Gender-Specific Differences in Serum Sphingomyelin Species in Patients with Hepatitis C Virus Infection—Sphingomyelin Species Are Related to the Model of End-Stage Liver Disease (MELD) Score in Male Patients
Abstract
1. Introduction
2. Results
2.1. Associations of Sphingomyelin Species with Sex, Age, Body Mass Index, Liver Steatosis, and Type 2 Diabetes in HCV Patients
2.2. Sphingomyelin Species in Female Patients with and without Liver Cirrhosis Diagnosed by Ultrasound or the Fibrosis-4 Score
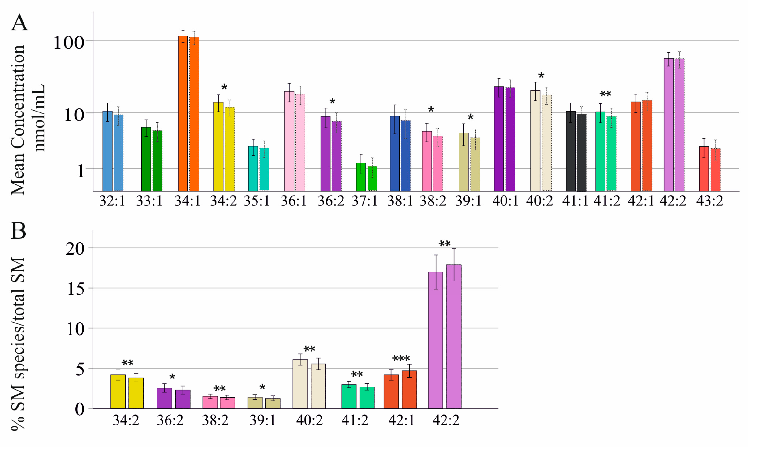
2.3. Sphingomyelin Species in Male Patients with and without Liver Cirrhosis Diagnosed by Ultrasound or the Fibrosis-4 Score
2.4. Sphingomyelin Species Levels in Relation to HCV Viral Load and Genotype
2.5. Effect of DAA Therapy on Serum Sphingomyelin Levels
2.6. Sphingomyelin Species Levels in Female Patients with and without Liver Cirrhosis Diagnosed by Ultrasound at Therapy End
2.7. Sphingomyelin Species Levels in Male Patients with and without Liver Cirrhosis Diagnosed by Ultrasound at End of Therapy
3. Discussion
4. Materials and Methods
4.1. Study Cohort
4.2. Lipid Extraction and Analysis of SM Species
4.3. Statistical Analysis
5. Conclusions
Supplementary Materials
Author Contributions
Funding
Institutional Review Board Statement
Informed Consent Statement
Data Availability Statement
Acknowledgments
Conflicts of Interest
References
- Cacoub, P.; Comarmond, C.; Domont, F.; Savey, L.; Desbois, A.C.; Saadoun, D. Extrahepatic manifestations of chronic hepatitis C virus infection. Ther. Adv. Infect. Dis. 2016, 3, 3–14. [Google Scholar] [CrossRef] [PubMed]
- Li, H.; Huang, M.H.; Jiang, J.D.; Peng, Z.G. Hepatitis C: From inflammatory pathogenesis to anti-inflammatory/hepatoprotective therapy. World J. Gastroenterol. 2018, 24, 5297–5311. [Google Scholar] [CrossRef] [PubMed]
- Aizaki, H.; Morikawa, K.; Fukasawa, M.; Hara, H.; Inoue, Y.; Tani, H.; Saito, K.; Nishijima, M.; Hanada, K.; Matsuura, Y.; et al. Critical role of virion-associated cholesterol and sphingolipid in hepatitis C virus infection. J. Virol. 2008, 82, 5715–5724. [Google Scholar] [CrossRef] [PubMed]
- Hirata, Y.; Sudoh, M.; Kohara, M. Suppression of hepatitis C virus (HCV) replication with serine palmitoyltransferase inhibitor. Yakugaku Zasshi 2010, 130, 157–161. [Google Scholar] [CrossRef]
- Katsume, A.; Tokunaga, Y.; Hirata, Y.; Munakata, T.; Saito, M.; Hayashi, H.; Okamoto, K.; Ohmori, Y.; Kusanagi, I.; Fujiwara, S.; et al. A serine palmitoyltransferase inhibitor blocks hepatitis C virus replication in human hepatocytes. Gastroenterology 2013, 145, 865–873. [Google Scholar] [CrossRef]
