Abstract
The compound 15-deacetylcalonectrin (15-deCAL) is a common pathway intermediate in the biosynthesis of Fusarium trichothecenes. This tricyclic intermediate is metabolized to calonectrin (CAL) by trichothecene 15-O-acetyltransferase encoded by Tri3. Unlike other trichothecene pathway Tri gene mutants, the Δtri3 mutant produces lower amounts of the knocked-out enzyme’s substrate 15-deCAL, and instead, accumulates higher quantities of earlier bicyclic intermediate and shunt metabolites. Furthermore, evolutionary studies suggest that Tri3 may play a role in shaping the chemotypes of trichothecene-producing Fusarium strains. To better understand the functional role of Tri3p in biosynthesis and evolution, we aimed to develop a method to produce 15-deCAL by using transgenic Fusarium graminearum strains derived from a trichothecene overproducer. Unfortunately, introducing mutant Tri3, encoding a catalytically impaired but structurally intact acetylase, did not improve the low 15-deCAL production level of the ΔFgtri3 deletion strain, and the bicyclic products continued to accumulate as the major metabolites of the active-site mutant. These findings are discussed in light of the enzyme responsible for 15-deCAL production in trichothecene biosynthesis machinery. To efficiently produce 15-deCAL, we tested an alternative strategy of using a CAL-overproducing transformant. By feeding a crude CAL extract to a Fusarium commune strain that was isolated in this study and capable of specifically deacetylating C-15 acetyl, 15-deCAL was efficiently recovered. The substrate produced in this manner can be used for kinetic investigations of this enzyme and its possible role in chemotype diversification.
1. Introduction
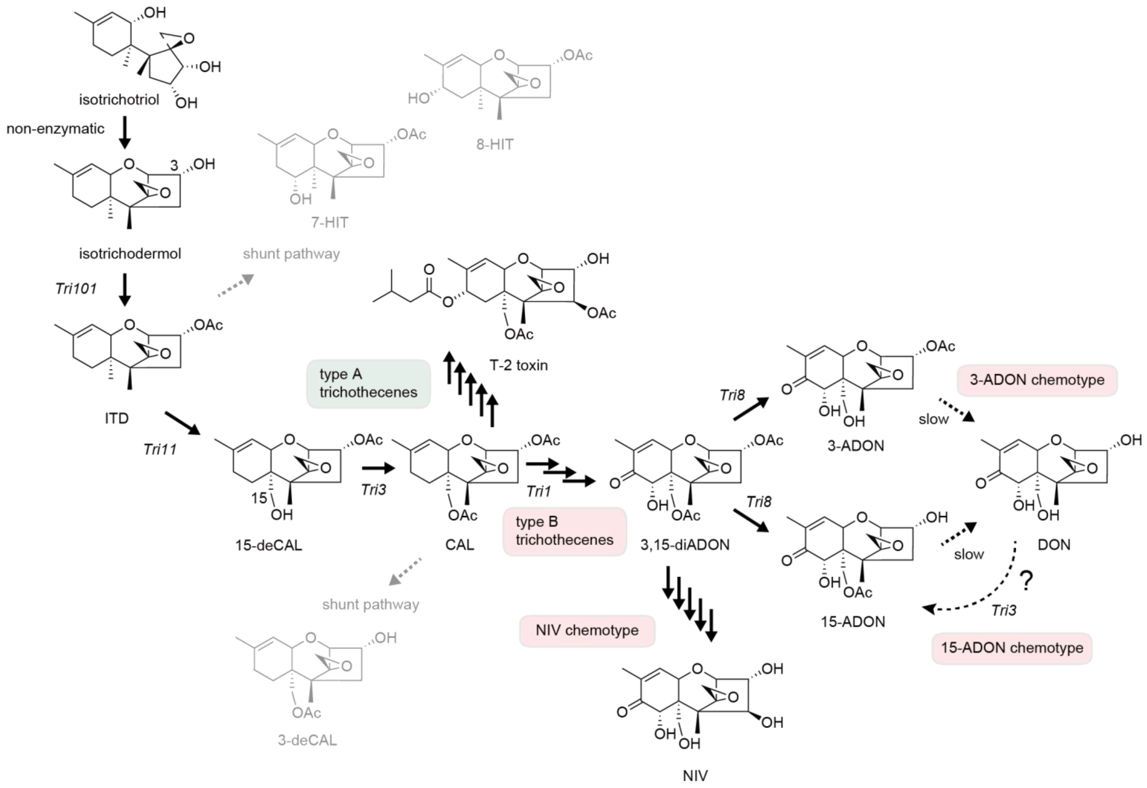
Fusarium sporotrichioides and Fusarium graminearum species complex (Fg) are known to produce trichothecenes oxygenated at C-3 and C-15 [1,2,3,4]. During biosynthesis of diverse groups of Fusarium trichothecenes, the second cyclization of isotrichotriol to isotrichodermol (ITDmol) proceeds non-enzymatically. ITDmol is then acetylated at C-3 to yield isotrichodermin (ITD) [5], followed by C-15 hydroxylation to produce 15-deacetylcalonectrin (15-deCAL) [6,7,8,9,10]. Subsequently, an enzyme encoded by Tri3 (Tri3p) accepts 15-deCAL as a substrate and acetylates the hydroxy group at C-15. The Tri3p enzyme has recently been hypothesized to move this tricyclic intermediate outside of the toxisome membrane as its reaction product calonectrin (CAL) [11,12]. After CAL, the biosynthetic pathway diverges depending on the type of trichothecenes [13], namely, type A trichothecenes (without a ketone at C-8) [14], such as T-2 toxin produced by Fusarium sporotrichioides, and type B trichothecenes (with a ketone at C-8) [14], such as nivalenol (NIV) and deoxynivalenol (DON) produced by F. graminearum (Figure 1). The major Fusarium trichothecene product that accumulates in cereal grains is DON [15,16], whose dietary exposure causes health problems, such as diarrhea, vomiting, gastrointestinal hemorrhage, and inflammatory responses in humans and animals [17,18].
