Immune Checkpoint Inhibitor Therapy and Associations with Clonal Hematopoiesis †
Abstract
1. Introduction
2. Results
2.1. CH in NSCLC and MEL
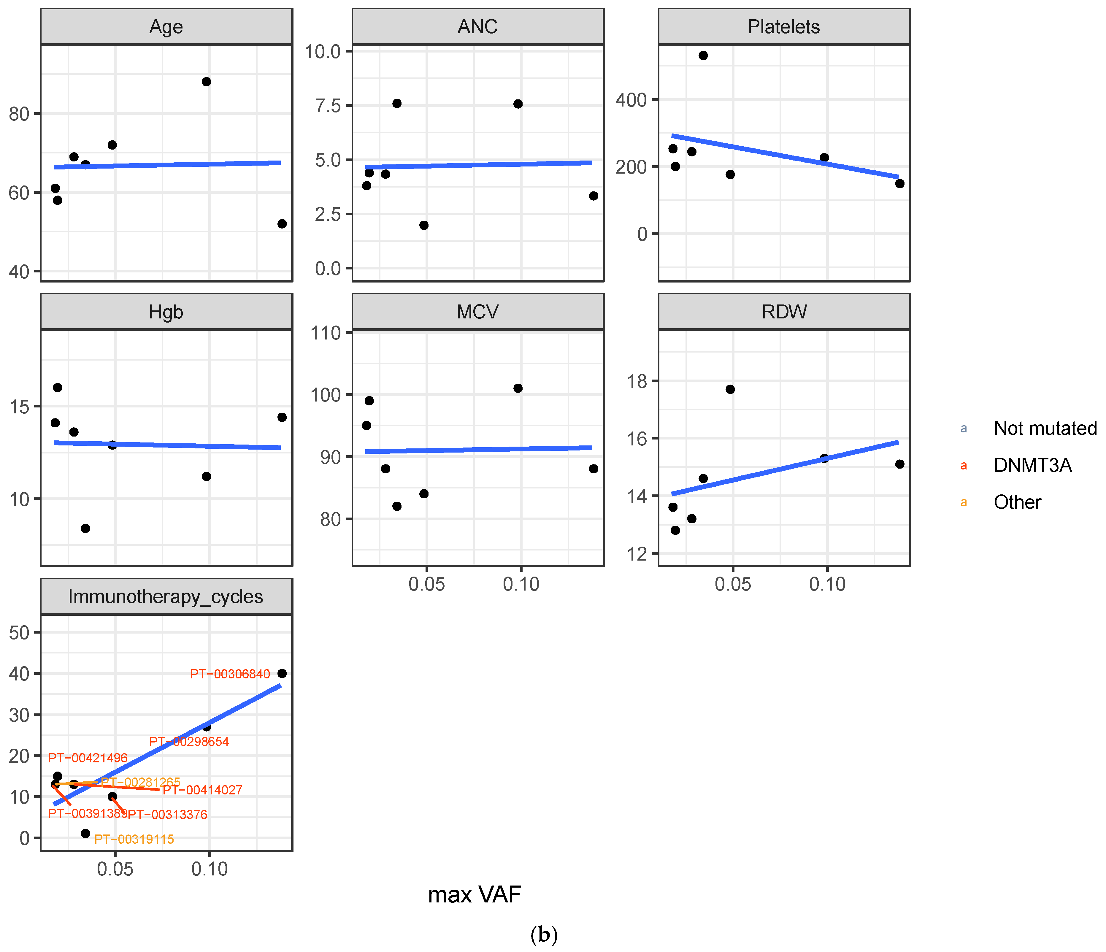
2.2. Interaction of CH and ICB
3. Discussion
4. Materials and Methods
4.1. Study Methods
4.2. Mutational Analysis
4.3. Quantification and Statistical Analysis
5. Conclusions
Supplementary Materials
Author Contributions
Funding
Institutional Review Board Statement
Informed Consent Statement
Data Availability Statement
Acknowledgments
Conflicts of Interest
References
- Singh, A.; Mencia-Trinchant, N.; Griffiths, E.A.; Altahan, A.; Swaminathan, M.; Gupta, M.; Gravina, M.; Tajammal, R.; Faber, M.G.; Yan, L.; et al. Mutant PPM1D- and TP53-Driven Hematopoiesis Populates the Hematopoietic Compartment in Response to Peptide Receptor Radionuclide Therapy. JCO Precis. Oncol. 2022, 6, e2100309. [Google Scholar] [CrossRef] [PubMed]
- Gibson, C.J.; Lindsley, R.C.; Tchekmedyian, V.; Mar, B.G.; Shi, J.; Jaiswal, S.; Bosworth, A.; Francisco, L.; He, J.; Bansal, A.; et al. Clonal Hematopoiesis Associated With Adverse Outcomes After Autologous Stem-Cell Transplantation for Lymphoma. J. Clin. Oncol. 2017, 35, 1598–1605. [Google Scholar] [CrossRef] [PubMed]
- Mouhieddine, T.H.; Sperling, A.S.; Redd, R.; Park, J.; Leventhal, M.; Gibson, C.J.; Manier, S.; Nassar, A.H.; Capelletti, M.; Huynh, D.; et al. Clonal hematopoiesis is associated with adverse outcomes in multiple myeloma patients undergoing transplant. Nat. Commun. 2020, 11, 2996. [Google Scholar] [CrossRef] [PubMed]
- Wong, T.N.; Miller, C.A.; Jotte, M.R.M.; Bagegni, N.; Baty, J.D.; Schmidt, A.P.; Cashen, A.F.; Duncavage, E.J.; Helton, N.M.; Fiala, M.; et al. Cellular stressors contribute to the expansion of hematopoietic clones of varying leukemic potential. Nat. Commun. 2018, 9, 455. [Google Scholar] [CrossRef] [PubMed]
- Zhang, C.R.; Nix, D.; Gregory, M.; Ciorba, M.A.; Ostrander, E.L.; Newberry, R.D.; Spencer, D.H.; Challen, G.A. Inflammatory cytokines promote clonal hematopoiesis with specific mutations in ulcerative colitis patients. Exp. Hematol. 2019, 80, 36–41.e3. [Google Scholar] [CrossRef]
- Higa, K.C.; Goodspeed, A.; Chavez, J.S.; De Dominici, M.; Danis, E.; Zaberezhnyy, V.; Rabe, J.L.; Tenen, D.G.; Pietras, E.M.; DeGregori, J. Chronic interleukin-1 exposure triggers selection for Cebpa-knockout multipotent hematopoietic progenitors. J. Exp. Med. 2021, 218, e20200560. [Google Scholar] [CrossRef]
