An Enhanced Interaction of Graft and Exogenous SA on Photosynthesis, Phytohormone, and Transcriptome Analysis in Tomato under Salinity Stress
Abstract
1. Introduction
2. Results
2.1. Growth Parameters
2.2. Light Response Curve, Photosynthetic Parameters, and Chlorophyll Content
2.3. Osmotic Substance
2.4. Antioxidant Enzyme
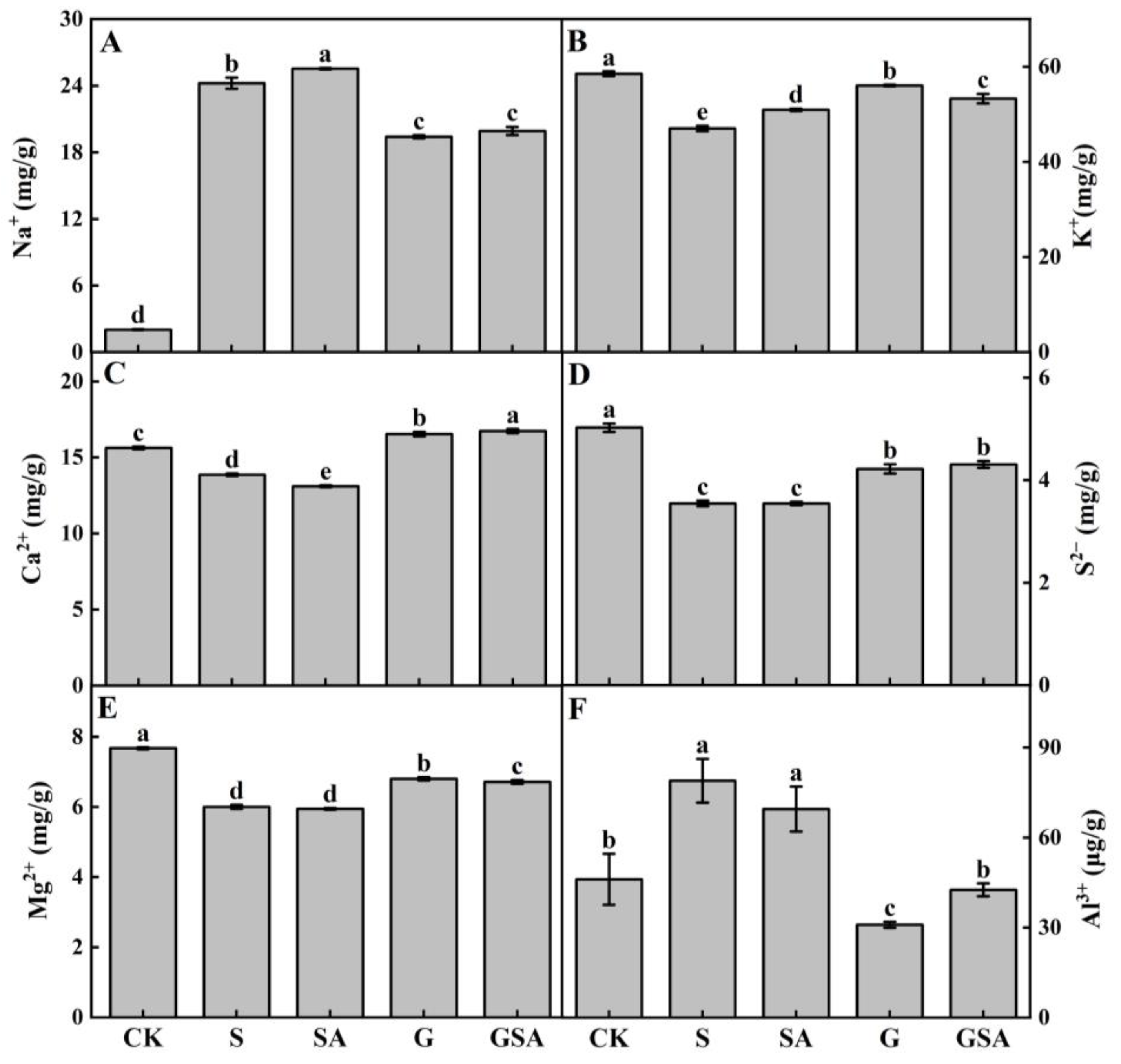
2.5. Ionic Contents
2.6. Transcriptomic Analysis
2.6.1. Identification of Differentially Expressed Genes in Leaves among Treatments
2.6.2. Gene Ontology (GO) Function Analysis of Differentially Expressed Genes among Different Treatments
2.6.3. Kyoto Encyclopedia of Genes and Genomes (KEGG) Analysis of DEGs among Different Treatments
2.7. Hormones
2.8. Confirmation of Differentially Expressed Genes by qRT-PCR Analysis
2.9. Correlation Analysis
3. Discussion
3.1. Effect of Graft, Exogenous SA, and Their Interaction on Ionic Content of Tomato under Salt Stress
3.2. Effect of Graft, Exogenous SA, and Their Interaction on Osmotic Substances of Tomato under Salt Stress
3.3. Effect of Graft, Exogenous SA, and Their Interaction on Antioxidant Enzyme of Tomato under Salt Stress
3.4. Effect of Graft, Exogenous SA, and Their Interaction on Hormones of Tomato under Salt Stress
3.5. Effect of Graft, Exogenous SA, and Their Interaction on Photosynthesis of Tomato under Salt Stress
3.6. Effect of Graft, Exogenous SA, and Their Interaction on Transcriptome of Tomato under Salt Stress
4. Materials and Methods
4.1. Plants Materials and Growth Condition
4.2. Application of Sodium Chloride (NaCl) and Salicylic Acid (SA)
4.3. Salinity Maintenance and Irrigation
4.4. Determination Methods
4.4.1. Morphological Parameters
4.4.2. Leaf Gas Exchange Parameters
4.4.3. Osmotic Substance
4.4.4. Antioxidant Enzyme
4.4.5. Ion Content
4.4.6. Phytohormone
4.4.7. Transcriptome Analysis
4.5. Data Analysis
5. Conclusions
Author Contributions
Funding
Data Availability Statement
Acknowledgments
Conflicts of Interest
Abbreviations
| CK | Control check |
| S | Salt stress treatment |
| SA | Salicylic acid treatment |
| G | Grafting treatment |
| GSA | Grafting combined salicylic acid treatment |
| WUE | Water use efficiency |
| DEGs | Differentially expressed genes |
| Pn | Net photosynthetic rate |
| Ci | Intercellular CO2 concentration |
| Gs | Stomatal conductance |
| Tr | Transpiration rate |
| SOD | Superoxide dismutase |
| CAT | Catalase |
| GO | Gene ontology |
| KEGG | Kyoto Encyclopedia of Genes and Genomes |
| BP | Biological processes |
| MF | Molecular functions |
| CC | Cellular components |
| JA | Jasmonic acid |
| IAA | Indole-3-acetic acid |
| ABA | Abscisic acid |
| Qpcr | Quantitative polymerase chain reaction |
| EC | Electrical conductivity |
| MAPK | Mitogen-Activated Protein Kinase |
| PCA | Principal Component Analysis |
| TYLCV | Tomato Yellow Leaf Curl Virus |
| TIR1 | Transport Inhibitor Response 1 |
| SAUR | Small Auxin Up-Regulated RNA |