DON is often co-contaminated with a relatively stable last intermediate in the biosynthetic pathway, either 3-acetyldeoxynivalenol (3-ADON) or 15-acetyldeoxynivalenol (15-ADON), depending on the chemotype of the F. graminearum strain (Figure 1) [19]. Interestingly, the rate of amino acid substitution in FgTri3 of the 3-ADON chemotype is significantly greater than that of 15-ADON and NIV chemotypes [20]. Such chemotype-specific shifts in functional constraints suggest the involvement of FgTri3-encoded C-15 acetylase (FgTri3p) in chemotype diversification. However, functional studies demonstrated that the determinant differentiating the 3-ADON and 15-ADON chemotypes is the Tri8-encoded trichothecene deacetylase (Figure 1), which hydrolyzes C-15 and C-3 acetyl groups, respectively, of 3,15-diacetyldeoxynivalenol (3,15-diADON) [21,22].
Given the importance of Tri8 in chemotype diversification, a question arises regarding the role of FgTri3 in this process: does C-15 acetylation activity toward DON also play a role in determining chemotypes to some extent? If 3-ADON chemotype’s FgTri3p is highly specific to 15-deCAL and exhibits much weaker activity toward DON and 3-ADON in comparison to other chemotypes, the non-occurrence of 15-ADON can be reasonably explained. Conversely, if FgTri3p of the 15-ADON chemotype shows significantly greater catalytic activity toward these trichothecenes than 3-ADON chemotype’s enzyme, the persistence of 15-ADON is more likely (Figure 1). To gain insight into this question, it is crucial to kinetically characterize the FgTri3p acetylase of different chemotypes in detail using 15-deCAL, DON, and 3-ADON as substrates. The latter two trichothecenes can easily be isolated in large quantities from the solid and liquid culture, respectively, of the 3-ADON chemotype [22,23,24]. However, Fusarium mutants blocked at the C-15 acetylation step, obtained either by ultraviolet (UV) irradiation or Tri3 disruption, accumulated considerable amounts of earlier bicyclic and shunt metabolites (e.g., isotrichotriol and trichotriol) in addition to 15-deCAL [9,10,12]. Even if FgTri3 was disrupted in a trichothecene overproducer, 15-deCAL overproduction was not successful due to the accumulation of earlier bicyclic shunt metabolites [12]. Such metabolite profiles are distinct from those of other trichothecene pathway Tri gene mutants, which produce substrates for the knocked-out enzymes and the derived shunt metabolites [1]. For example, an F. graminearum disruption mutant of a cytochrome P450 monooxygenase (CYP) gene, Tri11, which encodes ITD C-15 hydroxylase (Tri11p), produces ITD and its hydroxylated derivatives, 7-hydroxyisotrichodermin (7-HIT) and 8-hydroxyisotrichodermin (8-HIT), as the main products (Figure 1) [13]. Similarly, a large amount of CAL accumulates in culture by the disruption of Tri1, a CYP gene involved in the modification of CAL [25].
A possible explanation for the low production of 15-deCAL by the ΔFgtri3 mutant is a functional disadvantage of trichothecene biosynthesis machinery in the absence of Tri3p. It is possible that an interaction with FgTri3p protein may be necessary for the proper assembly and full activity of Tri11p enzyme, which is responsible for the production of 15-deCAL [12]. In this study, we sought to examine this possibility by assessing the 15-deCAL accumulation level of an F. graminearum strain in which a structurally intact Tri3p protein (encoded by a catalytically impaired FgTri3 mutant gene) exists. Since the FgTri3 catalytic mutant strain still accumulated earlier bicyclic and shunt metabolites as the main products, we further tested alternative approaches to create a pathway to 15-deCAL.
Figure 1.
DON biosynthetic pathway of 3-ADON (upper route) and 15-ADON (lower route) chemotypes. The compounds 3-ADON and 15-ADON are relatively stable last intermediates, and thus their co-occurrence often causes a problem. Shunt pathways to 3-deCAL [11], and to 7-HIT and 8-HIT [26], are shown in gray. The Δtri11 mutant accumulates ITD and its shunt metabolites, 7-HIT and 8-HIT, in substantial quantities. Although highly specialized knowledge was not provided in the main text, the mutant also accumulates a trace amount of final type B trichothecene products in prolonged culture [13]. The very limited production of type B trichothecenes is likely due to partial complementation of Tri11p function by a microsomal hydroxylase [27], which generally occurs in trichothecene-producing Fusarium species. In fact, this CYP inhibitor-insensitive hydroxylase also appears to partially complement the function of Tri11p in F. sporotrichioides, as the mutant also produced a trace amount of T-2 toxin [28]. When FgTri1 is disrupted in the Δtri11 mutant background, 7-HIT and 8-HIT are no longer detected from the culture, suggesting that FgTri1 is responsible for the oxygenation of ITD in the shunt pathway [13]. In contrast to the Δtri11 mutants that produce a trace amount of the final trichothecene metabolites along with ITD and its shunt metabolites, the Δtri3 mutants of both F. graminearum and F. sporotrichioides do not produce them: they accumulate a limited amount of 15-deCAL and substantial quantities of earlier bicyclic metabolites [12].
Figure 1.
DON biosynthetic pathway of 3-ADON (upper route) and 15-ADON (lower route) chemotypes. The compounds 3-ADON and 15-ADON are relatively stable last intermediates, and thus their co-occurrence often causes a problem. Shunt pathways to 3-deCAL [11], and to 7-HIT and 8-HIT [26], are shown in gray. The Δtri11 mutant accumulates ITD and its shunt metabolites, 7-HIT and 8-HIT, in substantial quantities. Although highly specialized knowledge was not provided in the main text, the mutant also accumulates a trace amount of final type B trichothecene products in prolonged culture [13]. The very limited production of type B trichothecenes is likely due to partial complementation of Tri11p function by a microsomal hydroxylase [27], which generally occurs in trichothecene-producing Fusarium species. In fact, this CYP inhibitor-insensitive hydroxylase also appears to partially complement the function of Tri11p in F. sporotrichioides, as the mutant also produced a trace amount of T-2 toxin [28]. When FgTri1 is disrupted in the Δtri11 mutant background, 7-HIT and 8-HIT are no longer detected from the culture, suggesting that FgTri1 is responsible for the oxygenation of ITD in the shunt pathway [13]. In contrast to the Δtri11 mutants that produce a trace amount of the final trichothecene metabolites along with ITD and its shunt metabolites, the Δtri3 mutants of both F. graminearum and F. sporotrichioides do not produce them: they accumulate a limited amount of 15-deCAL and substantial quantities of earlier bicyclic metabolites [12].

