Exploration of Nutraceutical Potentials of Isorhapontigenin, Oxyresveratrol and Pterostilbene: A Metabolomic Approach
Abstract
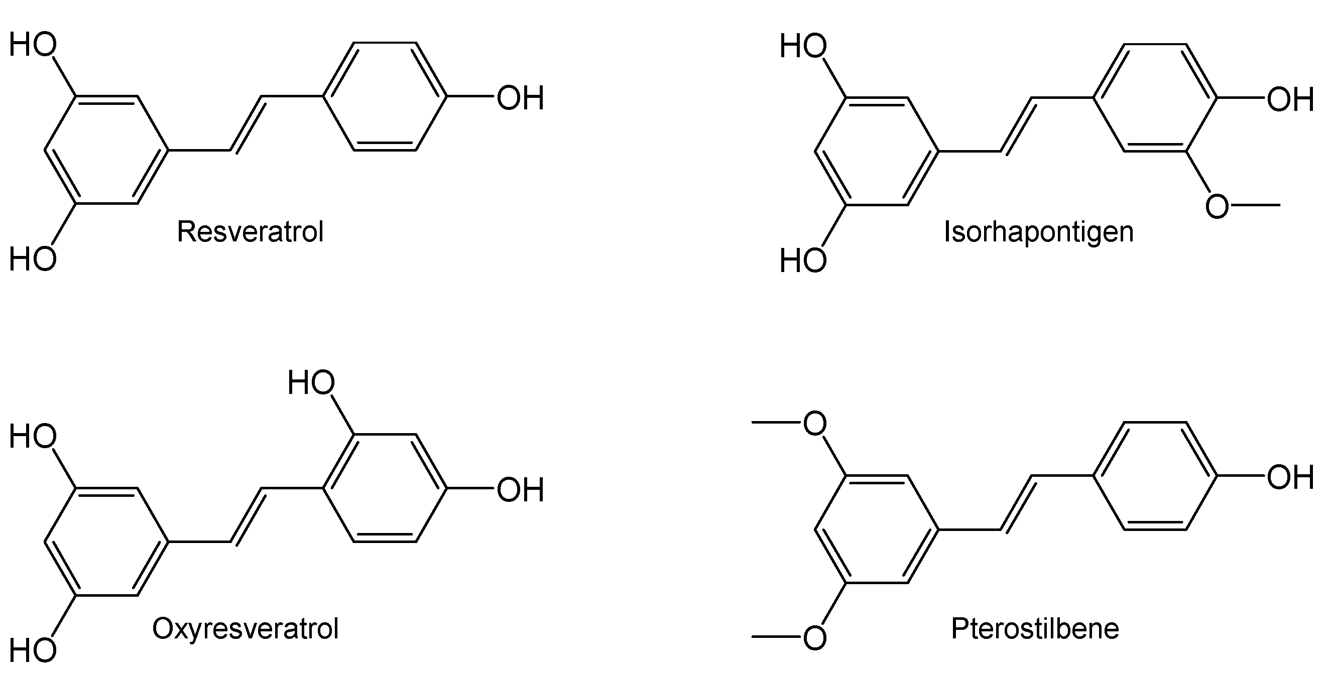
1. Introduction
2. Results
2.1. Body Weight Gain, Fasting Blood Glucose and Plasma Cholesterol
2.2. Metabolomic Analyses
2.2.1. Hepatic Metabolomic Analyses
2.2.2. Cardiac Metabolomic Analyses
2.2.3. Brain Metabolomic Analyses
2.2.4. Plasma Metabolomic Analyses
3. Discussion
3.1. Hepatic Metabolomics
3.2. Cardiac Metabolomics
3.3. Brain Metabolomics
3.4. Plasma Metabolomics
3.5. Structure–Activity Relationship
3.6. Future Perspectives
4. Materials and Methods
4.1. Special Precautions
4.2. Chemicals and Reagents
4.3. Animals
4.4. Blood Glucose and Plasma Cholesterol
4.5. Sample Preparation and Metabolomic Profiling by GC-MS/MS Analyses
4.6. Metabolomic Data Analyses
4.7. Statistics
5. Conclusions
Supplementary Materials
Author Contributions
Funding
Institutional Review Board Statement
Informed Consent Statement
Data Availability Statement
Acknowledgments
Conflicts of Interest
Abbreviations
| CMC | carboxymethyl cellulose |
| FBG | fasting blood glucose |
| FDRs | false discovery rates |
| GC-MS/MS | gas chromatography–tandem mass spectrometry |
| IS | internal standard |
| ISO | isorhapontigenin |
| KEGG | Kyoto Encyclopedia of Genes and Genomes |
| MRM | multiple reaction monitoring |
| Oxy | oxyresveratrol |
| PCA | principal component analysis |
| PLS-DA | partial least square discriminant analysis |
| PPP | pentose phosphate pathway |
| PTS | pterostilbene |
| QC | quality control |
| RES | resveratrol |
| ROS | reactive oxygen species |
| TCA | tricarboxylic acid |
| VIP | variable importance in projection |
References
- Singh, A.P.; Singh, R.; Verma, S.S.; Rai, V.; Kaschula, C.H.; Maiti, P.; Gupta, S.C. Health benefits of resveratrol: Evidence from clinical studies. Med. Res. Rev. 2019, 39, 1851–1891. [Google Scholar] [CrossRef] [PubMed]
- Zhang, L.X.; Li, C.X.; Kakar, M.U.; Khan, M.S.; Wu, P.F.; Amir, R.M.; Dai, D.F.; Naveed, M.; Li, Q.Y.; Saeed, M.; et al. Resveratrol (RV): A pharmacological review and call for further research. Biomed. Pharmacother. 2021, 143, 112164. [Google Scholar] [CrossRef] [PubMed]
- Dai, Y.; Tan, A.L.C.; Chen, H.; Ong, P.S.; Xiang, X.; Wu, J.; Lin, H.S. Quantification of desoxyrhapontigenin (4-methoxyresveratrol) in rat plasma by LC-MS/MS: Application to pre-clinical pharmacokinetic study. J. Pharm. Biomed. Anal. 2018, 153, 95–101. [Google Scholar] [CrossRef] [PubMed]
- Yeo, S.C.M.; Fenwick, P.S.; Barnes, P.J.; Lin, H.S.; Donnelly, L.E. Isorhapontigenin, a bioavailable dietary polyphenol, suppresses airway epithelial cell inflammation through a corticosteroid-independent mechanism. Br. J. Pharmacol. 2017, 174, 2043–2059. [Google Scholar] [CrossRef] [PubMed]
