Only Small Effects of Mindfulness-Based Interventions on Biomarker Levels of Inflammation and Stress: A Preregistered Systematic Review and Two Three-Level Meta-Analyses
Abstract
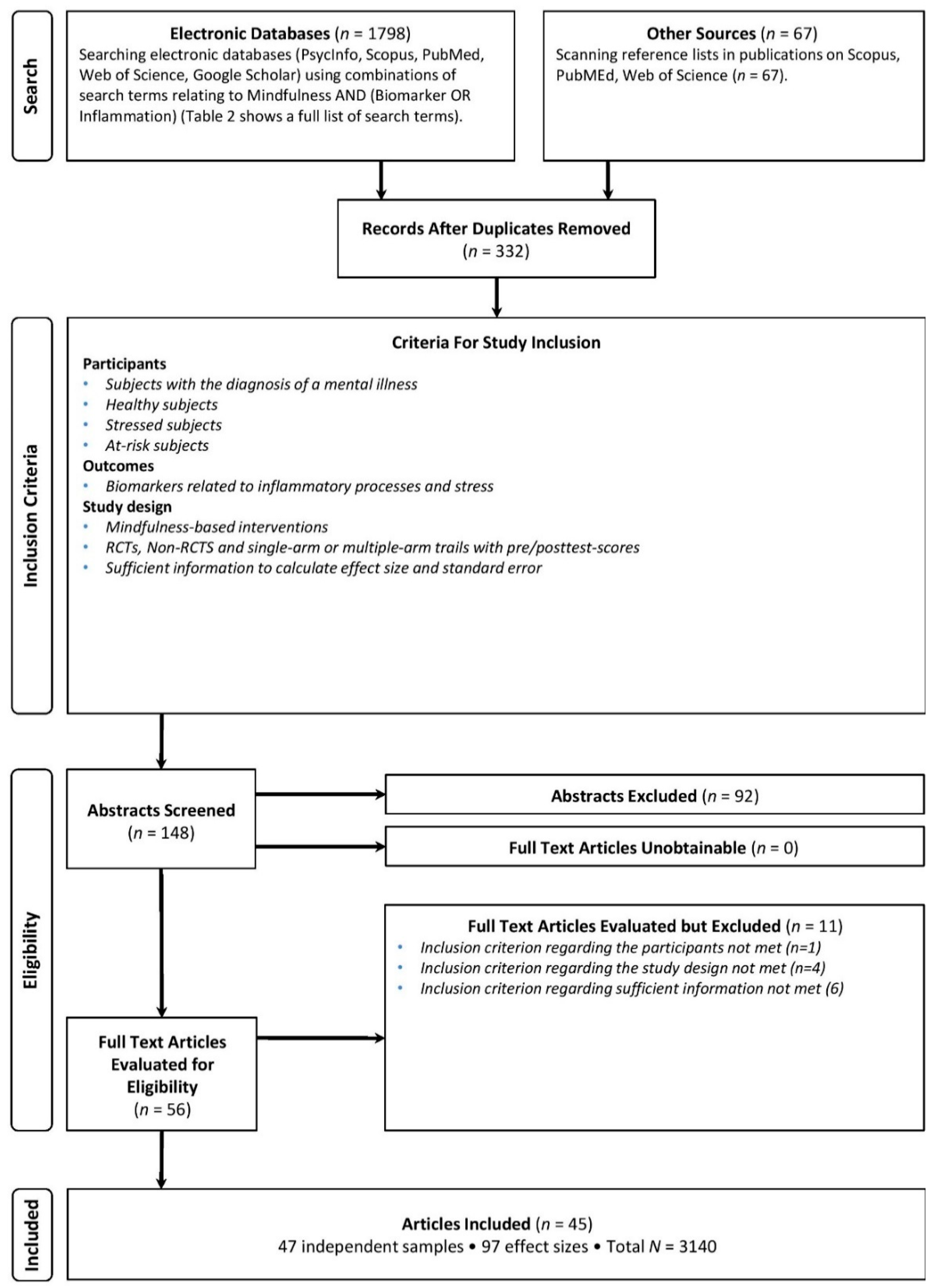
1. Introduction
2. Materials and Methods
2.1. Study Eligibility Criteria
2.2. Literature Search Strategy
2.3. Risk of Bias Assessment
2.4. Effect Sizes for Study Outcomes
2.5. Effect Moderators
2.6. Coding Procedure and Intercoder Reliability
2.7. Statistical Analyses
2.8. Outcome Visualisation
2.9. Publication Bias
2.10. Outlier Analyses
3. Results
3.1. Risk of Bias
3.2. Pooled Effect Estimates in the Two TLMAs
3.3. Sensitivity Analyses
3.4. Follow-Up Data
3.5. Publication Bias
3.6. Subgroup Analyses
4. Discussion
4.1. Limitations
4.2. Future Research
5. Conclusions
Supplementary Materials
Author Contributions
Funding
Informed Consent Statement
Data Availability Statement
Conflicts of Interest
References
- Kabat-Zinn, J. Mindfulness-based interventions in context: Past, present, and future. Clin. Psychol. Sci. Pract. 2003, 10, 144–156. [Google Scholar] [CrossRef]
- Sharf, R.H. Is mindfulness Buddhist? (and why it matters). Transcult. Psychiatry 2015, 52, 470–484. [Google Scholar] [CrossRef] [PubMed]
- Kabat-Zinn, J. An outpatient program in behavioral medicine for chronic pain patients based on the practice of mindfulness meditation: Theoretical considerations and preliminary results. Gen. Hosp. Psychiatry 1982, 4, 33–47. [Google Scholar] [CrossRef] [PubMed]
- Kabat-Zinn, J. Full Catastrophe Living: Using the Wisdom of Your Body and Mind to Face Stress, Pain, and Illness; Dell Publishing: New York, NY, USA, 1990. [Google Scholar] [CrossRef]
- Segal, Z.; Williams, J.; Teasdale, J. Mindfulness-Based Cognitive Therapy for Depression: A New Approach to Preventing Relapse; Guilford Press: New York, NY, USA, 2002. [Google Scholar] [CrossRef]
- Witkiewitz, K.; Marlatt, G.A.; Walker, D. Mindfulness-based relapse prevention for alcohol and substance use disorders. J. Cogn. Psychother. 2005, 19, 211–228. [Google Scholar] [CrossRef]
- Goldberg, S.B.; Riordan, K.M.; Sun, S.; Davidson, R.J. The empirical status of mindfulness-based interventions: A systematic review of 44 meta-analyses of randomized controlled trials. Perspect. Psychol. Sci. 2022, 17, 108–130. [Google Scholar] [CrossRef]
- Gong, H.; Ni, C.-X.; Liu, Y.-Z.; Zhang, Y.; Su, W.-J.; Lian, Y.-J.; Peng, W.; Jiang, C.-L. Mindfulness meditation for insomnia: A meta-analysis of randomized controlled trials. J. Psychosom. Res. 2016, 89, 1–6. [Google Scholar] [CrossRef]
- Karyadi, K.A.; VanderVeen, J.D.; Cyders, M.A. A meta-analysis of the relationship between trait mindfulness and substance use behaviors. Drug Alcohol Depend. 2014, 143, 1–10. [Google Scholar] [CrossRef]
- Kogan, M.; Kligler, B. Mind-body medicine therapies for a range of depression severity: A systematic review. Psychosomatics 2012, 53, 407–423. [Google Scholar] [CrossRef]
- Kuyken, W.; Byford, S.; Taylor, R.S.; Watkins, E.; Holden, E.; White, K.; Barrett, B.; Byng, R.; Evans, A.; Mullan, E.; et al. Mindfulness-based cognitive therapy to prevent relapse in recurrent depression. J. Consult. Clin. Psychol. 2008, 76, 966–978. [Google Scholar] [CrossRef]
- Lakhan, S.E.; Schofield, K.L. Mindfulness-Based Therapies in the Treatment of Somatization Disorders: A Systematic Review and Meta-Analysis. PLoS ONE 2013, 8, e71834. [Google Scholar] [CrossRef]
- Li, H.; Liu, W.; Xie, J. Circulating interleukin-6 levels and cardiovascular and all-cause mortality in the elderly population: A meta-analysis. Arch. Gerontol. Geriatr. 2017, 73, 257–262. [Google Scholar] [CrossRef]
- Smith, K.J.; Au, B.; Ollis, L.; Schmitz, N. The association between C-reactive protein, Interleukin-6 and depression among older adults in the community: A systematic review and meta-analysis. Exp. Gerontol. 2018, 102, 109–132. [Google Scholar] [CrossRef]
- Villalba, D.K.; Lindsay, E.K.; Marsland, A.L.; Greco, C.M.; Young, S.; Brown, K.W.; Smyth, J.M.; Walsh, C.P.; Gray, K.; Chin, B.; et al. Mindfulness training and systemic low-grade inflammation in stressed community adults: Evidence from two randomized controlled trials. PLoS ONE 2019, 14, e0219120. [Google Scholar] [CrossRef]
- Johnson, D.C.; Thom, N.J.; Stanley, E.A.; Haase, L.; Simmons, A.N.; Shih, P.-A.B.; Thompson, W.K.; Potterat, E.G.; Minor, T.R.; Paulus, M.P. Modifying resilience mechanisms in at-risk individuals: A controlled study of mindfulness training in marines preparing for deployment. Am. J. Psychiatry 2014, 171, 844–853. [Google Scholar] [CrossRef]
- Memon, A.A.; Sundquist, K.; Ahmad, A.; Wang, X.; Hedelius, A.; Sundquist, J. Role of IL-8, CRP and epidermal growth factor in depression and anxiety patients treated with mindfulness-based therapy or cognitive behavioral therapy in primary health care. Psychiatry Res. 2017, 254, 311–316. [Google Scholar] [CrossRef]
- Köhler, C.A.; Freitas, T.H.; Stubbs, B.; Maes, M.; Solmi, M.; Veronese, N.; de Andrade, N.Q.; Morris, G.; Fernandes, B.S.; Brunoni, A.R.; et al. Peripheral alterations in cytokine and chemokine levels after antidepressant drug treatment for major depressive disorder: Systematic review and meta-analysis. Mol. Neurobiol. 2017, 55, 4195–4206. [Google Scholar] [CrossRef]