2. Results and Discussion
2.1. Low Production of 15-deCAL by the ΔFgtri3 Mutant Is Not Caused by a Decrease in Tri11p Activity in the Absence of FgTri3p
Previous X-ray crystallographic studies of F. sporotrichioides FsTri3p identified the substrate-binding site of C-15 acetylase, which is located in the tunnel formed at the interface of the N- and C-terminal domains [29]. Most of the interactions with 15-deCAL are hydrophobic, including the binding of carbon C-8 of 15-deCAL to the Cγ of Val-469 (corresponding to Val-467 of FgTri3p). We selected the active site Val-467 to impair catalytic efficiency while maintaining overall FgTri3p protein structure. Ultimately, FgTri3 was mutated to FgTri3_V467G, in which this Val-467 residue was substituted to a less bulky Gly residue. The resulting FgTri3_V467G strains used in this experiment, EK_001, EK_002, and EK_003 (see Section 3.1), are derived from a transgenic strain YN_149 (Supplementary Figure S1) that overproduces 3,15-diADON [12]. In these strains, Tri6 and Tri10 trichothecene regulatory genes [30,31,32] are overexpressed from the Aspergillus nidulans translation elongation factor 1-alpha (TEF1α) and glyceraldehyde 3-phosphate dehydrogenase (GPD) gene promoters [33], respectively.
Transgenic Fusarium strains were inoculated onto liquid YS_60 medium but not onto liquid YG medium in this experiment because non-enzymatic deacetylations of trichothecene side chains are limited with the use of YS_60 compared to the previous result with YG medium [12]. Indeed, the pH of YG medium increased at a later stage of the culture and exceeded over pH 8, under which conditions nonspecific ester hydrolysis proceeds. After 3 days of culture on YS_60 medium, EK_001, EK_002, and EK_003 accumulated large amounts of bicyclic metabolites similar to the case with YN_153, except that a small amount of 3,15-diADON was also detected from these catalytic mutants (Figure 2; Supplementary Figure S2). The amount of 15-deCAL was limited in the cultures of these FgTri3 mutants, i.e., YN_153 without FgTri3p, and EK_001, EK_002, and EK_003 with a catalytically impaired FgTri3p_V467G, both of which have an intact copy of Tri11. Thus, the low 15-deCAL accumulation level appeared to be caused mainly by a decreased concentration of Tri11p’s substrate ITD, rather than by the decreased activity of Tri11p due to the disruption of potential protein–protein interactions with FgTri3p.
Figure 2.
Production of trichothecene intermediate and shunt metabolites by 3,15-diADON-overproducer YN_149, its transformant YN_153 where Tri3 was replaced with the hph::tk maker, and the transformants derived from YN_153 (EK_001, EK_002, and EK_003) where hph::tk was replaced by Tri3_V467G. These transgenic strains were cultured on liquid YS_60 medium, and the ethyl acetate extracts of the culture supernatants were analyzed after 3 days of gyratory shaking at 135 rpm and 25 °C. Both strain YN_153 and its Tri3_V467G transformants produced only a small amount of 15-deCAL in addition to the bicyclic metabolites [12]. ITD and its derivatives, 7-HIT and 8-HIT, were not detected from the culture of the FgTri3_V467G mutant (with Tri gene overexpression) in this experiment. The existence of catalytically impaired Tri3p in these Tri3_V467G transformants was responsible for the production of a small amount of 3,15-diADON in their cultures. In addition to TLC analysis, the presence and absence of these metabolites were confirmed by LC-MS/MS analysis (Supplementary Figure S2).
With limited knowledge about the early-step biosynthesis machinery of trichothecenes, the unsuccessful attempt to increase accumulation of 15-deCAL discouraged us to develop transgenic F. graminearum overproducers in the absence of fully active Tri3p enzyme. Inhibition of non-enzymatic second cyclization (resulting in decreased synthesis of ITD) but not of C-15 hydroxylation of ITD is likely to be the main reason that accounts for low accumulation of the reaction product of Tri11p in ΔFgtri3 mutants. The present result supports our previous hypothesis in which an active Tri3p enzyme is necessary for releasing the tricyclic precursor 15-deCAL outside of the toxisome membrane. A non-enzymatic second cyclization may proceed by efficient removal of 15-deCAL as the reaction product CAL from the closed-reaction system [12]. To explore the strategy of generating 15-deCAL overproducers with a FgTri3 deletion, future studies must focus on identifying a specific toxisome efflux pump, if any, which may not be regulated by Tri6p and has a high affinity to 15-deCAL.
2.2. Attempts to Establish a Metabolic Route to 15-deCAL with Transgenic Strains Carrying a Native FgTri3 Gene
To design and achieve efficient bioproduction of 15-deCAL in transgenic F. graminearum based on currently available knowledge, we attempted to establish a metabolic route to 15-deCAL from CAL by blocking A-ring oxygenation and accelerating C-15 deacetylation. We first investigated the efficiency of inhibiting A-ring oxygenation by culturing the transgenic 3-ADON chemotype (YN_155; Supplementary Figure S1) on a synthetic methionine medium [34], and then deleted Tri1 (YN_173; Supplementary Figure S1) to allow production of CAL by culturing the deletion mutant on more productive YS_60 medium, as follows: (1) Tri8 was replaced with that of the 3-ADON chemotype (Tri8_3-ADON chemotype encoding a C-15 deacetylase) in the trichothecene overproducer YN_120 [12], yielding strain YN_155, which was induced to produce trichothecenes on a synthetic methionine medium. (2) Disruption of Tri1 in YN_155 to completely delete its A-ring modification activities, yielding strain YN_173, which was induced to produce trichothecenes on liquid YS_60 medium. However, these approaches did not lead to the accumulation of 15-deCAL as the main product while considerable amounts of other metabolites were observed (Supplementary Figure S3). In this way, a major route for 15-deCAL production in transgenic strains could not be established, and another strategy based on different experimental approaches was required.
2.3. Isolation and Identification of a Fungal Strain That Specifically Deacetylates C-15 of CAL
As an alternative method for a large-scale preparation of 15-deCAL, we have also attempted to obtain 15-deCAL by microbial conversion in parallel experiments. For this purpose, a microorganism capable of specifically deacetylating C-15 of CAL was screened from soil samples. Thirty milligrams of soil samples from diverse geographical regions were suspended in water and serial dilutions of each sample were plated on medium 802 agar. The single colonies that appeared on the plate were examined for C-15 deacetylation activity using a 24-well-culture-plate feeding assay. Among 121 microbial colonies that appeared on the agar plates, a fungal strain of MT-25 isolated from rice field soil in Kusatsu City, Shiga Prefecture, hydrolyzed the 15-O-acetyl group of CAL in synthetic 1 × NS medium with a pH of four. The giant colony formed on potato dextrose agar (PDA) was colorless and cottony (Figure 3A), and micro- and macroconidia were induced on CMC liquid medium and carnation leaf agar, respectively (Figure 3B). The phylogenetic position (Figure 3C) was ascertained by aligning the partial sequences of the translation elongation factor1-α gene (EF1-α) and the second-largest subunit gene of RNA polymerase II (RPB2), which were amplified using polymerase chain reaction (PCR) with previously listed primers [35]. Based on the phylogenetic tree constructed with the combined data of EF1-α and RPB2, strain MT-25 was positioned in the same group as the Fusarium commune strains (NRRL 28387, MRC 2564, and MRC 2566) [36,37].
