; Schlotzer-Schrehardt, U.; Schwarz, T.J.; Beckervordersandforth, R.; Winner, B.; Webb, A.E.; DePinho, R.A.; et al. FoxO Function Is Essential for Maintenance of Autophagic Flux and Neuronal Morphogenesis in Adult Neurogenesis. Neuron 2018, 99, 1188–1203.e6. [Google Scholar] [CrossRef]
- Artegiani, B.; Lyubimova, A.; Muraro, M.; van Es, J.H.; van Oudenaarden, A.; Clevers, H. A Single-Cell RNA Sequencing Study Reveals Cellular and Molecular Dynamics of the Hippocampal Neurogenic Niche. Cell Rep. 2017, 21, 3271–3284. [Google Scholar] [CrossRef]
- Scharfman, H.E.; Sollas, A.L.; Goodman, J.H. Spontaneous recurrent seizures after pilocarpine-induced status epilepticus activate calbindin-immunoreactive hilar cells of the rat dentate gyrus. Neuroscience 2002, 111, 71–81. [Google Scholar] [CrossRef]
- Kesner, R.P. An analysis of dentate gyrus function (an update). Behav. Brain Res. 2018, 354, 84–91. [Google Scholar] [CrossRef]
- Sahay, A.; Scobie, K.N.; Hill, A.S.; O’Carroll, C.M.; Kheirbek, M.A.; Burghardt, N.S.; Fenton, A.A.; Dranovsky, A.; Hen, R. Increasing adult hippocampal neurogenesis is sufficient to improve pattern separation. Nature 2011, 472, 466–470. [Google Scholar] [CrossRef]
- Tronel, S.; Charrier, V.; Sage, C.; Maitre, M.; Leste-Lasserre, T.; Abrous, D.N. Adult-born dentate neurons are recruited in both spatial memory encoding and retrieval. Hippocampus 2015, 25, 1472–1479. [Google Scholar] [CrossRef]
- McAvoy, K.M.; Scobie, K.N.; Berger, S.; Russo, C.; Guo, N.; Decharatanachart, P.; Vega-Ramirez, H.; Miake-Lye, S.; Whalen, M.; Nelson, M.; et al. Modulating Neuronal Competition Dynamics in the Dentate Gyrus to Rejuvenate Aging Memory Circuits. Neuron 2016, 91, 1356–1373. [Google Scholar] [CrossRef]
- Monteiro, S.; Ferreira, F.M.; Pinto, V.; Roque, S.; Morais, M.; de Sa-Calcada, D.; Mota, C.; Correia-Neves, M.; Cerqueira, J.J. Absence of IFNgamma promotes hippocampal plasticity and enhances cognitive performance. Transl. Psychiatry 2016, 6, e707. [Google Scholar] [CrossRef]
- Kropff, E.; Yang, S.M.; Schinder, A.F. Dynamic role of adult-born dentate granule cells in memory processing. Curr. Opin. Neurobiol. 2015, 35, 21–26. [Google Scholar] [CrossRef]
- Kuhn, H.G.; Toda, T.; Gage, F.H. Adult Hippocampal Neurogenesis: A Coming-of-Age Story. J. Neurosci. 2018, 38, 10401–10410. [Google Scholar] [CrossRef]
- Tuncdemir, S.N.; Lacefield, C.O.; Hen, R. Contributions of adult neurogenesis to dentate gyrus network activity and computations. Behav. Brain Res. 2019, 374, 112112. [Google Scholar] [CrossRef]
- Kulzow, N.; Kerti, L.; Witte, V.A.; Kopp, U.; Breitenstein, C.; Floel, A. An object location memory paradigm for older adults with and without mild cognitive impairment. J. Neurosci. Methods 2014, 237, 16–25. [Google Scholar] [CrossRef]
- Bierbrauer, A.; Kunz, L.; Gomes, C.A.; Luhmann, M.; Deuker, L.; Getzmann, S.; Wascher, E.; Gajewski, P.D.; Hengstler, J.G.; Fernandez-Alvarez, M.; et al. Unmasking selective path integration deficits in Alzheimer’s disease risk carriers. Sci. Adv. 2020, 6, eaba1394. [Google Scholar] [CrossRef]
- Liberati, G.; Raffone, A.; Olivetti Belardinelli, M. Cognitive reserve and its implications for rehabilitation and Alzheimer’s disease. Cogn. Process 2012, 13, 1–12. [Google Scholar] [CrossRef]
- Tzeng, W.Y.; Chuang, J.Y.; Lin, L.C.; Cherng, C.G.; Lin, K.Y.; Chen, L.H.; Su, C.C.; Yu, L. Companions reverse stressor-induced decreases in neurogenesis and cocaine conditioning possibly by restoring BDNF and NGF levels in dentate gyrus. Psychoneuroendocrinology 2013, 38, 425–437. [Google Scholar] [CrossRef]