- Dowlati, Y.; Herrmann, N.; Swardfager, W.; Liu, H.; Sham, L.; Reim, E.K.; Lanctôt, K.L. A meta-analysis of cytokines in major depression. Biol. Psychiatry 2010, 67, 446–457. [Google Scholar] [CrossRef]
- Van Stegeren, A.; Rohleder, N.; Everaerd, W.; Wolf, O.T. Salivary alpha amylase as marker for adrenergic activity during stress: Effect of betablockade. Psychoneuroendocrinology 2006, 31, 137–141. [Google Scholar] [CrossRef]
- Koelsch, S.; Boehlig, A.; Hohenadel, M.; Nitsche, I.; Bauer, K.; Sack, U. The impact of acute stress on hormones and cytokines and how their recovery is affected by music-evoked positive mood. Sci. Rep. 2016, 6, 23008. [Google Scholar] [CrossRef]
- Staufenbiel, S.M.; Penninx, B.W.J.H.; Spijker, A.T.; Elzinga, B.M.; van Rossum, E.F.C. Hair cortisol, stress exposure, and mental health in humans: A systematic review. Psychoneuroendocrinology 2013, 38, 1220–1235. [Google Scholar] [CrossRef]
- Maninger, N.; Wolkowitz, O.M.; Reus, V.I.; Epel, E.S.; Mellon, S.H. Neurobiological and neuropsychiatric effects of dehydroepiandrosterone (DHEA) and DHEA sulfate (DHEAS). Front. Neuroendocriol. 2009, 30, 65–91. [Google Scholar] [CrossRef] [PubMed]
- Dantzer, R.; O’Connor, J.C.; Freund, G.G.; Johnson, R.W.; Kelley, K.W. From inflammation to sickness and depression: When the immune system subjugates the brain. Nat. Rev. Neurosci. 2008, 9, 46–56. [Google Scholar] [CrossRef] [PubMed]
- Tsai, S.-J. Role of interleukin 8 in depression and other psychiatric disorders. Prog. Neuro Psychopharmacol. Biol. Psychiatry 2021, 106, 110173. [Google Scholar] [CrossRef]
- Freeman, L.C.; Ting, J.P.-Y. The pathogenic role of the inflammasome in neurodegenerative diseases. J. Neurochem. 2016, 136, 29–38. [Google Scholar] [CrossRef]
- Saltevo, J.; Vanhala, M.; Kautiainen, H.; Kumpusalo, E.; Laakso, M. Association of C-reactive protein, interleukin-1 receptor antagonist and adiponectin with the metabolic syndrome. Mediat. Inflamm. 2007, 2007, e93573. [Google Scholar] [CrossRef] [PubMed][Green Version]
- Liu, M.; Guo, S.; Hibbert, J.M.; Jain, V.; Singh, N.; Wilson, N.O.; Stiles, J.K. CXCL10/IP-10 in infectious diseases pathogenesis and potential therapeutic implications. Cytokine Growth Factor Rev. 2011, 22, 121–130. [Google Scholar] [CrossRef]
- Bierhaus, A.; Wolf, J.; Andrassy, M.; Rohleder, N.; Humpert, P.M.; Petrov, D.; Ferstl, R.; von Eynatten, M.; Wendt, T.; Rudofsky, G.; et al. A mechanism converting psychosocial stress into mononuclear cell activation. Proc. Natl. Acad. Sci. USA 2003, 100, 1920–1925. [Google Scholar] [CrossRef]
- Ng, T.K.S.; Ho, C.S.H.; Tam, W.W.S.; Kua, E.H.; Ho, R.C.-M. Decreased serum brain-derived neurotrophic factor (BDNF) levels in patients with Alzheimer’s disease (AD): A systematic review and meta-analysis. Int. J. Mol. Sci. 2019, 20, 257. [Google Scholar] [CrossRef]
- Dahlmann, A.S.; Blennow, K.; Zetterberg, H.; Glise, K.; Jonsdottir, I.H. Growth factors and neurotrophins in patients with stress-related disorder. Psychoneuroendocrinology 2019, 109, 104415. [Google Scholar] [CrossRef]
- Binder, E.B. The role of FKBP5, a co-chaperone of the glucocorticoid receptor in the pathogenesis and therapy of affective and anxiety disorders. Psychoneuroendocrinology 2009, 34 (Suppl. S1), S186–S195. [Google Scholar] [CrossRef]
- Ridout, K.K.; Ridout, S.J.; Price, L.H.; Sen, S.; Tyrka, A.R. Depression and telomere length: A meta-analysis. J. Affect. Disord. 2016, 191, 237–247. [Google Scholar] [CrossRef] [PubMed]
- Reichmann, F.; Holzer, P. Neuropeptide Y: A stressful review. Neuropeptides 2016, 55, 99–109. [Google Scholar] [CrossRef] [PubMed]
- Koenen, K.C.; Uddin, M.; Chang, S.-C.; Aiello, A.E.; Wildman, D.E.; Goldmann, E.; Galea, S. SLC6A4 methylation modifies the effect of the number of traumatic events on risk for posttraumatic stress disorder. Depression Anxiety 2011, 28, 639–647. [Google Scholar] [CrossRef] [PubMed]
- Uvnäs-Moberg, K.; Handlin, L.; Kendall-Tackett, K.; Petersson, M. Oxytocin is a principal hormone that exerts parts of its effects by active fragments. Med. Hypotheses 2019, 133, 109394. [Google Scholar] [CrossRef] [PubMed]
- Adam, E.K.; Doane, L.D.; Zinbarg, R.E.; Mineka, S.; Craske, M.G.; Griffith, J.W. Prospective prediction of major depressive disorder from cortisol awakening responses in adolescence. Psychoneuroendocrinology 2010, 35, 921–931. [Google Scholar] [CrossRef] [PubMed]
- Liang, Y.; Zhou, Y.; Shen, P. NF-kappaB and its regulation on the immune system. Cell. Mol. Immunol. 2004, 1, 343–350. [Google Scholar]
- Sanada, K.; Montero-Marin, J.; Barceló-Soler, A.; Ikuse, D.; Ota, M.; Hirata, A.; Yoshizawa, A.; Hatanaka, R.; Valero, M.S.; Demarzo, M.; et al. Effects of mindfulness-based interventions on biomarkers and low-grade inflammation in patients with psychiatric disorders: A meta-analytic review. Int. J. Mol. Sci. 2020, 21, 2484. [Google Scholar] [CrossRef]
- Dunn, T.J.; Dimolareva, M. The effect of mindfulness-based interventions on immunity-related biomarkers: A comprehensive meta-analysis of randomised controlled trials. Clin. Psychol. Rev. 2022, 92, 102124. [Google Scholar] [CrossRef]