Figure 3.
Characterization and identification of F. commune MT-25 isolated from rice field soil. (A) Top view of PDA plates of F. commune MT-25 after 7 days of incubation at 25 °C. (B) Micro- (left) and macroconidia (right) induced to form in CMC liquid medium [38] and on carnation leaf agar [39], respectively. Scale bar = 50 μm. (C) A neighbor-joining tree of Fusarium species based on the combined sequences of the EF1-α and RPB2 datasets [37,40,41,42,43]. Numbers at the node show bootstrap values. Sequences used in the analysis are listed in Supplementary Table S1. The scale bar represents the branch length of the mean number of differences per residue.
2.4. A Bioconversion Strategy for a Large-Scale Preparation of 15-deCAL
We first generated a CAL overproducer by disrupting Tri1 in the 3,15-diADON overproducer YN_149 [12], yielding strain YN_171. This strain carries a mutated Tri8 gene (Tri8_nsm) containing a nonsense mutation (see Supplementary Figure S1) and accumulated a large amount of CAL but not C-3 deacetylated products, such as 3-deacetylcalonectrin (3-deCAL), on liquid YS_60 medium after a prolonged incubation period. This property is advantageous for efficient purification of CAL from a fungal culture.
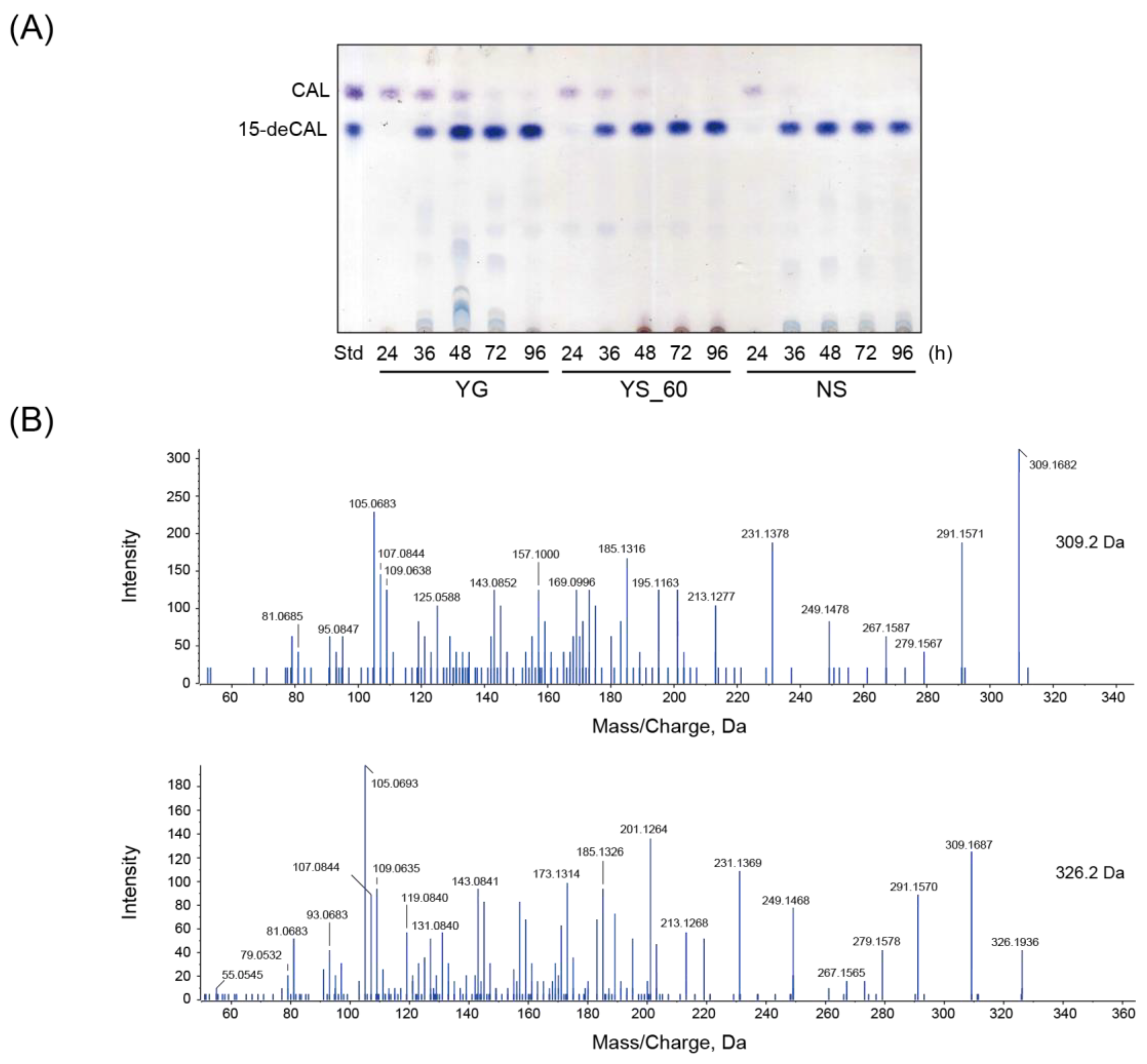
We next determined which of the following media, YG, YS_60, and 1 × NS, is most suitable for the efficient preparation of 15-deCAL via specific C-15 deacetylation of CAL. CAL was extracted from 100 mL of the YS_60 culture of the CAL overproducer YN_171 with an equal volume of ethyl acetate, and purified by thin-layer chromatography (TLC). For specific C-15 deacetylation, F. commune strain MT-25 was inoculated onto 30 mL of liquid media supplemented with a purified CAL sample (corresponding to the amount derived from 30 mL of the YN_171 culture) in a 100 mL Erlenmeyer flask (final 1.0 × 104 conidia/mL) and incubated at 25 °C with reciprocal shaking at 125 strokes/min. While the added CAL was still detected from the YG and YS_60 cultures on TLC, accompanied by the appearance of a more hydrophilic blue spot with an Rf value equal to that of 15-deCAL at 48 h of incubation (Figure 4A), it completely disappeared from the 1 × NS cultures. LC-MS/MS analysis of the metabolites confirmed the presence of 15-deCAL (Figure 4B). In the 1 × NS culture, CAL disappeared as early as by 36 h of incubation according to TLC analysis, and the intensity of the 15-deCAL spot remained almost constant even on day 7 of incubation. Such a stable bioproduction system permits great flexibility for efficient recovery of 15-deCAL from culture.
