Utility of an Archival Dried Blood Spot (DBS) Collection from HIV-Infected Individuals with and without Cancer in a Resource-Limited Setting
Abstract
1. Introduction
2. Results
2.1. DNA Yield from DBS
2.2. DNA Quality in the DBS
2.3. Protein Concentration from DBS
2.4. Relationship between DNA Yield and Protein Concentration
2.5. Biomarker Assays in DBS Extraction Supernatants and Paired Plasma Samples
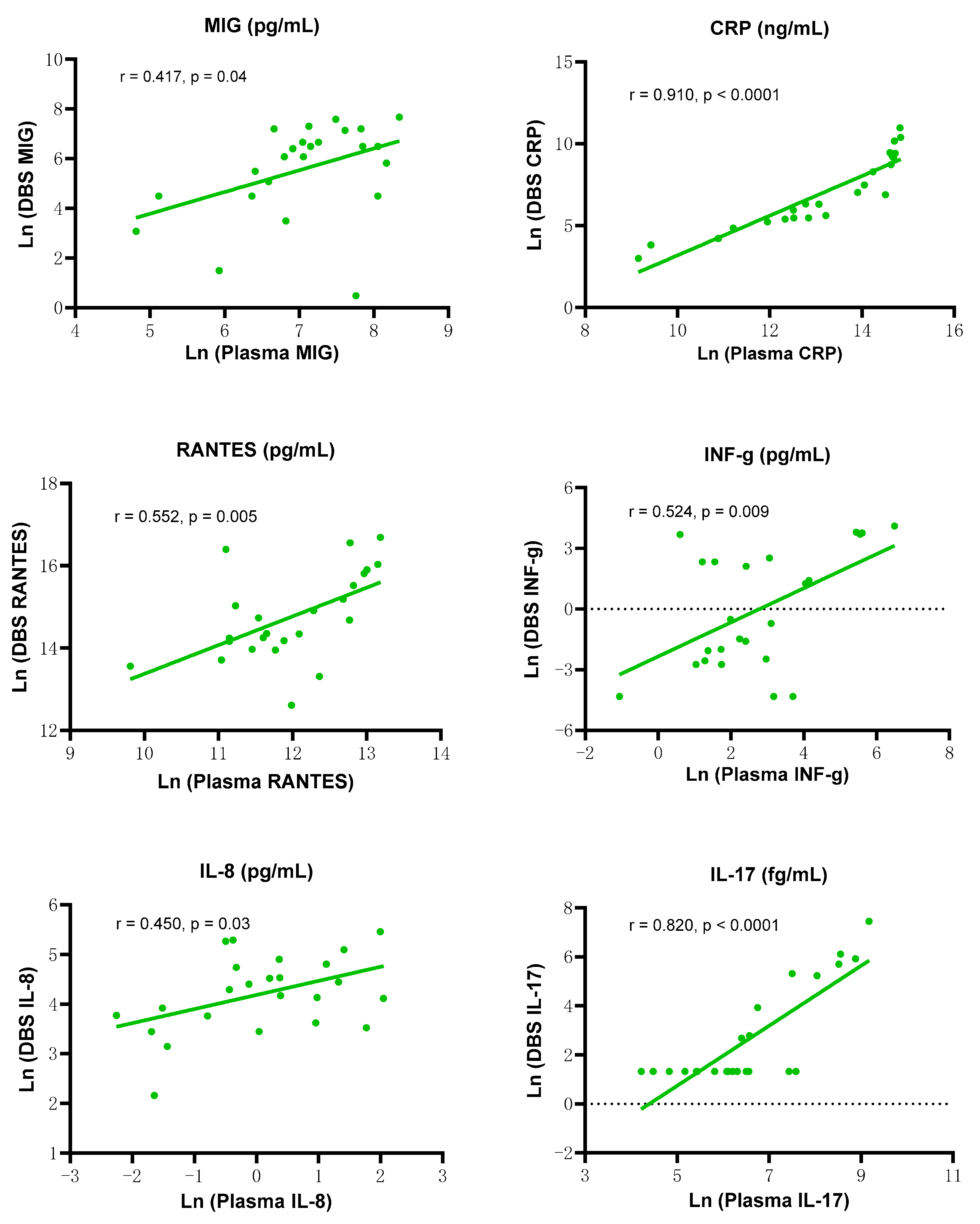
2.5.1. Relationship of Inflammatory Biomarker Levels between Archival DBS Extraction Supernatants and Paired Plasma Samples
2.5.2. High Levels of Biomarkers Observed in DBS Extraction Supernatants
2.6. Differences in Levels of Inflammatory Biomarkers between UARTO and ARKS DBS Extraction Supernatants and Paired Plasma Samples
2.6.1. Differences between UARTO and ARKS Inflammatory Biomarker Levels in DBS Extraction Supernatants
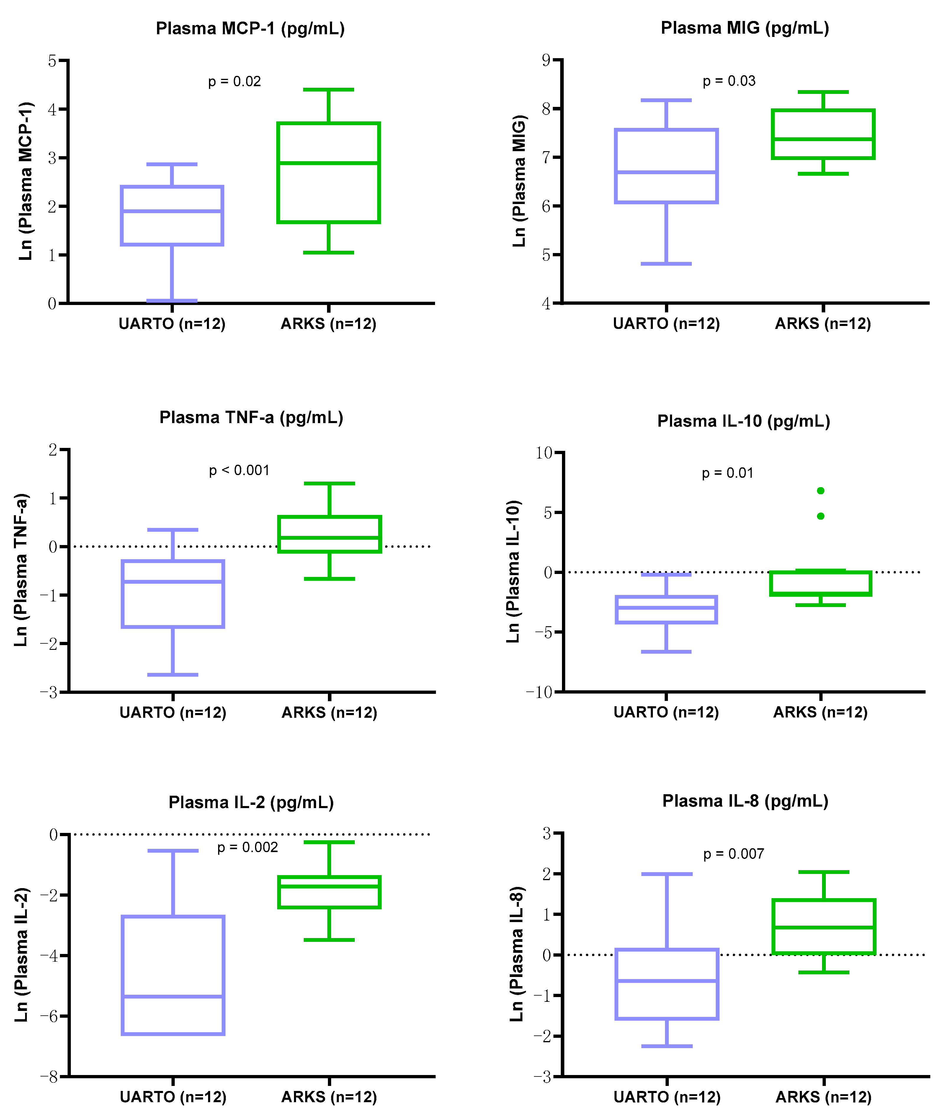
2.6.2. Inflammatory Biomarker Differences between UARTO and ARKS Plasma Samples
3. Discussion
4. Materials and Methods
4.1. Collection and Storage of Biobanking Samples
4.2. Genomic DNA (gDNA) Extraction from DBS
4.3. Assessment of gDNA from DBS
4.3.1. Qubit Fluorometer 3.0
4.3.2. Agilent Bioanalyzer 2100
4.4. Protein Extraction from Archival DBS and Concentration Measurement
4.4.1. Protein Extraction Buffer
4.4.2. Protein Extraction
4.4.3. Protein Quantification
4.5. Factors Evaluated in DBS Extraction Supernatants and Paired Plasma Samples
