C60 Fullerene Reduces the Development of Post-Traumatic Dysfunction in Rat Soleus Muscle
Abstract
1. Introduction
2. Results and Discussion
2.1. Biomechanical Analysis
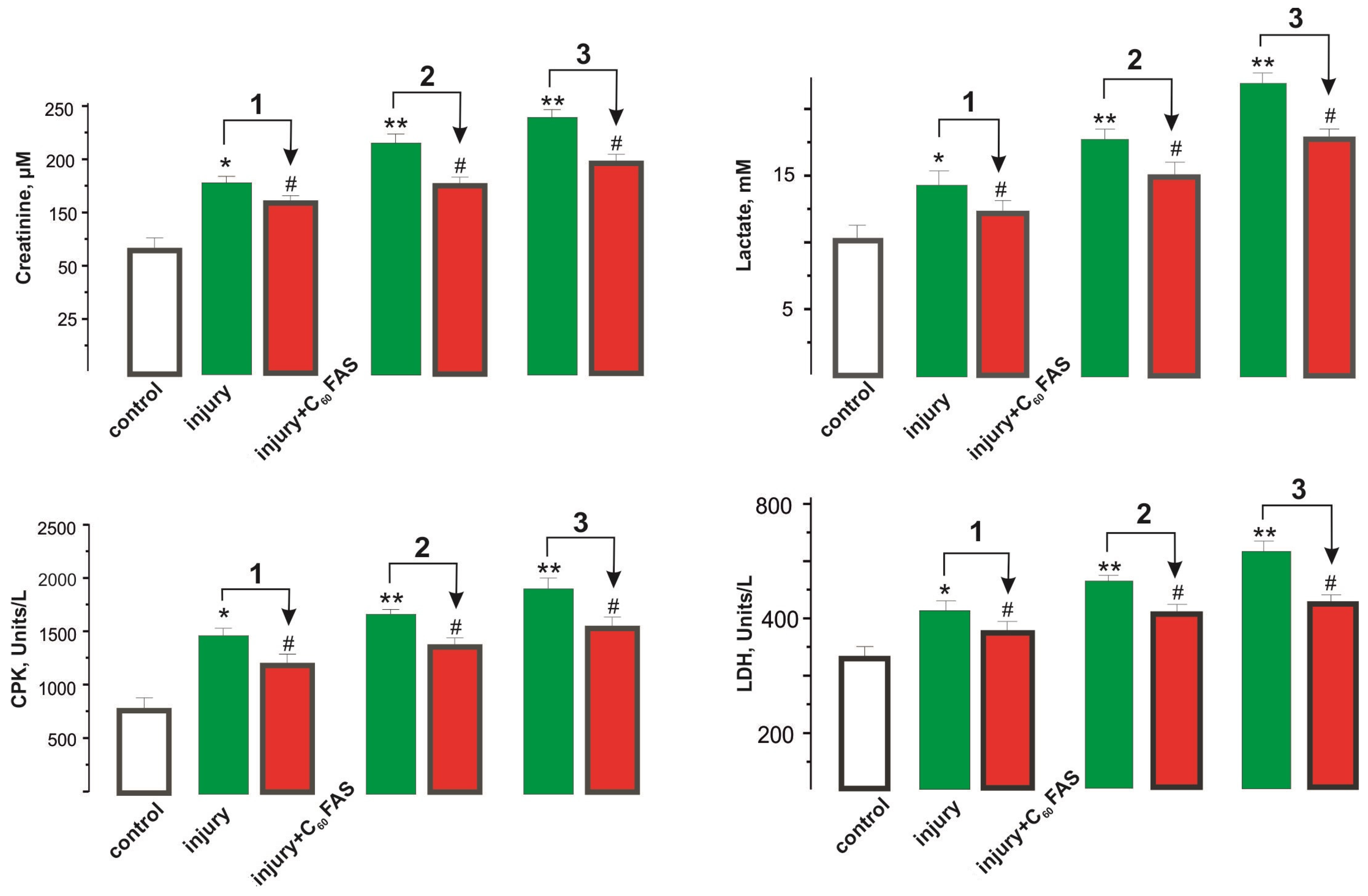
2.2. Biochemical Analysis
3. Materials and Methods
3.1. Preparation of C60FAS
3.2. In Vivo Experiments
3.3. Materials for Biomechanical Analysis
- integrated muscle power—calculated area (S) under the power curve using Origin 9.4 software, which is an indicator of the overall performance of the muscle at applied stimulation pools;
- Fmin and Fmax—minimum and maximum forces of contraction;
- t0—the time between the end of stimulation and the force curve reaching the initial level;
- tstart—the time between the beginning of stimulation and the beginning of muscle contraction;
- t50—time of contraction force reduction by 50% of the initial level.