- Sakamoto, H.; Okamoto, K.; Aoki, M.; Kato, H.; Katsume, A.; Ohta, A.; Tsukuda, T.; Shimma, N.; Aoki, Y.; Arisawa, M.; et al. Host sphingolipid biosynthesis as a target for hepatitis C virus therapy. Nat. Chem. Biol. 2005, 1, 333–337. [Google Scholar] [CrossRef]
- Taniguchi, M.; Okazaki, T. The role of sphingomyelin and sphingomyelin synthases in cell death, proliferation and migration-from cell and animal models to human disorders. Biochim. Biophys. Acta 2014, 1841, 692–703. [Google Scholar] [CrossRef]
- Hirata, Y.; Ikeda, K.; Sudoh, M.; Tokunaga, Y.; Suzuki, A.; Weng, L.; Ohta, M.; Tobita, Y.; Okano, K.; Ozeki, K.; et al. Self-enhancement of hepatitis C virus replication by promotion of specific sphingolipid biosynthesis. PLoS Pathog. 2012, 8, e1002860. [Google Scholar] [CrossRef]
- Engberg, O.; Lin, K.L.; Hautala, V.; Slotte, J.P.; Nyholm, T.K.M. Sphingomyelin Acyl Chains Influence the Formation of Sphingomyelin- and Cholesterol-Enriched Domains. Biophys. J. 2020, 119, 913–923. [Google Scholar] [CrossRef]
- Koivusalo, M.; Jansen, M.; Somerharju, P.; Ikonen, E. Endocytic trafficking of sphingomyelin depends on its acyl chain length. Mol. Biol. Cell 2007, 18, 5113–5123. [Google Scholar] [CrossRef]
- Ripoli, M.; Pazienza, V. Impact of HCV genetic differences on pathobiology of disease. Expert Rev. Anti Infect. Ther. 2011, 9, 747–759. [Google Scholar] [CrossRef]
- Hammad, S.M.; Pierce, J.S.; Soodavar, F.; Smith, K.J.; Al Gadban, M.M.; Rembiesa, B.; Klein, R.L.; Hannun, Y.A.; Bielawski, J.; Bielawska, A. Blood sphingolipidomics in healthy humans: Impact of sample collection methodology. J. Lipid Res. 2010, 51, 3074–3087. [Google Scholar] [CrossRef] [PubMed]
- Wiesner, P.; Leidl, K.; Boettcher, A.; Schmitz, G.; Liebisch, G. Lipid profiling of FPLC-separated lipoprotein fractions by electrospray ionization tandem mass spectrometry. J. Lipid Res. 2009, 50, 574–585. [Google Scholar] [CrossRef] [PubMed]
- Subbaiah, P.V.; Jiang, X.C.; Belikova, N.A.; Aizezi, B.; Huang, Z.H.; Reardon, C.A. Regulation of plasma cholesterol esterification by sphingomyelin: Effect of physiological variations of plasma sphingomyelin on lecithin-cholesterol acyltransferase activity. Biochim. Biophys. Acta 2012, 1821, 908–913. [Google Scholar] [CrossRef] [PubMed]
- Hanamatsu, H.; Ohnishi, S.; Sakai, S.; Yuyama, K.; Mitsutake, S.; Takeda, H.; Hashino, S.; Igarashi, Y. Altered levels of serum sphingomyelin and ceramide containing distinct acyl chains in young obese adults. Nutr. Diabetes 2014, 4, e141. [Google Scholar] [CrossRef]
- Gaggini, M.; Carli, F.; Rosso, C.; Younes, R.; D’Aurizio, R.; Bugianesi, E.; Gastaldelli, A. Altered Metabolic Profile and Adipocyte Insulin Resistance Mark Severe Liver Fibrosis in Patients with Chronic Liver Disease. Int. J. Mol. Sci. 2019, 20, 6333. [Google Scholar] [CrossRef]