| AHP | Arabidopsis Histidine Phosphotransfer Protein |
| PP2CA | Protein Phosphatase 2C Alpha |
| PYL | Pyrabactin Resistance 1-Like |
References
- Zhou, H.; Shi, H.; Yang, Y.; Feng, X.; Chen, X.; Xiao, F.; Lin, H.; Guo, Y. Insights into Plant Salt Stress Signaling and Tolerance. J. Genet. Genom. 2024, 51, 16–34. [Google Scholar] [CrossRef] [PubMed]
- van Zelm, E.; Zhang, Y.; Testerink, C. Salt Tolerance Mechanisms of Plants. Annu. Rev. Plant Biol. 2020, 71, 403–433. [Google Scholar] [CrossRef] [PubMed]
- Aydın, A. The Growth, Leaf Antioxidant Enzymes and Amino Acid Content of Tomato as Affected by Grafting on Wild Tomato Rootstocks 1 (S. Pimpinellifolium and S. Habrochaites) Under Salt Stress. Sci. Hortic. 2024, 325, 112679. [Google Scholar] [CrossRef]
- Qadir, M.; Quillérou, E.; Nangia, V.; Murtaza, G.; Singh, M.; Thomas, R.J.; Drechsel, P.; Noble, A.D. Economics of Salt-Induced Land Degradation and Restoration. Nat. Resour. Forum 2014, 38, 282–295. [Google Scholar] [CrossRef]
- Hailu, B.; Mehari, H. Impacts of Soil Salinity/Sodicity on Soil-Water Relations and Plant Growth in Dry Land Areas: A Re view. J. Nat. Sci. Res. 2021, 12, 1–10. [Google Scholar] [CrossRef]
- Shan, L.; Xu, Y.; Wu, D.; Hu, J.; Yu, T.; Dang, C.; Fang, Y.; Zhang, X.; Tian, Q.; Xue, D. Effects of Salicylic Acid on Growth, Physiology, and Gene Expression in Rice Seedlings under Salt and Drought Stress. Plant Stress 2024, 11, 100413. [Google Scholar] [CrossRef]
- Hashempour, A.; Ghasemnezhad, M.; Fotouhi Ghazvini, R.; Sohani, M.M. The Physiological and Biochemical Responses to Freezing Stress of Olive Plants Treated with Salicylic Acid. Russ. J. Plant Physiol. 2014, 61, 443–450. [Google Scholar] [CrossRef]
- Khalvandi, M.; Siosemardeh, A.; Roohi, E.; Keramati, S. Salicylic Acid Alleviated the Effect of Drought Stress on Photosyn thetic Characteristics and Leaf Protein Pattern in Winter Wheat. Heliyon 2021, 7, e05908. [Google Scholar] [CrossRef]
- Urmi, T.A.; Islam, M.M.; Zumur, K.N.; Abedin, M.A.; Haque, M.M.; Siddiqui, M.H.; Murata, Y.; Hoque, M.A. Combined Effect of Salicylic Acid and Proline Mitigates Drought Stress in Rice (Oryza sativa L.) through the Modulation of Physiological Attributes and Antioxidant Enzymes. Antioxidants 2023, 12, 1438. [Google Scholar] [CrossRef]
- Sedaghat, M.; Tahmasebi-Sarvestani, Z.; Emam, Y.; Mokhtassi-Bidgoli, A. Physiological and Antioxidant Responses of Winter Wheat Cultivars to Strigolactone and Salicylic Acid in Drought. Plant Physiol. Biochem. 2017, 119, 59–69. [Google Scholar] [CrossRef]
- Misra, N.; Saxena, P. Effect of Salicylic Acid on Proline Metabolism in Lentil Grown under Salinity Stress. Plant Sci. 2009, 177, 181–189. [Google Scholar] [CrossRef]
- Mimouni, H.; Wasti, S.; Manaa, A.; Gharbi, E.; Chalh, A.; Vandoorne, B.; Lutts, S.; Ahmed, H.B. Does Salicylic Acid (SA) Improve Tolerance to Salt Stress in Plants? A Study of SA Effects On Tomato Plant Growth, Water Dynamics, Photosynthesis, and Biochemical Parameters. OMICS J. Integr. Biol. 2016, 20, 180–190. [Google Scholar] [CrossRef] [PubMed]