4.6. Statistical Analysis
5. Conclusions
Author Contributions
Funding
Institutional Review Board Statement
Informed Consent Statement
Data Availability Statement
Acknowledgments
Conflicts of Interest
References
- Beyerl, J.; Rubio-Acero, R.; Castelletti, N.; Paunovic, I.; Kroidl, I.; Khan, Z.N.; Bakuli, A.; Tautz, A.; Oft, J.; Hoelscher, M.; et al. A dried blood spot protocol for high throughput analysis of SARS-CoV-2 serology based on the Roche Elecsys anti-N assay. EBioMedicine 2021, 70, 103502. [Google Scholar] [CrossRef] [PubMed]
- Boemer, F.; Fasquelle, C.; D’otreppe, S.; Josse, C.; Dideberg, V.; Segers, K.; Guissard, V.; Capraro, V.; Debray, F.G.; Bours, V. A next-generation newborn screening pilot study: NGS on dried blood spots detects causal mutations in patients with inherited metabolic diseases. Sci. Rep. 2017, 7, 17641. [Google Scholar] [CrossRef] [PubMed]
- Kim, M.J.; Kim, S.Y.; Lee, J.S.; Kang, S.; Park, L.-J.; Choi, W.; Jung, J.Y.; Kim, T.; Park, S.S.; Ko, J.M.; et al. Rapid Targeted Sequencing Using Dried Blood Spot Samples for Patients with Suspected Actionable Genetic Diseases. Ann. Lab. Med. 2023, 43, 280–289. [Google Scholar] [CrossRef] [PubMed]
- Lechmann, J.; Gehrig, O.; Luginbühl, M.; Fraefel, C.; Gaugler, S. Fully automated dried blood spot sample handling and extraction for BoHV-1 antibody testing by ELISA. J. Virol. Methods 2022, 310, 114626. [Google Scholar] [CrossRef] [PubMed]
