Next Article in Journal
Targeting TRP Channels for Pain, Itch and Neurogenic Inflammation
Previous Article in Journal
Diagnostic Algorithm to Subclassify Atypical Spitzoid Tumors in Low and High Risk According to Their Methylation Status
 
 
Font Type:
Arial Georgia Verdana
Font Size:
Aa Aa Aa
Line Spacing:
Column Width:
Background:
Article

Hyper-Production of Pullulan by a Novel Fungus of Aureobasidium melanogenum ZH27 through Batch Fermentation

1
Guangdong Provincial Key Laboratory of Marine Resources and Coastal Engineering, School of Marine Sciences, Sun Yat-Sen University, Zhuhai 519082, China
2
Guangdong Engineering Laboratory of Biomass High-Value Utilization, Institute of Biological and Medical Engineering, Guangdong Academy of Sciences, Guangzhou 510316, China
*
Authors to whom correspondence should be addressed.
These authors contributed equally to this work.
Int. J. Mol. Sci. 2024, 25(1), 319; https://doi.org/10.3390/ijms25010319
Submission received: 13 September 2023 / Revised: 9 November 2023 / Accepted: 21 December 2023 / Published: 25 December 2023
(This article belongs to the Section Macromolecules)

Abstract

:
Pullulan, which is a microbial exopolysaccharide, has found widespread applications in foods, biomedicines, and cosmetics. Despite its versatility, most wild-type strains tend to yield low levels of pullulan production, and their mutants present genetic instability, achieving a limited increase in pullulan production. Therefore, mining new wild strains with robust pullulan-producing abilities remains an urgent concern. In this study, we found a novel strain, namely, Aureobasidium melanogenum ZH27, that had a remarkable pullulan-producing capacity and optimized its cultivation conditions using the one-factor-at-a-time method. To elucidate the reasons that drove the hyper-production of pullulan, we scrutinized changes in cell morphology and gene expressions. The results reveal that strain ZH27 achieved 115.4 ± 1.82 g/L pullulan with a productivity of 0.87 g/L/h during batch fermentation within 132 h under the optimized condition (OC). This pullulan titer increased by 105% compared with the initial condition (IC). Intriguingly, under the OC, swollen cells featuring 1–2 large vacuoles predominated during a rapid pullulan accumulation, while these swollen cells with one large vacuole and several smaller ones were prevalent under the IC. Moreover, the expressions of genes associated with pullulan accumulation and by-product synthesis were almost all upregulated. These findings suggest that swollen cells and large vacuoles may play pivotal roles in the high level of pullulan production, and the accumulation of by-products also potentially contributes to pullulan synthesis. This study provides a novel and promising candidate for industrial pullulan production.

1. Introduction

Pullulan is a valuable and renewable exopolysaccharide (EPS) synthesized by the yeast-like fungi Aureobasidium [1]. It comprises repeating maltotriose subunits (three glucoses linked via two α-(1→4) glycosidic bonds) linked via α-(1→6) glycosidic bonds [2], which impart unique physico-chemical properties, including water solubility, adhesive ability, structural flexibility and elasticity, film-forming ability, oxygen impermeability, biocompatibility, and biodegradability [3,4]. Most yeasts with the ability to produce pullulan are generally regarded as safe (GRAS) [4,5]. Notably, pullulan has gained approval as an ingredient in foods and drugs in Japan, USA, Europe, and China, and as a fresh-keeping agent and stabilizer [4]. Moreover, pullulan-based capsule shells are also considered safe and manufactured by reputable companies, such as Hayashibara Co., Ltd. (Okayama, Japan) and Shandong Kangnaxin Biotechnology Co. Ltd. (Weifang, China) [4]. Nowadays, pullulan and its derivatives have extensive applications in various sectors, including food, packaging, biomedicine, cosmetics, and environmental remediation [6]. Consequently, pullulan has emerged as a multifunctional EPS with numerous benefits for human well-being and the environment.
Aureobasidium spp. strains are well known to be the primary producers of pullulan. The strains are multicellular fungi encompassing yeast-like cells, swollen cells, conidia, chlamydospores, and mycelia types that thrive in diverse habitats, such as soils, plant leaves, oceans, and extreme environments [7,8,9]. Among the species of Aureobasidium, A. pullulans and A. melanogenum emerge as the most robust pullulan producers [1,10,11]. However, most wild-type strains yield less than 78 g/L of pullulan [2,3,8,12]. Only a few wild isolates were found to produce relatively high pullulan titers (>100 g/L). For instance, A. melanogenum A4 using maltose achieved 122.3 g/L pullulan with a yield of 0.4 g/g via fed-batch fermentation and another strain A. melanogenum TN1-2 produced 114 g/L pullulan from sucrose with 0.81 g/g yield via batch fermentation [10,13]. Some engineered mutants also exhibited distinctly elevated pullulan production, such as the mutant A. pullulans M233-20, which produced 162.3 g/L pullulan [14]. To improve pullulan production, various measures, including condition optimization, mutagenesis, genetic modification, and substance addition, were employed [9,15,16]. However, the improvements in pullulan production achieved using these measures were limited to no more than 35%, which, in return, impacted the molecular weight of pullulan [1,15,17]. Hence, the above-mentioned measures are still insufficient to meet the requirements of efficient and high-quality industrial pullulan production. On the other hand, high pullulan production requires high sugar concentrations, which increase the osmotic stress and actually make osmophilic or osmotolerant strains more suitable for pullulan production [18].
Most Aureobasidium strains prefer to use sucrose as the best carbon source for pullulan production, while only a small amount of them prefer utilizing glucose, fructose, or maltose [2,10,18,19]. For example, A. melanogenium P16 produced the highest pullulan titer (65.3 g/L) using sucrose in comparison with glucose, fructose, glycerol, and inulin [12]. However, in addition to pullulan production, Aureobasidium strains have the ability to convert sucrose into several by-products, such as fructooligosaccharides (FOSs), trehalose, and glycerol, which contribute to mediate osmotic stress and cell survival [13,20]. Yet, the accumulation of these by-products reduces the carbon metabolic flux toward pullulan synthesis, potentially reducing pullulan yield [13,20].
To meet the demands for industrial production and applications of pullulan, it is imperative to possess wild-type strains that exhibit robust pullulan-producing capabilities. However, the availability of such strains remains limited. This study focused on systematically investigating a newly discovered strain ZH27, which showed a high-level EPS-producing capacity and was suspected to be Aureobasidium melanogenum. The conditions for EPS production were optimized using the one-factor-at-a-time method. Subsequently, the structure of purified EPS was identified through enzyme hydrolysis, thin-layer chromatography (TLC), and Fourier-transform infrared spectroscopy (FTIR). Furthermore, we sought to understand the reasons behind the high levels of pullulan production by strain ZH27, which were elucidated by examining changes in cell morphology and gene expressions associated with the syntheses of pullulan and by-products (FOSs, trehalose, and glycerol).

2. Results

2.1. Screening and Identification of EPS-Producing Strains

Microorganisms capable of producing EPS are ubiquitously distributed in diverse environments due to the protective properties of EPS and various secreted enzymes for degrading organics for growth. In this study, a novel strain ZH27 sharing features reminiscent of Aureobasidium strains was screened through colony characteristics. Strain ZH27 produced a remarkable EPS production of 40 ± 1.2 g/L during the initial screening phase, surpassing the levels observed in two other isolates (30–33 g/L). Aureobasidium strains exhibit varied morphological features under different conditions [9]. When cultivated on YPD (1.0% yeast extract, 2.0% peptone, 2.0% glucose, and 1.5% agar) plates for 2.5 days, the colonies of strain ZH27 developed gradually into light pink, sticky, smooth, and round structures with radial mycelia, which were surrounded or coated by EPS (Figure 1A(a)). By the fifth day, the colonies underwent a transition into non-tacky and thick textures with a milk-white feature (Figure 1A(b)). In contrast, the colonies on the potato dextrose medium (PDA) plates displayed a predominantly white appearance with radial mycelia for 2.5 days (Figure 1A(c)). Subsequently, the color of the colonies turned into a yellowish-brown, culminating in complete black (Figure 1A(d,e). Furthermore, three distinct cell types (yeast-like cells, blastospores, and mycelia) of strain ZH27 were observed in the liquid YPD (Figure 1A(f)).
To identify strain ZH27, the phylogenetic tree was constructed using neighbor-joining analysis based on the internal transcribed spacer (ITS) sequences. As depicted in Figure 1B, strain ZH27 (GenBank no. MN658859) shared a phylogenetic similarity of 99.82% with A. melanogenum strains ATCC 9348 and CBS 123.37. Both morphological characteristics and molecular identification strongly support the classification of strain ZH27 as one member of the A. melanogenum species.