- Gupta, S.; Seth, C.S. Salicylic Acid Alleviates Chromium (VI) Toxicity by Restricting Its Uptake, Improving Photosynthesis and Augmenting Antioxidant Defense in Solanum lycopersicum L. Physiol. Mol. Biol. Plants 2021, 27, 2651–2664. [Google Scholar] [CrossRef] [PubMed]
- Gao, Q.; Liu, Y.; Liu, Y.; Dai, C.; Zhang, Y.; Zhou, F.; Zhu, Y. Salicylic Acid Modulates the Osmotic System and Photosynthesis Rate to Enhance the Drought Tolerance of Toona Ciliata. Plants 2023, 12, 4187. [Google Scholar] [CrossRef]
- Mozafarian Meimandi, M.; Kappel, N. Grafting Plants to Improve Abiotic Stress Tolerance. In Plant Ecophysiology and Adaptation under Climate Change: Mechanisms and Perspectives II: Mechanisms of Adaptation and Stress Amelioration; Hasanuzzaman, M., Ed.; Springer: Singapore, 2020; pp. 477–490. ISBN 9789811521720. [Google Scholar] [CrossRef]
- Singh, H.; Kumar, P.; Kumar, A.; Kyriacou, M.C.; Colla, G.; Rouphael, Y. Grafting Tomato as a Tool to Improve Salt Tolerance. Agronomy 2020, 10, 263. [Google Scholar] [CrossRef]
- Yin, H.; Yan, B.; Sun, J.; Jia, P.; Zhang, Z.; Yan, X.; Chai, J.; Ren, Z.; Zheng, G.; Liu, H. Graft-Union Development: A Delicate Process That Involves Cell–Cell Communication between Scion and Stock for Local Auxin Accumulation. J. Exp. Bot. 2012, 63, 4219–4232. [Google Scholar] [CrossRef]
- Melnyk, C.W.; Gabel, A.; Hardcastle, T.J.; Robinson, S.; Miyashima, S.; Grosse, I.; Meyerowitz, E.M. Transcriptome Dynamics at Arabidopsis Graft Junctions Reveal an Intertissue Recognition Mechanism That Activates Vascular Regeneration. Proc. Natl. Acad. Sci. USA 2018, 115, E2447–E2456. [Google Scholar] [CrossRef]
- Ding, X.; Miao, C.; Li, R.; He, L.; Zhang, H.; Jin, H.; Cui, J.; Wang, H.; Zhang, Y.; Lu, P.; et al. Artificial Light for Improving Tomato Recovery Following Grafting: Transcriptome and Physiological Analyses. Int. J. Mol. Sci. 2023, 24, 15928. [Google Scholar] [CrossRef]
- Fullana-Pericàs, M.; Conesa, M.À.; Pérez-Alfocea, F.; Galmés, J. The Influence of Grafting on Crops’ Photosynthetic Performance. Plant Sci. 2020, 295, 110250. [Google Scholar] [CrossRef]
- Penella, C.; Nebauer, S.G.; Bautista, A.S.; López-Galarza, S.; Calatayud, Á. Rootstock Alleviates PEG-Induced Water Stress in Grafted Pepper Seedlings: Physiological Responses. J. Plant Physiol. 2014, 171, 842–851. [Google Scholar] [CrossRef]
- Richardson, A.E.; Barea, J.-M.; McNeill, A.M.; Prigent-Combaret, C. Acquisition of Phosphorus and Nitrogen in the Rhizosphere and Plant Growth Promotion by Microorganisms. Plant Soil 2009, 321, 305–339. [Google Scholar] [CrossRef]
- King, S.R.; Davis, A.R.; Zhang, X.; Crosby, K. Genetics, Breeding and Selection of Rootstocks for Solanaceae and Cucurbitaceae. Sci. Hortic. 2010, 127, 106–111. [Google Scholar] [CrossRef]