- Chen, W.; Yeo, S.C.M.; Elhennawy, M.; Lin, H.S. Oxyresveratrol: A bioavailable dietary polyphenol. J. Funct. Food. 2016, 22, 122–131. [Google Scholar] [CrossRef]
- Choo, Q.Y.; Yeo, S.C.M.; Ho, P.C.; Tanaka, Y.; Lin, H.S. Pterostilbene surpassed resveratrol for anti-inflammatory application: Potency consideration and pharmacokinetics perspective. J. Funct. Food. 2014, 11, 352–362. [Google Scholar] [CrossRef]
- Pecyna, P.; Wargula, J.; Murias, M.; Kucinska, M. More Than Resveratrol: New Insights into Stilbene-Based Compounds. Biomolecules 2020, 10, 1111. [Google Scholar] [CrossRef]
- Dai, Y.; Lim, J.X.; Yeo, S.C.M.; Xiang, X.; Tan, K.S.; Fu, J.H.; Huang, L.; Lin, H.S. Biotransformation of Piceatannol, a Dietary Resveratrol Derivative: Promises to Human Health. Mol. Nutr. Food Res. 2020, 64, e1900905. [Google Scholar] [CrossRef]
- Lange, K.W.; Li, S. Resveratrol, pterostilbene, and dementia. Biofactors 2018, 44, 83–90. [Google Scholar] [CrossRef]
- Yeo, S.C.; Ho, P.C.; Lin, H.S. Pharmacokinetics of pterostilbene in Sprague-Dawley rats: The impacts of aqueous solubility, fasting, dose escalation, and dosing route on bioavailability. Mol. Nutr. Food Res. 2013, 57, 1015–1025. [Google Scholar] [CrossRef]
- Dai, Y.; Yeo, S.C.M.; Barnes, P.J.; Donnelly, L.E.; Loo, L.C.; Lin, H.S. Pre-clinical Pharmacokinetic and Metabolomic Analyses of Isorhapontigenin, a Dietary Resveratrol Derivative. Front. Pharmacol. 2018, 9, 753. [Google Scholar] [CrossRef] [PubMed]
- Wishart, D.S. Emerging applications of metabolomics in drug discovery and precision medicine. Nat. Rev. Drug Discov. 2016, 15, 473–484. [Google Scholar] [CrossRef] [PubMed]
- Patti, G.J.; Yanes, O.; Siuzdak, G. Innovation: Metabolomics: The apogee of the omics trilogy. Nat. Rev. Mol. Cell Biol. 2012, 13, 263–269. [Google Scholar] [CrossRef] [PubMed]
- Korsholm, A.S.; Kjaer, T.N.; Ornstrup, M.J.; Pedersen, S.B. Comprehensive Metabolomic Analysis in Blood, Urine, Fat, and Muscle in Men with Metabolic Syndrome: A Randomized, Placebo-Controlled Clinical Trial on the Effects of Resveratrol after Four Months’ Treatment. Int. J. Mol. Sci. 2017, 18, 554. [Google Scholar] [CrossRef] [PubMed]
- Brennan, L. Metabolomics: A Powerful Tool to Enrich our Understanding of the Impact of Food on Health. Mol. Nutr. Food Res. 2019, 63, e1870087. [Google Scholar] [CrossRef]
- Brennan, L.; Hu, F.B. Metabolomics-Based Dietary Biomarkers in Nutritional Epidemiology-Current Status and Future Opportunities. Mol. Nutr. Food Res. 2019, 63, e1701064. [Google Scholar] [CrossRef]
- Baur, J.A.; Sinclair, D.A. Therapeutic potential of resveratrol: The in vivo evidence. Nat. Rev. Drug Discov. 2006, 5, 493–506. [Google Scholar] [CrossRef]
- Mokdad, A.H.; Ford, E.S.; Bowman, B.A.; Dietz, W.H.; Vinicor, F.; Bales, V.S.; Marks, J.S. Prevalence of obesity, diabetes, and obesity-related health risk factors, 2001. JAMA 2003, 289, 76–79. [Google Scholar] [CrossRef]