- O’Toole, M.; Bovbjerg, D.; Renna, M.; Lekander, M.; Mennin, D.; Zachariae, R. Effects of psychological interventions on systemic levels of inflammatory biomarkers in humans: A systematic review and meta-analysis. Brain, Behav. Immun. 2018, 74, 68–78. [Google Scholar] [CrossRef]
- Black, D.S.; O’Reilly, G.A.; Olmstead, R.; Breen, E.C.; Irwin, M.R. Mindfulness meditation and improvement in sleep quality and daytime impairment among older adults with sleep disturbances: A randomized clinical trial. JAMA Intern. Med. 2015, 175, 494–501. [Google Scholar] [CrossRef]
- Sanada, K.; Alda Diez, M.; Salas Valero, M.; Pérez-Yus, M.C.; Demarzo, M.M.; Montero-Marín, J.; García-Toro, M.; García-Campayo, J. Effects of mindfulness-based interventions on biomarkers in healthy and cancer populations: A systematic review. BMC Complement. Altern. Med. 2017, 17, 125. [Google Scholar] [CrossRef]
- Turner, L.; Galante, J.; Vainre, M.; Stochl, J.; Dufour, G.; Jones, P.B. Immune dysregulation among students exposed to exam stress and its mitigation by mindfulness training: Findings from an exploratory randomised trial. Sci. Rep. 2020, 10, 5812. [Google Scholar] [CrossRef]
- Puhlmann, L.M.C.; Engert, V.; Apostolakou, F.; Papassotiriou, I.; Chrousos, G.P.; Vrtička, P.; Singer, T. Only vulnerable adults show change in chronic low-grade inflammation after contemplative mental training: Evidence from a randomized clinical trial. Sci. Rep. 2019, 9, 19323. [Google Scholar] [CrossRef]
- Rosenthal, R. Parametric measures of effect size. In The Handbook of Research Synthesis; Cooper, H., Hedges, L.V., Eds.; Russell Sage Foundation: New York, NY, USA, 1994; pp. 231–244. [Google Scholar]
- Assink, M.; Wibbelink, C.J.M. Fitting three-level meta-analytic models in R: A step-by-step tutorial. Quant. Methods Psychol. 2016, 12, 154–174. [Google Scholar] [CrossRef]
- Page, M.J.; McKenzie, J.E.; Bossuyt, P.M.; Boutron, I.; Hoffmann, T.C.; Mulrow, C.D.; Shamseer, L.; Tetzlaff, J.M.; Akl, E.A.; Brennan, S.E.; et al. The PRISMA 2020 statement: An updated guideline for reporting systematic reviews. BMJ 2021, 372, n71. [Google Scholar] [CrossRef]
- Sterne, J.A.C.; Savović, J.; Page, M.J.; Elbers, R.G.; Blencowe, N.S.; Boutron, I.; Cates, C.J.; Cheng, H.Y.; Corbett, M.S.; Eldridge, S.M.; et al. RoB 2: A revised tool for assessing risk of bias in randomised trials. BMJ 2019, 366, l4898. [Google Scholar] [CrossRef]
- Borenstein, M.; Hedges, L.V.; Higgins, J.P.T.; Rothstein, H.R. Introduction into Meta-Analysis, 2nd ed.; Wiley: Hoboken, NJ, USA, 2021. [Google Scholar]
- Lakens, D. Calculating and reporting effect sizes to facilitate cumulative science: A practical primer for t-tests and ANOVAs. Front. Psychol. 2013, 4, 863. [Google Scholar] [CrossRef]
- Morris, S.B. Estimating effect sizes from pretest-posttest-control group designs. Organ. Res. Methods 2008, 11, 364–386. [Google Scholar] [CrossRef]
- Cooper, H.; Hedges, L.V.; Valentine, J.C. (Eds.) The Handbook of Research Synthesis and Meta-Analysis, 3rd ed.; Russell Sage Foundation: New York, NY, USA, 2019. [Google Scholar]
- Luo, D.; Wan, X.; Liu, J.; Tong, T. Optimally estimating the sample mean from the sample size, median, mid-range, and/or mid-quartile range. Stat. Methods Med. Res. 2018, 27, 1785–1805. [Google Scholar] [CrossRef]
- 55. Wan, X.; Wang, W.; Liu, J.; Tong, T. Estimating the sample mean and standard deviation from the sample size, median, range and/or interquartile range. BMC Med. Res. Methodol. 2014, 14, 135. [Google Scholar] [CrossRef]
- Cohen, S.; Kamarck, T.; Mermelstein, R. Perceived Stress Scale [Database record]. APA PsycTests 1983. [Google Scholar] [CrossRef]
- Kirschbaum, C.; Pirke, K.-M.; Hellhammer, D.H. The ‘Trier Social Stress Test’: A tool for investigating psychobiological stress responses in a laboratory setting. Neuropsychobiology 1993, 28, 76–81. [Google Scholar] [CrossRef] [PubMed]
- Hayes, S.C.; Pistorello, J.; Levin, M.E. Acceptance and commitment therapy as a unified model of behavior change. Couns. Psychol. 2012, 40, 976–1002. [Google Scholar] [CrossRef]
- Crane, R.S.; Brewer, J.; Feldman, C.; Kabat-Zinn, J.; Santorelli, S.; Williams, J.M.G.; Kuyken, W. What defines mindfulness-based programs? The warp and the weft. Psychol. Med. 2017, 47, 990–999. [Google Scholar] [CrossRef]
- Watts, S.E.; Turnell, A.; Kladnitski, N.; Newby, J.M.; Andrews, G. Treatment-as-usual (TAU) is anything but usual: A meta-analysis of CBT versus TAU for anxiety and depression. J. Affect. Disord. 2015, 175, 152–167. [Google Scholar] [CrossRef] [PubMed]
- Cuijpers, P.; Quero, S.; Papola, D.; Cristea, I.A.; Karyotaki, E. Care-as-usual control groups across different settings in randomized trials on psychotherapy for adult depression: A meta-analysis. Psychol. Med. 2021, 51, 634–644. [Google Scholar] [CrossRef]
- Brennan, R.L.; Prediger, D.J. Coefficient kappa: Some uses, misuses, and alternatives. Educ. Psychol. Meas. 1981, 41, 687–699. [Google Scholar] [CrossRef]
- Gamer, M.; Lemon, J.; Fellows, I.; Singh, P. Various Coefficients for Interrater Reliability and Agreement. R Package ver. 0.84, 2012. Available online: https://CRAN.R-pro-ject.org/package=irr (accessed on 1 June 2021).