Figure 4.
Deacetylation at C-15 of CAL by F. commune MT-25. (A) TLC of metabolites of strain MT-25 fed with CAL. Strain MT-25 was cultured on liquid YG, YS_60, and 1 × NS media, and the ethyl acetate extracts of the culture supernatant were analyzed at the hours of incubation indicated at the bottom of each sample. (B) LC-MS/MS of 15-deCAL in the YG culture supernatant. The tandem mass spectra of precursor ions were detected in positive-ion mode. m/z 309.2 and m/z 326.2 correspond to [15-deCAL + H]+ (m/z 309.1697) and [15-deCAL + NH4]+ (m/z 326.1962), respectively. The MS/MS spectra were superimposable to those of the 15-deCAL standard [13].
2.5. Optimization of the 15-deCAL Preparation Method
To optimize the 15-deCAL purification protocol, we investigated the conditions under which CAL is selectively and efficiently recovered from the fermented culture of the CAL-overproducer strain YN_171 (see Supplementary Figure S4). As a result, we found that 40% the volume of hexane relative to the YN_171 culture is suitable for the recovery of CAL.
To reduce the amounts of contaminating metabolites produced by strain MT-25 during feeding, the conditions of crude CAL feeding to the culture were investigated. From the time-dependent metabolite profiles of the culture fed with two doses of CAL (Supplementary Figure S5), it was determined that CAL extracted from one volume of the YN_171 culture could reasonably be fed to a half-volume of the MT-25 culture. Up to 4 days of incubation, contaminating ethyl acetate-extractable metabolites with UV absorbance at 254 nm were negligible. From the results, the CAL-fed MT-25 culture was incubated for 4 days to purify 15-deCAL by TLC.
By applying the protocol thus determined (Supplementary Figure S6), we prepared 15-deCAL; the hexane extract of the CAL-overproducer culture was fed to the F. commune MT-25 culture. After extraction with ethyl acetate and purification by TLC, the final yields of the deacetylated product 15-deCAL in duplicate experiments were 4.16 and 4.54 mg, starting from 60 mL of YN_171 culture (average yield of 72.5 mg/L). The yield was much higher than that obtained with cultures of the Fusarium roseum wild-type (ATCC 28144) and F. sporotrichioides ΔFstri3 mutant (MB2972) strains, which afforded 0.075 mg/L [7] and 17 mg/kg [9] of 15-deCAL, respectively.
3. Materials and Methods
3.1. Strains
All transgenic F. graminearum strains used in this study are derived from strain JCM 9873, a 15-ADON producer. Strains EK_001, EK_002, and EK_003 were generated in this study by transforming YN_153 (ΔTri6/PTEF::Tri6, ΔPTri10/PGPD, ΔTri8/Tri8_nsm, ΔTri3/PGPD::hph::tk), a Tri3-knockout strain derived from a trichothecene overproducer [12], with a double crossover homologous recombination vector containing Tri3_V467G, followed by counter selection against the negative marker gene (Supplementary Figure S1). Strains YN_145 (ΔTri6/PTEF::Tri6, ΔPTri10/PGPD, ΔTri8/PGPD::hph::tk), YN_149 (ΔTri6/PTEF::Tri6, ΔPTri10/PGPD, ΔTri8/Tri8_nsm), and YN_153 (ΔTri6/PTEF::Tri6, ΔPTri10/PGPD, ΔTri8/Tri8_nsm, ΔTri3/PGPD::hph::tk) are pathway Tri gene mutants derived from a 15-ADON-overproducing strain YN_120 (ΔTri6/PTEF::Tri6, ΔPTri10/PGPD) [12]. Strains YN_155 (ΔTri6/PTEF::Tri6, ΔPTri10/PGPD, ΔTri8/Tri8_3-ADON chemotype) and YN_173 (ΔTri6/PTEF::Tri6, ΔPTri10/PGPD, ΔTri8/Tri8_3-ADON chemotype, ΔTri1/PTUB::hph::tk) (Supplementary Figure S1) were generated in our attempts to establish a metabolic route to 15-deCAL in this study. Strain YN_171 (ΔTri6/PTEF::Tri6, ΔPTri10/PGPD, ΔTri8/Tri8_nsm, ΔTri1/PTUB::hph::tk) was constructed for the overproduction of CAL necessary for the feeding of F. commune MT-25.
3.2. Media and Reagents
YS_60 (6% [w/v] sucrose, 0.1% [w/v] Bacto™ yeast extract), YG (2% [w/v] sucrose, 0.5% [w/v] Bacto™ yeast extract), and synthetic 1 × NS media [44] were used for fungal cultures. Synthetic methionine medium [34] was evaluated for the overproduction of 15-deCAL in strategy (1). For the isolation of microorganisms from soil samples, agar plates of growth medium 802 (1% [w/v] Hipolypepton, 0.2% [w/v] Bacto™ yeast extract, 0.1% [w/v] MgSO4·7H2O) were used.
TLC plates (Kieselgel F254) and LC-MS-grade acetonitrile were obtained from Merck Millipore (Darmstadt, Germany). Th chemical 2′-deoxy-5-fluorouridine (5-FdU) was from Carbosynth Ltd. (Compton, Berkshire, UK). Other materials were purchased from FUJIFILM Wako Pure Chemicals (Osaka, Japan).
3.3. Analysis of Trichothecenes
For analysis of metabolites produced by transgenic F. graminearum strains, the culture supernatant was extracted with an equal volume of ethyl acetate and the solvent layer was evaporated under nitrogen gas. After reconstitution of the dried materials in a small volume of ethanol, the samples were analyzed by TLC using ethyl acetate/toluene (3:1) as the developing solvent. Trichothecenes on TLC plates were reacted with 4-(4-nitrobenzyl)pyridine (NBP) and visualized by spraying with tetraethylenepentamine (TEPA) [45]. For LC-MS/MS analysis, an Eksigent ekspert™ ultraLC 100-XL (Dublin, CA, USA) connected to an AB SCIEX Triple TOF 4600 System (Framingham, MA, USA) was used. The procedures of the trichothecene analysis followed the conditions described in our previous studies [46].