- Sidorkiewicz, M. Hepatitis C Virus Uses Host Lipids to Its Own Advantage. Metabolites 2021, 11, 273. [Google Scholar] [CrossRef]
- Vere, C.C.; Streba, C.T.; Streba, L.; Rogoveanu, I. Lipid serum profile in patients with viral liver cirrhosis. Med. Princ. Pract. 2012, 21, 566–568. [Google Scholar] [CrossRef]
- Corey, K.E.; Kane, E.; Munroe, C.; Barlow, L.L.; Zheng, H.; Chung, R.T. Hepatitis C virus infection and its clearance alter circulating lipids: Implications for long-term follow-up. Hepatology 2009, 50, 1030–1037. [Google Scholar] [CrossRef]
- Ichikawa, T.; Miyaaki, H.; Miuma, S.; Taura, N.; Motoyoshi, Y.; Akahoshi, H.; Nakamura, J.; Takahashi, Y.; Honda, T.; Yajima, H.; et al. Changes in serum LDL, PCSK9 and microRNA-122 in patients with chronic HCV infection receiving Daclatasvir/Asunaprevir. Biomed. Rep. 2019, 10, 156–164. [Google Scholar] [CrossRef]
- Peschel, G.; Grimm, J.; Gulow, K.; Muller, M.; Buechler, C.; Weigand, K. Chemerin Is a Valuable Biomarker in Patients with HCV Infection and Correlates with Liver Injury. Diagnostics 2020, 10, 974. [Google Scholar] [CrossRef]
- Grammatikos, G.; Muhle, C.; Ferreiros, N.; Schroeter, S.; Bogdanou, D.; Schwalm, S.; Hintereder, G.; Kornhuber, J.; Zeuzem, S.; Sarrazin, C.; et al. Serum acid sphingomyelinase is upregulated in chronic hepatitis C infection and non alcoholic fatty liver disease. Biochim. Biophys. Acta 2014, 1841, 1012–1020. [Google Scholar] [CrossRef] [PubMed]
- Zeng, H.; Li, L.; Hou, Z.; Zhang, Y.; Tang, Z.; Liu, S. Direct-acting Antiviral in the Treatment of Chronic Hepatitis C: Bonuses and Challenges. Int. J. Med. Sci. 2020, 17, 892–902. [Google Scholar] [CrossRef] [PubMed]
- Mascia, C.; Vita, S.; Zuccala, P.; Marocco, R.; Tieghi, T.; Savinelli, S.; Rossi, R.; Iannetta, M.; Pozzetto, I.; Furlan, C.; et al. Changes in inflammatory biomarkers in HCV-infected patients undergoing direct acting antiviral-containing regimens with or without interferon. PLoS ONE 2017, 12, e0179400. [Google Scholar] [CrossRef] [PubMed]
- Peschel, G.; Grimm, J.; Buechler, C.; Gunckel, M.; Pollinger, K.; Aschenbrenner, E.; Kammerer, S.; Jung, E.M.; Haimerl, M.; Werner, J.; et al. Liver stiffness assessed by shear-wave elastography declines in parallel with immunoregulatory proteins in patients with chronic HCV infection during DAA therapy. Clin. Hemorheol. Microcirc. 2021, 79, 541–555. [Google Scholar] [CrossRef]
- Saraiva, G.N.; do Rosario, N.F.; Medeiros, T.; Leite, P.E.C.; Lacerda, G.S.; de Andrade, T.G.; de Azeredo, E.L.; Ancuta, P.; Almeida, J.R.; Xavier, A.R.; et al. Restoring Inflammatory Mediator Balance after Sofosbuvir-Induced Viral Clearance in Patients with Chronic Hepatitis, C. Mediat. Inflamm. 2018, 2018, 8578051. [Google Scholar] [CrossRef]