- Koo, T.K.; Li, M.Y. A guideline of selecting and reporting intraclass correlation coefficients for reliability research. J. Chiropr. Med. 2016, 15, 155–163. [Google Scholar] [CrossRef]
- Viechtbauer, W. Conducting meta-analyses in R with the metafor package. J. Stat. Softw. 2010, 36, 1–48. [Google Scholar] [CrossRef]
- Knapp, G.; Hartung, J. Improved tests for a random effects meta-regression with a single covariate. Stat. Med. 2003, 22, 2693–2710. [Google Scholar] [CrossRef]
- Higgins, J.P.T.; Thompson, S.G. Quantifying heterogeneity in a meta-analysis. Stat. Med. 2002, 21, 1539–1558. [Google Scholar] [CrossRef]
- Fernández-Castilla, B.; Declercq, L.; Jamshidi, L.; Beretvas, S.N.; Onghena, P.; Noortgate, W.V.D. Visual representations of meta-analyses of multiple outcomes: Extensions to forest plots, funnel plots, and caterpillar plots. Methodology 2020, 16, 299–315. [Google Scholar] [CrossRef]
- Egger, M.; Smith, G.D.; Schneider, M.; Minder, C. Bias in meta-analysis detected by a simple, graphical test. BMJ 1997, 315, 629–634. [Google Scholar] [CrossRef]
- Fernández-Castilla, B.; Declercq, L.; Jamshidi, L.; Beretvas, S.N.; Onghena, P.; Noortgate, W.V.D. Detecting selection bias in meta-analyses with multiple outcomes: A simulation study. J. Exp. Educ. 2021, 89, 125–144. [Google Scholar] [CrossRef]
- Begg, C.B.; Mazumdar, M. Operating characteristics of a rank correlation test for publication bias. Biometrics 1994, 50, 1088–1101. [Google Scholar] [CrossRef]
- van Aert, R.C.M.; van Assen, M.A.L.M. Correcting for Publication Bias in a Meta-Analysis with the p-Uniform* Method. 2021, Submitted for Publication. Available online: https://osfio/preprints/bitss/zqjr92018 (accessed on 1 June 2021).
- Harrer, M.; Cuijpers, P.; Furukawa, T.; Ebert, D.D. Dmetar: Companion R Package for the Guide ‘Doing Meta-Analysis in R’. R Package Version 0.0.9000, 2019. Available online: http://dmetar.protectlab.org/ (accessed on 1 June 2021).
- Olkin, I.; Dahabreh, I.J.; Trikalinos, T.A. GOSH: A graphical display of study heterogeneity. Res. Synth. Methods 2012, 3, 214–223. [Google Scholar] [CrossRef]
- Voracek, M.; Kossmeier, M.; Tran, U.S. Which data to meta-analyze, and how? A specification-curve and multiverse-analysis approach to meta-analysis. Z. Für Psychol. 2019, 227, 64–82. [Google Scholar] [CrossRef]
- Meyer, J.D.; Hayney, M.S.; Coe, C.L.; Ninos, C.L.; Barrett, B.P. Differential reduction of IP-10 and C-reactive protein via aerobic exercise or mindfulness-based stress-reduction training in a large randomized controlled trial. J. Sport Exerc. Psychol. 2019, 41, 96–106. [Google Scholar] [CrossRef]
- Ramler, T.R.; Tennison, L.R.; Lynch, J.; Murphy, P. Mindfulness and the college transition: The efficacy of an adapted mindfulness-based stress reduction intervention in fostering adjustment among first-year students. Mindfulness 2016, 7, 179–188. [Google Scholar] [CrossRef]
- Stoffel, M.; Aguilar-Raab, C.; Rahn, S.; Steinhilber, B.; Witt, S.H.; Alexander, N.; Ditzen, B. Effects of mindfulness-based stress prevention on serotonin transporter gene methylation. Psychother. Psychosom. 2019, 88, 317–319. [Google Scholar] [CrossRef]
- Wang, X.; Sundquist, K.; Hedelius, A.; Palmér, K.; Memon, A.A.; Sundquist, J. Leukocyte telomere length and depression, anxiety and stress and adjustment disorders in primary health care patients. BMC Psychiatry 2017, 17, 148. [Google Scholar] [CrossRef] [PubMed]
- Bellosta-Batalla, M.; Blanco-Gandía, M.C.; Rodríguez-Arias, M.; Cebolla, A.; Pérez-Blasco, J.; Moya-Albiol, L. Increased salivary oxytocin and empathy in students of clinical and health psychology after a mindfulness and compassion-based intervention. Mindfulness 2020, 11, 1006–1017. [Google Scholar] [CrossRef]
- Bergen-Cico, D.; Possemato, K.; Pigeon, W. Reductions in cortisol associated with primary care brief mindfulness program for veterans with PTSD. Med. Care 2014, 52, S25–S31. [Google Scholar] [CrossRef]
- Bishop, J.R.; Lee, A.M.; Mills, L.J.; Thuras, P.D.; Eum, S.; Clancy, D.; Erbes, C.R.; Polusny, M.; Lamberty, G.J.; Lim, K. Methylation of FKBP5 and SLC6A4 in relation to treatment response to mindfulness based stress reduction for posttraumatic stress disorder. Front. Psychiatry 2018, 9, 418. [Google Scholar] [CrossRef]
- Brand, S.; Holsboer-Trachsler, E.; Naranjo, J.R.; Schmidt, S. Influence of mindfulness practice on cortisol and sleep in long-term and short-term meditators. Neuropsychobiology 2012, 65, 109–118. [Google Scholar] [CrossRef] [PubMed]
- Christopher, M.; Hunsinger, M.; Goerling, L.R.J.; Bowen, S.; Rogers, B.S.; Gross, C.R.; Dapolonia, E.; Pruessner, J.C. Mindfulness-based resilience training to reduce health risk, stress reactivity, and aggression among law enforcement officers: A feasibility and preliminary efficacy trial. Psychiatry Res. 2018, 264, 104–115. [Google Scholar] [CrossRef]
- Cohen, Z.P.; Cosgrove, K.T.; Akeman, E.; Coffey, S.; Teague, K.; Hays-Grudo, J.; Paulus, M.P.; Aupperle, R.L.; Kirlic, N. The effect of a mindfulness-based stress intervention on neurobiological and symptom measures in adolescents with early life stress: A randomized feasibility study. BMC Complement. Med. Ther. 2021, 21, 123. [Google Scholar] [CrossRef]
- Creswell, J.D.; Irwin, M.R.; Burklund, L.J.; Lieberman, M.D.; Arevalo, J.M.; Ma, J.; Breen, E.C.; Cole, S.W. Mindfulness-based stress reduction training reduces loneliness and pro-inflammatory gene expression in older adults: A small randomized controlled trial. Brain Behav. Immun. 2012, 26, 1095–1101. [Google Scholar] [CrossRef]