3.4. Purification of CAL and 15-deCAL
After developing the culture extracts on TLC, the edge of the plate was separated from the whole plate. The zones containing the trichothecenes were identified by a blue color development upon reaction with NBP/TEPA. The metabolites in the silica gel layer of the intact plates were carefully scraped off using a spatula and, subsequently, eluted with ethyl acetyl acetate.
4. Conclusions
The lack of accumulation of 15-deCAL in a large quantity in the culture of the Fusarium Tri gene deletion mutants is noteworthy. This intermediate is the substrate of C-15 acetylase encoded by Tri3. The present study showed that the low level of 15-deCAL production by the ΔFgtri3 mutant was not due to a functional disadvantage of trichothecene biosynthesis machinery in the absence of structurally intact FgTri3p protein. This supports our previous model, which suggested that a catalytically active FgTri3p protein is essential for efficient non-enzymatic cyclization of earlier bicyclic intermediates. To better understand the possible roles of Tri3p in chemotype diversification, we developed a bioproduction system for 15-deCAL using a transgenic CAL-overproducer strain, combined with the ability of an F. commune strain to specifically deacetylate C-15 of CAL, for kinetic studies of Tri3p.
Supplementary Materials
Supporting information can be downloaded at https://www.mdpi.com/article/10.3390/ijms25126414/s1. Ref. [47] is cited in the supplementary materials.
Author Contributions
Conceptualization, M.K. (Makoto Kimura) and Y.N.; methodology, Y.K. (Yoshiaki Koizumi) and N.T.-A.; investigation, E.K., Y.K. (Yuna Kitamura), M.K. (Miho Katada), M.M., N.O., T.S., Y.K. (Yoshiaki Koizumi), K.M. and Y.N.; writing—review and editing, E.K., M.K. (Makoto Kimura) and Y.N.; funding acquisition, M.K (Makoto Kimura). All authors have read and agreed to the published version of the manuscript.
Funding
This work was supported by the Project of the NARO Bio-oriented Technology Research Advancement Institution (Research program on the development of innovative technology) (grant number 28007AB and JSPS KAKENHI, Grant-in-Aid for Scientific Research C (22K05379)).
Institutional Review Board Statement
Not Applicable.
Informed Consent Statement
Not Applicable.
Data Availability Statement
The original contributions presented in the study are included in the article/supplementary material, further inquiries can be directed to the corresponding authors.
Conflicts of Interest
The authors declare no conflicts of interest.
References
- Kimura, M.; Tokai, T.; Takahashi-Ando, N.; Ohsato, S.; Fujimura, M. Molecular and genetic studies of Fusarium trichothecene biosynthesis: Pathways, genes, and evolution. Biosci. Biotechnol. Biochem. 2007, 71, 2105–2123. [Google Scholar] [CrossRef] [PubMed]
- Desjardins, A.E. From yellow rain to green wheat: 25 years of trichothecene biosynthesis research. J. Agric. Food Chem. 2009, 57, 4478–4484. [Google Scholar] [CrossRef] [PubMed]
- McCormick, S.P.; Stanley, A.M.; Stover, N.A.; Alexander, N.J. Trichothecenes: From simple to complex mycotoxins. Toxins 2011, 3, 802–814. [Google Scholar] [CrossRef] [PubMed]
- Foroud, N.A.; Baines, D.; Gagkaeva, T.Y.; Thakor, N.; Badea, A.; Steiner, B.; Bürstmayr, M.; Bürstmayr, H. Trichothecenes in cereal grains—An update. Toxins 2019, 11, 634. [Google Scholar] [CrossRef] [PubMed]
- Zamir, L.O.; Devor, K.A.; Nikolakakis, A.; Sauriol, F. Biosynthesis of Fusarium culmorum trichothecenes. The roles of isotrichodermin and 12,13-epoxytrichothec-9-ene. J. Biol. Chem. 1990, 265, 6713–6725. [Google Scholar] [CrossRef] [PubMed]
- Zamir, L.O.; Devor, K.A.; Sauriol, F. Biosynthesis of the trichothecene 3-acetyldeoxynivalenol. Identification of the oxygenation steps after isotrichodermin. J. Biol. Chem. 1991, 266, 14992–15000. [Google Scholar] [CrossRef] [PubMed]
- Greenhalgh, R.; Meier, R.M.; Blackwell, B.A.; Miller, J.D.; Taylor, A.; ApSimon, J.W. Minor metabolites of Fusarium roseum (ATCC 28114). J. Agric. Food Chem. 1984, 32, 1261–1264. [Google Scholar] [CrossRef]
- Greenhalgh, R.; Levandier, D.; Adams, W.; Miller, J.D.; Blackwell, B.A.; Mcalees, A.J.; Taylor, A. Production and characterization of deoxynivalenol and other secondary metabolites of Fusarium culmorum (CMI 14764, HIX 1503). J. Agric. Food Chem. 1986, 34, 98–102. [Google Scholar] [CrossRef]
- McCormick, S.P.; Taylor, S.L.; Plattner, R.D.; Beremand, M.N. New modified trichothecenes accumulated in solid culture by mutant strains of Fusarium sporotrichioides. Appl. Environ. Microbiol. 1989, 55, 2195–2199. [Google Scholar] [CrossRef] [PubMed]
- McCormick, S.P.; Hohn, T.M.; Desjardins, A.E. Isolation and characterization of Tri3, a gene encoding 15-O-acetyltransferase from Fusarium sporotrichioides. Appl. Environ. Microbiol. 1996, 62, 353–359. [Google Scholar] [CrossRef] [PubMed]
- Gardner, D.; Glen, A.T.; Turner, W.B. Calonectrin and 15-deacetylcalonectrin, new trichothecanes from Calo-nectria nivalis. J. Chem. Soc. Perkin 1 1972, 2576–2578. [Google Scholar] [CrossRef]