- Tuaillon, E.; Kania, D.; Pisoni, A.; Bollore, K.; Taieb, F.; Ontsira Ngoyi, E.N.; Schaub, R.; Plantier, J.-C.; Makinson, A.; Van de Perre, P. Dried Blood Spot Tests for the Diagnosis and Therapeutic Monitoring of HIV and Viral Hepatitis B and C. Front. Microbiol. 2020, 11, 373. [Google Scholar] [CrossRef] [PubMed]
- Zailani, N.N.B.; Ho, P.C. Dried Blood Spots-A Platform for Therapeutic Drug Monitoring (TDM) and Drug/Disease Response Monitoring (DRM). Eur. J. Drug Metab. Pharmacokinet 2023, 48, 467–494. [Google Scholar] [CrossRef]
- Malpartida-Cardenas, K.; Baum, J.; Cunnington, A.; Georgiou, P.; Rodriguez-Manzano, J. A dual paper-based nucleic acid extraction method from blood in under ten minutes for point-of-care diagnostics. Analyst 2023, 148, 3036–3044. [Google Scholar] [CrossRef]
- Malsagova, K.; Kopylov, A.; Stepanov, A.; Butkova, T.; Izotov, A.; Kaysheva, A. Dried Blood Spot in Laboratory: Directions and Prospects. Diagnostics 2020, 10, 248. [Google Scholar] [CrossRef]
- McAuliffe, G.; Gerber, A.; Chhibber, A.; Fisher, M.; Saxton, P.; Fisher, T.; Blakiston, M.; Forster, R. Evaluating the sensitivity and specificity of dried blood spots for serological testing of HIV, syphilis, hepatitis B and C Elecsys assays on the Roche Cobas system. Pathology 2023, 55, 1000–1003. [Google Scholar] [CrossRef]
- ACSR. The AIDS and Cancer Specimen Resource (ACSR) Biorepository. Available online: https://acsr1.com/ (accessed on 1 May 2020).