- Coombs, C.C.; Zehir, A.; Devlin, S.M.; Kishtagari, A.; Syed, A.; Jonsson, P.; Hyman, D.M.; Solit, D.B.; Robson, M.E.; Baselga, J.; et al. Therapy-Related Clonal Hematopoiesis in Patients with Non-hematologic Cancers Is Common and Associated with Adverse Clinical Outcomes. Cell Stem Cell 2017, 21, 374–382.e4. [Google Scholar] [CrossRef]
- Olszewski, A.J.; Chorzalska, A.D.; Kim, A.S.; Quesenberry, P.J.; Lopresti, M.L.; Fenton, M.A.; Reagan, J.L.; Butera, J.N.; Sahin, I.; Hamel, C.; et al. Clonal haematopoiesis of indeterminate potential among cancer survivors exposed to myelotoxic chemotherapy. Br. J. Haematol. 2019, 186, e31–e35. [Google Scholar] [CrossRef]
- Bewersdorf, J.P.; Ardasheva, A.; Podoltsev, N.A.; Singh, A.; Biancon, G.; Halene, S.; Zeidan, A.M. From clonal hematopoiesis to myeloid leukemia and what happens in between: Will improved understanding lead to new therapeutic and preventive opportunities? Blood Rev. 2019, 37, 100587. [Google Scholar] [CrossRef]
- Singh, I.; Singh, A. Clonal Hematopoiesis of Indeterminate Potential: Current Understanding and Future Directions. Curr. Oncol. Rep. 2023, 25, 539–547. [Google Scholar] [CrossRef]
- American Cancer Society. Cancer Treatment & Survivorship Facts & Figures 2019–2021; American Cancer Society: Atlanta, GA, USA, 2019. [Google Scholar]
- Postow, M.A.; Callahan, M.K.; Wolchok, J.D. Immune Checkpoint Blockade in Cancer Therapy. J. Clin. Oncol. 2015, 33, 1974–1982. [Google Scholar] [CrossRef] [PubMed]
- Singh, A.; Herr, M.M.; Griffiths, E.A.; Przespolewski, A.; Faber, M.G.; Mrad, C.; Wang, E.S.; Hahn, T.; Thota, S. Emerging trends of therapy related myeloid neoplasms following modern cancer therapeutics in the United States. Sci. Rep. 2021, 11, 23284. [Google Scholar] [CrossRef] [PubMed]
- Prinzing, B.; Zebley, C.C.; Petersen, C.T.; Fan, Y.; Anido, A.A.; Yi, Z.; Nguyen, P.; Houke, H.; Bell, M.; Haydar, D.; et al. Deleting DNMT3A in CAR T cells prevents exhaustion and enhances antitumor activity. Sci. Transl. Med. 2021, 13, eabh0272. [Google Scholar] [CrossRef] [PubMed]
- Gibson, C.J.; Kim, H.T.; Zhao, L.; Murdock, H.M.; Hambley, B.; Ogata, A.; Madero-Marroquin, R.; Wang, S.; Green, L.; Fleharty, M.; et al. Donor Clonal Hematopoiesis and Recipient Outcomes After Transplantation. J. Clin. Oncol. 2022, 40, 189–201. [Google Scholar] [CrossRef]
- Weeks, L.D.; Niroula, A.; Neuberg, D.; Wong, W.; Lindsley, R.C.; Luskin, M.R.; Berliner, N.; Stone, R.M.; DeAngelo, D.J.; Soiffer, R.J.; et al. Prediction of Risk for Myeloid Malignancy in Clonal Hematopoiesis. NEJM Evid. 2023, 2, EVIDoa2200310. [Google Scholar] [CrossRef]