- Koizumi, Y.; Nakajima, Y.; Tanaka, Y.; Matsui, K.; Sakabe, M.; Maeda, K.; Sato, M.; Koshino, H.; Sato, S.; Kimura, M.; et al. A role in 15-deacetylcalonectrin acetylation in the non-enzymatic cyclization of an earlier bicyclic intermediate in Fusarium trichothecene biosynthesis. Int. J. Mol. Sci. 2024, 25, 4288. [Google Scholar] [CrossRef] [PubMed]
- Maeda, K.; Tanaka, A.; Sugiura, R.; Koshino, H.; Tokai, T.; Sato, M.; Nakajima, Y.; Tanahashi, Y.; Kanamaru, K.; Kobayashi, T.; et al. Hydroxylations of trichothecene rings in the biosynthesis of Fusarium trichothecenes: Evolution of alternative pathways in the nivalenol chemotype. Environ. Microbiol. 2016, 18, 3798–3811. [Google Scholar] [CrossRef]
- Ueno, Y.; Nakajima, M.; Sakai, K.; Ishii, K.; Sato, N. Comparative toxicology of trichothec mycotoxins: Inhibition of protein synthesis in animal cells. J. Biochem. 1973, 74, 285–296. [Google Scholar] [PubMed]
- Sumarah, M.W. The deoxynivalenol challenge. J. Agric. Food Chem. 2022, 70, 9619–9624. [Google Scholar] [CrossRef] [PubMed]
- Mesterhazy, A. What Is Fusarium head blight (FHB) resistance and what are its food safety risks in wheat? problems and solutions—A review. Toxins 2024, 16, 31. [Google Scholar] [CrossRef]
- Yoshizawa, T. Thirty-five years of research on deoxynivalenol, a trichothecene mycotoxin: With special reference to its discovery and co-occurrence with nivalenol in Japan. Food Saf. 2013, 1, 2013002. [Google Scholar] [CrossRef]
- Pestka, J.J.; Smolinski, A.T. Deoxynivalenol: Toxicology and potential effects on humans. J. Toxicol. Environ. Health B Crit. Rev. 2005, 8, 39–69. [Google Scholar] [CrossRef] [PubMed]
- Goswami, R.S.; Kistler, H.C. Heading for disaster: Fusarium graminearum on cereal crops. Mol. Plant Pathol. 2004, 5, 515–525. [Google Scholar] [CrossRef] [PubMed]
- Ward, T.J.; Bielawski, J.P.; Kistler, H.C.; Sullivan, E.; O’Donnell, K. Ancestral polymorphism and adaptive evolution in the trichothecene mycotoxin gene cluster of phytopathogenic Fusarium. Proc. Natl. Acad. Sci. USA 2002, 99, 9278–9283. [Google Scholar] [CrossRef] [PubMed]
- Alexander, N.J.; McCormick, S.P.; Waalwijk, C.; van der Lee, T.; Proctor, R.H. The genetic basis for 3-ADON and 15-ADON trichothecene chemotypes in Fusarium. Fungal Genet. Biol. 2011, 48, 485–495. [Google Scholar] [CrossRef] [PubMed]
- Maeda, K.; Tanaka, Y.; Matsuyama, M.; Sato, M.; Sadamatsu, K.; Suzuki, T.; Matsui, K.; Nakajima, Y.; Tokai, T.; Kanamaru, K.; et al. Substrate specificities of Fusarium biosynthetic enzymes explain the genetic basis of a mixed chemotype producing both deoxynivalenol and nivalenol-type trichothecenes. Int. J. Food Microbiol. 2020, 320, 108532. [Google Scholar] [CrossRef] [PubMed]
- Miller, J.D.; Greenhalgh, R.; Wang, Y.; Lu, M. Trichothecene chemotypes of three Fusarium species. Mycologia 1991, 83, 121–130. [Google Scholar] [CrossRef]
- Greenhalgh, R.; Neish, G.A.; Miller, J.D. Deoxynivalenol, acetyl deoxynivalenol, and zearalenone formation by Canadian isolates of Fusarium graminearum on solid substrates. Appl. Environ. Microbiol. 1983, 46, 625–629. [Google Scholar] [CrossRef] [PubMed]
- McCormick, S.P.; Harris, L.J.; Alexander, N.J.; Ouellet, T.; Saparno, A.; Allard, S.; Desjardins, A.E. Tri1 in Fusarium graminearum encodes a P450 oxygenase. Appl. Environ. Microbiol. 2004, 70, 2044–2051. [Google Scholar] [CrossRef] [PubMed]
- Greenhalgh, R.; Meier, R.M.; Blackwell, B.A.; Miller, J.D.; Taylor, A.; ApSimon, J.W. Minor metabolites of Fusarium roseum (ATCC 28114). 2. J. Agric. Food Chem. 1986, 34, 115–118. [Google Scholar] [CrossRef]
- Zamir, L.O.; Farah, C.A. Is Fusarium culmorum isotrichodermin-15-hydroxylase different from other fungal species? Can. J. Microbiol. 2000, 46, 143–149. [Google Scholar] [CrossRef] [PubMed]
- McCormick, S.P.; Hohn, T.M. Accumulation of trichothecenes in liquid cultures of a Fusarium sporotrichioides mutant lacking a functional trichothecene C-15 hydroxylase. Appl. Environ. Microbiol. 1997, 63, 1685–1688. [Google Scholar] [CrossRef]
- Garvey, G.S.; McCormick, S.P.; Alexander, N.J.; Rayment, I. Structural and functional characterization of TRI3 trichothecene 15-O-acetyltransferase from Fusarium sporotrichioides. Protein Sci. 2009, 18, 747–761. [Google Scholar] [CrossRef] [PubMed]
- Proctor, R.H.; Hohn, T.M.; McCormick, S.P.; Desjardins, A.E. Tri6 encodes an unusual zinc finger protein involved in regulation of trichothecene biosynthesis in Fusarium sporotrichioides. Appl. Environ. Microbiol. 1995, 61, 1923–1930. [Google Scholar] [CrossRef] [PubMed]
- Tag, A.G.; Garifullina, G.F.; Peplow, A.W.; Ake, C., Jr.; Phillips, T.D.; Hohn, T.M.; Beremand, M.N. A novel regulatory gene, Tri10, controls trichothecene toxin production and gene expression. Appl. Environ. Microbiol. 2001, 67, 5294–5302. [Google Scholar] [CrossRef] [PubMed]
- Liew, M.X.X.; Nakajima, Y.; Maeda, K.; Kitamura, N.; Kimura, M. Regulatory mechanism of trichothecene biosynthesis in Fusarium graminearum. Front. Microbiol. 2023, 14, 1148771. [Google Scholar] [CrossRef] [PubMed]