3.4. Materials for Biochemical Analysis
3.5. Statistical Analysis
4. Conclusions
Author Contributions
Funding
Institutional Review Board Statement
Informed Consent Statement
Data Availability Statement
Conflicts of Interest
References
- Covey, D.C. Combat orthopaedics: A view from the trenches. J. Am. Acad. Orthop. Surg. 2006, 14, S10–S17. [Google Scholar] [CrossRef] [PubMed]
- Kibler, W.B. Clinical aspects of muscle injury. Med. Sci. Sports Exerc. 1990, 22, 450–452. [Google Scholar] [CrossRef] [PubMed]
- Hamilton, B.; Valle, X.; Rodas, G.; Til, L.; Grive, R.P.; Gutierrez Rincon, J.A.; Tol, J.L. Classification and grading of muscle injuries: A narrative review. Br. J. Sports Med. 2015, 49, 306. [Google Scholar] [CrossRef] [PubMed]
- VandenBerg, S.L.; Davidson, S.B. Preparation for mass casualty incidents. Crit. Care Nurs. Clin. North. Am. 2015, 27, 157–166. [Google Scholar] [CrossRef] [PubMed]
- Lovallo, E.; Koyfman, A.; Foran, M. Crush syndrome le syndrome de compression. Af. J. Emerg. Med. 2012, 2, 117–123. [Google Scholar] [CrossRef]
- Gibney, R.T.N.; Sever, M.S.; Vanholder, R.C. Disaster nephrology: Crush injury and beyond. Kidney Int. 2014, 85, 1049–1057. [Google Scholar] [CrossRef]
- Edouard, P.; Reurink, G.; Mackey, A.L.; Lieber, R.L.; Pizzari, T.; Järvinen, T.A.H.; Gronwald, T.; Hollander, K. Traumatic muscle injury. Nat. Rev. Dis. Primers 2023, 9, 56. [Google Scholar] [CrossRef]
- Karalaki, M.; Fili, S.; Philippou, A.; Koutsilieris, M. Muscle regeneration: Cellular and molecular events. In Vivo 2009, 23, 779–796. [Google Scholar]
- Forcina, L.; Cosentino, M.; Musarò, A. Mechanisms Regulating Muscle Regeneration: Insights into the Interrelated and Time-Dependent Phases of Tissue Healing. Cells 2020, 9, 1297. [Google Scholar] [CrossRef]
- Mann, C.J.; Perdiguero, E.; Kharraz, Y.; Aguilar, S.; Pessina, P.; Serrano, A.L.; Muñoz-Cánoves, P. Aberrant repair and fibrosis development in skeletal muscle. Skelet. Muscle 2011, 1, 21. [Google Scholar] [CrossRef]
- Wagers, A.J.; Conboy, I.M. Cellular and molecular signatures of muscle regeneration: Current concepts and controversies in adult myogenesis. Cell 2005, 122, 659–667. [Google Scholar] [CrossRef] [PubMed]
- Duchesne, E.; Dufresne, S.S.; Dumont, N.A. Impact of Inflammation and Anti-inflammatory Modalities on Skeletal Muscle Healing: From Fundamental Research to the Clinic. Phys. Ther. 2017, 97, 807–817. [Google Scholar] [CrossRef] [PubMed]
- Perandini, L.A.; Chimin, P.; da Silva Lutkemeyer, D.; Saraiva Câmara, N.O. Chronic inflammation in skeletal muscle impairs satellite cells function during regeneration: Can physical exercise restore the satellite cell niche? FEBS J. 2018, 285, 1973–1984. [Google Scholar] [CrossRef] [PubMed]
- Aydin, M.A.; Urbanchek, M.G.; Kuzon, W.M. Improved early muscle recovery using FK506 in a rat nerve-repair model. J. Reconstr. Microsurg. 2004, 20, 183–192. [Google Scholar] [CrossRef]
- Garg, K.; Corona, B.T.; Walters, T.J. Losartan administration reduces fibrosis but hinders functional recovery after volumetric muscle loss injury. J. Appl. Physiol. 2014, 17, 1120–1131. [Google Scholar] [CrossRef]