- Byakwaga, H.; Hunt, P.W.; Laker-Oketta, M.; Glidden, D.V.; Huang, Y.; Bwana, B.M.; Mocello, A.R.; Bennett, J.; Walusansa, V.; Dollard, S.C.; et al. The Kynurenine Pathway of Tryptophan Catabolism and AIDS-Associated Kaposi Sarcoma in Africa. J. Acquir. Immune Defic. Syndr. 2015, 70, 296–303. [Google Scholar] [CrossRef]
- Bhagya, C.H.; Wijesundera Sulochana, W.S.; Hemamali, N.P. Polymerase chain reaction optimization for amplification of Guanine-Cytosine rich templates using buccal cell DNA. Indian J. Hum. Genet. 2013, 19, 78–83. [Google Scholar] [CrossRef] [PubMed]
- Millipore-Sigma. Extraction & Amplification of Whole Blood Using WGA-Protocol. Available online: https://www.sigmaaldrich.com/US/en/technical-documents/protocol/genomics/dna-and-rna-purification/extraction-protocol-whole-blood (accessed on 7 March 2023).
- PrimerDigital. General Guidelines for PCR Optimization. Available online: https://primerdigital.com/pcr.html (accessed on 21 November 2023).
- McDade, T.W.; Miller, A.; Tran, T.T.; Borders, A.E.B.; Miller, G. A highly sensitive multiplex immunoassay for inflammatory cytokines in dried blood spots. Am. J. Hum. Biol. 2021, 33, e23558. [Google Scholar] [CrossRef] [PubMed]
- Massaro, A.N.; Wu, Y.W.; Bammler, T.K.; MacDonald, J.W.; Mathur, A.; Chang, T.; Mayock, D.; Mulkey, S.B.; van Meurs, K.; Afsharinejad, Z.; et al. Dried blood spot compared to plasma measurements of blood-based biomarkers of brain injury in neonatal encephalopathy. Pediatr. Res. 2019, 85, 655–661. [Google Scholar] [CrossRef] [PubMed]
- Skogstrand, K.; Thorsen, P.; Nørgaard-Pedersen, B.; Schendel, D.E.; Sørensen, L.C.; Hougaard, D.M. Simultaneous measurement of 25 inflammatory markers and neurotrophins in neonatal dried blood spots by immunoassay with xMAP technology. Clin. Chem. 2005, 51, 1854–1866. [Google Scholar] [CrossRef] [PubMed]
- Huxford, B.; Simonet, C.; Carbonell, L.; Zirra, A.; Vickaryous, N.; Gill, A.; Schrag, A.; Dobson, R.; Noyce, A. Dried blood and plasma spots for the measurement of neurofilament light chain and inflammatory cytokines in patients with REM sleep behaviour disorder. Mov. Disord. 2022, 37, S653. [Google Scholar]
- Chmielewski, P.P.; Strzelec, B. Elevated leukocyte count as a harbinger of systemic inflammation, disease progression, and poor prognosis: A review. Folia Morphol. 2018, 77, 171–178. [Google Scholar] [CrossRef]
- Sabir, F.N.K.; Ameen, E.M. Hematological, Immunological, and Inflammation markers in Patients of COVID-19. Cell. Mol. Biol. 2023, 69, 79–83. [Google Scholar] [CrossRef]
- Chen, Y.; Zhong, H.; Zhao, Y.; Luo, X.; Gao, W. Role of platelet biomarkers in inflammatory response. Biomark. Res. 2020, 8, 28. [Google Scholar] [CrossRef]
- Karsten, E.; Breen, E.; Herbert, B.R. Red blood cells are dynamic reservoirs of cytokines. Sci. Rep. 2018, 8, 3101. [Google Scholar] [CrossRef]
- Shukla, R.; Patel, T.; Gupte, S. Release of cytokines in stored whole blood and red cell concentrate: Effect of leukoreduction. Asian J. Transfus. Sci. 2015, 9, 145–149. [Google Scholar] [CrossRef]