2.2. Optimization for EPS Production

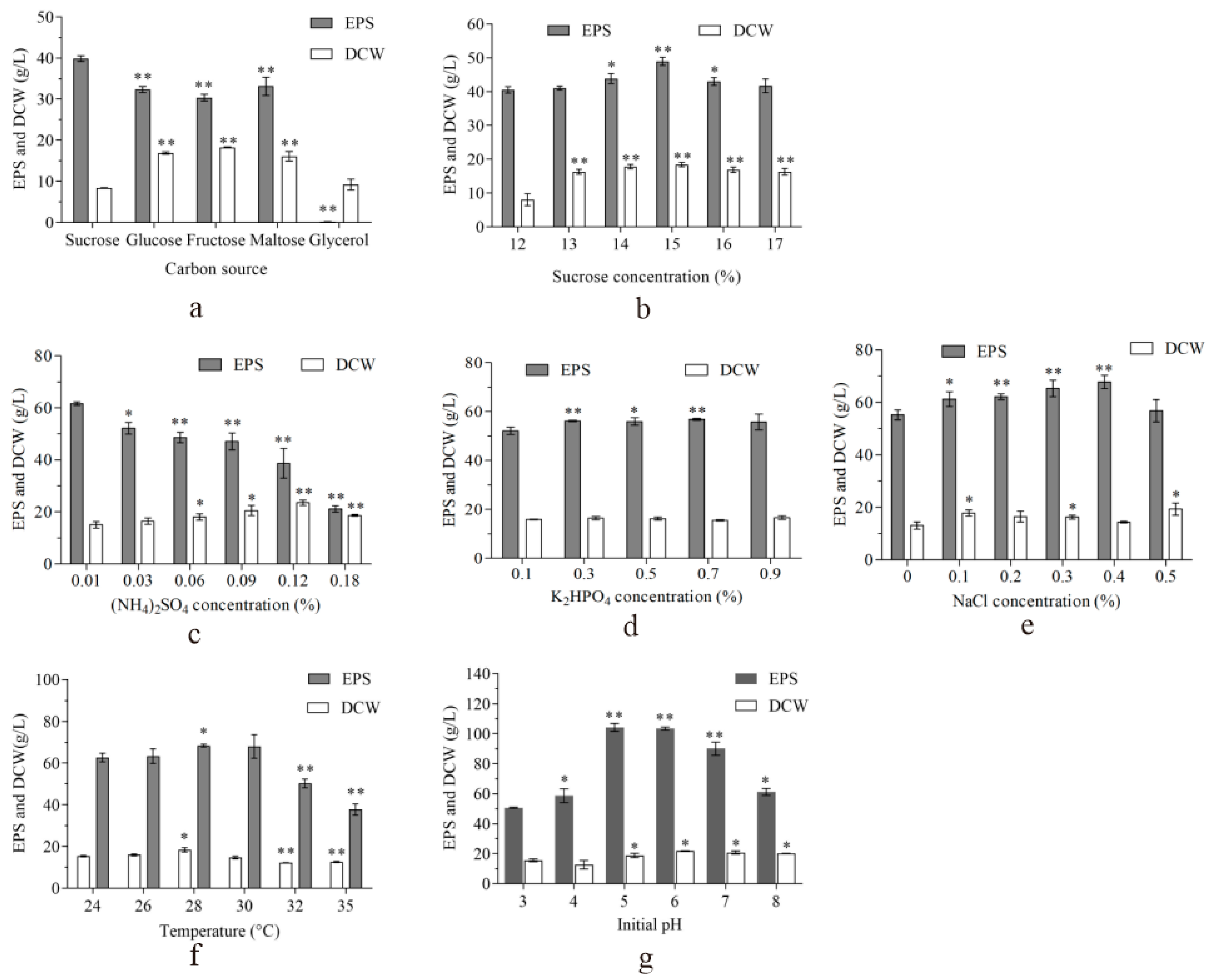
The medium composition is a crucial factor that influences the yield of EPS [7]. Therefore, the optimization was performed for strain ZH27 to improve the EPS titer in this study. Figure 2a reveals that strain ZH27 using sucrose achieved the highest EPS titer of 40 g/L and simultaneously the lowest dried cell weight (DCW) among all the carbon sources (sucrose, glucose, fructose, maltose, and glycerol). Moreover, the EPS titers increased with sucrose concentrations rising up to 15%, after which they declined (Figure 2b), while the corresponding DCWs of strain ZH27 showed insignificant changes within the range of sucrose concentrations (13–17%) (Figure 2b). Clearly, the results indicate that sucrose emerged as the optimal carbon source for EPS production by strain ZH27, yielding the highest EPS titer of 49 ± 1.17 g/L at 15% sucrose.
Ammonium sulfate ((NH4)2SO4) depletion is known to induce EPS synthesis in microorganisms [7]. The EPS titers decreased continually with increasing (NH4)2SO4 concentrations, while the DCWs exhibited an increase followed by a decrease beyond 0.12% (NH4)2SO4 (Figure 2c). This suggests nitrogen catabolite repression (NCR) appeared in EPS synthesis by strain ZH27 after 0.12% (NH4)2SO4, and 0.01% (NH4)2SO4 was identified as the preferred concentration for EPS production. Figure 2d shows that higher EPS titers were achieved at 0.3–0.7% K2HPO4 compared with 0.1% K2HPO4 and remained relatively stable, mirroring biomass changes. This suggests that 0.3% K2HPO4 is optimal for EPS synthesis by strain ZH27, indicating a relative insensitivity to changes in K2HPO4 concentrations. Strain ZH27 from a mangrove ecosystem exhibited a degree of salt stress tolerance [21]. Improved growth of strain ZH27 was observed at 0.1–0.5% NaCl compared with no NaCl, with DCWs declining below 0.4% NaCl but peaking at 0.5% NaCl (Figure 2e). Simultaneously, the highest EPS titer of 67.8 ± 2.5 g/L was achieved at 0.4% NaCl (Figure 2e).
The cell growth and cellular metabolic capacity of strain ZH27 were influenced by the culture conditions. Figure 2f shows that EPS titers and biomass of strain ZH27 all exhibited upward trends as the temperature increased to 28 °C and then declined, indicating that 28 °C was the most favorable temperature for strain ZH27 to produce EPS (68.5 ± 0.63 g/L). Additionally, strain ZH27 achieved the maximum EPS titer (108 ± 2.2 g/L) at an initial pH of 5, associating with insignificant changes in biomass beyond the optimal pH value (Figure 2g).
Consequently, the final enhanced medium (EM) comprised 15% sucrose, 0.3% yeast extract, 0.3 % K2HPO4, 0.02% MgSO4·7H2O, 0.4% NaCl, and 0.01% (NH4)2SO4, with an initial pH of 5 at 28 °C.

2.3. Structural Analysis of EPS

The analysis of the EPS structure involved pullulanase hydrolysis, TLC, and FTIR. Pullulanase specifically hydrolyzes pullulan to produce maltotriose [14]. After purification, the purified EPS, when hydrolyzed by pullulanase, released a significantly higher quantity of reducing sugars, increasing by 110.7-fold compared with the control. In contrast, the reducing sugars from a commercial pullulan increased by 3.83-fold (Figure 3a). Moreover, the migration heights of components in hydrolysates from the purified EPS and commercial pullulan on a TLC plate matched that of maltotriose (1%) (Figure 3b), affirming the presence of maltotriose in the purified EPS. These results indicate that the EPS produced by strain ZH27 was pullulan.
Further confirmation of the structure and elemental composition of the purified EPS was obtained via FTIR analysis. The FTIR spectrum of the purified EPS closely resembled that of a commercial pullulan (Figure 3c). The absorption peak at 3423.03 cm−1 for the purified EPS was close to that (3396.03 cm−1) of commercial pullulan (Table S2), signifying the presence of the stretching vibration of hydroxyl groups (–OH) in the EPS [2]. The signal near 2923.60 cm−1 from both samples was attributed to the stretching vibration of the C–H bonds in methylidyne and methylene of sugar rings [10]. Additionally, the characteristic bonds O–C–O, C–O–C, C–O, and C–O–H in the purified EPS were identified on the basis of absorption peaks near 1637.29 cm−1, 1159.03 cm−1, 1025.96 cm−1, 1427.09 cm−1, and 1371.16 cm−1, respectively (Table S2). Notably, the presence of α-1,6-D-glucosidic linkages, α-D-glucopyranose, and α-1,4-glucosidic linkages was verified by the absorption peaks at 933.38 cm−1, 852.40 cm−1, and 755.97 cm−1, respectively. The functional groups in the EPS closely resembled those in the commercial pullulan, providing additional confirmation that the EPS derived from strain ZH27 was indeed pullulan.

2.4. Comparison of Pullulan Production between the IC and OC

To evaluate the pullulan produced by strain ZH27, cultivations were scaled up to 7 L under the initial condition (IC) and optimized condition (OC). In order to enhance the pullulan titer, the use of YPS medium (using sucrose to replace glucose in YPD) was established as the optimal seed medium for incubating strain ZH27 for 36 h with a suitable inoculum size of 5% for fermentation (Figure S1). Figure 4 illustrates that pullulan titers under the OC experienced a rapid accumulation after 36 h, reaching a maximum of 115.4 ± 1.82 g/L with a yield of 0.77 g/g and a productivity of 0.87 g/L/h at 132 h. This pullulan titer was more than twice compared with that under the IC. Total sugars under the OC were utilized more rapidly and more thoroughly than those under the IC, leaving the total sugar content of 9.6% at 132 h (Figure 4). The consumption rate of total sugars under the OC within 132 h was 1.03 g/L/h, which was higher than the rate of 0.67 g/L/h under the IC (Figure 4). Interestingly, the reducing sugars maintained relatively high levels under the OC within the first 60 h but were subsequently consumed more rapidly and more completely compared with those under the IC (Figure 4). There were slight increases in DCWs and growth rates under the OC than those under the IC after 60 h (Figure 4). The DCW (21.4 ± 0.3 g/L) and growth rate (0.16 g/L/h) of strain ZH27 under the OC at 132 h were slightly higher than those under the IC (DCW, 20.4 ± 0.2 g/L; growth rate, 0.15 g/L/h). These results indicate that the cells of strain ZH27 exhibited robust growth and high pullulan production under high osmotic stress. Notably, the final supernatant viscosity at 132 h significantly decreased to 306 mPa·s under the OC compared with that (10,753 mPa·s) under the IC (Table S3). This highlights that the optimization of conditions for pullulan production by strain ZH27 can remarkably enhance its production level.

2.5. Probable Reasons for Hyper-Production of Pullulan

Compared with the pullulan titer under the IC, higher pullulan production was achieved by strain ZH27 under the OC. We considered that the OC with a higher concentration of sucrose and a lower concentration of (NH4)2SO4 was characterized by a high osmotic stress and a high ratio of carbon to nitrogen (C/N). These conditions are likely to trigger self-regulation in the cells of strain ZH27, influencing multiple aspects, such as cell morphology and gene expressions, to adapt to the environment under the OC.