- Miller, P.G.; Gibson, C.J.; Mehta, A.; Sperling, A.S.; Frederick, D.T.; Manos, M.P.; Miao, B.; Hacohen, N.; Hodi, F.S.; Boland, G.M.; et al. Fitness Landscape of Clonal Hematopoiesis Under Selective Pressure of Immune Checkpoint Blockade. JCO Precis. Oncol. 2020, 4, 1027–1033. [Google Scholar] [CrossRef]
- Bolton, K.L.; Ptashkin, R.N.; Gao, T.; Braunstein, L.; Devlin, S.M.; Kelly, D.; Patel, M.; Berthon, A.; Syed, A.; Yabe, M.; et al. Cancer therapy shapes the fitness landscape of clonal hematopoiesis. Nat. Genet. 2020, 52, 1219–1226. [Google Scholar] [CrossRef]
- Fabre, M.A.; de Almeida, J.G.; Fiorillo, E.; Mitchell, E.; Damaskou, A.; Rak, J.; Orrù, V.; Marongiu, M.; Chapman, M.S.; Vijayabaskar, M.S.; et al. The longitudinal dynamics and natural history of clonal haematopoiesis. Nature 2022, 606, 335–342. [Google Scholar] [CrossRef]
- Pan, W.; Zhu, S.; Qu, K.; Meeth, K.; Cheng, J.; He, K.; Ma, H.; Liao, Y.; Wen, X.; Roden, C.; et al. The DNA Methylcytosine Dioxygenase Tet2 Sustains Immunosuppressive Function of Tumor-Infiltrating Myeloid Cells to Promote Melanoma Progression. Immunity 2017, 47, 284–297.e5. [Google Scholar] [CrossRef]
- Ricciuti, B.; Alessi, J.V.M.; Li, Y.Y.; Lawrence, M.N.; Gupta, H.; Nishino, M.; Cherniack, A.D.; Sholl, L.M.; Awad, M.M. DNMT3A mutation to identify a subset of non-small cell lung cancers with increased sensitivity to PD-(L)1 blockade. J. Clin. Oncol. 2021, 39 (Suppl. S15), 9113. [Google Scholar] [CrossRef]
- Marnell, C.S.; Bick, A.; Natarajan, P. Clonal hematopoiesis of indeterminate potential (CHIP): Linking somatic mutations, hematopoiesis, chronic inflammation and cardiovascular disease. J. Mol. Cell. Cardiol. 2021, 161, 98–105. [Google Scholar] [CrossRef] [PubMed]
- Singh, A.; Balasubramanian, S. The crossroads of cancer therapies and clonal hematopoiesis. Semin. Hematol. 2024, 61, 16–21. [Google Scholar] [CrossRef] [PubMed]
- Strati, P.; Li, X.; Deng, Q.; Marques-Piubelli, M.L.; Henderson, J.; Watson, G.; Deaton, L.; Cain, T.; Yang, H.; Ravanmehr, V.; et al. Prolonged cytopenia following CD19 CAR T cell therapy is linked with bone marrow infiltration of clonally expanded IFNγ-expressing CD8 T cells. Cell Rep. Med. 2023, 4, 101158. [Google Scholar] [CrossRef] [PubMed]
- Desai, P.; Mencia-Trinchant, N.; Savenkov, O.; Simon, M.S.; Cheang, G.; Lee, S.; Ritchie, E.K.; Guzman, M.L.; Ballman, K.V.; Roboz, G.J.; et al. Somatic mutations precede acute myeloid leukemia years before diagnosis. Nat. Med. 2018, 24, 1015–1023. [Google Scholar] [CrossRef] [PubMed]