- Eshghi, A.; Pistawka, A.J.; Liu, J.; Chen, M.; Sinclair, N.J.T.; Hardie, D.B.; Elliott, M.; Chen, L.; Newman, R.; Mohammed, Y.; et al. Correction: Concentration Determination of >200 Proteins in Dried Blood Spots for Biomarker Discovery and Validation. Mol. Cell. Proteom. 2020, 19, 1738. [Google Scholar] [CrossRef] [PubMed]
- Vidova, V.; Stuchlikova, E.; Vrbova, M.; Almasi, M.; Klanova, J.; Thon, V.; Spacil, Z. Multiplex Assay for Quantification of Acute Phase Proteins and Immunoglobulin A in Dried Blood Spots. J. Proteome. Res. 2019, 18, 380–391. [Google Scholar] [CrossRef] [PubMed]
- Balashova, E.E.; Lokhov, P.G.; Maslov, D.L.; Trifonova, O.P.; Khasanova, D.M.; Zalyalova, Z.A.; Nigmatullina, R.R.; Archakov, A.I.; Ugrumov, M.V. Plasma Metabolome Signature in Patients with Early-stage Parkinson Disease. Curr. Metabolomics 2018, 6, 75–82. [Google Scholar] [CrossRef]
- Ceresnak, S.R.; Zhang, Y.; Ling, X.B.; Su, K.J.; Tang, Q.; Jin, B.; Schilling, J.; Chou, C.J.; Han, Z.; Floyd, B.J.; et al. Correction: Exploring the feasibility of using long-term stored newborn dried blood spots to identify metabolic features for congenital heart disease screening. Biomark. Res. 2023, 11, 101. [Google Scholar] [CrossRef] [PubMed]
- He, D.; Yan, Q.; Uppal, K.; Walker, D.I.; Jones, D.P.; Ritz, B.; Heck, J.E. Metabolite Stability in Archived Neonatal Dried Blood Spots Used for Epidemiologic Research. Am. J. Epidemiol. 2023, 192, 1720–1730. [Google Scholar] [CrossRef]
- Murphy, M.S.; Hawken, S.; Cheng, W.; Wilson, L.A.; Lamoureux, M.; Henderson, M.; Potter, B.; Little, J.; Chakraborty, P.; Wilson, K. Metabolic profiles derived from residual blood spot samples: A longitudinal analysis. Gates Open Res. 2018, 2, 28. [Google Scholar] [CrossRef]
- Guthrie, R.; Susi, A. A Simple Phenylalanine Method for Detecting Phenylketonuria in Large Populations of Newborn Infants. Pediatrics 1963, 32, 338–343. [Google Scholar] [CrossRef]
- Abdo, M.; Coyle, R.P.; Seifert, S.M.; Castillo-Mancilla, J.R.; Jankowski, C.M.; Mawhinney, S.; Anderson, P.L.; Erlandson, K.M. Associations Between Tenofovir Diphosphate in Dried Blood Spots, Impaired Physical Function, and Fracture Risk. Open Forum Infect. Dis. 2021, 8, ofaa577. [Google Scholar] [CrossRef]
- Beeso, J.; Wong, N.; Ayling, R.; Eldridge, P.; Marshall, W.; Sherwood, R.; Peters, T. Screening for hypercholesterolaemia in 10,000 neonates in a multi-ethnic population. Eur. J. Pediatr. 1999, 158, 833–837. [Google Scholar] [CrossRef]
- Li, W.; Lee, M.S. Dried Blood Spots: Applications and Techniques; Wiley Series on Pharmaceutical Science and Biotechnology: Practices, Applications and Methods; Wiley: Hoboken, NJ, USA, 2014; p. xii. 363p. [Google Scholar]
- Moretti, F.; Birarelli, M.; Carducci, C.; Pontecoryvi, A.; Antonozzi, I. Simultaneous high-performance liquid chromatographic determination of amino acids in a dried blood spot as a neonatal screening test. J. Chromatogr. 1990, 511, 131–136. [Google Scholar] [CrossRef]