2.5.1. Dynamic Changes in Cell Morphology during Batch Fermentation

Aureobasidium fungus displayed various cell types during the fermentation process. As depicted in Figure 5, the cells of strain ZH27 under both the OC and IC primarily developed into yeast-like cells, arthroconidia, and mycelia at the initial stage of fermentation (12–48 h). However, a significant difference emerged between the two conditions beyond this point. Under the OC (48–132 h), cells further differentiated into dominant swollen cells with a small amount of yeast-like cells. In contrast, swollen cells were also predominant under the IC during the same period but only accompanied by a small number of yeast-like cells, arthroconidia, and mycelia. Ultimately, chlamydospores formed earlier (96 h) under the IC compared with the OC (144 h). Notably, most of the swollen cells under the OC contained 1–2 large vacuoles but the swollen cells with one vacuole were dominant after 48 h, whereas swollen cells under the IC had one large vacuole and several small ones (Figure 5).
Previous studies suggested that yeast-like cells can differentiate into swollen cells via the regulation of low pH values (<6.0) [22]. Figure 5 shows that the hyper-osmotic stress and low pH values (ultimately 3.57) (Table S3) under the OC prompted the cells of strain ZH27 to form swollen cells earlier and more extensively than those under the IC. This resulted in an evident difference in vacuoles within swollen cells and delayed the formation of chlamydospores. However, a previous study proposed that the arthroconidia of A. melanogenum TN3-1 and numerous small vacuoles might allow for withstanding high osmotic stress and producing high pullulan titers [18]. This finding contrasts with our observations under the OC.

2.5.2. Expression Changes of the Genes in Pullulan Synthesis and Carbon Metabolism

Compared with the transcriptional gene expression of strain ZH27 under the IC, quantitative real-time PCR (qPCR) tests revealed significant transcriptional changes in its genes involved in carbon metabolism and pullulan synthesis under the OC. During the stage where sucrose entered the cells, three genes encoding glucose transporters and SUC2 encoding the sucrose-proton symporter were significantly upregulated under the OC (Table 1). Most genes associated with carbon metabolism, pullulan synthesis and regulation showed upregulated expressions, including GluK encoding glucose kinase, UGP encoding UDPG-pyrophosphorylase, UGT1 encoding UDP-glucosyltranferase, Ags2 encoding α-glucan synthase 2, and PUL1 encoding pullulan synthetase, which were upregulated by 18.4-, 2.15-, 46.4-, 3.7-, and 4.4-fold, respectively (Table 1). Additionally, the transcriptional levels of glycolipid transfer protein genes Apo and Gltp were also upregulated by 1.54- and 3.78-fold, respectively (Table 1). These findings indicate enhanced gene expression levels in most steps of the proposed pullulan synthesis pathway.
Moreover, the expressions of genes related to the synthesis of by-products and metabolism also underwent some changes. FOS synthesis was likely intensified due to upregulated expressions of fructoslytranserase genes (FFases) encoding fructoslytranserases by 2.2–3.7-fold, and their transcription factor gene FTR1 was upregulated by 3.3-fold (Table 1). Similarly, the transcriptional levels of the α-trehalose-6-phosphate synthase gene (TPS1) and trehalose-6-phosphate phosphatase gene (TPP) responsible for trehalose synthesis were upregulated by 5.0-, and 2.8-fold respectively, potentially strengthening the trehalose synthesis and UDPG consumption (Table 1). Additionally, two key genes of glycerol-3-phosphate dehydrogenase gene (GPD) and glycerol-3-phosphatase gene (GPP) required for glycerol synthesis were upregulated by 3.8- and 13.4-fold, respectively, and probably improved the glycerol synthesis (Table 1). Interestingly, high expressions (2.0–18.4-fold) of genes encoding three rate-limiting enzymes (glucose kinase (GluK), phosphofructo-kinase (PFK), and pyruvate kinase (PYK)), glyceraldehyde-3-phosphate dehydrogenase (G3P), and phosphoglycerate kinase (PGK) efficiently accelerated glycolysis and generated more pyruvate (Table 1). Subsequently, acetyl-CoA could be converted from pyruvate by the pyruvate decarboxylase gene (PYD), which was upregulated by 2.45-fold.
Various regulatory factors play crucial roles in responding to high osmotic stress and regulating metabolite synthesis [1]. The glucose repressor CreA, which is a key protein in carbon catabolite repression, was upregulated by 2.23-fold in strain ZH27 under the OC and potentially suppressed pullulan synthesis (Table 1). Moreover, two GATA factors (AreA activator and AreB repressor) with important effects on NCR exhibited changes under the OC. The upregulation of AreA (1.36-fold) and downregulation of AreB (0.85-fold) under the OC seemed to facilitate pullulan synthesis (Table 1). In the pathway of the high osmolarity glycerol mitogen-activated protein kinase (HOG-MAPK), the expressions of Hog1 (2.60-fold) and high osmolarity signaling factor Sho1 (1.60-fold) were all upregulated (Table 1), contributing to balancing osmotic stress by regulating the expressions of osmoresponsive genes [13,23]. In addition, Msn2, which is a global regulator, was also distinctly upregulated in strain ZH27 under the OC by 2.29-fold.

3. Discussion

Pullulan, which is a versatile and valuable EPS produced by Aureobasidium strains, has diverse applications that benefit both health and the environment [4]. Some wild-type Aureobasidium strains can achieve relatively high pullulan levels (>100 g/L) [1], while the majority of them are limited to low levels of pullulan production (≤78 g/L) [3,8,12]. Various approaches, including strain screening, mutagenesis, and genetic modification, have been explored to enhance pullulan production [1,9,14]. However, these methods come with challenges, such as genetic instability and strain degeneration due to genomic rearrangements [24]. The genetic instability of mutants [24] and their limited increase in pullulan titers [1,25] have posed challenges for industrial pullulan production, emphasizing the urgent demand for wild-type strains with high pullulan-producing abilities. In this study, we identified and investigated promising target strains with the potential for high pullulan production, confirming the EPS produced as pullulan. Subsequently, we delved into changes in cell morphology and gene expressions during pullulan synthesis after optimizing conditions.

3.1. Strain ZH27 Is a Promising Candidate for Pullulan Synthesis

The target strain ZH27, while producing 40 g/L EPS, was obtained during the initial screening step. In comparison with EPS titers (<30 g/L) derived from the initial screening step in previous studies [2,10], strain ZH27 is considered to produce a relatively high EPS titer. Moreover, it is even comparable to the EPS titer (45.7 g/L) produced by A. melanogenum 13-2 at 96 h [8], suggesting that strain ZH27 may be a potential candidate for EPS production. It exhibited multiple cell types and variable colony colors (Figure 1A), which are quite similar to the features of Aureobasidium strains [8,9]. As well-known black yeasts, Aureobasidium strains consist of five cell morphologies and synthesize several products (e.g., pullulan, polymalate, and biosurfactant) in response to environmental stress [26,27]. These observations indicate that strain ZH27 may belong to one member of A. melanogenum (Figure 1B). However, the colonies of strain ZH27 surrounded by radial mycelia displayed different characteristics compared with the colonies of other A. melanogenum strains, which were covered by EPS but lacked radial mycelia [8,13].
Pullulan is composed of maltotriose units connected by α-(1→6) glycosidic bonds, which can be specifically hydrolyzed by pullulanase. Various methods, including TLC, FTIR, and nuclear magnetic resonance spectroscopy, have been employed to determine the molecular structure of pullulan [2,19]. In this study, after optimization (discussed in the following part), the EPS produced by strain ZH27 was hydrolyzed by pullulanase, generating maltotriose and glucose (Figure 3a,b), which is consistent with previous results [10,13]. Furthermore, FTIR analysis revealed that the EPS from strain ZH27 exhibited functional groups, such as O–C–O (1637.29 cm−1) and C–O–C (1159.03 cm−1), and characteristic α-1,6-glucosidic and α-1,4-glucosidic linkages, which closely resembled those present in a standard pullulan (Table S2). These results are also in agreement with previous findings [2,3,28].

3.2. Robust Pullulan Synthesis by Strain ZH27 after Optimization

Pullulan titers generally depend on high concentrations of carbon sources [29]. In the quest for high pullulan production, we optimized several key factors. Notably, strain ZH27 exhibited a preference for 15% sucrose as the optimal carbon source, which is a concentration rarely reached by wild-type strains (Figure 2a,b). Interestingly, except for mutant M233-20, which evolved from whole-cell mutagenesis to be able to convert 20% glucose into pullulan [14], 15% sucrose was the highest concentration of single sugar (Figure 2b) used to produce pullulan by wild-type strains so far [1,7]. It was found that the wild-type strain ZH27 showed tolerance to hyper-osmotic stress. Its pullulan accumulation was significantly and negatively influenced by (NH4)2SO4 concentrations, which is sensitive to (NH4)2SO4 concentrations due to occurrence of NCR at 0.12% (NH4)2SO4 (Figure 2c), while A. pullulans CCTCC M201225 and A. melanogenum P16 exhibit NCR at 0.24–0.30% (NH4)2SO4 [30,31]. Thus, a low concentration of (NH4)2SO4 (0.01%) was found to be preferable for pullulan production, redirecting carbon flux toward metabolite synthesis rather than biomass formation by activating some enzymes and enhancing the ATP supply [31].
K2HPO4, which is a crucial factor known to influence pullulan production [19,32], did not significantly impact strain ZH27 to produce pullulan, highlighting differences in sensitivities between different strains and their regulation to the genes involved in pullulan synthesis (Figure 2d) [2,13]. The pullulan production of strain ZH27 was also sensitive to changes in NaCl concentrations, with the highest pullulan titer (67.8 ± 2.5 g/L) observed at 0.4% NaCl and an increase of 11% compared with the control at 0.1% NaCl (Figure 2e). This change is similar to a previously reported increase of 26.7% at 0.3% NaCl [33]. Interestingly, the highest biomass of strain ZH27 occurred at 0.5% NaCl, likely due to the formation of small molecules (e.g., glycerol) for self-protection against high salinity and osmotic stress. Consequently, enhancing carbon flow toward biomass replaced pullulan synthesis [34]. Moreover, high expressions of some enzymes (e.g., amylases) induced by high NaCl concentrations probably contributed to the reduction in pullulan titers [33]. These findings highlight the complicated interplay of factors influencing pullulan production in strain ZH27.
Many Aureobasidum strains optimally produce pullulan within the temperature range of 24–30 °C [6]. Nevertheless, a temperature suitable for cell growth may not always favor metabolite synthesis. For instance, A. pullulans CGMCC1234 grew well at 32 °C but favored producing pullulan at 26 °C, implying that a two-step temperature regulation might enhance pullulan production [35]. Interestingly, Hilares et al. (2019) reported that the optimal temperature for both cell growth and pullulan synthesis of A. pullulans LB83 was the same (25 °C) [36]. Hence, temperature is considered an important regulator for pullulan synthesis. Indeed, the pullulan yield was remarkably restricted at lower initial pH values (<5.0) or higher ones (>7.0), indicating that initial pH values sensitively influence the pullulan-producing process of strain ZH27 (Figure 2g). At different pH values, pullulan-producing strains may exhibit specific cell types that are likely required for pullulan synthesis. These findings emphasize the importance of precise environmental conditions for efficient pullulan synthesis.
Recently, a few wild-type strains have achieved pullulan levels over 100 g/L (Table 2). Several A. melanogenum strains can produce high pullulan titers (110–122.3 g/L), but some of them have very low yields (<0.5 g/g) [10,13,18]. Therefore, it is still urgent to mine novel strains to produce pullulan with high titer, high yield, and high productivity. After optimization, strain ZH27 exhibited a remarkable pullulan production capability, achieving a pullulan titer of 115.4 ± 1.82 g/L at 132 h and an improvement of 105% under the OC compared with the IC (Figure 4). Simultaneously, strain ZH27 exhibited a high pullulan yield (0.77 g/g), productivity (0.87 g/L/h), and DCW (21.4 g/L) through batch fermentation (Figure 4). Notably, more than 90% of sugars were utilized for pullulan synthesis and cell growth, reflecting a high efficiency compared with the reported pullulan titers (48.9–66.8 g/L) produced by A. pullulans strains RBF-4A3 and MR using 15% glucose or sucrose within 144 h [29,37]. This implies that the efficient pullulan synthesis of strain ZH27 may be attributed to its good adaptability to high osmotic tolerance. The pullulan yield (0.77 g/g) of strain ZH27 using sucrose was close to the reported one (~0.80 g/g) from high pullulan-producing wild-type A. melanogenum strains [13,18]. As for the productivity (0.87 g/L/h), it achieved a high level via batch fermentation among the wild-type strains, even though it was lower than those from fed-batch fermentation or some mutants [10,11,13,14]. Notably, the lower supernatant viscosity under the OC might result from high expressions of some enzymes (e.g., α-amylase and pullulanase) that hydrolyze pullulan (Table 2), just as reported by a previous study [38]. More importantly, pullulan produced by strain ZH27 was free of melanin during fermentation (Figure S2), making it a promising candidate for the industrial production of melanin-free pullulan.