- Chen, S.; Zhou, Y.; Chen, Y.; Huang, T.; Liao, W.; Xu, Y.; Li, Z.; Gu, J. Gencore: An efficient tool to generate consensus reads for error suppressing and duplicate removing of NGS data. BMC Bioinform. 2019, 20 (Suppl. S23), 606. [Google Scholar] [CrossRef]
- Chen, S.; Zhou, Y.; Chen, Y.; Gu, J. fastp: An ultra-fast all-in-one FASTQ preprocessor. Bioinformatics 2018, 34, i884–i890. [Google Scholar] [CrossRef]
- Li, H. Aligning sequence reads, clone sequences and assembly contigs with BWA-MEM. arXiv 2013, arXiv:1303.3997. [Google Scholar]
- Lai, Z.; Markovets, A.; Ahdesmaki, M.; Chapman, B.; Hofmann, O.; McEwen, R.; Johnson, J.; Dougherty, B.; Barrett, J.C.; Dry, J.R. VarDict: A novel and versatile variant caller for next-generation sequencing in cancer research. Nucleic Acids Res. 2016, 44, e108. [Google Scholar] [CrossRef]
- Li, H. A statistical framework for SNP calling, mutation discovery, association mapping and population genetical parameter estimation from sequencing data. Bioinformatics 2011, 27, 2987–2993. [Google Scholar] [CrossRef]
- Cingolani, P.; Platts, A.; Wang, L.L.; Coon, M.; Nguyen, T.; Wang, L.; Land, S.J.; Lu, X.; Ruden, D.M. A program for annotating and predicting the effects of single nucleotide polymorphisms, SnpEff: SNPs in the genome of Drosophila melanogaster strain w1118; iso-2; iso-3. Fly 2012, 6, 80–92. [Google Scholar] [CrossRef]
- Garrison, E. Vcflib, a Simple C++ Library for Parsing and Manipulating VCF Files; MIT: Cambridge, MA, USA, 2016. [Google Scholar]
- McLaren, W.; Gil, L.; Hunt, S.E.; Riat, H.S.; Ritchie, G.R.S.; Thormann, A.; Flicek, P.; Cunningham, F. The ensembl variant effect predictor. Genome Biol. 2016, 17, 122. [Google Scholar] [CrossRef]



| NSCLC (n = 109) | MEL (n = 33 *) | |
|---|---|---|
| Age (years) | 67.6 | 62.5 |
| Range | 33–89 | 33–88 |
| Gender | ||
| Female (%) | 62 (56.8%) | 16 (48.5%) |
| Stage | ||
| Metastatic (%) | 60 (55%) | 19 (57.5%) |
| Smoking | ||
| Yes (%) | 93 (85.3%) | 10 (30.3%) |
| Vascular disease | ||
| Yes (%) | 21 (19.3%) | 15 (45.5%) |
| Deep vein thrombosis/Pulmonary embolism | ||
| Yes (%) | 19 (17.4%) | 2 (6%) |
| Exposures prior to baseline | ||
| No exposure to chemo/targeted therapy | 38 (34.9.9%) | 29 (88%) |
| Radiotherapy exposure | 51 (46.7%) | 9 (27%) |
| Targeted and Chemotherapy exposure | 4 (4%) | 0 (0%) |
| Treatment received | ||