- Videbæk, C.; Melgaard, L.; Lund, A.M.; Grønborg, S.W. Newborn screening for adrenoleukodystrophy: International experiences and challenges. Mol. Genet. Metab. 2023, 140, 107734. [Google Scholar] [CrossRef] [PubMed]
- Zimmermann, R.; Marcus, U.; Schäffer, D.; Leicht, A.; Wenz, B.; Nielsen, S.; Santos-Hövener, C.; Ross, R.S.; Stambouli, O.; Ratsch, B.-A.; et al. A multicentre sero-behavioural survey for hepatitis B and C, HIV and HTLV among people who inject drugs in Germany using respondent driven sampling. BMC Public. Health 2014, 14, 845. [Google Scholar] [CrossRef] [PubMed]
- Van Baelen, A.; Roosens, L.; Devos, S.; Verhulst, S.; Eyskens, F. A new multiplex analysis of glucosylsphingosine and globotriaosylsphingosine in dried blood spots by tandem mass spectrometry. Mol. Genet. Metab. Rep. 2023, 37, 100993. [Google Scholar] [CrossRef] [PubMed]









| Study Cohort | N | Sex | Mean Age in Years ± SD | Race | HIV Status | KS Status |
|---|---|---|---|---|---|---|
| UARTO | 12 | 8 Female/4 Male | 43.3 ± 7.1 | Black African | HIV positive | Non-KS |
| ARKS | 12 | 4 Female/8 Male | 36.8 ± 9.2 | Black African | HIV positive | Confirmed KS |
Disclaimer/Publisher’s Note: The statements, opinions and data contained in all publications are solely those of the individual author(s) and contributor(s) and not of MDPI and/or the editor(s). MDPI and/or the editor(s) disclaim responsibility for any injury to people or property resulting from any ideas, methods, instructions or products referred to in the content. |
© 2024 by the authors. Licensee MDPI, Basel, Switzerland. This article is an open access article distributed under the terms and conditions of the Creative Commons Attribution (CC BY) license (https://creativecommons.org/licenses/by/4.0/).
Share and Cite
Zhang, R.; Bracci, P.M.; Leong, A.; Rapp, C.; McGrath, M.S. Utility of an Archival Dried Blood Spot (DBS) Collection from HIV-Infected Individuals with and without Cancer in a Resource-Limited Setting. Int. J. Mol. Sci. 2024, 25, 10235. https://doi.org/10.3390/ijms251910235
Zhang R, Bracci PM, Leong A, Rapp C, McGrath MS. Utility of an Archival Dried Blood Spot (DBS) Collection from HIV-Infected Individuals with and without Cancer in a Resource-Limited Setting. International Journal of Molecular Sciences. 2024; 25(19):10235. https://doi.org/10.3390/ijms251910235
Chicago/Turabian StyleZhang, Rongzhen, Paige M. Bracci, Alan Leong, Cassandra Rapp, and Michael S. McGrath. 2024. "Utility of an Archival Dried Blood Spot (DBS) Collection from HIV-Infected Individuals with and without Cancer in a Resource-Limited Setting" International Journal of Molecular Sciences 25, no. 19: 10235. https://doi.org/10.3390/ijms251910235
APA StyleZhang, R., Bracci, P. M., Leong, A., Rapp, C., & McGrath, M. S. (2024). Utility of an Archival Dried Blood Spot (DBS) Collection from HIV-Infected Individuals with and without Cancer in a Resource-Limited Setting. International Journal of Molecular Sciences, 25(19), 10235. https://doi.org/10.3390/ijms251910235