- Torres Santiago, G.; Serrano Contreras, J.I.; Melendez Camargo, M.E.; Zepeda Vallejo, L.G. NMR-based metabonomic approach reveals changes in the urinary and fecal metabolome caused by resveratrol. J. Pharm. Biomed. Anal. 2019, 162, 234–241. [Google Scholar] [CrossRef]
- Wang, Y.R.; Tsai, Y.F.; Lau, Y.T.; Yu, H.P. Plasma metabolite profiles following trauma-hemorrhage: Effect of posttreatment with resveratrol. Shock 2015, 43, 172–177. [Google Scholar] [CrossRef]
- Etxeberria, U.; Arias, N.; Boque, N.; Romo-Hualde, A.; Macarulla, M.T.; Portillo, M.P.; Milagro, F.I.; Martinez, J.A. Metabolic faecal fingerprinting of trans-resveratrol and quercetin following a high-fat sucrose dietary model using liquid chromatography coupled to high-resolution mass spectrometry. Food Funct. 2015, 6, 2758–2767. [Google Scholar] [CrossRef] [PubMed]
- Phua, L.C.; Wilder-Smith, C.H.; Tan, Y.M.; Gopalakrishnan, T.; Wong, R.K.; Li, X.; Kan, M.E.; Lu, J.; Keshavarzian, A.; Chan, E.C. Gastrointestinal Symptoms and Altered Intestinal Permeability Induced by Combat Training Are Associated with Distinct Metabotypic Changes. J. Proteome Res. 2015, 14, 4734–4742. [Google Scholar] [CrossRef] [PubMed]
- Bacik, J.P.; Klesmith, J.R.; Whitehead, T.A.; Jarboe, L.R.; Unkefer, C.J.; Mark, B.L.; Michalczyk, R. Producing glucose 6-phosphate from cellulosic biomass: Structural insights into levoglucosan bioconversion. J. Biol. Chem. 2015, 290, 26638–26648. [Google Scholar] [CrossRef] [PubMed]
- Goodman, H.M. The Role of Growth Hormone in Fat Mobilization; National Academies Press: Washington, DC, USA, 1988; p. 164. [Google Scholar]
- Saponaro, C.; Gaggini, M.; Carli, F.; Gastaldelli, A. The subtle balance between lipolysis and lipogenesis: A critical point in metabolic homeostasis. Nutrients 2015, 7, 9453–9474. [Google Scholar] [CrossRef] [PubMed]
- Kruger, N.J.; Von Schaewen, A. The oxidative pentose phosphate pathway: Structure and organisation. Curr. Opin. Plant Biol. 2003, 6, 236–246. [Google Scholar] [CrossRef]
- Balendiran, G.K.; Dabur, R.; Fraser, D. The role of glutathione in cancer. Cell Biochem. Funct. 2004, 22, 343–352. [Google Scholar] [CrossRef]
- Li, S.; Tan, H.Y.; Wang, N.; Zhang, Z.J.; Lao, L.; Wong, C.W.; Feng, Y. The role of oxidative stress and antioxidants in liver diseases. Int. J. Mol. Sci. 2015, 16, 26087–26124. [Google Scholar] [CrossRef]
- Slyshenkov, V.S.; Dymkowska, D.; Wojtczak, L. Pantothenic acid and pantothenol increase biosynthesis of glutathione by boosting cell energetics. FEBS Lett. 2004, 569, 169–172. [Google Scholar] [CrossRef]
- Pegg, A.E. Biosynthesis of Putrescine and Polyamines in Mammalian Tissues. Ann. N. Y. Acad. Sci. 1970, 171, 977–987. [Google Scholar] [CrossRef]
- Yue, F.; Li, W.; Zou, J.; Jiang, X.; Xu, G.; Huang, H.; Liu, L. Spermidine prolongs lifespan and prevents liver fibrosis and hepatocellular carcinoma by activating MAP1S-mediated autophagy. Cancer Res. 2017, 77, 2938–2951. [Google Scholar] [CrossRef]