- Hubbert, K.; Clement, R. Losartan: A Novel Treatment for Acute Skeletal Muscle Injury. JBJS J. Orthop. Phys. Assist. 2021, 9, e20. [Google Scholar] [CrossRef]
- Foley, S.; Crowley, C.; Smaihi, M.; Bonfils, C.; Erlanger, B.F.; Seta, P.; Larroque, C. Cellular localisation of a water-soluble fullerene derivative. Biochem. Biophys. Res. Commun. 2002, 294, 116–119. [Google Scholar] [CrossRef]
- Gharbi, M.; Pressac, M.; Hadchouel, M.; Szwarc, H.; Wilson, S.R.; Moussa, F. [60]fullerene is a powerful antioxidant in vivo with no acute or subacute toxicity. Nano Lett. 2005, 5, 2578–2585. [Google Scholar] [CrossRef]
- Goodarzi, S.; Da Ros, T.; Conde, J.; Sefat, F.; Mozafari, M. Fullerene: Biomedical engineers get to revisit an old friend. Mater. Today 2017, 20, 460–480. [Google Scholar] [CrossRef]
- Eswaran, S.V. Water Soluble Nanocarbon Materials: A Panacea for All? Current Sci. 2018, 114, 1846–1850. [Google Scholar] [CrossRef]
- Halenova, T.; Raksha, N.; Savchuk, O.; Ostapchenko, L.I.; Prylutskyy, Y.I.; Ritter, U.; Scharff, P. Evaluation of the biocompatibility of water-soluble pristine C60 fullerenes in rabbit. BioNanoScience 2020, 10, 721–730. [Google Scholar] [CrossRef]
- Nozdrenko, D.; Abramchuk, O.; Prylutska, S.; Vygovska, O.; Soroca, V.; Bogutska, K.; Khrapatyi, S.; Prylutskyy, Y.; Scharff, P.; Ritter, U. Analysis of Biomechanical Parameters of Muscle Soleus Contraction and Blood Biochemical Parameters in Rat with Chronic Glyphosate Intoxication and Therapeutic Use of C60 Fullerene. Int. J. Mol. Sci. 2021, 22, 4977. [Google Scholar] [CrossRef] [PubMed]
- Nozdrenko, D.; Prylutska, S.; Bogutska, K.; Nurishchenko, N.Y.; Abramchuk, O.; Motuziuk, O.; Prylutskyy, Y.; Scharff, P.; Ritter, U. Effect of C60 Fullerene on Recovery of Muscle Soleus in Rats after Atrophy Induced by Achillotenotomy. Life 2022, 12, 332. [Google Scholar] [CrossRef] [PubMed]
- Nozdrenko, D.; Matvienko, T.; Vygovska, O.; Bogutska, K.; Motuziuk, O.; Nurishchenko, N.Y.; Prylutskyy, Y.; Scharff, P.; Ritter, U. Protective Effect of Water-Soluble C60 Fullerene Nanoparticles on the Ischemia-Reperfusion Injury of the Muscle Soleus in Rats. Int. J. Mol. Sci. 2021, 22, 6812. [Google Scholar] [CrossRef]
- Nozdrenko, D.; Matvienko, T.; Vygovska, O.; Soroca, V.; Bogutska, K.; Zholos, O.; Scharff, P.; Ritter, U.; Prylutskyy, Y. Post-traumatic recovery of muscle soleus in rats is improved via synergistic effect of C60 fullerene and TRPM8 agonist menthol. Appl. Nanosci. 2022, 12, 467–478. [Google Scholar] [CrossRef]
- Kostyukov, A.I.; Gorkovenko, A.V.; Kulyk, Y.A.; Lehedza, O.V.; Shushuiev, D.I.; Zasada, M.; Strafun, S.S. Central Commands to the Elbow and Shoulder Muscles During Circular Planar Movements of Hand With Simultaneous Generation of Tangential Forces. Front. Physiol. 2022, 13, 864404. [Google Scholar] [CrossRef]
- Chargé, S.B.P.; Rudnicki, M.A. Cellular and molecular regulation of muscle regeneration. Physiol. Rev. 2004, 84, 209–238. [Google Scholar] [CrossRef]
- Bedair, H.; Liu, T.T.; Kaar, J.L.; Badlani, S.; Russell, A.J.; Li, Y.; Huard, J. Matrix metalloproteinase-1 therapy improves muscle healing. J. Appl. Physiol. 2007, 102, 2338–2345. [Google Scholar] [CrossRef]