- Creswell, J.D.; Pacilio, L.E.; Lindsay, E.; Brown, K.W. Brief mindfulness meditation training alters psychological and neuroendocrine responses to social evaluative stress. Psychoneuroendocrinology 2014, 44, 1–12. [Google Scholar] [CrossRef]
- Creswell, J.D.; Taren, A.A.; Lindsay, E.K.; Greco, C.M.; Gianaros, P.J.; Fairgrieve, A.; Marsland, A.L.; Brown, K.W.; Way, B.M.; Rosen, R.K.; et al. Alterations in resting-state functional connectivity link mindfulness meditation with reduced interleukin-6: A randomized controlled trial. Biol. Psychiatry 2016, 80, 53–61. [Google Scholar] [CrossRef]
- Duchemin, A.-M.; Steinberg, B.A.; Marks, D.R.; Vanover, K.; Klatt, M. A small randomized pilot study of a workplace mindfulness-based intervention for surgical intensive care unit personnel: Effects on salivary α-amylase levels. J. Occup. Environ. Med. 2015, 57, 393–399. [Google Scholar] [CrossRef]
- Eisendrath, S. Mindfulness-based cognitive therapy associated with decreases in C-reactive protein in major depressive disorder: A pilot study. Altern. Complement. Integr. Med. 2016, 2, 1–3. [Google Scholar] [CrossRef]
- Fendel, J.C.; Aeschbach, V.M.; Göritz, A.S.; Schmidt, S. A mindfulness program to improve resident physicians’ personal and work-related well-being: A feasibility study. Mindfulness 2020, 11, 1511–1519. [Google Scholar] [CrossRef]
- Galantino, M.L.; Baime, M.; Maguire, M.; O Szapary, P.; Farrar, J.T. Association of psychological and physiological measures of stress in health-care professionals during an 8-week mindfulness meditation program: Mindfulness in practice. Stress Health 2005, 21, 255–261. [Google Scholar] [CrossRef]
- Gex-Fabry, M.; Jermann, F.; Kosel, M.; Rossier, M.F.; Van der Linden, M.; Bertschy, G.; Bondolfi, G.; Aubry, J.-M. Salivary cortisol profiles in patients remitted from recurrent depression: One-year follow-up of a mindfulness-based cognitive therapy trial. J. Psychiatr. Res. 2012, 46, 80–86. [Google Scholar] [CrossRef]
- Goldberg, S.B.; Manley, A.R.; Smith, S.S.; Greeson, J.M.; Russell, E.; Van Uum, S.; Koren, G.; Davis, J.M. Hair cortisol as a biomarker of stress in mindfulness training for smokers. J. Altern. Complement. Med. 2014, 20, 630–634. [Google Scholar] [CrossRef]
- Ho, R.T.; Lo, H.H.; Fong, T.C.; Choi, C. Effects of a mindfulness-based intervention on diurnal cortisol pattern in disadvantaged families: A randomized controlled trial. Psychoneuroendocrinology 2020, 117, 104696. [Google Scholar] [CrossRef]
- Hoge, E.A.; Bui, E.; Palitz, S.A.; Schwarz, N.R.; Owens, M.E.; Johnston, J.M.; Pollack, M.H.; Simon, N.M. The effect of mindfulness meditation training on biological acute stress responses in generalized anxiety disorder. Psychiatry Res. 2018, 262, 328–332. [Google Scholar] [CrossRef]
- Järvelä-Reijonen, E.; Puttonen, S.; Karhunen, L.; Sairanen, E.; Laitinen, J.; Kolehmainen, M.; Pihlajamäki, J.; Kujala, U.M.; Korpela, R.; Ermes, M.; et al. The effects of acceptance and commitment therapy (ACT) intervention on inflammation and stress biomarkers: A randomized controlled trial. Int. J. Behav. Med. 2020, 27, 539–555. [Google Scholar] [CrossRef]
- Keng, S.-L.; Looi, P.S.; Tan, E.L.Y.; Yim, O.-S.; Lai, P.S.; Chew, S.H.; Ebstein, R.P. Effects of mindfulness-based stress reduction on psychological symptoms and telomere length: A randomized active-controlled trial. Behav. Ther. 2020, 51, 984–996. [Google Scholar] [CrossRef]
- Kim, S.H.; Schneider, S.M.; Bevans, M.; Kravitz, L.; Mermier, C.; Qualls, C.; Burge, M.R. PTSD symptom reduction with mindfulness-based stretching and deep breathing exercise: Randomized controlled clinical trial of efficacy. J. Clin. Endocrinol. Metab. 2013, 98, 2984–2992. [Google Scholar] [CrossRef] [PubMed]
- Malarkey, W.B.; Jarjoura, D.; Klatt, M. Workplace based mindfulness practice and inflammation: A randomized trial. Brain Behav. Immun. 2012, 27, 145–154. [Google Scholar] [CrossRef] [PubMed]
- Marciniak, R.; Šumec, R.; Vyhnálek, M.; Bendíčková, K.; Lázničková, P.; Forte, G.; Jeleník, A.; Římalová, V.; Frič, J.; Hort, J.; et al. The effect of mindfulness-based stress reduction (MBSR) on depression, cognition, and immunity in mild cognitive impairment: A pilot feasibility study. Clin. Interv. Aging 2020, 15, 1365–1381. [Google Scholar] [CrossRef] [PubMed]
- Marcus, M.T.E.; Fine, P.M.M.; Moeller, F.G.; Khan, M.M.P.; Pitts, K.M.; Swank, P.R.; Liehr, P.P. Change in stress levels following mindfulness-based stress reduction in a therapeutic community. Addict. Disord. Their Treat. 2003, 2, 63–68. [Google Scholar] [CrossRef]
- Matvienko-Sikar, K.; Dockray, S. Effects of a novel positive psychological intervention on prenatal stress and well-being: A pilot randomised controlled trial. Women Birth 2017, 30, e111–e118. [Google Scholar] [CrossRef]
- McClintock, A.S.; Goldberg, S.B.; Coe, C.L.; Zgierska, A.E. Mindfulness practice predicts interleukin-6 responses to a mindfulness-based alcohol relapse prevention intervention. J. Subst. Abus. Treat. 2019, 105, 57–63. [Google Scholar] [CrossRef]
- Mehrsafar, A.H.; Strahler, J.; Gazerani, P.; Khabiri, M.; Sánchez, J.C.J.; Moosakhani, A.; Zadeh, A.M. The effects of mindfulness training on competition-induced anxiety and salivary stress markers in elite Wushu athletes: A pilot study. Physiol. Behav. 2019, 210, 112655. [Google Scholar] [CrossRef]
- Ng, T.K.S.; Fam, J.; Feng, L.; Cheah, I.K.-M.; Tan, C.T.-Y.; Nur, F.; Wee, S.T.; Goh, L.G.; Chow, W.L.; Ho, R.C.-M.; et al. Mindfulness improves inflammatory biomarker levels in older adults with mild cognitive impairment: A randomized controlled trial. Transl. Psychiatry 2020, 10, 21. [Google Scholar] [CrossRef]