- Graf, C.; Welzel, T.; Bogdanou, D.; Vermehren, J.; Beckel, A.; Bojunga, J.; Friedrich-Rust, M.; Dietz, J.; Kubesch, A.; Mondorf, A.; et al. Hepatitis C Clearance by Direct-Acting Antivirals Impacts Glucose and Lipid Homeostasis. J. Clin. Med. 2020, 9, 2702. [Google Scholar] [CrossRef] [PubMed]
- Ghadir, M.R.; Riahin, A.A.; Havaspour, A.; Nooranipour, M.; Habibinejad, A.A. The relationship between lipid profile and severity of liver damage in cirrhotic patients. Hepat. Mon. 2010, 10, 285–288. [Google Scholar]
- Zheng, S.J.; Qu, F.; Li, J.F.; Zhao, J.; Zhang, J.Y.; Liu, M.; Ren, F.; Chen, Y.; Zhang, J.L.; Duan, Z.P. Serum sphingomyelin has potential to reflect hepatic injury in chronic hepatitis B virus infection. Int. J. Infect. Dis. 2015, 33, 149–155. [Google Scholar] [CrossRef]
- Krautbauer, S.; Wiest, R.; Liebisch, G.; Buechler, C. Associations of systemic sphingolipids with measures of hepatic function in liver cirrhosis are related to cholesterol. Prostaglandins Other Lipid Mediat. 2017, 131, 25–32. [Google Scholar] [CrossRef]
- Cano, A.; Marino, Z.; Millet, O.; Martinez-Arranz, I.; Navasa, M.; Falcon-Perez, J.M.; Perez-Cormenzana, M.; Caballeria, J.; Embade, N.; Forns, X.; et al. A Metabolomics Signature Linked To Liver Fibrosis In The Serum Of Transplanted Hepatitis C Patients. Sci. Rep. 2017, 7, 10497. [Google Scholar] [CrossRef] [PubMed]
- Lerat, H.; Kammoun, H.L.; Hainault, I.; Merour, E.; Higgs, M.R.; Callens, C.; Lemon, S.M.; Foufelle, F.; Pawlotsky, J.M. Hepatitis C virus proteins induce lipogenesis and defective triglyceride secretion in transgenic mice. J. Biol. Chem. 2009, 284, 33466–33474. [Google Scholar] [CrossRef] [PubMed]
- Yang, F.; Chen, G. The nutritional functions of dietary sphingomyelin and its applications in food. Front. Nutr. 2022, 9, 1002574. [Google Scholar] [CrossRef] [PubMed]
- Martinez-Beamonte, R.; Lou-Bonafonte, J.M.; Martinez-Gracia, M.V.; Osada, J. Sphingomyelin in high-density lipoproteins: Structural role and biological function. Int. J. Mol. Sci. 2013, 14, 7716–7741. [Google Scholar] [CrossRef] [PubMed]
- Horing, M.; Peschel, G.; Grimm, J.; Krautbauer, S.; Muller, M.; Weigand, K.; Liebisch, G.; Buechler, C. Serum Ceramide Species Are Associated with Liver Cirrhosis and Viral Genotype in Patients with Hepatitis C Infection. Int. J. Mol. Sci. 2022, 23, 9806. [Google Scholar] [CrossRef]
- Vallet-Pichard, A.; Mallet, V.; Nalpas, B.; Verkarre, V.; Nalpas, A.; Dhalluin-Venier, V.; Fontaine, H.; Pol, S. FIB-4: An inexpensive and accurate marker of fibrosis in HCV infection. Comparison with liver biopsy and fibrotest. Hepatology 2007, 46, 32–36. [Google Scholar] [CrossRef]