- Koleška, I.; Hasanagić, D.; Todorović, V.; Murtić, S.; Maksimović, I. Grafting Influence on the Weight and Quality of Tomato Fruit under Salt Stress. Ann. Appl. Biol. 2018, 172, 187–196. [Google Scholar] [CrossRef]
- Penella, C.; Nebauer, S.G.; López-Galarza, S.; Quiñones, A.; San Bautista, A.; Calatayud, Á. Grafting Pepper onto Tolerant Rootstocks: An Environmental-Friendly Technique Overcome Water and Salt Stress. Sci. Hortic. 2017, 226, 33–41. [Google Scholar] [CrossRef]
- Zhang, H.; Li, X.; Zhang, S.; Yin, Z.; Zhu, W.; Li, J.; Meng, L.; Zhong, H.; Xu, N.; Wu, Y.; et al. Rootstock Alleviates Salt Stress in Grafted Mulberry Seedlings: Physiological and PSII Function Responses. Front. Plant Sci. 2018, 9, 1806. [Google Scholar] [CrossRef]
- Tahjib-Ul-Arif, M.; Siddiqui, M.N.; Sohag, A.A.M.; Sakil, M.A.; Rahman, M.M.; Polash, M.A.S.; Mostofa, M.G.; Tran, L.-S.P. Salicylic Acid-Mediated Enhancement of Photosynthesis Attributes and Antioxidant Capacity Contributes to Yield Improvement of Maize Plants Under Salt Stress. J. Plant Growth Regul. 2018, 37, 1318–1330. [Google Scholar] [CrossRef]
- Yusuf, M.; Hasan, S.A.; Ali, B.; Hayat, S.; Fariduddin, Q.; Ahmad, A. Effect of Salicylic Acid on Salinity-Induced Changes in Brassica Juncea. J. Integr. Plant Biol. 2008, 50, 1096–1102. [Google Scholar] [CrossRef]
- Love, M.I.; Huber, W.; Anders, S. Moderated Estimation of Fold Change and Dispersion for RNA-Seq Data with DESeq2. Genome Biol. 2014, 15, 550. [Google Scholar] [CrossRef]
- Baldwin, P.R.; Butcher, D.J. Phytoremediation of Arsenic by Two Hyperaccumulators in a Hydroponic Environment. Microchem. J. 2007, 85, 297–300. [Google Scholar] [CrossRef]
- Falhof, J.; Pedersen, J.T.; Fuglsang, A.T.; Palmgren, M. Plasma Membrane H+-ATPase Regulation in the Center of Plant Physiology. Mol. Plant 2016, 9, 323–337. [Google Scholar] [CrossRef]
- Assaha, D.V.M.; Ueda, A.; Saneoka, H.; Al-Yahyai, R.; Yaish, M.W. The Role of Na+ and K+ Transporters in Salt Stress Adaptation in Glycophytes. Front. Physiol. 2017, 8, 509. [Google Scholar] [CrossRef]
- Almeida, D.M.; Oliveira, M.M.; Saibo, N.J.M. Regulation of Na+ and K+ Homeostasis in Plants: Towards Improved Salt Stress Tolerance in Crop Plants. Genet. Mol. Biol. 2017, 40, 326–345. [Google Scholar] [CrossRef] [PubMed]
- Gupta, B.; Huang, B. Mechanism of Salinity Tolerance in Plants: Physiological, Biochemical, and Molecular Characterization. Int. J. Genom. 2014, 2014, e701596. [Google Scholar] [CrossRef] [PubMed]
- Huang, Y.; Bie, Z.; Liu, P.; Niu, M.; Zhen, A.; Liu, Z.; Lei, B.; Gu, D.; Lu, C.; Wang, B. Reciprocal Grafting between Cucumber and Pumpkin Demonstrates the Roles of the Rootstock in the Determination of Cucumber Salt Tolerance and Sodium Accumulation. Sci. Hortic. 2013, 149, 47–54. [Google Scholar] [CrossRef]