- Zhang, Z.; Jin, J.; Shi, L. Protective function of cis-mulberroside A and oxyresveratrol from Ramulus mori against ethanol-induced hepatic damage. Environ. Toxicol. Pharmacol. 2008, 26, 325–330. [Google Scholar] [CrossRef] [PubMed]
- Degli Esposti, D.; Hamelin, J.; Bosselut, N.; Saffroy, R.; Sebagh, M.; Pommier, A.; Martel, C.; Lemoine, A. Mitochondrial roles and cytoprotection in chronic liver injury. Biochem. Res. Int. 2012, 2012, 387626. [Google Scholar] [CrossRef] [PubMed]
- Chu, X.Y.; Yang, S.Z.; Zhu, M.Q.; Zhang, D.Y.; Shi, X.C.; Xia, B.; Yuan, Y.; Liu, M.; Wu, J.W. Isorhapontigenin Improves Diabetes in Mice via Regulating the Activity and Stability of PPARgamma in Adipocytes. J. Agric. Food Chem. 2020, 68, 3976–3985. [Google Scholar] [CrossRef] [PubMed]
- Clark, L.T. Cholesterol and heart disease: Current concepts in pathogenesis and treatment. J. Natl. Med. Assoc. 1986, 78, 743–751. [Google Scholar]
- Doenst, T.; Nguyen Tien, D.; Abel, E.D. Cardiac Metabolism in Heart Failure. Circ. Res. 2013, 113, 709–724. [Google Scholar] [CrossRef]
- Opie, L.H.; Knuuti, J. The Adrenergic-Fatty Acid Load in Heart Failure. J. Am. Coll. Cardiol. 2009, 54, 1637–1646. [Google Scholar] [CrossRef]
- Hung, L.-M.; Chen, J.-K.; Huang, S.-S.; Lee, R.-S.; Su, M.-J. Cardioprotective effect of resveratrol, a natural antioxidant derived from grapes. Cardiovasc. Res. 2000, 47, 549–555. [Google Scholar] [CrossRef]
- Tsutsui, H.; Kinugawa, S.; Matsushima, S. Oxidative stress and heart failure. Am. J. Physiol. Heart Circ. Physiol. 2011, 301, H2181–H2190. [Google Scholar] [CrossRef]
- Kosuru, R.; Cai, Y.; Kandula, V.; Yan, D.; Wang, C.; Zheng, H.; Li, Y.; Irwin, M.G.; Singh, S.; Xia, Z. AMPK Contributes to Cardioprotective Effects of Pterostilbene Against Myocardial Ischemia-Reperfusion Injury in Diabetic Rats by Suppressing Cardiac Oxidative Stress and Apoptosis. Cell. Physiol. Biochem. Int. J. Exp. Cell. Physiol. Biochem. Pharmacol. 2018, 46, 1381–1397. [Google Scholar] [CrossRef]
- Reginaldo, C.D.; Selhub, J.; Paul, L.; Jacques, P.; Wang, T.; Gerszten, R. Anthranilic acid and 3-hydroxyanthranilic acid, but not kynurenic acid, are associated with plasma pyridoxal-5 phosphate levels. FASEB J. 2013, 27, 1077.21. [Google Scholar] [CrossRef]
- Kim, J.H.; Kim, J.; Kim, H.J.; Sathiyanarayanan, G.; Bhatia, S.K.; Song, H.S.; Choi, Y.K.; Kim, Y.G.; Park, K.; Yang, Y.H. Biotransformation of pyridoxal 5′-phosphate from pyridoxal by pyridoxal kinase (pdxY) to support cadaverine production in Escherichia coli. Enzym. Microb. Technol. 2017, 104, 9–15. [Google Scholar] [CrossRef] [PubMed]
- Litalien, C.; Beaulieu, P. Molecular Mechanisms of Drug Actions: From Receptors to Effectors, 4th ed.; Elsevier: Amsterdam, The Netherlands, 2011; pp. 1553–1568. [Google Scholar]