- Ishikawa, M.; Maekawa, K.; Saito, K.; Senoo, Y.; Urata, M.; Murayama, M.; Tajima, Y.; Kumagai, Y.; Saito, Y. Plasma and serum lipidomics of healthy white adults shows characteristic profiles by subjects’ gender and age. PLoS ONE 2014, 9, e91806. [Google Scholar] [CrossRef]
- Sales, S.; Graessler, J.; Ciucci, S.; Al-Atrib, R.; Vihervaara, T.; Schuhmann, K.; Kauhanen, D.; Sysi-Aho, M.; Bornstein, S.R.; Bickle, M.; et al. Gender, Contraceptives and Individual Metabolic Predisposition Shape a Healthy Plasma Lipidome. Sci. Rep. 2016, 6, 27710. [Google Scholar] [CrossRef]
- Carlsson, E.R.; Grundtvig, J.L.G.; Madsbad, S.; Fenger, M. Changes in Serum Sphingomyelin After Roux-en-Y Gastric Bypass Surgery Are Related to Diabetes Status. Front. Endocrinol. 2018, 9, 172. [Google Scholar] [CrossRef]
- Li, J.F.; Qu, F.; Zheng, S.J.; Wu, H.L.; Liu, M.; Liu, S.; Ren, Y.; Ren, F.; Chen, Y.; Duan, Z.P.; et al. Elevated plasma sphingomyelin (d18:1/22:0) is closely related to hepatic steatosis in patients with chronic hepatitis C virus infection. Eur. J. Clin. Microbiol. Infect. Dis. 2014, 33, 1725–1732. [Google Scholar] [CrossRef]
- Heilbronn, L.K.; Coster, A.C.; Campbell, L.V.; Greenfield, J.R.; Lange, K.; Christopher, M.J.; Meikle, P.J.; Samocha-Bonet, D. The effect of short-term overfeeding on serum lipids in healthy humans. Obesity 2013, 21, E649–E659. [Google Scholar] [CrossRef] [PubMed]
- Zhang, L.; Hu, Y.; An, Y.; Wang, Q.; Liu, J.; Wang, G. The Changes of Lipidomic Profiles Reveal Therapeutic Effects of Exenatide in Patients With Type 2 Diabetes. Front. Endocrinol. 2022, 13, 677202. [Google Scholar] [CrossRef]
- Verna, E.C.; Morelli, G.; Terrault, N.A.; Lok, A.S.; Lim, J.K.; Di Bisceglie, A.M.; Zeuzem, S.; Landis, C.S.; Kwo, P.; Hassan, M.; et al. DAA therapy and long-term hepatic function in advanced/decompensated cirrhosis: Real-world experience from HCV-TARGET cohort. J. Hepatol. 2020, 73, 540–548. [Google Scholar] [CrossRef] [PubMed]
- McGlinchey, A.J.; Govaere, O.; Geng, D.; Ratziu, V.; Allison, M.; Bousier, J.; Petta, S.; de Oliviera, C.; Bugianesi, E.; Schattenberg, J.M.; et al. Metabolic signatures across the full spectrum of non-alcoholic fatty liver disease. JHEP Rep. 2022, 4, 100477. [Google Scholar] [CrossRef] [PubMed]
- Ramos-Molina, B.; Castellano-Castillo, D.; Pastor, O.; Ocana-Wilhelmi, L.; Fernandez-Garcia, D.; Romero-Gomez, M.; Cardona, F.; Tinahones, F.J. A Pilot Study of Serum Sphingomyelin Dynamics in Subjects with Severe Obesity and Non-alcoholic Steatohepatitis after Sleeve Gastrectomy. Obes. Surg. 2019, 29, 983–989. [Google Scholar] [CrossRef]