- Wang, X.; Lan, Z.; Tian, L.; Li, J.; Yang, G.; Gao, Y.; Zhang, X. Change of Physiological Properties and Ion Distribution by Synergistic Effect of Ca2+ and Grafting under Salt Stress on Cucumber Seedlings. Agronomy 2021, 11, 848. [Google Scholar] [CrossRef]
- Köster, P.; Wallrad, L.; Edel, K.H.; Faisal, M.; Alatar, A.A.; Kudla, J. The Battle of Two Ions: Ca2+ Signalling against Na+ Stress. Plant Biol. 2019, 21, 39–48. [Google Scholar] [CrossRef]
- Manishankar, P.; Wang, N.; Köster, P.; Alatar, A.A.; Kudla, J. Calcium Signaling during Salt Stress and in the Regulation of Ion Homeostasis. J. Exp. Bot. 2018, 69, 4215–4226. [Google Scholar] [CrossRef]
- Moore, C.A.; Bowen, H.C.; Scrase-Field, S.; Knight, M.R.; White, P.J. The Deposition of Suberin Lamellae Determines the Magnitude of Cytosolic Ca2+ Elevations in Root Endodermal Cells Subjected to Cooling. Plant J. 2002, 30, 457–465. [Google Scholar] [CrossRef]
- Lei, B.; Huang, Y.; Xie, J.J.; Liu, Z.X.; Zhen, A.; Fan, M.L.; Bie, Z.L. Increased Cucumber Salt Tolerance by Grafting on Pump kin Rootstock and after Application of Calcium. Biol. Plant. 2014, 58, 179–184. [Google Scholar] [CrossRef]
- Li, L.; Zhu, T.; Liu, J.; Zhao, C.; Li, L.; Chen, M. An Orthogonal Test of the Effect of NO3−, PO43−, K+, and Ca2+ on the Growth and Ion Absorption of Elaeagnus angustifolia L. Seedlings under Salt Stress. Acta Physiol. Plant. 2019, 41, 179. [Google Scholar] [CrossRef]
- Yang, Y.; Guo, Y. Elucidating the Molecular Mechanisms Mediating Plant Salt-stress Responses. New Phytol. 2017, 217, 467–960. [Google Scholar] [CrossRef] [PubMed]
- Egea, I.; Pineda, B.; Ortíz-Atienza, A.; Plasencia, F.A.; Drevensek, S.; García-Sogo, B.; Yuste-Lisbona, F.J.; Barrero-Gil, J.; Atarés, A.; Flores, F.B.; et al. The SlCBL10 Calcineurin B-Like Protein Ensures Plant Growth under Salt Stress by Regulating Na+ and Ca2+ Homeostasis. Plant Physiol. 2018, 176, 1676–1693. [Google Scholar] [CrossRef] [PubMed]
- Lee, Y.; Rubio, M.C.; Alassimone, J.; Geldner, N. A Mechanism for Localized Lignin Deposition in the Endodermis. Cell 2013, 153, 402–412. [Google Scholar] [CrossRef] [PubMed]
- Kolukisaoglu, U.; Weinl, S.; Blazevic, D.; Batistic, O.; Kudla, J. Calcium Sensors and Their Interacting Protein Kinases: Ge nomics of the Arabidopsis and Rice CBL-CIPK Signaling Networks. Plant Physiol. 2004, 134, 43–58. [Google Scholar] [CrossRef]
- Xu, J.; Li, H.-D.; Chen, L.-Q.; Wang, Y.; Liu, L.-L.; He, L.; Wu, W.-H. A Protein Kinase, Interacting with Two Calcineurin B-like Proteins, Regulates K+ Transporter AKT1 in Arabidopsis. Cell 2006, 125, 1347–1360. [Google Scholar] [CrossRef]
- Savvas, D.; Gruda, N. Application of Soilless Culture Technologies in the Modern Greenhouse Industry—A Review. Eur. J. Hortic. Sci. 2018, 83, 280–293. [Google Scholar] [CrossRef]
- Ding, X.; Zhang, H.; Qian, T.; He, L.; Jin, H.; Zhou, Q.; Yu, J. Nutrient Concentrations Induced Abiotic Stresses to Sweet Pep per Seedlings in Hydroponic Culture. Plants 2022, 11, 1098. [Google Scholar] [CrossRef]