- Niklasson, F.; Agren, H. Brain energy metabolism and blood-brain barrier permeability in depressive patients: Analyses of creatine, creatinine, urate, and albumin in CSF and blood. Biol. Psychiatry 1984, 19, 1183–1206. [Google Scholar] [PubMed]
- Kamata, Y.; Shiraga, H.; Tai, A.; Kawamoto, Y.; Gohda, E. Induction of neurite outgrowth in PC12 cells by the medium-chain fatty acid octanoic acid. Neuroscience 2007, 146, 1073–1081. [Google Scholar] [CrossRef] [PubMed]
- Singh, M. Essential fatty acids, DHA and human brain. Indian. J. Pediatr. 2005, 72, 239–242. [Google Scholar] [CrossRef] [PubMed]
- Love, S. Oxidative Stress in Brain Ischemia. Brain Pathol. 1999, 9, 119–131. [Google Scholar] [CrossRef]
- Chao, J.; Yu, M.-S.; Ho, Y.-S.; Wang, M.; Chang, R.C.-C. Dietary oxyresveratrol prevents parkinsonian mimetic 6-hydroxydopamine neurotoxicity. Free Radic. Biol. Med. 2008, 45, 1019–1026. [Google Scholar] [CrossRef]
- National Institutes of Health. Higher Brain Glucose Levels May Mean More Severe Alzheimer’s. Available online: https://www.nih.gov/news-events/news-releases/higher-brain-glucose-levels-may-mean-more-severe-alzheimers (accessed on 11 October 2023).
- Jeon, S.Y.; Kwon, S.H.; Seong, Y.H.; Bae, K.; Hur, J.M.; Lee, Y.Y.; Suh, D.Y.; Song, K.S. β-secretase (BACE1)-inhibiting stilbenoids from Smilax Rhizoma. Phytomedicine 2007, 14, 403–408. [Google Scholar] [CrossRef]
- Ryou, M.-G.; Liu, R.; Ren, M.; Sun, J.; Mallet Robert, T.; Yang, S.-H. Pyruvate Protects the Brain against Ischemia–Reperfusion Injury by Activating the Erythropoietin Signaling Pathway. Stroke 2012, 43, 1101–1107. [Google Scholar] [CrossRef]
- Hong, C.T.; Chau, K.-Y.; Schapira, A.H.V. Meclizine-induced enhanced glycolysis is neuroprotective in Parkinson disease cell models. Sci. Rep. 2016, 6, 25344. [Google Scholar] [CrossRef]
- Chaturvedi, R.K.; Beal, M.F. Mitochondrial Approaches for Neuroprotection. Ann. N. Y. Acad. Sci. 2008, 1147, 395–412. [Google Scholar] [CrossRef]
- Oja, S.S.; Saransaari, P. Taurine as osmoregulator and neuromodulator in the brain. Metab. Brain Dis. 1996, 11, 153–164. [Google Scholar] [CrossRef] [PubMed]
- Mokni, M.; Elkahoui, S.; Limam, F.; Amri, M.; Aouani, E. Effect of resveratrol on antioxidant enzyme activities in the brain of healthy rat. Neurochem. Res. 2007, 32, 981–987. [Google Scholar] [CrossRef]
- Ates, O.; Cayli, S.; Altinoz, E.; Gurses, I.; Yucel, N.; Sener, M.; Kocak, A.; Yologlu, S. Neuroprotection by resveratrol against traumatic brain injury in rats. Mol. Cell. Biochem. 2007, 294, 137–144. [Google Scholar] [CrossRef] [PubMed]
- Chang, J.; Rimando, A.; Pallas, M.; Camins, A.; Porquet, D.; Reeves, J.; Shukitt-Hale, B.; Smith, M.A.; Joseph, J.A.; Casadesus, G. Low-dose pterostilbene, but not resveratrol, is a potent neuromodulator in aging and Alzheimer’s disease. Neurobiol. Aging 2012, 33, 2062–2071. [Google Scholar] [CrossRef] [PubMed]