| Immune checkpoint blockade (ICB) | 82 (75%) | 29 (88%) |
| Number of ICB cycles (median) | 13.6 (2–44) | 22 (1–71) |
| Blood counts | ||
| ANC (103/µL) | 5.7 (1–20) | 4.4 (1.9–7.6) |
| Platelets (103/µL) | 306 (127–617) | 238 (134–531) |
| Hemoglobin (gm/dL) | 12.7 (8.2–16.8) | 14 (8.4–16.6) |
| MCV (fL) | 90.4 (3.5–107.8) | 91.6 (82–102) |
| RDW (%) | 14.5 (11.9–32.2) | 13.5 (12–17.7) |
Disclaimer/Publisher’s Note: The statements, opinions and data contained in all publications are solely those of the individual author(s) and contributor(s) and not of MDPI and/or the editor(s). MDPI and/or the editor(s) disclaim responsibility for any injury to people or property resulting from any ideas, methods, instructions or products referred to in the content. |
© 2024 by the authors. Licensee MDPI, Basel, Switzerland. This article is an open access article distributed under the terms and conditions of the Creative Commons Attribution (CC BY) license (https://creativecommons.org/licenses/by/4.0/).
Share and Cite
Singh, A.; Trinchant, N.M.; Mishra, R.; Arora, K.; Mehta, S.; Kuzmanovic, T.; Zokaei Nikoo, M.; Singh, I.; Przespolewski, A.C.; Swaminathan, M.; et al. Immune Checkpoint Inhibitor Therapy and Associations with Clonal Hematopoiesis. Int. J. Mol. Sci. 2024, 25, 11049. https://doi.org/10.3390/ijms252011049
Singh A, Trinchant NM, Mishra R, Arora K, Mehta S, Kuzmanovic T, Zokaei Nikoo M, Singh I, Przespolewski AC, Swaminathan M, et al. Immune Checkpoint Inhibitor Therapy and Associations with Clonal Hematopoiesis. International Journal of Molecular Sciences. 2024; 25(20):11049. https://doi.org/10.3390/ijms252011049
Chicago/Turabian StyleSingh, Abhay, Nuria Mencia Trinchant, Rahul Mishra, Kirti Arora, Smit Mehta, Teodora Kuzmanovic, Maedeh Zokaei Nikoo, Inderpreet Singh, Amanda C. Przespolewski, Mahesh Swaminathan, and et al. 2024. "Immune Checkpoint Inhibitor Therapy and Associations with Clonal Hematopoiesis" International Journal of Molecular Sciences 25, no. 20: 11049. https://doi.org/10.3390/ijms252011049
APA StyleSingh, A., Trinchant, N. M., Mishra, R., Arora, K., Mehta, S., Kuzmanovic, T., Zokaei Nikoo, M., Singh, I., Przespolewski, A. C., Swaminathan, M., Ernstoff, M. S., Dy, G. K., Yan, L., Sinha, E., Sharma, S., Hassane, D. C., Griffiths, E. A., Wang, E., Guzman, M. L., & Thota, S. (2024). Immune Checkpoint Inhibitor Therapy and Associations with Clonal Hematopoiesis. International Journal of Molecular Sciences, 25(20), 11049. https://doi.org/10.3390/ijms252011049