- Nyklíček, I.; Mommersteeg, P.M.C.; Van Beugen, S.; Ramakers, C.; Van Boxtel, G.J. Mindfulness-based stress reduction and physiological activity during acute stress: A randomized controlled trial. Health Psychol. 2013, 32, 1110–1113. [Google Scholar] [CrossRef]
- Oken, B.S.; Fonareva, I.; Haas, M.; Wahbeh, H.; Lane, J.B.; Zajdel, D.; Amen, A. pilot controlled trial of mindfulness meditation and education for dementia caregivers. J. Altern. Complement. Med. 2010, 16, 1031–1038. [Google Scholar] [CrossRef]
- Oken, B.S.; Wahbeh, H.; Goodrich, E.; Klee, D.; Memmott, T.; Miller, M.; Fu, R. Meditation in stressed older adults: Improvements in self-rated mental health not paralleled by improvements in cognitive function or physiological measures. Mindfulness 2017, 8, 627–638. [Google Scholar] [CrossRef]
- Roberts, L.R.; Boostrom, G.G.; Dehom, S.O.; Neece, C.L. Self-reported parenting stress and cortisol awakening response following mindfulness-based stress reduction intervention for parents of children with developmental delays: A pilot study. Biol. Res. Nurs. 2020, 22, 217–225. [Google Scholar] [CrossRef]
- Schultchen, D.; Messner, M.; Karabatsiakis, A.; Schillings, C.; Pollatos, O. Effects of an 8-week body scan intervention on individually perceived psychological stress and related steroid hormones in hair. Mindfulness 2019, 10, 2532–2543. [Google Scholar] [CrossRef]
- de Sousa, G.M.; de Lima-Araújo, G.L.; de Araújo, D.B.; de Sousa, M.B.C. Brief mindfulness-based training and mindfulness trait attenuate psychological stress in university students: A randomized controlled trial. BMC Psychol. 2021, 9, 21. [Google Scholar] [CrossRef]
- Taylor, S.G.; Roberts, A.M.; Zarrett, N. A brief mindfulness-based intervention (bMBI) to reduce teacher stress and burnout. Teach. Teach. Educ. 2021, 100, 103284. [Google Scholar] [CrossRef]
- Walsh, E.; Eisenlohr-Moul, T.; Baer, R. Brief mindfulness training reduces salivary IL-6 and TNF-α in young women with depressive symptomatology. J. Consult. Clin. Psychol. 2016, 84, 887–897. [Google Scholar] [CrossRef]
- Zgierska, A.; Rabago, D.; Zuelsdorff, M.; Coe, C.; Miller, M.; Fleming, M. Mindfulness meditation for alcohol relapse prevention: A feasibility pilot study. J. Addict. Med. 2008, 2, 165–173. [Google Scholar] [CrossRef]
- Goldberg, S.B.; Tucker, R.P.; Greene, P.; Simpson, T.L.; Kearney, D.J.; Davidson, R. Is mindfulness research methodology improving over time? A systematic review. PLoS ONE 2017, 12, e0187298. [Google Scholar] [CrossRef]
- Tran, U.S.; Birnbaum, L.; Burzler, M.A.; Hegewisch, U.J.C.; Ramazanova, D.; Voracek, M. Self-reported mindfulness accounts for the effects of mindfulness interventions and nonmindfulness controls on self-reported mental health: A preregistered systematic review and three-level meta-analysis of 146 randomized controlled trials. Psychol. Bull. 2022, 148, 86–106. [Google Scholar] [CrossRef]






| Biomarker | Description | Beneficial Levels |
|---|---|---|
| Biomarkers of stress | ||
| AA | Alpha amylase; stress-sensitive enzyme; levels change in response to physiological and psychological stress; elevated levels indicate stress [20] | ↓ |
| ACTH | Adrenocorticotropic hormone; stress-sensitive hormone; promotes cortisol production; elevated levels indicate stress [21] | ↓ |
| Cortisol | Stress-sensitive hormone; elevated levels indicate physiological and psychological stress; mediates effects of psychological distress on physiological health [22] | ↓ |
| DHEA-S | Dehydroepiandrosterone sulfate; stress-sensitive hormone; acts as cortisol antagonist; lower levels indicate stress [23] | ↑ |
| Biomarkers of inflammation | ||
| CRP | C-reactive protein; inflammation-sensitive protein; elevated levels indicate inflammation; relevant for physical and mental illnesses [18] | ↓ |
| IL-6 | Interleukin-6; pro-inflammatory cytokine; elevated levels indicate inflammation and are related to worsening health status; promotes sickness behavior; relevant for mental illnesses, e.g., depression [19,24] | ↓ |
| IL-8 | Interleukin-8, pro-inflammatory cytokine; elevated levels indicate inflammation and are related to worsening health status; involved in pathogenesis of mental disorders [25] | ↓ |
| IL-1β | Interleukin-1β; pro-inflammatory cytokine; elevated levels indicate inflammation and are related to worsening health status; relevant for neurodegenerative diseases [26] | ↓ |
| IL-1ra | Interleukin-1ra; inflammatory cytokine; elevated levels indicate inflammation and are related to worsening health status [27] | ↓ |
| IP-10 | Interferon gamma protein 10; inflammatory chemokine; elevated levels indicate inflammation and are related to worsening health status [28] | ↓ |
| NF-κB | Nuclear factor kappa-light-chain-enhancer of activated B cells; pro-inflammatory transcription factor; elevated levels indicate inflammation and are related to worsening health status; possibly concerts psychosocial stress into cellular activation [29] | ↓ |
| TNF-α | Tumor necrosis factor alpha; inflammatory cytokine; elevated levels indicate inflammation and are related to worsening health status; relevant for pathogenesis of mental disorders [19] | ↓ |
| Biomarkers indirectly related to inflammation and stress | ||
| BDNF | Brain-derived neurotrophic factor; relevant for neuronal and synaptic development; reduced levels are related to neurodegenerative diseases [30] | ↑ |
| EGF | Epidermal growth factor; decreased levels seem to be relevant for the pathogenesis of stress-related and mood-related disorders [31] | ↑ |
| FKBP5m | Methylation of immune-related protein; reduced methylation negatively influences the body’s stress response, e.g., in patients with post-traumatic stress disorder [32] | ↑ |