- Movahed, A.; Movahed, A.; Nabipour, I.; Louis, X.L.; Thandapilly, S.J.; Yu, L.; Kalantarhormozi, M.; Rekabpour, S.J.; Netticadan, T. Antihyperglycemic Effects of Short Term Resveratrol Supplementation in Type 2 Diabetic Patients Antihyperglycemic Effects of Short Term Resveratrol Supplementation in Type 2 Diabetic Patients. Hindawi 2017, 2013, 851267. [Google Scholar]
- Moghei, M.; Tavajohi-Fini, P.; Beatty, B.; Adegoke, O.A.J. Ketoisocaproic acid, a metabolite of leucine, suppresses insulin-stimulated glucose transport in skeletal muscle cells in a BCAT2-dependent manner. Am. J. Physiol. Cell Physiol. 2016, 311, C518–C527. [Google Scholar] [CrossRef]
- Alayev, A.; Berger, S.M.; Holz, M.K. Resveratrol as a novel treatment for diseases with mTOR pathway hyperactivation. Ann. N. Y. Acad. Sci. 2015, 1348, 116–123. [Google Scholar] [CrossRef]
- Park, D.; Noh, J.; Ryu, S.H.; Park, H.; Yang, Y.R.; Suh, P.-G.; Kwon, O.; Jeong, H.; Koh, A.; Lee, M.N. Resveratrol induces autophagy by directly inhibiting mTOR through ATP competition. Sci. Rep. 2016, 6, 21772. [Google Scholar] [CrossRef]
- Arner, P.; Rydén, M. Fatty acids, obesity and insulin resistance. Obes. Facts 2015, 8, 147–155. [Google Scholar] [CrossRef]
- Madeo, F.; Eisenberg, T.; Pietrocola, F.; Kroemer, G. Spermidine in health and disease. Science 2018, 359, eaan2788. [Google Scholar] [CrossRef]
- Moreth, K.; Gailus-Durner, V.; Trausinger, G.; Sedej, S.; Pieber, T.; Stekovic, S.; Moustafa, T.; Meinitzer, A.; Dammbrueck, C.; Zimmermann, A.; et al. Cardioprotection and lifespan extension by the natural polyamine spermidine. Nat. Med. 2016, 22, 1428–1438. [Google Scholar] [CrossRef]
- Zhuang, P.; Shou, Q.; Lu, Y.; Wang, G.; Qiu, J.; Wang, J.; He, L.; Chen, J.; Jiao, J.; Zhang, Y. Arachidonic acid sex-dependently affects obesity through linking gut microbiota-driven inflammation to hypothalamus-adipose-liver axis. Biochim. Et. Biophys. Acta—Mol. Basis Dis. 2017, 1863, 2715–2726. [Google Scholar] [CrossRef] [PubMed]
- Zhao, X.; Han, Q.; Liu, Y.; Sun, C.; Gang, X.; Wang, G. The Relationship between Branched-Chain Amino Acid Related Metabolomic Signature and Insulin Resistance: A Systematic Review. J. Diabetes Res. 2016, 2016, 2794591. [Google Scholar] [CrossRef] [PubMed]
- McCormack, S.E.; Shaham, O.; McCarthy, M.A.; Deik, A.A.; Wang, T.J.; Gerszten, R.E.; Clish, C.B.; Mootha, V.K.; Grinspoon, S.K.; Fleischman, A. Circulating Branched-chain Amino Acid Concentrations Are Associated with Obesity and Future Insulin Resistance in Children and Adolescents. Pediatr. Obes. 2013, 8, 52–61. [Google Scholar] [CrossRef]
- Lunt, S.Y.; Vander Heiden, M.G. Aerobic Glycolysis: Meeting the Metabolic Requirements of Cell Proliferation. Annu. Rev. Cell Dev. Biol. 2011, 27, 441–464. [Google Scholar] [CrossRef]