- Ding, X.; Jiang, Y.; Zhao, H.; Guo, D.; He, L.; Liu, F.; Zhou, Q.; Nandwani, D.; Hui, D.; Yu, J. Electrical Conductivity of Nutrient Solution Influenced Photosynthesis, Quality, and Antioxidant Enzyme Activity of Pakchoi (Brassica campestris L. ssp. Chinensis) in a Hydroponic System. PLoS ONE 2018, 13, e0202090. [Google Scholar] [CrossRef]
- Fukuda, A.; Nakamura, A.; Hara, N.; Toki, S.; Tanaka, Y. Molecular and Functional Analyses of Rice NHX-Type Na+/H+ Antiporter Genes. Planta 2011, 233, 175–188. [Google Scholar] [CrossRef]
- Duan, W.; Lu, B.; Liu, L.; Meng, Y.; Ma, X.; Li, J.; Zhang, K.; Sun, H.; Zhang, Y.; Dong, H.; et al. Effects of Exogenous Melatonin on Root Physiology, Transcriptome and Metabolome of Cotton Seedlings under Salt Stress. Int. J. Mol. Sci. 2022, 23, 9456. [Google Scholar] [CrossRef]
- Rajabi Dehnavi, A.; Zahedi, M.; Ludwiczak, A.; Piernik, A. Foliar Application of Salicylic Acid Improves Salt Tolerance of Sorghum (Sorghum bicolor (L.) Moench). Plants 2022, 11, 368. [Google Scholar] [CrossRef] [PubMed]
- Misra, N.; Misra, R. Salicylic Acid Changes Plant Growth Parameters and Proline Metabolism in Rauwolfia Serpentina Leaves Grown under Salinity Stress. Am.-Eurasian J. Agric. Environ. Sci. 2012, 12, 1601–1609. [Google Scholar]
- Sharma, A.; Pandey, H.; Devadas, V.S.; Kartha, B.D.; Vashishth, A. Phytoremediation, Stress Tolerance and Bio Fortification in Crops through Soilless Culture. Crop Des. 2023, 2, 100027. [Google Scholar] [CrossRef]
- Baruah, S.; Borgohain, J.; Sarma, K.P. Phytoremediation of Arsenic by Trapa Natans in a Hydroponic System. Water Environ. Res. 2014, 86, 422–432. [Google Scholar] [CrossRef] [PubMed]
- Roy, S.J.; Negrão, S.; Tester, M. Salt Resistant Crop Plants. Curr. Opin. Biotechnol. 2014, 26, 115–124. [Google Scholar] [CrossRef]
- Pan, Y.; Wu, L.J.; Yu, Z.L. Effect of Salt and Drought Stress on Antioxidant Enzymes Activities and SOD Isoenzymes of Liquorice (Glycyrrhiza uralensis Fisch). Plant Growth Regul. 2006, 49, 157–165. [Google Scholar] [CrossRef]
- Siddiqui, M.H.; Alamri, S.; Al-Khaishany, M.Y.; Khan, M.N.; Al-Amri, A.; Ali, H.M.; Alaraidh, I.A.; Alsahli, A.A. Exogenous Melatonin Counteracts NaCl-Induced Damage by Regulating the Antioxidant System, Proline and Carbohydrates Metabolism in Tomato Seedlings. Int. J. Mol. Sci. 2019, 20, 353. [Google Scholar] [CrossRef]
- Yu, Z.; Duan, X.; Luo, L.; Dai, S.; Ding, Z.; Xia, G. How Plant Hormones Mediate Salt Stress Responses. Trends Plant Sci. 2020, 25, 1117–1130. [Google Scholar] [CrossRef]
- Verma, V.; Ravindran, P.; Kumar, P.P. Plant Hormone-Mediated Regulation of Stress Responses. BMC Plant Biol. 2016, 16, 86. [Google Scholar] [CrossRef]
- Ahanger, M.A.; Aziz, U.; Alsahli, A.A.; Alyemeni, M.N.; Ahmad, P. Influence of Exogenous Salicylic Acid and Nitric Oxide on Growth, Photosynthesis, and Ascorbate-Glutathione Cycle in Salt Stressed Vigna Angularis. Biomolecules 2020, 10, 42. [Google Scholar] [CrossRef]