3.3. Swollen Cells, By-Products, and High Expressions of Related Genes May Be Required for Efficient Pullulan Production

Several cell types may coexist in a certain cultivation period, while the rest may not. The differentiation of cells in strain ZH27 under the OC revealed a shift toward mainly swollen cells after 48 h, contrasting with the control under the IC. The occurrence of chlamydospores was minimal within 132 h under the OC (Figure 5), and most swollen cells during this period contained 1–2 large vacuoles, which differed from the main single large vacuole with several small ones in the control (Figure 5). These changes in cell differentiation and vacuole characteristics were likely influenced by variations in nutrients and pH values, impacting pullulan synthesis. Swollen cells emerged as a prominent cell type during pullulan synthesis in A. pullulans NG [40], exhibiting a robust stress defense and antioxidative capabilities compared with yeast-like cells [22]. As shown in Figure 5, swollen cells under the OC seemed to have a stronger and more stable ability to withstand environmental stress, which may require for high levels of pullulan production. Simultaneously, the number and volume of vacuoles in the swollen cells of strain ZH27 are speculated to play a crucial role in pullulan synthesis. The distinct features of vacuoles in the swollen cells of strain ZH27 compared with strain TN3-1 may account for the resistance to high osmotic stress and high levels of pullulan production [18].
It was found that A. pullulans NG grew well under the nutrient-rich condition but produced mycelia and chlamydospores under the nutrient-poor condition; while the osmotic stress prevented the differentiation of yeast-like cells into two types of the above-mentioned cells [41]. Both one type of cells (e.g., yeast-like cells [13], swollen cells [40], or arthroconidia [18]) and two types of cells (e.g., yeast-like cells and swollen cells) [9] were conducive to pullulan synthesis. However, the exact cell type responsible for pullulan synthesis in Aureobasidium strains remains unclear [1]. Moreover, the pH is identified as another factor that influences cell morphology and pullulan yield [42]. Yeast-like cells as core cells mainly occurred at the beginning of cultivation with higher pH values (≥6.0), while low pH values induced the differentiation of yeast-like cells into swollen cells [22]. The regulation of pH values seems to be a crucial factor in determining the cell types during the cultivation period.
Under high osmotic stress, genes related to the syntheses of pullulan and by-products in strain ZH27 underwent some significant changes [1] (Figure 6). First, enhanced expressions of glucose transporters and SUC2 under the OC suggest an efficient transport of sucrose and newly generated glucose into cells, which agrees with the way sucrose enters the cells of A. pullulans for polymalate synthesis [43]. Then, all of the genes involved in pullulan synthesis were upregulated except PGM under the OC, which contributed to the high level of pullulan production (Table 1). For instance, the high expressions of Apo and Gltp (1.54–3.78 folds) responsible for the formation of Lph-glucose seemed to promote pullulan synthesis (Table 1). These observations are consistent with the previous report stating that the over-expression of Apo resulted in an increase of ~10% in pullulan titer [44]. The upregulated expression of Ags2 (3.7-fold) would probably accelerate the formation and transportation of pullulan precursors and facilitate pullulan synthesis [15]. During pullulan synthesis, UDPG transformed by UGP could also synthesize several products (e.g., trehalose and glycogen), but it was the sole precursor for pullulan synthesis. Consequently, the upregulation of the UGP expression (2.2-fold) probably facilitated the efficient pullulan synthesis by strain ZH27 [2].
During pullulan synthesis under high sucrose concentrations, Aureobasidium strains also produce by-products, mainly including FOSs, trehalose, and glycerol [20,45]. FOSs synthesized by Aureobasidium cells using sucrose were considered to lower its extracellular osmotic stress and pullulan titer [46]. However, FOSs would be subsequently hydrolyzed at late stages, contributing to pullulan accumulation [47]. The ability of strain ZH27 to hydrolyze FOSs could be attributed to the high expressions of hydrolases (e.g., α-amylase, glucoamylase, and pullulanase) (Table 1). The hydrolyzed FOSs increased pullulan titers but reduced pullulan viscosity or molecular weight (Table S3), suggesting an efficient utilization of FOSs. These changes are consistent with the findings in previous report [47]. On the other hand, trehalose and glycerol are crucial osmolytes for intracellular osmotic stress alleviation [48]. They might be highly accumulated in the cells of strain ZH27 under the OC because of significantly upregulated expressions of its related genes (Table 1). This is similar to the upregulations of three genes (GPP, TPS1, and TPP) in strain TN3-1 (110 g/L pullulan) in comparison with strain P16 (65.3 g/L pullulan) [18]. These findings demonstrate that the strains of Aureobasidium producing high levels of pullulan contained more glycerol and trehalose compared with those with a low pullulan-producing ability. However, their high expressions could divert the carbon flux away from pullulan synthesis. Consequently, a delicate balance may be maintained to ensure the optimal pullulan yield and simultaneously facilitate the production of necessary by-products. Furthermore, both pullulan and melanin secreted by Aureobasidium cells are known to resist high osmotic stress [9]. More interestingly, melanin was not observed during the whole process of pullulan synthesis by strain ZH27 under the OC.
The synthesis of metabolites (such as pullulan) and cell growth of Aureobasidium strains are energy-intensive processes [16]. The upregulation of key enzymes (e.g., GluK, PFK, PYK, and PYD) involved in glycolysis in strain ZH27 under the OC (Table 1) indicates an enhanced glycolytic activity, potentially providing more acetyl-CoA for the tricarboxylic acid (TCA) cycle. This metabolic shift supports the energy-intensive processes of pullulan synthesis, cell growth, and by-product accumulation under the OC. Nevertheless, it contrasts with the effect of zinc sulfate addition, where the metabolic flux shifted away from glycolysis and the TCA cycle [49].
Pullulan synthesis, which is sensitive to high carbon source concentrations (Figure 2b), is suppressed by the glucose repressor CreA. Interestingly, the CreA gene was upregulated under the OC (Table 1), whereas pullulan production was exactly improved (Figure 4). By contrast, when CreA was downregulated in A. melanogenum strains, the pullulan production was over 100 g/L [13,18]. This difference may probably be due to evolutionarily genetic variations and different tolerances of strains to high osmotic stress. Therefore, we believe that strain ZH27 may produce a significantly higher pullulan titer under the OC after deleting CreA. AreA and AreB play direct roles in NCR and regulating pullulan synthesis [31]. The upregulation of AreA and downregulation of AreB in strain ZH27 under the OC indicate an efficient nitrogen utilization due to high C/N ratios under the OC compared with the IC (Figure 2b,c), which is consistent with those observed in strain P16 [31]. The HOG-MAPK pathway has been considered a central signaling pathway for responding to high osmotic stress in yeast cells [50]. Hog1, which is a crucial component in the HOG-MAPK pathway, could mediate the expressions of numerous osmo-responsive genes (e.g., GPD and GPP) and simultaneously adjust their enzyme activities [13,23]. Sho1, which is located in the plasma membrane, is also required for activating the HOG-MAPK pathway and responding to osmotic stress [34]. Therefore, the upregulated expressions of Hog1 and Sho1 likely favored to resist osmotic stress and enhanced glycerol synthesis by strain ZH27 (Table 1). Additionally, the regulator Msn2 can upregulate more than 600 genes, including the genes related to pullulan synthesis (e.g., UGT1, UGP1, and Ags2), glycerol accumulation, glycolysis, and the TCA cycle under a stressful environment [51]. The upregulation of gene Msn2 in strain ZH27 under the OC may account for the high level of pullulan production to a certain extent.