| LTL | Leukocyte telomerase length (LTL); influenced by stress and inflammation; reduced LTL is related to mental illnesses [33] | ↑ |
| NP-Y | Neuropeptide-Y; relevant for stress and anxiety regulation; decreased levels negatively influence the body’s stress response [34] | ↑ |
| SLC6A4 DNAm | Methylation of SLC6A4 gene; responsible for serotonin reuptake from synaptic gap; elevated methylation leads to a faster reuptake; relevant for mood and stress-related disorders [35] | ↓ |
| sOXT | Oxytocin; seems to have anti-stress and anti-inflammatory capacities; increased levels of sOXT reduce inflammation and stress [36] | ↑ |
| Authors | Year | TLMA | Area | Total N | Mean Age | %Female | Sample | MBI | Control | Duration | Biomarker(s) |
|---|---|---|---|---|---|---|---|---|---|---|---|
| Bellosta-Batalla et al. [80] | 2020 | 1 + 2 | EU | 37 | 23.71 | 76.6 | Healthy | MCBI | N/A | 8 | sOXT |
| Bergen-Cico et al. [81] | 2014 | 1 + 2 | NA | 40 | 48 | 10 | PTSD | PCbMP | N/A | 4 | Cortisol: AUCg, AUCi, CAR |
| Bishop et al. [82] | 2018 | 1 | NA | 18 | 59.3 | 18 | PTSD | MBSR | N/A | 9 | SLC6A4 DNAm, FKBP5m |
| Black et al. [79] | 2015 | 1 + 2 | NA | 49 | 63.3 | 67 | At-risk | MAP | SHE * | 6 | NF-κB |
| Brand et al. [83] | 2012 | 1 | EU | 11 | 40.2 | 81.81 | Healthy | MBSR | N/A | 8 | Cortisol CAR |
| Christopher et al. [84] | 2018 | 1 + 2 | NA | 61 | 43.98 | 10 | Healthy | MBI-Resilience | N/A | 8 | Cortisol AUCi |
| Cohen et al. [85] | 2021 | 1 + 2 | NA | 38 | 14.31 | 43 | Stressed | MBSR-T | N/A | 4 | CRP, IL-6, Cortisol |
| Creswell et al. [86] | 2012 | 1 + 2 | NA | 40 | 65 | 80 | At-risk | MBSR | N/A | 8 | CRP, IL-6 |
| Creswell et al. [87] | 2014 | 1 + 2 | NA | 66 | 21.7 | 41 | Stressed | MM | Cognitive control training * | 0.5 | Cortisol Reactivity |
| Creswell et al. [88] | 2016 | 1 + 2 | NA | 35 | 39.47 | 42.85 | Stressed | HEM | HER * | 0.5 | IL-6 |
| Duchemin et al. [89] | 2015 | 1 | NA | 16 | 44.2 | 87.5 | Stressed | MBI-Workplace | N/A | 8 | AA |
| Eisendrath et al. [90] | 2016 | 1 | NA | 11 | 34.9 | 72.7 | Depression | MBCT | N/A | 8 | CRP |
| Fendel et al. [91] | 2020 | 1 | EU | 9 | 33.2 | 55.55 | Healthy | MBI-Physicians | N/A | 8 | Cortisol Salivary |
| Galantino et al. [92] | 2005 | 1 | NA | 42 | 43 | 96 | Healthy | MMP–Heart and Mind | N/A | 8 | Cortisol Salivary |
| Gex-Fabry et al. [93] | 2012 | 1 + 2 | EU | 42 | 46.75 | 71.4 | Depression | MBCT + TAU | TAU * | 8 | Cortisol: Slope, CAR, AUC |
| Goldberg et al. [94] | 2014 | 1 + 2 | SA | 18 | 42.2 | 55.6 | SUD | MBI-Smokers | FFS-E * | 7 | Cortisol Hair |
| Ho et al. (1) [95] | 2020 | 1 + 2 | Asia | 51 | 6.56 | 39.15 | Stressed | Mindful Parenting | N/A | 6 | Cortisol: Morning, Evening, Slope |
| Ho et al. (2) [95] | 2020 | 1 + 2 | Asia | 51 | 38.75 | 96.15 | Stressed | MM | N/A | 6 | Cortisol: Morning, Evening, Slope |
| Hoge et al. [96] | 2018 | 1 + 2 | NA | 80 | 39 | 46.5 | GAD | MBI | N/A | 8 | Cortisol AUC, ACTH, TNF-α, IL-6 |
| Järvelä-Reijonen et al. [97] | 2020 | 1 + 2 | EU | 113 | 49.99 | 84 | Healthy | ACT | N/A | 8 | CRP, IL-1ra, Cortisol, DHEA-S |
| Johnson et al. [16] | 2014 | 1 + 2 | NA | 281 | 21.55 | 0 | Stressed | MMFT | Training as usual * | 8 | NP-Y |
| Keng et al. [98] | 2020 | 1 + 2 | SA | 158 | 27.24 | 63.3 | Healthy | MBSR | HEP * | 8 | LTL |
| Kim et al. [99] | 2013 | 1 + 2 | NA | 22 | 46.3 | 95.45 | PTSD | MBX | N/A | 8 | Cortisol Serum, ACTH AUC, DHEA-S |
| Malarkey et al. [100] | 2013 | 1 + 2 | NA | 170 | 50 | 87.5 | At-risk | MBI | Lifestyle education group * | 8 | CRP, IL-6, Cortisol |
| Marciniak et al. [101] | 2020 | 1 + 2 | EU | 20 | 74 | 65 | MCI | MBI | Cognitive training * | 8 | CRP, IL-6, TNF-α |
| Marcus et al. [102] | 2003 | 1 | NA | 12 | 33.4 | 14.3 | SUD | MBI | N/A | 8 | Cortisol AUC |
| Matvienko-Sikar et al. [103] | 2017 | 1 | EU | 12 | 34.53 | 100 | Healthy | MBI online + Gratitude | N/A | 3 | Cortisol: Morning, CAR, Evening |
| McClintock et al. [104] | 2019 | 1 | NA | 72 | 43.4 | 36.1 | SUD | MBRP | N/A | 8 | IL-6 |
| Mehrsafar et al. [105] | 2019 | 1 + 2 | EU | 26 | 25.4 | 0 | Stressed | MBI -Training | N/A | 8 | Cortisol slope, AA slope |
| Memon et al. [17] | 2017 | 1 + 2 | NA | 166 | 41.5 | 87.5 | Depression, GAD | MBSR | CBT* | 8 | IL-8, CRP, EGF |
| Meyer et al. [76] | 2019 | 1 + 2 | NA | 259 | 49.7 | 76 | Healthy | MBSR | N/A | 8 | CRP, IL-6, IP-10 |
| Ng et al. [106] | 2020 | 1 + 2 | Asia | 55 | 71.28 | 74.6 | MCI | MAP | HEP * | 36 | CRP, IL-1β, IL-6, Cortisol, DHEA-S, BDNF |
| Nyklíček et al. [107] | 2013 | 1 + 2 | EU | 88 | 46.1 | 70.6 | Stressed | MBSR | N/A | 8 | Cortisol Salivary |
| Oken et al. [108] | 2010 | 1 + 2 | NA | 20 | 63.15 | 85 | Healthy | MBI-Dementia Caregivers | N/A | 7 | IL-6, TNF-α, CRP, Cortisol |
| Oken et al. [109] | 2017 | 1 + 2 | NA | 128 | 59.8 | 50 | Stressed | MBI | N/A | 6 | Cortisol: Slope, CAR |
| Ramler et al. [77] | 2015 | 1 + 2 | NA | 48 | 18 | 66.7 | Healthy | MBI-Students | N/A | 9 | Cortisol Salivary |
| Roberts et al. [110] | 2020 | 1 | NA | 47 | 39.38 | 91.5 | Healthy | MBI | SME * | 8 | Cortisol AUCg |
| Schultchen et al. [111] | 2019 | 1 + 2 | EU | 47 | 22.21 | 75 | Stressed | MBI-Audio | Audio book * | 8 | DHEA-S, Cortisol Hair |
| de Sousa et al. [112] | 2021 | 1 + 2 | SA | 40 | 24.15 | 50 | Stressed | bMM | Health Education + Drawing * | 0.5 | Cortisol |
| Stoffel et al. [78] | 2019 | 1 + 2 | EU | 74 | 21.1 | 64.5 | Stressed | MBI-University | N/A | 12 | SLC6A4 DNAm |
| Taylor et al. [113] | 2021 | 1 + 2 | NA | 23 | 50 | 95.50 | Healthy | MBI-Teachers | N/A | 16 | Cortisol CAR |
| Turner et al. [44] | 2020 | 1 + 2 | EU | 53 | 24 | 70.37 | Stressed | MBI-Students | Student support as usual * | 8 | Cortisol, IL-8, TNF-α, CRP |