- Nakajima, Y.; Tokai, T.; Maeda, K.; Tanaka, A.; Takahashi-Ando, N.; Kanamaru, K.; Kobayashi, T.; Kimura, M. A set of heterologous promoters useful for investigating gene functions in Fusarium graminearum. JSM Mycotoxins 2014, 64, 147–152. [Google Scholar] [CrossRef]
- Nakajima, Y.; Tanaka, Y.; Matsui, K.; Maeda, K.; Kitou, Y.; Kanamaru, K.; Ohsato, S.; Kobayashi, T.; Takahashi-Ando, N.; Kimura, M. Accumulation of an unusual trichothecene shunt metabolite in liquid culture of Fusarium graminearum with methionine as the sole nitrogen source. JSM Mycotoxins 2017, 67, 7–9. [Google Scholar] [CrossRef]
- O’Donnell, K.; Sutton Deanna, A.; Rinaldi Michael, G.; Sarver Brice, A.J.; Balajee, S.A.; Schroers, H.-J.; Summerbell Richard, C.; Robert Vincent, A.R.G.; Crous Pedro, W.; Zhang, N.; et al. Internet-accessible DNA sequence database for identifying fusaria from human and animal infections. J. Clin. Microbiol. 2010, 48, 3708–3718. [Google Scholar] [CrossRef] [PubMed]
- Skovgaard, K.; Rosendahl, S.; O’Donnell, K.; Nirenberg, H.I. Fusarium commune is a new species identified by morphological and molecular phylogenetic data. Mycologia 2003, 95, 630–636. [Google Scholar] [CrossRef] [PubMed]
- O’Donnell, K.; McCormick, S.P.; Busman, M.; Proctor, R.H.; Ward, T.J.; Doehring, G.; Geiser, D.M.; Alberts, J.F.; Rheeder, J.P. Marasas et al. 1984 “Toxigenic Fusarium species: Identity and mycotoxicology” revisited. Mycologia 2018, 110, 1058–1080. [Google Scholar] [CrossRef] [PubMed]
- Etzerodt, T.; Maeda, K.; Nakajima, Y.; Laursen, B.; Fomsgaard, I.S.; Kimura, M. 2,4-Dihydroxy-7-methoxy-2H-1,4-benzoxazin-3(4H)-one (DIMBOA) inhibits trichothecene production by Fusarium graminearum through suppression of Tri6 expression. Int. J. Food Microbiol. 2015, 214, 123–128. [Google Scholar] [CrossRef] [PubMed]
- Fisher, N.L.; Burgess, L.W.; Toussoun, T.A.; Neison, P.E. Carnation leaves as a substrate and for preserving cultures of Fusairum species. Phytopathology 1982, 72, 151–153. [Google Scholar] [CrossRef]
- Laurence, M.H.; Summerell, B.A.; Burgess, L.W.; Liew, E.C.Y. Fusarium burgessii sp. nov. representing a novel lineage in the genus Fusarium. Fungal Divers. 2011, 49, 101–112. [Google Scholar] [CrossRef]
- O’Donnell, K.; Rooney, A.P.; Proctor, R.H.; Brown, D.W.; McCormick, S.P.; Ward, T.J.; Frandsen, R.J.N.; Lysøe, E.; Rehner, S.A.; Aoki, T.; et al. Phylogenetic analyses of RPB1 and RPB2 support a middle Cretaceous origin for a clade comprising all agriculturally and medically important fusaria. Fungal Genet. Biol. 2013, 52, 20–31. [Google Scholar] [CrossRef] [PubMed]
- Yilmaz, N.; Sandoval-Denis, M.; Lombard, L.; Visagie, C.M.; Wingfield, B.D.; Crous, P.W. Redefining species limits in the Fusarium fujikuroi species complex. Persoonia 2021, 46, 129–162. [Google Scholar] [CrossRef] [PubMed]
- O’Donnell, K.; Sarver, B.A.J.; Brandt, M.; Chang, D.C.; Noble-Wang, J.; Park, B.J.; Sutton, D.A.; Benjamin, L.; Lindsley, M.; Padhye, A.; et al. Phylogenetic diversity and microsphere array-based genotyping of human pathogenic fusaria, including isolates from the multistate contact lens-associated U.S. keratitis outbreaks of 2005 and 2006. J. Clin. Microbiol. 2007, 45, 2235–2248. [Google Scholar] [CrossRef] [PubMed]
- Nakao, A.; Nakajima, Y.; Akasaka, M.; Kitou, Y.; Maeda, K.; Kanamaru, K.; Kobayashi, T.; Kimura, M. Synthetic liquid media for the study of trichothecene biosynthesis regulation in Fusarium graminearum. JSM Mycotoxins 2020, 70, 57–59. [Google Scholar] [CrossRef]
- Takitani, S.; Asabe, Y.; Kato, T.; Suzuki, M.; Ueno, Y. Spectrodensitometric determination of trichothecene mycotoxins with 4-(p-nitrobenzyl)pyridine on silica gel thin-layer chromatograms. J. Chromatogr. A 1979, 172, 335–342. [Google Scholar] [CrossRef] [PubMed]
- Matsui, K.; Takeda, H.; Shinkai, K.; Kakinuma, T.; Koizumi, Y.; Kase, M.; Yoshinari, T.; Minegishi, H.; Nakajima, Y.; Aikawa, S.; et al. 4-O-Glucosylation of trichothecenes by Fusarium species: A phase II xenobiotic metabolism for t-type trichothecene producers. Int. J. Mol. Sci. 2021, 22, 13542. [Google Scholar] [CrossRef] [PubMed]
- Takahashi-Ando, N.; Tokai, T.; Yoshida, M.; Fujimura, M.; Kimura, M. An easy method to identify 8-keto-15-hydroxytrichothecenes by thin-layer chromatography. Mycotoxins 2008, 58, 115–117. [Google Scholar] [CrossRef]
Disclaimer/Publisher’s Note: The statements, opinions and data contained in all publications are solely those of the individual author(s) and contributor(s) and not of MDPI and/or the editor(s). MDPI and/or the editor(s) disclaim responsibility for any injury to people or property resulting from any ideas, methods, instructions or products referred to in the content. |
© 2024 by the authors. Licensee MDPI, Basel, Switzerland. This article is an open access article distributed under the terms and conditions of the Creative Commons Attribution (CC BY) license (https://creativecommons.org/licenses/by/4.0/).