4. Materials and Methods

4.1. Sample Collection and Screening for EPS-Producing Strains

Leave samples were collected from the mangrove ecosystem of Qi’ao Island in Guangdong, China (N22°23′, E113°38′). The screening was conducted according to the previously reported method with a slight modification [2]. Briefly, the samples were first soaked in a shake flask (250 mL) with 30 mL distilled water for 2 days at 25 °C. The prepared solution (100 μL) was then transferred into a sterile centrifuge tube (50 mL) with minimal salt medium (MSM, 10 mL) and 50 mg/mL chloramphenicol. After being cultivated at 180 rpm and 25 °C for 2 days, the culture (20 μL) was spread on MSM plates and cultivated at 25 °C. Each colony was purified three times through YPD plates. The potential colonies with the features of Aureobasidium strains were selected. To detect the EPS-producing capacity, each strain was cultivated in the initial medium (12% sucrose, 0.3% yeast extract, 0.5% K2HPO4, 0.02% MgSO4·7H2O, 0.1% NaCl, and 0.06% (NH4)2SO4) at 28 °C, pH 6.5, and 180 rpm for 3 days [12,25]. The colonies were stored in a glycerol solution (20%) at −80 °C.

4.2. Strain Identification

Morphological characteristics of the target strain were shown on YPD and PDA plates at 28 °C for 2.5–8 days. The corresponding liquid media cultivated at 28 °C and 180 rpm for 16 h were used to observe the cell features using an optical microscope (Axio Lab. A1, Carl Zeiss, Oberkochen, Germany) with a 100 × oil immersion objective. Then, fresh cells harvested in the abovementioned liquid YPD medium were used to extract the genomic DNA using a Fungi Genomic DNA Extraction Kit (Solarbio, Beijing, China). To confirm the phylogenetic relationship between the target strain and other identified strains, the ITS sequence was amplified using primers ITS1 and ITS4, and sequenced [11]. A phylogenetic tree was accordingly constructed using MEGA 7.0 software (University of Kent, Canterbury, UK).

4.3. Optimization for High-Level EPS Production

To achieve high-level EPS production, the main influencing factors were optimized through the one-factor-at-a-time method at 28 °C and 180 rpm for 3 days [3,19]. These factors included carbon source (sucrose, maltose, glucose, fructose, or glycerol) and its optimal concentration (12–17%), (NH4)2SO4 (0.01–0.18%), K2HPO4 (0.1–0.9%), NaCl (0–0.5%), temperature (24–35 °C), and initial pH value (3.0–8.0).

4.4. Determination of EPS and DCW

The isolation of EPS and cells was performed using the previously reported method [47]. Briefly, the fermentation broth was heated (80 °C for 30 min) and centrifuged (12,000× g for 15 min) to remove cells and insoluble matter and obtain the supernatant and precipitate. Then, the precipitate was washed with distilled water and dried to obtain the DCW. The crude EPS from the supernatant was evaluated using pre-chilled anhydrous ethanol and dried to constant weight using an air-blast drying oven at 80 °C.

4.5. Purification and Identification of EPS

The EPS produced by strain ZH27 was purified using the Sevage method [10]. The crude EPS was used to prepare the EPS solution (5%). The proteins and gelatinous mass in the crude EPS were removed 5–7 times using the Sevage reagent (chloroform:n-butanol = 4:1). Purified EPS was obtained and then lyophilized, which was successively analyzed via pullulanase hydrolysis, TLC, and FTIR. Pullulanase is a typical debranching enzyme that is used to destroy α-1,6-glycosidic bonds of pullulan and produce maltotriose. The pullulanase (1000 ASPU/mL) (Yuanye Bio-Technology Co., Ltd., Shanghai, China) was added into the mixture containing the purified EPS or a standard pullulan solution (1.0%, w/v) and acetate buffer (50 mM and pH 4.5–5.0) with the proportions of 3.0:60:57 (v/v/v), which were subsequently treated at 60 °C for 15 min [13]. The contents of reducing sugars in hydrolysates were measured as stated below. Then, TLC was used to confirm the composition of hydrolysates using silica gel G-60, the developing solution (n-butanol/acetic acid/water, 8:2:2, v/v/v), and a coloring agent solution (concentrated sulfuric acid/anhydrous ethanol, 1:3, v/v) based on the described method with a slight modification [10]. Compared with one standard pullulan, the purified EPS was further characterized using FTIR by combining it with potassium bromide (100:1) and scanning over a range of 4000–400 cm−1.

4.6. Batch Fermentation for Pullulan Production

To achieve high levels of pullulan, 4 kinds of seed media, namely, SM (5.0% sucrose, 0.3% yeast extract, 0.5% K2HPO4, 0.02% MgSO4, 0.06% (NH4)2SO4, and 0.1% NaCl) [25], YPD, YPS (using sucrose to replace glucose), and potato dextrose broth (PDB), were optimized at 28 °C and 180 rpm. Moreover, both the incubation time (12–48 h) and innoculation size of the seed (5–10%) were also implemented at the same condition.
Batch fermentation for strain ZH27 was then conducted for pullulan production in a 7 L fermenter (Qizhi Biological Engineering Equipment Co., LTD, Guangzhou, China) under aeration rates of 4.5–5.5 L/min and rotation speeds of 180–220 rpm at 28 °C for 156 h. During fermentation, the culture was sampled at 12 h intervals to detect pullulan titers, DCW, reducing sugars, and total sugar contents. Meanwhile, the pullulan produced under the IC was adopted as the control. All the above tests were undertaken in triplicate.

4.7. Determination of Reducing Sugars, Total Sugars, Cell Morphology, Viscosity, and pH Values

The contents of reducing sugars and total sugars in fermentation broths were determined using a reducing sugar assay kit (BC0230) and total carbohydrate content assay kit (BC2710) purchased from Solarbio (Beijing, China), respectively. Moreover, changes in cell morphology under the OC and IC at different fermentation time points were monitored as described regarding the strain identification. The viscosity and pH value of the supernatant at the end were measured using a digital rotary viscometer (NDJ-5S, Shanghai, China) and a pH meter (PHSJ-5, Shanghai, China), respectively.

4.8. Detection of Transcriptional Expressions of the Genes Related to Pullulan Synthesis

The expressions of genes involved in the syntheses of pullulan and by-products and related regulatory factors were measured via qPCR using a TB Green Premix Ex Taq II (Tli RNaseH Plus) (TaKaRa, Dalian, China). First, the cells of strain ZH27 were harvested from batch fermentation (7 L) when cultivated for 60 h according to the time course of pullulan accumulation. The total RNAs of samples were extracted using an UNl Q-10 Column Trizol Total RNA Isolation Kit (Sangon Biotech, Shanghai, China) and were further used to synthesize cDNA using Revert Aid Premium Reverse Transcriptase (EP0733, Thermo Scientific, Waltham, MA, USA) and stored at −20 °C.
The qPCR primers of the genes involved in the above pathways are shown in Table S1. The qPCR profile was performed under the following conditions: initial denaturation at 95 °C for 30 s, followed by 35 cycles of denaturation at 95 °C for 5 s, annealing at 60 °C for 30 s, and an elongation step at 72 °C for 20 s. The β-actin was selected as a reference gene for normalizing all genes, and the obtained results were quantified using the 2−ΔΔCt method [31].

4.9. Statistical Analysis

All results in this study were derived from three distinct experiments, with each experiment executed in triplicate. Statistical analyses were conducted using one-way ANOVA through GraphPad Prism 9.0.0 (GraphPad Software Inc., San Diego, CA, USA). The statistical results are presented as mean ± standard deviation. Significance levels between the two groups were determined on the basis of probability values (p), where p < 0.05 (*) and p < 0.01 (**) were considered statistically significant.

5. Conclusions

A novel strain of Aureobasidium melanogenum ZH27 with a pullulan-producing ability was identified and characterized. Strain ZH27 produced 115.4 g/L pullulan with a yield of 0.77 g/g and a productivity of 0.87 g/L/h at 132 h using 15% sucrose under the OC via batch fermentation. The comparison of pullulan accumulation under the OC and IC indicates that swollen cells and large-volume vacuoles may be responsible for the high levels of pullulan production. During the accumulation of high pullulan titers by strain ZH27, a multitude of relevant genes (e.g., UGT1, Ags2, GPP, TPS1, fructoslytranserase genes, GluK, and PGK) involved in the syntheses of pullulan and by-products, as well as the glycolysis pathway, all exhibited significant upregulation. This finding suggests that by-products likely play a dual role in enhancing cell resistance to hyper-osmotic stress and facilitating pullulan synthesis. Therefore, strain ZH27 with a high pullulan-producing ability may emerge as a promising candidate for large-scale pullulan production.

Supplementary Materials

The following supporting information can be downloaded from https://www.mdpi.com/article/10.3390/ijms25010319/s1.

Author Contributions

Conceptualization, Q.-Q.W. and J.-H.W.; methodology, Q.-Q.W. and J.L.; investigation, Q.-Q.W., J.L. and Q.-Z.Z.; writing—original draft preparation, Q.-Q.W. and J.L.; writing—review and editing, Q.-Q.W., J.-H.W., Q.-Z.Z. and J.P.; supervision, J.-H.W.; data curation, Q.Z. All authors have read and agreed to the published version of the manuscript.

Funding

This research was supported by the Funds of Guangdong Research and Construction of Public Service Abilities (grant no. 2017B020218004) and the Guangdong Basic and Applied Basic Research Foundation (grant nos. 2021A1515012589, 2022A1515110395, 2022A1515011842, and 2023A1515011382).

Institutional Review Board Statement

Not applicable.

Informed Consent Statement

Not applicable.

Data Availability Statement

The data presented in this study are available on request from the corresponding authors.

Conflicts of Interest

The authors declare no conflicts of interest.