- Lee, S.; Kim, S.-G.; Park, C.-M. Salicylic Acid Promotes Seed Germination under High Salinity by Modulating Antioxidant Activity in Arabidopsis. New Phytol. 2010, 188, 626–637. [Google Scholar] [CrossRef] [PubMed]
- Ding, Y.; Sun, T.; Ao, K.; Peng, Y.; Zhang, Y.; Li, X.; Zhang, Y. Opposite Roles of Salicylic Acid Receptors NPR1 and NPR3/NPR4 in Transcriptional Regulation of Plant Immunity. Cell 2018, 173, 1454–1467.e15. [Google Scholar] [CrossRef]
- Zhang, Y.; Li, X. Salicylic Acid: Biosynthesis, Perception, and Contributions to Plant Immunity. Curr. Opin. Plant Biol. 2019, 50, 29–36. [Google Scholar] [CrossRef] [PubMed]
- Guo, M.; Wang, X.-S.; Guo, H.-D.; Bai, S.-Y.; Khan, A.; Wang, X.-M.; Gao, Y.-M.; Li, J.-S. Tomato Salt Tolerance Mechanisms and Their Potential Applications for Fighting Salinity: A Review. Front. Plant Sci. 2022, 13, 949541. [Google Scholar] [CrossRef] [PubMed]
- Yang, W.; Zhou, Z.; Chu, Z. Emerging Roles of Salicylic Acid in Plant Saline Stress Tolerance. Int. J. Mol. Sci. 2023, 24, 3388. [Google Scholar] [CrossRef]
- Sudhir, P.; Murthy, S.D.S. Effects of Salt Stress on Basic Processes of Photosynthesis. Photosynthetica 2004, 42, 481–486. [Google Scholar] [CrossRef]
- He, Q.; Zhao, S.; Ma, Q.; Zhang, Y.; Huang, L.; Li, G.; Hao, L. Endogenous Salicylic Acid Levels and Signaling Positively Regulate Arabidopsis Response to Polyethylene Glycol-Simulated Drought Stress. J. Plant Growth Regul. 2014, 33, 871–880. [Google Scholar] [CrossRef]
- Dong, C.-J.; Wang, X.-L.; Shang, Q.-M. Salicylic Acid Regulates Sugar Metabolism That Confers Tolerance to Salinity Stress in Cucumber Seedlings. Sci. Hortic. 2011, 129, 629–636. [Google Scholar] [CrossRef]
- Saini, L.K.; Singh, N.; Pandey, G.K. Plant Protein Phosphatase 2C: Critical Negative Regulator of ABA Signaling. In Protein Phosphatases and Stress Management in Plants: Functional Genomic Perspective; Pandey, G.K., Ed.; Springer International Publishing: Cham, Switzerland, 2020; pp. 83–102. ISBN 978-3-030-48733-1. [Google Scholar]
- Cao, J.; Jiang, W.; Zhao, Y. Experiment Guidance of Postharvest Physiology and Biochemistry of Fruits and Vegetables (Chinese Edition); China Light Industry Press: Beijing, China, 2017; ISBN 978-7-5019-6003-3. [Google Scholar]
- Jiang, Y.; Ding, X.; Wang, J.; Zou, J.; Nie, W.-F. Decreased Low-Light Regulates Plant Morphogenesis through the Manipula tion of Hormone Biosynthesis in Solanum lycopersicum. Environ. Exp. Bot. 2021, 185, 104409. [Google Scholar] [CrossRef]

















| Treatment | Stem Length/cm | Stem Diameter/mm | Shoot Fresh Weight/g | Root Fresh Weight/g | Shoot Dry Weight/g | Root Dry Weight/g | Leaf Number |
|---|---|---|---|---|---|---|---|
| CK | 16.3 ± 0.8 a | 6.86 ± 0.11 a | 21.3 ± 2.2 a | 3.27 ± 0.30 a | 1.80 ± 0.11 a | 0.21 ± 0.022 a | 7.6 ± 0.5 a |
| S | 10.2 ± 0.8 d | 4.27 ± 0.24 d | 3.8 ± 0.4 d | 0.57 ± 0.12 d | 0.43 ± 0.03 d | 0.06 ± 0.002 c | 6.0 ± 0.0 c |