- Singh, A.D.; Mucha, S.R.; Lindenmeyer, C.C. Cirrhotic coagulopathy: A rebalanced hemostasis. Clevel. Clin. J. Med. 2022, 89, 523–533. [Google Scholar] [CrossRef]
- Ballester, M.P.; Lluch, P.; Tosca, J.; Capilla, M.; Gomez, C.; Moreno, O.; Jordan-Iborra, C.; Sunsundegui, P.; Argemi, J.; Guijarro, J.; et al. Serum cholesterol predicts transplant-free survival in cirrhotic patients undergoing transjugular intrahepatic portosystemic shunt. Dig. Liver Dis. 2021, 53, 1596–1602. [Google Scholar] [CrossRef]
- Weigand, K.; Peschel, G.; Grimm, J.; Muller, M.; Horing, M.; Krautbauer, S.; Liebisch, G.; Buechler, C. HCV Infection and Liver Cirrhosis Are Associated with a Less-Favorable Serum Cholesteryl Ester Profile Which Improves through the Successful Treatment of HCV. Biomedicines 2022, 10, 3152. [Google Scholar] [CrossRef]
- Kinnunen, P.K.; Holopainen, J.M. Sphingomyelinase activity of LDL: A link between atherosclerosis, ceramide, and apoptosis? Trends Cardiovasc. Med. 2002, 12, 37–42. [Google Scholar] [CrossRef]
- Varlamov, O.; Bethea, C.L.; Roberts, C.T., Jr. Sex-specific differences in lipid and glucose metabolism. Front. Endocrinol. 2014, 5, 241. [Google Scholar] [CrossRef]
- European Association for the Study of the Liver; Clinical Practice Guidelines. Panel: Aghemo, A.; Berenguer, M.; Dalgard, O.; Dusheiko, G.; Marra, F.; Puoti, M.; Wedemeyer, H. Chair: Pawlotsky, J.M.. EASL Governing Board Representative: Negro, F. EASL recommendations on treatment of hepatitis C: Final update of the series. J. Hepatol. 2020, 73, 1170–1218. [Google Scholar] [CrossRef] [PubMed]
- Yen, Y.H.; Kuo, F.Y.; Chen, C.H.; Hu, T.H.; Lu, S.N.; Wang, J.H.; Hung, C.H. Ultrasound is highly specific in diagnosing compensated cirrhosis in chronic hepatitis C patients in real world clinical practice. Medicine 2019, 98, e16270. [Google Scholar] [CrossRef] [PubMed]
- McPherson, S.; Hardy, T.; Dufour, J.F.; Petta, S.; Romero-Gomez, M.; Allison, M.; Oliveira, C.P.; Francque, S.; Van Gaal, L.; Schattenberg, J.M.; et al. Age as a Confounding Factor for the Accurate Non-Invasive Diagnosis of Advanced NAFLD Fibrosis. Am. J. Gastroenterol. 2017, 112, 740–751. [Google Scholar] [CrossRef]
- Bligh, E.G.; Dyer, W.J. A rapid method of total lipid extraction and purification. Can. J. Biochem. Physiol. 1959, 37, 911–917. [Google Scholar] [CrossRef] [PubMed]
- Horing, M.; Ejsing, C.S.; Krautbauer, S.; Ertl, V.M.; Burkhardt, R.; Liebisch, G. Accurate quantification of lipid species affected by isobaric overlap in Fourier-Transform mass spectrometry. J. Lipid Res. 2021, 62, 100050. [Google Scholar] [CrossRef]






| SM Species nmol/mL | MELD Score | Bilirubin mg/dL | INR |
|---|---|---|---|
| 32:1;O2 | - | - | - |
| 33:1;O2 | - | - | - |