References

  1. Wei, X.; Liu, G.L.; Jia, S.L.; Chi, Z.; Hu, Z.; Chi, Z.M. Pullulan biosynthesis and its regulation in Aureobasidium spp. Carbohydr. Polym. 2021, 251, 117076. [Google Scholar] [CrossRef]
  2. Hamidi, M.; Kennedy, J.F.; Khodaiyan, F.; Mousavi, Z.; Hosseini, S.S. Production optimization, characterization and gene expression of pullulan from a new strain of Aureobasidium pullulans. Int. J. Biol. Macromol. 2019, 138, 725–735. [Google Scholar] [CrossRef]
  3. Haghighatpanah, N.; Mirzaee, H.; Khodaiyan, F.; Kennedy, J.F.; Aghakhani, A.; Hosseini, S.S.; Jahanbin, K. Optimization and characterization of pullulan produced by a newly identified strain of Aureobasidium pullulans. Int. J. Biol. Macromol. 2020, 152, 305–313. [Google Scholar] [CrossRef]
  4. Singh, R.S.; Kaur, N.; Hassan, M.; Kennedy, J.F. Pullulan in biomedical research and development-A review. Int. J. Biol. Macromol. 2021, 166, 694–706. [Google Scholar] [CrossRef]
  5. Singh, R.; Gaur, R.; Bansal, S.; Biswas, P.; Pandey, P.K.; Jamal, F.; Tiwari, S.; Gaur, M.K. Aureobasidium pullulans—An industrially important pullulan producing black yeast. Int. J. Curr. Microbiol. App. Sci. 2015, 4, 605–622. [Google Scholar]
  6. Singh, R.S.; Kaur, N.; Kennedy, J.F. Pullulan production from agro-industrial waste and its applications in food industry: A review. Carbohydr. Polym. 2019, 217, 46–57. [Google Scholar] [CrossRef]
  7. Sugumaran, K.; Ponnusami, V. Review on production, downstream processing and characterization of microbial pullulan. Carbohydr. Polym. 2017, 173, 573–591. [Google Scholar]
  8. Jiang, H.; Chen, T.J.; Chi, Z.; Hu, Z.; Liu, G.L.; Sun, Y.; Zhang, S.H.; Chi, Z.M. Macromolecular pullulan produced by Aureobasidium melanogenum 13-2 isolated from the Taklimakan desert and its crucial roles in resistance to the stress treatments. Int. J. Biol. Macromol. 2019, 135, 429–436. [Google Scholar] [CrossRef]
  9. Liu, F.; Zhang, J.; Zhang, L.; Diao, M.; Ling, P.; Wang, F. Correlation between the synthesis of pullulan and melanin in Aureobasidium pullulans. Int. J. Biol. Macromol. 2021, 177, 252–260. [Google Scholar] [CrossRef]
  10. Chen, G.; Zhu, Y.; Zhang, G.; Liu, H.; Wei, Y.; Wang, P.; Wang, F.; Xian, M.; Xiang, H.; Zhang, H. Optimization and characterization of pullulan production by a newly isolated high-yielding strain Aureobasidium melanogenum. Prep. Biochem. Biotechnol. 2019, 49, 557–566. [Google Scholar] [CrossRef]
  11. Chen, S.; Zheng, H.; Gao, J.; Song, H.; Bai, W. High-level production of pullulan and its biosynthesis regulation in Aureobasidium pullulans BL06. Front. Bioeng. Biotechnol. 2023, 11, 1131875. [Google Scholar] [CrossRef]
  12. Ma, Z.-C.; Fu, W.-J.; Liu, G.-L.; Wang, Z.-P.; Chi, Z.-M. High-level pullulan production by Aureobasidium pullulans var. melanogenium P16 isolated from mangrove system. Appl. Microbiol. Biotechnol. 2014, 98, 4865–4873. [Google Scholar] [CrossRef]
  13. Jiang, H.; Xue, S.-J.; Li, Y.-F.; Liu, G.-L.; Chi, Z.-M.; Hu, Z.; Chi, Z. Efficient transformation of sucrose into high pullulan concentrations by Aureobasidium melanogenum TN1-2 isolated from a natural honey. Food Chem. 2018, 257, 29–35. [Google Scholar] [CrossRef]
  14. Li, X.; Zhao, S.; Chen, L.; Zhou, Q.; Qiu, J.; Xin, X.; Zhang, Y.; Yuan, W.; Tian, C.; Yang, J.; et al. High-level production of pullulan from high concentration of glucose by mutagenesis and adaptive laboratory evolution of Aureobasidium pullulans. Carbohydr. Polym. 2023, 302, 120426. [Google Scholar] [CrossRef]
  15. Chen, T.-J.; Liu, G.-L.; Wei, X.; Wang, K.; Hu, Z.; Chi, Z.; Chi, Z.-M. A multidomain α-glucan synthetase 2 (AmAgs2) is the key enzyme for pullulan biosynthesis in Aureobasidium melanogenum P16. Int. J. Biol. Macromol. 2020, 150, 1037–1045. [Google Scholar] [CrossRef]
  16. Wang, G.-L.; Din, A.U.; Qiu, Y.-S.; Wang, C.-L.; Wang, D.-H.; Wei, G.-Y. Triton X-100 improves co-production of β-1, 3-D-glucan and pullulan by Aureobasidium pullulans. Appl. Microbiol. Biotechnol. 2020, 104, 10685–10696. [Google Scholar] [CrossRef]
  17. Chen, X.; Wang, Y.; Zhang, X.-T.; Wu, Y.-N.; Zhang, X.-L.; Zhang, G.-C.; Wang, C.-L.; Zou, X.; Wang, D.-H.; Wei, G.-Y. MAL31, a sugar transporter involved in pullulan biosynthesis in Aureobasidium pullulans. J. Biotechnol. 2022, 359, 176–184. [Google Scholar] [CrossRef]
  18. Xue, S.-J.; Chen, L.; Jiang, H.; Liu, G.-L.; Chi, Z.-M.; Hu, Z.; Chi, Z. High pullulan biosynthesis from high concentration of glucose by a hyperosmotic resistant, yeast-like fungal strain isolated from a natural comb-honey. Food Chem. 2019, 286, 123–128. [Google Scholar] [CrossRef]
  19. Yang, J.; Zhang, Y.; Zhao, S.; Zhou, Q.; Xin, X.; Chen, L. Statistical optimization of medium for pullulan production by Aureobasidium pullulans NCPS2016 using fructose and soybean meal hydrolysates. Molecules 2018, 23, 1334. [Google Scholar] [CrossRef]
  20. Chen, L.; Wei, X.; Liu, G.-L.; Hu, Z.; Chi, Z.-M.; Chi, Z. Glycerol, trehalose and vacuoles had relations to pullulan synthesis and osmotic tolerance by the whole genome duplicated strain Aureobasidium melanogenum TN3-1 isolated from natural honey. Int. J. Biol. Macromol. 2020, 165, 131–140. [Google Scholar] [CrossRef]
  21. De Paula, N.M.; da Silva, K.; Brugnari, T.; Haminiuk, C.W.I.; Maciel, G.M. Biotechnological potential of fungi from a mangrove ecosystem: Enzymes, salt tolerance and decolorization of a real textile effluent. Microbiol. Res. 2022, 254, 126899. [Google Scholar] [CrossRef] [PubMed]
  22. Zeng, N.; Zhang, N.; Ma, X.; Wang, Y.; Zhang, Y.; Wang, D.; Pu, F.; Li, B. Transcriptomics Integrated with Metabolomics: Assessing the Central Metabolism of Different Cells after Cell Differentiation in Aureobasidium pullulans NG. J. Fungi 2022, 8, 882. [Google Scholar] [CrossRef] [PubMed]
  23. Wang, R.; Zhao, T.; Zhuo, J.; Zhan, C.; Zhang, F.; Linhardt, R.J.; Bai, Z.; Yang, Y. MAPK/HOG signaling pathway induced stress-responsive damage repair is a mechanism for Pichia pastoris to survive from hyperosmotic stress. J. Chem. Technol. Biotechnol. 2021, 96, 412–422. [Google Scholar] [CrossRef]
  24. Peng, M.; Liang, Z. Degeneration of industrial bacteria caused by genetic instability. World J. Microbiol. Biotechnol. 2020, 36, 119. [Google Scholar] [CrossRef] [PubMed]
  25. Wang, Q.-Q.; Lu, Y.; Ren, Z.-Y.; Chi, Z.; Liu, G.-L.; Chi, Z.-M. CreA is directly involved in pullulan biosynthesis and regulation of Aureobasidium melanogenum P16. Curr. Genet. 2017, 63, 471–485. [Google Scholar] [CrossRef] [PubMed]
  26. Kang, X.-X.; Jia, S.-L.; Wei, X.; Zhang, M.; Liu, G.-L.; Hu, Z.; Chi, Z.; Chi, Z.-M. Liamocins biosynthesis, its regulation in Aureobasidium spp., and their bioactivities. Crit. Rev. Biotechnol. 2022, 42, 93–105. [Google Scholar] [CrossRef] [PubMed]
  27. Meneses, D.P.; Gudiña, E.J.; Fernandes, F.; Gonçalves, L.R.; Rodrigues, L.R.; Rodrigues, S. The yeast-like fungus Aureobasidium thailandense LB01 produces a new biosurfactant using olive oil mill wastewater as an inducer. Microbiol. Res. 2017, 204, 40–47. [Google Scholar] [CrossRef]
  28. Wani, S.M.; Masoodi, F.; Mir, S.A.; Khanday, F.A. Pullulan production by Aureobasidium pullulans MTCC 1991 from apple pomace and its characterization. Food Biosci. 2023, 51, 102254. [Google Scholar] [CrossRef]
  29. Choudhury, A.R.; Saluja, P.; Prasad, G. Pullulan production by an osmotolerant Aureobasidium pullulans RBF-4A3 isolated from flowers of Caesulia axillaris. Carbohydr. Polym. 2011, 83, 1547–1552. [Google Scholar] [CrossRef]
  30. Wang, D.; Chen, F.; Wei, G.; Jiang, M.; Dong, M. The mechanism of improved pullulan production by nitrogen limitation in batch culture of Aureobasidium pullulans. Carbohydr. Polym. 2015, 127, 325–331. [Google Scholar] [CrossRef]
  31. Kang, X.-X.; Wang, Q.-Q.; Chi, Z.; Liu, G.-L.; Hu, Z.; Chi, Z.-M. The GATA type transcriptional factors regulate pullulan biosynthesis in Aureobasidium melanogenum P16. Int. J. Biol. Macromol. 2021, 192, 161–168. [Google Scholar] [CrossRef] [PubMed]
  32. Shen, Q.; Zhang, D.; Hao, Y.; Luo, X.; Yang, J.; Wei, B.; Li, O.; Zhao, H. Optimum conditions and identification of pullulan produced by a new finding strain Aureobasidium pullulans RM1603. Lett. Biotechnol. 2019, 30, 385–390. [Google Scholar]
  33. Wang, D.-H.; Ni, T.-F.; Ju, X.-M.; Wei, G.-Y. Sodium chloride improves pullulan production by Aureobasidium pullulans but reduces the molecular weight of pullulan. Appl. Microbiol. Biotechnol. 2018, 102, 8921–8930. [Google Scholar] [CrossRef] [PubMed]
  34. Hohmann, S. An integrated view on a eukaryotic osmoregulation system. Curr. Genet. 2015, 61, 373–382. [Google Scholar] [CrossRef] [PubMed]
  35. Wu, S.; Chen, H.; Jin, Z.; Tong, Q. Effect of two-stage temperature on pullulan production by Aureobasidium pullulans. World J. Microbiol. Biotechnol. 2010, 26, 737–741. [Google Scholar] [CrossRef]
  36. Hilares, R.T.; Resende, J.; Orsi, C.A.; Ahmed, M.A.; Lacerda, T.M.; da Silva, S.S.; Santos, J.C. Exopolysaccharide (pullulan) production from sugarcane bagasse hydrolysate aiming to favor the development of biorefineries. Int. J. Biol. Macromol. 2019, 127, 169–177. [Google Scholar] [CrossRef]
  37. Jo, H.M.; Kim, Y.J.; Yoo, S.H.; Kim, C.M.; Kim, K.W.; Park, C.S. Optimization of cultivation conditions for pullulan production from Aureobasidium pullulans MR by response surface methodology. Korean J. Food Sci. Technol. 2021, 53, 195–203. [Google Scholar]
  38. Xue, S.-J.; Jiang, H.; Chen, L.; Ge, N.; Liu, G.-L.; Hu, Z.; Chi, Z.-M.; Chi, Z. Over-expression of Vitreoscilla hemoglobin (VHb) and flavohemoglobin (FHb) genes greatly enhances pullulan production. Int. J. Biol. Macromol. 2019, 132, 701–709. [Google Scholar] [CrossRef]
  39. Chen, L.; Chi, Z.; Liu, G.L.; Xue, S.J.; Wang, Z.P.; Hu, Z.; Chi, Z.M. Improved pullulan production by a mutant of Aureobasidium melanogenum TN3-1 from a natural honey and capsule shell preparation. Int. J. Biol. Macromol. 2019, 141, 268–277. [Google Scholar] [CrossRef]
  40. Zeng, N.; Zhang, N.; Wang, D.; Long, J.; Wang, Y.; Zhang, Y.; Pu, F.; Li, Z.; Baloch, F.B.; Li, B. Regulation of cell differentiation to promote pullulan synthesis in Aureobasidium pullulans NG. Appl. Microbiol. Biotechnol. 2023, 107, 6761–6773. [Google Scholar] [CrossRef]
  41. Liu, X.; Wang, H.; Zhang, N.; Li, B. Exploration of cell polymorphisms and factors influencing cell differentiation of Aureobasidium pullulans. Microbiol. China 2019, 46, 1461–1469. [Google Scholar]
  42. Zhang, K.; Lin, C.; Zhao, S.; Wang, W.; Zhou, W.; Ru, X.; Cong, H.; Yang, Q. The role of pH transcription factor Appacc in upregulation of pullulan biosynthesis in Aureobasidium pullulans using potato waste as a substrate. Int. J. Biol. Macromol. 2023, 242, 124797. [Google Scholar] [CrossRef] [PubMed]
  43. Zou, X.; Cheng, C.; Feng, J.; Song, X.; Lin, M.; Yang, S.T. Biosynthesis of polymalic acid in fermentation: Advances and prospects for industrial application. Crit. Rev. Biotechnol. 2019, 39, 408–421. [Google Scholar] [CrossRef] [PubMed]
  44. Guo, J.; Huang, S.; Chen, Y.; Guo, X.; Xiao, D. Discovering the role of the apolipoprotein gene and the genes in the putative pullulan biosynthesis pathway on the synthesis of pullulan, heavy oil and melanin in Aureobasidium pullulans. World J. Microbiol. Biotechnol. 2018, 34, 11. [Google Scholar] [CrossRef] [PubMed]
  45. Khatun, M.S.; Harrison, M.D.; Speight, R.E.; O’Hara, I.M.; Zhang, Z. Efficient production of fructo-oligosaccharides from sucrose and molasses by a novel Aureobasidium pullulan strain. Biochem. Eng. J. 2020, 163, 107747. [Google Scholar] [CrossRef]