| SA | 12.5 ± 0.5 c | 4.74 ± 0.06 c | 6.7 ± 0.5 c | 1.43 ± 0.21 c | 0.66 ± 0.04 c | 0.15 ± 0.009 b | 6.0 ± 0.0 c |
| G | 12.9 ± 0.8 c | 5.38 ± 0.11 b | 8.1 ± 0.9 c | 1.93 ± 0.21 b | 0.71 ± 0.08 c | 0.15 ± 0.004 b | 6.6 ± 0.5 b |
| GSA | 14.3 ± 0.6 b | 5.28 ± 0.13 b | 13.2 ± 1.5 b | 2.20 ± 0.26 b | 1.13 ± 0.05 b | 0.16 ± 0.005 b | 7.0 ± 0.0 b |
| Treatment | Pn (µmol CO2·m−2·s−1) | Gs (mmol H2O·m−2·s−1) | Ci (µmol CO2·mol−1) | Tr (mmol H2O·m−2·s−1) |
|---|---|---|---|---|
| CK | 18.8 ± 1.5 a | 254.3 ± 19.2 a | 282.3 ± 8.1 a | 3.21 ± 0.23 a |
| S | 10.4 ± 0.7 d | 61.0 ± 12.2 d | 147.6 ± 37.3 d | 1.27 ± 0.27 c |
| SA | 10.8 ± 0.5 cd | 100.3 ± 19.8 bc | 243.0 ± 26.5 ab | 1.94 ± 0.25 b |
| G | 12.1 ± 0.7 c | 80.6 ± 12.6 cd | 190.0 ± 18.7 c | 1.27 ± 0.18 c |
| GSA | 13.8 ± 0.2 b | 115.3 ± 4.9 b | 225.0 ± b10.8 c | 1.72 ± 0.03 b |
Disclaimer/Publisher’s Note: The statements, opinions and data contained in all publications are solely those of the individual author(s) and contributor(s) and not of MDPI and/or the editor(s). MDPI and/or the editor(s) disclaim responsibility for any injury to people or property resulting from any ideas, methods, instructions or products referred to in the content. |
© 2024 by the authors. Licensee MDPI, Basel, Switzerland. This article is an open access article distributed under the terms and conditions of the Creative Commons Attribution (CC BY) license (https://creativecommons.org/licenses/by/4.0/).
Share and Cite
Miao, C.; Zhang, Y.; Cui, J.; Zhang, H.; Wang, H.; Jin, H.; Lu, P.; He, L.; Zhou, Q.; Yu, J.; et al. An Enhanced Interaction of Graft and Exogenous SA on Photosynthesis, Phytohormone, and Transcriptome Analysis in Tomato under Salinity Stress. Int. J. Mol. Sci. 2024, 25, 10799. https://doi.org/10.3390/ijms251910799
Miao C, Zhang Y, Cui J, Zhang H, Wang H, Jin H, Lu P, He L, Zhou Q, Yu J, et al. An Enhanced Interaction of Graft and Exogenous SA on Photosynthesis, Phytohormone, and Transcriptome Analysis in Tomato under Salinity Stress. International Journal of Molecular Sciences. 2024; 25(19):10799. https://doi.org/10.3390/ijms251910799
Chicago/Turabian StyleMiao, Chen, Yongxue Zhang, Jiawei Cui, Hongmei Zhang, Hong Wang, Haijun Jin, Panling Lu, Lizhong He, Qiang Zhou, Jizhu Yu, and et al. 2024. "An Enhanced Interaction of Graft and Exogenous SA on Photosynthesis, Phytohormone, and Transcriptome Analysis in Tomato under Salinity Stress" International Journal of Molecular Sciences 25, no. 19: 10799. https://doi.org/10.3390/ijms251910799
APA StyleMiao, C., Zhang, Y., Cui, J., Zhang, H., Wang, H., Jin, H., Lu, P., He, L., Zhou, Q., Yu, J., & Ding, X. (2024). An Enhanced Interaction of Graft and Exogenous SA on Photosynthesis, Phytohormone, and Transcriptome Analysis in Tomato under Salinity Stress. International Journal of Molecular Sciences, 25(19), 10799. https://doi.org/10.3390/ijms251910799