- Berg, J.M.; Tymoczko, J.L.; Stryer, L. Chapter 16 Glycolysis and Gluconeogenesis, Biochemistry, 5th ed.; W. H. Freeman: New York, NY, USA, 2002. [Google Scholar]
- Dahlqvist, A.; Thomson, D.L. The digestion and absorption of sucrose by the intact rat. Acta Physiol. 1963, 59, 111–125. [Google Scholar] [CrossRef]
- Kilkenny, C.; Browne, W.J.; Cuthill, I.C.; Emerson, M.; Altman, D.G. Improving bioscience research reporting: The ARRIVE guidelines for reporting animal research. PLoS Biol. 2010, 8, e1000412. [Google Scholar] [CrossRef]
- Li, X.; Yang, J.; Jin, S.; Dai, Y.; Fan, Y.; Fan, X.; Li, Z.; Yang, J.; Yau, W.P.; Lin, H.; et al. Mechanistic examination of methimazole-induced hepatotoxicity in patients with Grave’s disease: A metabolomic approach. Arch. Toxicol. 2020, 94, 231–244. [Google Scholar] [CrossRef]
- Kong, S.T.; Lin, H.S.; Ching, J.; Xie, H.; Ho, P.C. Dried Blood Spots as Matrix for Evaluation of Valproate Levels and the Immediate and Delayed Metabolomic Changes Induced by Single Valproate Dose Treatment. Int. J. Mol. Sci. 2022, 23, 7083. [Google Scholar] [CrossRef]

















Disclaimer/Publisher’s Note: The statements, opinions and data contained in all publications are solely those of the individual author(s) and contributor(s) and not of MDPI and/or the editor(s). MDPI and/or the editor(s) disclaim responsibility for any injury to people or property resulting from any ideas, methods, instructions or products referred to in the content. |
© 2024 by the authors. Licensee MDPI, Basel, Switzerland. This article is an open access article distributed under the terms and conditions of the Creative Commons Attribution (CC BY) license (https://creativecommons.org/licenses/by/4.0/).
Share and Cite
Dai, Y.; Wang, J.; Yang, Y.; Jin, H.; Liu, F.; Liu, H.; Ho, P.C.; Lin, H.-S. Exploration of Nutraceutical Potentials of Isorhapontigenin, Oxyresveratrol and Pterostilbene: A Metabolomic Approach. Int. J. Mol. Sci. 2024, 25, 11027. https://doi.org/10.3390/ijms252011027
Dai Y, Wang J, Yang Y, Jin H, Liu F, Liu H, Ho PC, Lin H-S. Exploration of Nutraceutical Potentials of Isorhapontigenin, Oxyresveratrol and Pterostilbene: A Metabolomic Approach. International Journal of Molecular Sciences. 2024; 25(20):11027. https://doi.org/10.3390/ijms252011027
Chicago/Turabian StyleDai, Yu, Jingbo Wang, Yuhui Yang, Hongrui Jin, Feng Liu, Hui Liu, Paul C. Ho, and Hai-Shu Lin. 2024. "Exploration of Nutraceutical Potentials of Isorhapontigenin, Oxyresveratrol and Pterostilbene: A Metabolomic Approach" International Journal of Molecular Sciences 25, no. 20: 11027. https://doi.org/10.3390/ijms252011027
APA StyleDai, Y., Wang, J., Yang, Y., Jin, H., Liu, F., Liu, H., Ho, P. C., & Lin, H.-S. (2024). Exploration of Nutraceutical Potentials of Isorhapontigenin, Oxyresveratrol and Pterostilbene: A Metabolomic Approach. International Journal of Molecular Sciences, 25(20), 11027. https://doi.org/10.3390/ijms252011027