- Lucassen, P.J.; Fuchs, E.; Czeh, B. Antidepressant treatment with tianeptine reduces apoptosis in the hippocampal dentate gyrus and temporal cortex. Biol. Psychiatry 2004, 55, 789–796. [Google Scholar] [CrossRef]
- Cole, A.J.; Abu-Shakra, S.; Saffen, D.W.; Baraban, J.M.; Worley, P.F. Rapid rise in transcription factor mRNAs in rat brain after electroshock-induced seizures. J. Neurochem. 1990, 55, 1920–1927. [Google Scholar] [CrossRef]
- Snyder, J.S.; Glover, L.R.; Sanzone, K.M.; Kamhi, J.F.; Cameron, H.A. The effects of exercise and stress on the survival and maturation of adult-generated granule cells. Hippocampus 2009, 19, 898–906. [Google Scholar] [CrossRef]
- Racine, R.J. Modification of seizure activity by electrical stimulation. II. Motor seizure. Electroencephalogr. Clin. Neurophysiol. 1972, 32, 281–294. [Google Scholar] [CrossRef]
- Burghardt, N.S.; Park, E.H.; Hen, R.; Fenton, A.A. Adult-born hippocampal neurons promote cognitive flexibility in mice. Hippocampus 2012, 22, 1795–1808. [Google Scholar] [CrossRef]
- Ho, M.C.; Cherng, C.G.; Tsai, Y.P.; Chiang, C.Y.; Chuang, J.Y.; Kao, S.F.; Yu, L. Chronic treatment with monoamine oxidase-B inhibitors decreases cocaine reward in mice. Psychopharmacology 2009, 205, 141–149. [Google Scholar] [CrossRef]
- Wu, C.W.; Chang, Y.T.; Yu, L.; Chen, H.I.; Jen, C.J.; Wu, S.Y.; Lo, C.P.; Kuo, Y.M. Exercise enhances the proliferation of neural stem cells and neurite growth and survival of neuronal progenitor cells in dentate gyrus of middle-aged mice. J. Appl. Physiol. 2008, 105, 1585–1594. [Google Scholar] [CrossRef]
- Castilla-Ortega, E.; Rosell-Valle, C.; Pedraza, C.; Rodriguez de Fonseca, F.; Estivill-Torrus, G.; Santin, L.J. Voluntary exercise followed by chronic stress strikingly increases mature adult-born hippocampal neurons and prevents stress-induced deficits in ‘what-when-where’ memory. Neurobiol. Learn Mem. 2014, 109, 62–73. [Google Scholar] [CrossRef]







Disclaimer/Publisher’s Note: The statements, opinions and data contained in all publications are solely those of the individual author(s) and contributor(s) and not of MDPI and/or the editor(s). MDPI and/or the editor(s) disclaim responsibility for any injury to people or property resulting from any ideas, methods, instructions or products referred to in the content. |
© 2023 by the authors. Licensee MDPI, Basel, Switzerland. This article is an open access article distributed under the terms and conditions of the Creative Commons Attribution (CC BY) license (https://creativecommons.org/licenses/by/4.0/).
Share and Cite
Sun, L.-H.; Liao, Y.-H.; Chan, Y.-H.; Yu, A.E.; Wu, C.-H.; Kuo, I.-T.; Yu, L. Male Stressed Mice Having Behavioral Control Exhibit Escalations in Dorsal Dentate Adult-Born Neurons and Spatial Memory. Int. J. Mol. Sci. 2023, 24, 1983. https://doi.org/10.3390/ijms24031983
Sun L-H, Liao Y-H, Chan Y-H, Yu AE, Wu C-H, Kuo I-T, Yu L. Male Stressed Mice Having Behavioral Control Exhibit Escalations in Dorsal Dentate Adult-Born Neurons and Spatial Memory. International Journal of Molecular Sciences. 2023; 24(3):1983. https://doi.org/10.3390/ijms24031983
Chicago/Turabian StyleSun, Li-Han, Yi-Han Liao, Ya-Hsuan Chan, Anna E. Yu, Chun-Hsien Wu, Ing-Tiau Kuo, and Lung Yu. 2023. "Male Stressed Mice Having Behavioral Control Exhibit Escalations in Dorsal Dentate Adult-Born Neurons and Spatial Memory" International Journal of Molecular Sciences 24, no. 3: 1983. https://doi.org/10.3390/ijms24031983
APA StyleSun, L.-H., Liao, Y.-H., Chan, Y.-H., Yu, A. E., Wu, C.-H., Kuo, I.-T., & Yu, L. (2023). Male Stressed Mice Having Behavioral Control Exhibit Escalations in Dorsal Dentate Adult-Born Neurons and Spatial Memory. International Journal of Molecular Sciences, 24(3), 1983. https://doi.org/10.3390/ijms24031983