| 34:1;O2 | - | - | - |
| 34:2;O2 | −0.629 * | - | - |
| 35:1;O2 | - | - | - |
| 36:1;O2 | −0.663 ** | - | −0.636 * |
| 36:2;O2 | −0.724 ** | - | −0.685 ** |
| 37:1;O2 | −0.653 * | - | −0.750 *** |
| 38:1;O2 | −0.733 *** | −0.614 * | −0.749 *** |
| 38:2;O2 | −0.693 ** | - | −0.642 * |
| 39:1;O2 | −0.612 * | - | −0.667 ** |
| 40:1;O2 | −0.648 * | - | −0.666 ** |
| 40:2;O2 | −0.651 * | - | −0.631 * |
| 41:1;O2 | −0.664 ** | - | −0.672 ** |
| 41:2;O2 | - | - | - |
| 42:1;O2 | −0.610 * | - | −0.612 * |
| 42:2;O2 | - | - | - |
| 43:2;O2 | −0.604 * | - | −0.612 * |
| SM nmol/mL | Median | Minimum | Maximum | Median | Minimum | Maximum | p-Value |
|---|---|---|---|---|---|---|---|
| No Cirrhosis | Cirrhosis | ||||||
| 32:1;O2 | 11.13 | 6.33 | 21.07 | 9.86 | 5.89 | 16.02 | |
| 33:1;O2 | 6.75 | 3.83 | 13.16 | 5.83 | 2.84 | 9.23 | |
| 34:1;O2 | 122.02 | 91.74 | 200.48 | 116.07 | 74.81 | 173.25 | |
| 34:2;O2 | 16.27 | 8.35 | 28.16 | 13.02 | 6.65 | 19.27 | * |
| 35:1;O2 | 3.35 | 2.12 | 6.28 | 2.19 | 1.23 | 3.98 | ** |
| 36:1;O2 | 23.25 | 12.53 | 42.51 | 14.97 | 8.99 | 28.35 | *** |
| 36:2;O2 | 10.57 | 3.51 | 18.24 | 5.72 | 3.13 | 12.03 | *** |
| 37:1;O2 | 1.72 | 0.77 | 3.39 | 0.99 | 0.10 | 2.09 | ** |
| 38:1;O2 | 12.61 | 2.64 | 27.66 | 5.99 | 1.12 | 13.40 | *** |
| 38:2;O2 | 6.39 | 2.00 | 10.84 | 3.85 | 1.88 | 7.15 | *** |
| 39:1;O2 | 6.20 | 2.89 | 13.74 | 4.08 | 0.70 | 6.79 | ** |
| 40:1;O2 | 30.27 | 15.33 | 54.87 | 21.02 | 7.86 | 27.51 | *** |
| 40:2;O2 | 25.43 | 12.05 | 41.00 | 17.10 | 9.34 | 25.54 | *** |
| 41:1;O2 | 13.39 | 7.49 | 29.82 | 10.21 | 1.87 | 13.31 | *** |
| 41:2;O2 | 12.40 | 7.10 | 23.18 | 8.41 | 3.82 | 13.92 | *** |
| 42:1;O2 | 18.06 | 9.44 | 37.61 | 12.34 | 5.73 | 17.58 | *** |
| 42:2;O2 | 64.15 | 39.12 | 108.34 | 49.83 | 35.85 | 97.20 | * |
| 43:2;O2 | 3.25 | 1.51 | 7.03 | 2.15 | 1.13 | 4.01 | * |
| SM nmol/mL | Median | Minimum | Maximum | Median | Minimum | Maximum | p-Value |
|---|---|---|---|---|---|---|---|
| No Cirrhosis | Cirrhosis | ||||||
| 32:1;O2 | 9.57 | 5.43 | 19.18 | 9.02 | 5.43 | 16.87 | |
| 33:1;O2 | 5.61 | 3.44 | 11.84 | 5.60 | 2.26 | 8.69 | |
| 34:1;O2 | 120.40 | 75.18 | 178.35 | 112.46 | 75.12 | 174.24 | |
| 34:2;O2 | 13.74 | 8.36 | 22.51 | 10.92 | 4.36 | 19.75 | ** |
| 35:1;O2 | 2.76 | 1.38 | 5.73 | 2.39 | 1.04 | 4.32 | |
| 36:1;O2 | 21.32 | 10.61 | 37.17 | 15.09 | 6.78 | 26.46 | ** |
| 36:2;O2 | 8.72 | 3.88 | 14.85 | 5.19 | 2.37 | 9.79 | *** |
| 37:1;O2 | 1.32 | 0.35 | 3.13 | 0.90 | 0.24 | 2.15 | |
| 38:1;O2 | 10.40 | 3.05 | 23.22 | 5.34 | 1.39 | 15.55 | *** |
| 38:2;O2 | 5.39 | 2.30 | 9.57 | 3.37 | 1.10 | 5.88 | *** |
| 39:1;O2 | 4.93 | 2.74 | 10.88 | 3.44 | 1.21 | 8.89 | ** |
| 40:1;O2 | 29.01 | 16.88 | 45.71 | 18.08 | 7.27 | 32.44 | *** |