  46. Chi, Z.; Liu, N.-N.; Jiang, H.; Wang, Q.-Q.; Chen, J.-T.; Liu, G.-L.; Hu, Z.; Chi, Z.-M. Relationship between β-D-fructofuranosidase activity, fructooligosaccharides and pullulan biosynthesis in Aureobasidium melanogenum P16. Int. J. Biol. Macromol. 2019, 125, 1103–1111. [Google Scholar] [CrossRef]
  47. Sheng, L.; Tong, Q.; Ma, M. Why sucrose is the most suitable substrate for pullulan fermentation by Aureobasidium pullulans CGMCC1234? Enzym. Microb. Technol. 2016, 92, 49–55. [Google Scholar] [CrossRef]
  48. Yaakoub, H.; Sanchez, N.S.; Ongay-Larios, L.; Courdavault, V.; Calenda, A.; Bouchara, J.P.; Coria, R.; Papon, N. The high osmolarity glycerol (HOG) pathway in fungi(dagger). Crit. Rev. Microbiol. 2022, 48, 657–695. [Google Scholar] [CrossRef]
  49. Zhang, G.; Wang, G.; Zhu, C.; Wang, C.; Wang, D.; Wei, G. Metabolic flux and transcriptome analyses provide insights into the mechanism underlying zinc sulfate improved β-1, 3-D-glucan production by Aureobasidium pullulans. Int. J. Biol. Macromol. 2020, 164, 140–148. [Google Scholar] [CrossRef]
  50. Kejžar, A.; Grötli, M.; Tamás, M.J.; Plemenitaš, A.; Lenassi, M. HwHog1 kinase activity is crucial for survival of Hortaea werneckii in extremely hyperosmolar environments. Fungal Genet. Biol. 2015, 74, 45–58. [Google Scholar] [CrossRef]
  51. Yang, G.; Liu, G.-L.; Wang, S.-J.; Chi, Z.-M.; Chi, Z. Pullulan biosynthesis in yeast-like fungal cells is regulated by the transcriptional activator Msn2 and cAMP-PKA signaling pathway. Int. J. Biol. Macromol. 2020, 157, 591–603. [Google Scholar] [CrossRef] [PubMed]
Figure 1. Morphological characteristics (A) and phylogenetic tree (B) of strain ZH27. (A(a,b)) represent the colonial morphologies of strain ZH27 growing on YPD plates for 2.5 and 5 days, respectively. (A(ce)) are the colonial morphologies of strain ZH27 growing on PDA plates for 2.5, 5, and 8 days, respectively. (A(f)) shows the morphological features of strain ZH27 cells in liquid YPD after cultivating for 20 h (10 × 100 magnification). Diagram (B) illustrates the phylogenetic tree constructed using neighbor-joining analysis, and the triangle symbol means the target strain ZH27 can be easily found among all the strains on the tree. The bootstrap values are labeled based on 1000 replicates.
Figure 1. Morphological characteristics (A) and phylogenetic tree (B) of strain ZH27. (A(a,b)) represent the colonial morphologies of strain ZH27 growing on YPD plates for 2.5 and 5 days, respectively. (A(ce)) are the colonial morphologies of strain ZH27 growing on PDA plates for 2.5, 5, and 8 days, respectively. (A(f)) shows the morphological features of strain ZH27 cells in liquid YPD after cultivating for 20 h (10 × 100 magnification). Diagram (B) illustrates the phylogenetic tree constructed using neighbor-joining analysis, and the triangle symbol means the target strain ZH27 can be easily found among all the strains on the tree. The bootstrap values are labeled based on 1000 replicates.
Ijms 25 00319 g001
Figure 2. Optimization for EPS production. (ag) represent the optimization of carbon source, sucrose, (NH4)2SO4, K2HPO4, NaCl, temperature, and initial pH, respectively. “*” represents the probability value below 0.05, and “**” means the probability value below 0.01.
Figure 2. Optimization for EPS production. (ag) represent the optimization of carbon source, sucrose, (NH4)2SO4, K2HPO4, NaCl, temperature, and initial pH, respectively. “*” represents the probability value below 0.05, and “**” means the probability value below 0.01.
Ijms 25 00319 g002
Figure 3. Structural identification of the purified EPS using hydrolysis, TLC, and Fourier-transform infrared spectroscopy (FTIR). (a) Reducing sugars released from the purified EPS and commercial pullulan. CPO and CPW marked with black denote the commercial pullulan (1%) hydrolyzed without and with pullanase, respectively. EPO and EPW marked with red represent the purified EPS (1%) treated without and with pullulanase, respectively. (b) Lines 1 and 2 show the purified EPS (1%) treated without and with pullulanase, respectively. Lines 3 and 4 represent glucose (1%) and maltotriose (1%), respectively. Lines 5 and 6 show commercial pullulan (1%) treated with and without pullulanase, respectively. (c) FTIR spectra of purified EPS and commercial pullulan. “**” represents the probability value below 0.01.
Figure 3. Structural identification of the purified EPS using hydrolysis, TLC, and Fourier-transform infrared spectroscopy (FTIR). (a) Reducing sugars released from the purified EPS and commercial pullulan. CPO and CPW marked with black denote the commercial pullulan (1%) hydrolyzed without and with pullanase, respectively. EPO and EPW marked with red represent the purified EPS (1%) treated without and with pullulanase, respectively. (b) Lines 1 and 2 show the purified EPS (1%) treated without and with pullulanase, respectively. Lines 3 and 4 represent glucose (1%) and maltotriose (1%), respectively. Lines 5 and 6 show commercial pullulan (1%) treated with and without pullulanase, respectively. (c) FTIR spectra of purified EPS and commercial pullulan. “**” represents the probability value below 0.01.
Ijms 25 00319 g003
Figure 4. Time courses of pullulan production (○ and ●), DCW (▽ and ▼), and changes in reducing sugars (◊ and ♦) and total sugars (△ and ▲) during the 7 L batch fermentation of strain ZH27 under the initial condition (IC) (dash lines) and optimized condition (OC) (solid lines), respectively.
Figure 4. Time courses of pullulan production (○ and ●), DCW (▽ and ▼), and changes in reducing sugars (◊ and ♦) and total sugars (△ and ▲) during the 7 L batch fermentation of strain ZH27 under the initial condition (IC) (dash lines) and optimized condition (OC) (solid lines), respectively.
Ijms 25 00319 g004
Figure 5. Cell morphological features of strain ZH27 cultivated under initial condition (IC) (12% sucrose) and optimized condition (OC) (15% sucrose) in the fermentation period of 12–144 h. The images were captured using the 100× oil immersion objective.
Figure 5. Cell morphological features of strain ZH27 cultivated under initial condition (IC) (12% sucrose) and optimized condition (OC) (15% sucrose) in the fermentation period of 12–144 h. The images were captured using the 100× oil immersion objective.
Ijms 25 00319 g005
Figure 6. Sensing and utilization of sucrose by strain ZH27 under the high osmotic stress for producing pullulan. HXT, hexose transporter; Gys, glycogen synthase; DHPA, dihydroxyacetone phosphate. Other enzymes and regulatory factors are mentioned above in this study. Green and red arrows indicate activation and inhibition, respectively.
Figure 6. Sensing and utilization of sucrose by strain ZH27 under the high osmotic stress for producing pullulan. HXT, hexose transporter; Gys, glycogen synthase; DHPA, dihydroxyacetone phosphate. Other enzymes and regulatory factors are mentioned above in this study. Green and red arrows indicate activation and inhibition, respectively.
Ijms 25 00319 g006
Table 1. Comparison of transcriptional levels of the genes involved in the syntheses of pullulan, trehalose, glycerol, and metabolism in strain ZH27 between the OC and IC.
Table 1. Comparison of transcriptional levels of the genes involved in the syntheses of pullulan, trehalose, glycerol, and metabolism in strain ZH27 between the OC and IC.
GenesContents/FunctionsRelative Gene Expressions of Strain ZH27 (%)Changes in Gene Expressions under the OC
ICOC
GluT1Glucose transporter10070.9 ± 14.3 *Downregulation
GluT2Glucose transporter1001386.1 ± 485.8 **Upregulation
GluT3Glucose transporter10069.5 ± 3.3 **Downregulation
GluT4Glucose transporter100857.1 ± 126 **Upregulation
GluT5Glucose transporter1002894.9 ± 750.2 **Upregulation
SUC2Sucrose-proton symporter 21001432.9 ± 364.1 **Upregulation
GluKGlucose kinase1001844.6 ± 499.4 **Upregulation
PGMPhosphoglucose mutase100118.6 ± 20.3No significance
UGPUDPG-pyrophosphorylase100215.4 ± 29.9 **Upregulation
UGT1UDP-glucosyltranferase1004742.8 ± 508.5 **Upregulation
PUL1Pullulan synthetase100438.9 ± 70.7 **Upregulation
Ags2Alpha-glucan synthase 2100367.5 ± 77.4 **Upregulation
Msn2Stress-responsive transcriptional activator100228.6 ± 13.5 **Upregulation
ApoGlycolipid transfer protein100153.5 ± 32.4 *Upregulation
GltpGlycolipid transfer protein100377.7 ± 98.6 **Upregulation
CreARegulation of gene transcription100222.9 ± 22 **Upregulation
α-amylase geneHydrolysis of α-1,4-linkage1003938.8 ± 200 **Upregulation
Glucoamylase
gene
Hydrolysis of α-1,4- and α-1,6-linkages1002040.8 ± 281.3 **Upregulation
Pullulanase geneHydrolysis of α-1,6-linkage1001262.1 ± 174 **Upregulation
TPS1α-trehalose-6-phosphate synthase100496.4 ± 50.1 **Upregulation
TPPTrehalose-6-phosphate phosphatase100278.7 ± 42.5 **Upregulation
GPPGlycerol-3-phosphatase1001341.7 ± 278.3 **Upregulation
GPDGlycerol-3-phosphate dehydrogenase100376.3 ± 56.4 **Upregulation
Hog1Hyper-osmotic glycerol100256.7 ± 33.7 **Upregulation
Sho1High osmolarity signaling protein100161.7 ± 4.0 **Upregulation
FF1Fructoslytranserase100373.4 ± 174.8 **Upregulation
FF2Fructoslytranserase100231.8 ± 56.7 **Upregulation
FF3Fructoslytranserase100215.2 ± 37.9 **Upregulation
FTR1Transcriptional factor of fructoslytranserase genes100333.1 ± 86.7 **Upregulation
PFK26Phosphofructo-2-kinase100257.8 ± 25.5 **Upregulation
FBA1Fructose-bisphosphate aldolase1100524.7 ± 60.5 **Upregulation
G3PGlyceraldehyde-3-phosphate dehydrogenase100523 ± 102.6 **Upregulation
PGKPhosphoglycerate kinase100484.1 ± 18.7 **Upregulation
PYKPyruvate kinase100203.6 ± 28.9 **Upregulation
PYDPyruvate decarboxylase100245.1 ± 64 **Upregulation
AreATranscriptional activator of nitrogen100135.7 ± 20 *Upregulation
AreBTranscriptional repressor of nitrogen10085.3 ± 11 *Downregulation
Notes: “*” represents the probability value below 0.05, and “**” means the probability value below 0.01.
Table 2. Pullulan derived from fermentation of Aureobasidium strains recently.
Table 2. Pullulan derived from fermentation of Aureobasidium strains recently.
StrainsFermentationProduction g/L (g/L/h)Yield (g/g)References
CarbonMode and Conditions
A. pullulans MG271838SucroseBatch, 28 °C, 200 rpm, 168 h37.6 (0.22)0.63[2]
A. pullulans H31SucroseBatch, 28 °C, 200 rpm, 96 h51.4 (0.54)0.93[3]
A. melanogenum 13-2SucroseBatch, 28 °C, 250 rpm, 6.5 L/min, 120 h78.1 (0.65)0.56[8]
A. melanogenum A4MaltoseFed-batch, 30 °C, 180 rpm, ~3 L/min, 120 h122.3 (1.02)0.40[10]
A. melanogenum TN1-2SucroseBatch, 28 °C, 250 rpm, 6.5 L/min, 132 h114 (0.86)0.81[13]
A. melanogenum TN3-1GlucoseBatch, 28 °C, 250 rpm, 6.5 L/min, 132 h110.3 (0.84)0.79[18]
A. Pullulans M233-20 aGlucoseBatch, 28 °C, 500 rpm, 20 L/min, 144 h162.3 (1.13)0.82[14]
A. pullulans LB83SBHBatch, 25.3 °C, 232 rpm, 96 h25.2 (0.28)0.48[36]
A. melanogenum V6 a/F44 aSucroseBatch, 28 °C, 180 rpm, 144 h102.3 (0.7)/
101.4 (0.7)
0.89/
0.88
[38]
A. melanogenum AMY-PKS-11 aGlucoseBatch, 28 °C, 300 rpm, 6.5 L/min, 120 h103.5 (0.86)0.75[39]
A. melanogenum DG41 aGlucoseBatch, 28 °C, 205 rpm, 8.0 L/min, 132 h64.9 (0.49)0.55[25]
A. Pullulans
BL06 ΔPMAs a
SucroseFed-batch, 28 °C, 500 rpm, 120 h140.2 (1.17)<0.5[11]
A. melanogenum ZH27SucroseBatch, 28 °C, 200–220 rpm, 4.5–5.5 L/min, 132 h115.4 (0.87)0.77This study
Notes: SBH, sugarcane bagasse hydrolysate; a, mutants.
Disclaimer/Publisher’s Note: The statements, opinions and data contained in all publications are solely those of the individual author(s) and contributor(s) and not of MDPI and/or the editor(s). MDPI and/or the editor(s) disclaim responsibility for any injury to people or property resulting from any ideas, methods, instructions or products referred to in the content.