| Villalba et al. (1) [15] | 2019 | 1 + 2 | NA | 93 | 34.5 | 66.5 | Stressed | MBI-MA App | My Time * | 2 | CRP |
| Villalba et al. (2) [15] | 2019 | 1 + 2 | NA | 83 | 39.5 | 70.5 | Stressed | MBI-Monitoring + Accepting | N/A | 8 | CRP |
| Walsh et al. [114] | 2016 | 1 + 2 | NA | 64 | 19.13 | 100 | Depression | MBI | Contact-control group * | 4 | IL-6, TNF-α |
| Wang et al. [79] | 2017 | 1 + 2 | EU | 177 | 43.25 | 56 | Depression, GAD | MBI | CBT * | 8 | LTL |
| Zgierska et al. [115] | 2008 | 1 | NA | 12 | 38.4 | 50 | SUD | MBRP | N/A | 8 | IL-6, Cortisol: CAR, Morning, Midday, Evening |
| Analysis | k | #ES | g | 95% CI | p | τ | I2 | ||
|---|---|---|---|---|---|---|---|---|---|
| Level 2 | Level 3 | Level 2 | Level 3 | ||||||
| TLMA 1 | 42 | 91 | −0.15 | [−0.23, −0.06] | <0.001 | 0.20 | 0.18 | 37% | 32% |
| Excluding outliers | 40 | 83 | −0.11 | [−0.18, −0.04] | 0.002 | 0.06 | 0.14 | 7% | 36% |
| Including follow-up data | 42 | 117 | −0.17 | [−0.25, −0.08] | <0.001 | 0.25 | 0.14 | 54% | 16% |
| TLMA 2 | 35 | 79 | −0.11 | [−0.23, 0.001] | 0.053 | 0.32 | 0.17 | 57% | 17% |
| Excluding outliers | 34 | 75 | −0.15 | [−0.25, −0.05] | 0.003 | 0.26 | 0.13 | 51% | 13% |
| Including follow-up data | 35 | 94 | −0.15 | [−0.26, −0.04] | 0.007 | 0.33 | 0.12 | 63% | 9% |
| k | #ES | g | 95% CI | p | p of Moderator | |
|---|---|---|---|---|---|---|
| Type of sample | 0.92 | |||||
| Psychiatric | 15 | 39 | −0.13 | [−0.27, 0.01] | 0.07 | |
| Stressed and at-risk | 14 | 25 | −0.03 | [−0.24, 0.19] | 0.80 | |
| Healthy | 13 | 27 | −0.04 | [−0.26, 0.17] | 0.70 | |
| Type of MBI | 0.20 | |||||
| MBSR, MBCT, MBRP | 15 | 31 | −0.17 | [−0.31, −0.03] | 0.015 | |
| Adapted MBSR | 26 | 56 | 0.02 | [−0.16, 0.20] | 0.82 | |
| ACT | 1 | 4 | 0.39 | [−0.04, 0.82] | 0.08 | |
| Duration of MBI | 0.35 | |||||
| 8 weeks | 26 | 52 | −0.12 | [−0.22, −0.01] | 0.031 | |
| <8 weeks | 13 | 30 | −0.11 | [−0.29, 0.08] | 0.24 | |
| >8 weeks | 3 | 9 | 0.10 | [−0.22, 0.43] | 0.53 | |
| Biomarker | 0.18 | |||||
| Stress-related | 27 | 48 | −0.20 | [−0.31, −0.09] | <0.001 | |
| Inflammation-related | 19 | 36 | 0.13 | [−0.01, 0.28] | 0.07 | |
| Indirect | 5 | 7 | 0.03 | [−0.22, 0.28] | 0.81 | |
| Risk of bias | 0.18 | |||||
| Low risk | 6 | 15 | 0.03 | [−0.17, 0.24] | 0.76 | |
| Some concerns | 27 | 69 | −0.21 | [−0.44, 0.01] | 0.07 | |
| High risk | 2 | 7 | −0.15 | [−0.55, 0.24] | 0.44 |
| K | #ES | g | 95% CI | p | p of Moderator | |
|---|---|---|---|---|---|---|
| Type of Sample | 0.65 | |||||
| Psychiatric | 11 | 30 | −0.09 | [−0.29, 0.11] | 0.40 | |
| Stressed and at-risk | 16 | 29 | −0.09 | [−0.36, 0.18] | 0.51 | |
| Healthy | 8 | 20 | 0.04 | [−0.27, 0.34] | 0.81 | |
| Type of MBI | 0.08 | |||||
| MBSR, MBCT, MBRP | 8 | 20 | −0.01 | [−0.22, 0.20] | 0.92 | |
| Adapted MBSR | 26 | 55 | −0.17 | [−0.42, 0.08] | 0.18 | |
| ACT | 1 | 4 | 0.32 | [−0.20, 0.84] | 0.22 | |
| Duration of MBI | 0.38 | |||||
| 8 weeks | 20 | 43 | −0.05 | [−0.21, 0.10] | 0.49 | |
| <8 weeks | 12 | 28 | −0.10 | [−0.35, 0.15] | 0.42 | |
| >8 weeks | 3 | 8 | −0.27 | [−0.68, 0.14] | 0.20 | |
| Biomarker | 0.20 | |||||
| Stress-related | 22 | 40 | −0.19 | [−0.34, −0.04] | 0.017 | |
| Inflammation-related | 15 | 33 | 0.18 | [−0.03, 0.39] | 0.09 | |
| Indirect | 6 | 6 | −0.001 | [−0.36, 0.35] | 0.99 | |
| Risk of bias | 0.50 | |||||
| Low risk | 6 | 15 | 0.004 | [−0.27, 0.28] | 0.97 | |
| Some concerns | 26 | 59 | −0.13 | [−0.44, 0.18] | 0.41 | |
| High risk | 3 | 5 | −0.29 | [−0.80, 0.22] | 0.26 | |
| Control group | 0.44 | |||||
| Active control | 18 | 42 | −0.07 | [−0.23, 0.09] | 0.37 | |
| Passive control | 17 | 38 | −0.09 | [−0.33, 0.14] | 0.44 |
Disclaimer/Publisher’s Note: The statements, opinions and data contained in all publications are solely those of the individual author(s) and contributor(s) and not of MDPI and/or the editor(s). MDPI and/or the editor(s) disclaim responsibility for any injury to people or property resulting from any ideas, methods, instructions or products referred to in the content. |
© 2023 by the authors. Licensee MDPI, Basel, Switzerland. This article is an open access article distributed under the terms and conditions of the Creative Commons Attribution (CC BY) license (https://creativecommons.org/licenses/by/4.0/).
Share and Cite
Grasmann, J.; Almenräder, F.; Voracek, M.; Tran, U.S. Only Small Effects of Mindfulness-Based Interventions on Biomarker Levels of Inflammation and Stress: A Preregistered Systematic Review and Two Three-Level Meta-Analyses. Int. J. Mol. Sci. 2023, 24, 4445. https://doi.org/10.3390/ijms24054445
Grasmann J, Almenräder F, Voracek M, Tran US. Only Small Effects of Mindfulness-Based Interventions on Biomarker Levels of Inflammation and Stress: A Preregistered Systematic Review and Two Three-Level Meta-Analyses. International Journal of Molecular Sciences. 2023; 24(5):4445. https://doi.org/10.3390/ijms24054445
Chicago/Turabian StyleGrasmann, Jakob, Frederick Almenräder, Martin Voracek, and Ulrich S. Tran. 2023. "Only Small Effects of Mindfulness-Based Interventions on Biomarker Levels of Inflammation and Stress: A Preregistered Systematic Review and Two Three-Level Meta-Analyses" International Journal of Molecular Sciences 24, no. 5: 4445. https://doi.org/10.3390/ijms24054445
APA StyleGrasmann, J., Almenräder, F., Voracek, M., & Tran, U. S. (2023). Only Small Effects of Mindfulness-Based Interventions on Biomarker Levels of Inflammation and Stress: A Preregistered Systematic Review and Two Three-Level Meta-Analyses. International Journal of Molecular Sciences, 24(5), 4445. https://doi.org/10.3390/ijms24054445