| 40:2;O2 | 21.41 | 11.55 | 36.39 | 14.41 | 8.92 | 26.34 | *** |
| 41:1;O2 | 12.48 | 7.59 | 20.69 | 8.63 | 2.99 | 17.91 | *** |
| 41:2;O2 | 10.38 | 5.54 | 19.64 | 7.60 | 5.07 | 14.46 | ** |
| 42:1;O2 | 18.42 | 10.78 | 29.76 | 11.77 | 5.74 | 20.73 | *** |
| 42:2;O2 | 65.88 | 39.16 | 122.82 | 50.87 | 35.44 | 92.66 | |
| 43:2;O2 | 2.90 | 1.36 | 6.10 | 2.06 | 1.19 | 4.65 | |
Disclaimer/Publisher’s Note: The statements, opinions and data contained in all publications are solely those of the individual author(s) and contributor(s) and not of MDPI and/or the editor(s). MDPI and/or the editor(s) disclaim responsibility for any injury to people or property resulting from any ideas, methods, instructions or products referred to in the content. |
© 2023 by the authors. Licensee MDPI, Basel, Switzerland. This article is an open access article distributed under the terms and conditions of the Creative Commons Attribution (CC BY) license (https://creativecommons.org/licenses/by/4.0/).
Share and Cite
Peschel, G.; Weigand, K.; Grimm, J.; Müller, M.; Krautbauer, S.; Höring, M.; Liebisch, G.; Buechler, C. Gender-Specific Differences in Serum Sphingomyelin Species in Patients with Hepatitis C Virus Infection—Sphingomyelin Species Are Related to the Model of End-Stage Liver Disease (MELD) Score in Male Patients. Int. J. Mol. Sci. 2023, 24, 8402. https://doi.org/10.3390/ijms24098402
Peschel G, Weigand K, Grimm J, Müller M, Krautbauer S, Höring M, Liebisch G, Buechler C. Gender-Specific Differences in Serum Sphingomyelin Species in Patients with Hepatitis C Virus Infection—Sphingomyelin Species Are Related to the Model of End-Stage Liver Disease (MELD) Score in Male Patients. International Journal of Molecular Sciences. 2023; 24(9):8402. https://doi.org/10.3390/ijms24098402
Chicago/Turabian StylePeschel, Georg, Kilian Weigand, Jonathan Grimm, Martina Müller, Sabrina Krautbauer, Marcus Höring, Gerhard Liebisch, and Christa Buechler. 2023. "Gender-Specific Differences in Serum Sphingomyelin Species in Patients with Hepatitis C Virus Infection—Sphingomyelin Species Are Related to the Model of End-Stage Liver Disease (MELD) Score in Male Patients" International Journal of Molecular Sciences 24, no. 9: 8402. https://doi.org/10.3390/ijms24098402
APA StylePeschel, G., Weigand, K., Grimm, J., Müller, M., Krautbauer, S., Höring, M., Liebisch, G., & Buechler, C. (2023). Gender-Specific Differences in Serum Sphingomyelin Species in Patients with Hepatitis C Virus Infection—Sphingomyelin Species Are Related to the Model of End-Stage Liver Disease (MELD) Score in Male Patients. International Journal of Molecular Sciences, 24(9), 8402. https://doi.org/10.3390/ijms24098402