Share and Cite

MDPI and ACS Style

Wang, Q.-Q.; Lin, J.; Zhou, Q.-Z.; Peng, J.; Zhang, Q.; Wang, J.-H. Hyper-Production of Pullulan by a Novel Fungus of Aureobasidium melanogenum ZH27 through Batch Fermentation. Int. J. Mol. Sci. 2024, 25, 319. https://doi.org/10.3390/ijms25010319

AMA Style

Wang Q-Q, Lin J, Zhou Q-Z, Peng J, Zhang Q, Wang J-H. Hyper-Production of Pullulan by a Novel Fungus of Aureobasidium melanogenum ZH27 through Batch Fermentation. International Journal of Molecular Sciences. 2024; 25(1):319. https://doi.org/10.3390/ijms25010319

Chicago/Turabian Style

Wang, Qin-Qing, Jia Lin, Qian-Zhi Zhou, Juan Peng, Qi Zhang, and Jiang-Hai Wang. 2024. "Hyper-Production of Pullulan by a Novel Fungus of Aureobasidium melanogenum ZH27 through Batch Fermentation" International Journal of Molecular Sciences 25, no. 1: 319. https://doi.org/10.3390/ijms25010319

APA Style

Wang, Q.-Q., Lin, J., Zhou, Q.-Z., Peng, J., Zhang, Q., & Wang, J.-H. (2024). Hyper-Production of Pullulan by a Novel Fungus of Aureobasidium melanogenum ZH27 through Batch Fermentation. International Journal of Molecular Sciences, 25(1), 319. https://doi.org/10.3390/ijms25010319

Note that from the first issue of 2016, this journal uses article numbers instead of page numbers. See further details here.

Article Metrics

Back to TopTop