- Whiteside, L.A. Surgical technique: Gluteus maximus and tensor fascia lata transfer for primary deficiency of the abductors of the hip. Clin. Orthop. Relat. Res. 2014, 472, 645–653. [Google Scholar] [CrossRef]
- Arenas, J.; Diaz, V.; Liras, G.; Gutierrez, E.; Santos, I.; Martinez, A.; Culebras, J.M. Activities of creatine kinase and its isoenzymes in serum in various skeletal muscle disorders. Clin. Chem. 1988, 34, 2460–2462. [Google Scholar] [CrossRef]
- Hagberg, H. Intracellular pH during ischemia in skeletal muscle: Relationship to membrane potential, extracellular pH, tissue lactic acid and ATP. Pflügers Arch. 1985, 404, 342–347. [Google Scholar] [CrossRef] [PubMed]
- Kazezian, Z.; Bul, A.M.J. A review of the biomarkers and in vivo models for the diagnosis and treatment of heterotopic ossification following blast and trauma-induced injuries. Bone 2021, 143, 115765. [Google Scholar] [CrossRef] [PubMed]
- Ohmae, S.; Akazawa, S.; Takahashi, T.; Izumo, T.; Rogi, T.; Nakai, M. Quercetin attenuates adipogenesis and fibrosis in human skeletal muscle. Biochem. Biophys. Res. Commun. 2022, 615, 24–30. [Google Scholar] [CrossRef] [PubMed]
- Scharff, P.; Carta-Abelmann, L.; Siegmund, C.; Matyshevska, O.P.; Prylutska, S.V.; Koval, T.V.; Golub, A.A.; Yashchuk, V.M.; Kushnir, K.M.; Prylutskyy, Y.I. Effect of X-ray and UV irradiation of the C60 fullerene aqueous solution on biological samples. Carbon 2004, 42, 1199–1201. [Google Scholar] [CrossRef]
- Prylutska, S.V.; Grebinyk, A.G.; Lynchak, O.V.; Byelinska, I.; Cherepanov, V.; Täuscher, E.; Matyshevska, O.; Prylutskyy, Y.I.; Rybalchenko, V.; Ritter, U.; et al. In vitro and in vivo toxicity of pristine C60 fullerene aqueous colloid solution. Fuller. Nanotub. Carbon Nanostructures 2019, 27, 715–728. [Google Scholar] [CrossRef]
- Chen, X.; Liu, Y.; Xu, W.; Qin, T.; Zhao, L.; Liu, S.; Zhang, Y.; Tan, H.; Zhou, Y. Experimental study on establishment of a simple model of rats crush injury-crush syndrome. Zhongguo Xiu Fu Chong Jian Wai Ke Za Zhi. 2013, 27, 77–82. [Google Scholar]
- Li, D.; Chen, Y.; Yang, B.; Li, W.; Xu, Y.; Wang, X.; Teng, Y.; Luo, Y.; Liu, C.; Shi, J.; et al. Breaking new ground: Standardizing rat models for crush syndrome investigations. Shock 2024, 61, 274–282. [Google Scholar] [CrossRef]
- De Souza, J.; Gottfried, C. Muscle injury: Review of experimental models. J. Electromyogr. Kinesiol. 2013, 23, 1253–1260. [Google Scholar] [CrossRef]
- Liu, Y.; Yu, M.; Chen, L.; Liu, J.; Li, X.; Zhang, C.; Xiang, X.; Li, X.; Lv, Q. Systemic Review of Animal Models Used in the Study of Crush Syndrome. Shock 2022, 57, 469–478. [Google Scholar] [CrossRef]
- Nikolic, N.; Vranjes-Ethuric, S.; Jankovic, D.; Ethokic, D.; Mirkovic, M.; Bibic, N.; Trajkovic, V. Preparation and biodistribution of radiolabeled fullerene C60 nanocrystals. Nanotechnol. 2009, 20, 385102. [Google Scholar] [CrossRef]
- Best, T.M.; Hunter, K.D. Muscle injury and repair. Phys. Med. Rehabil. Clin. N. Am. 2000, 11, 251–266. [Google Scholar] [CrossRef] [PubMed]
- Brancaccio, P.; Lippi, G.; Maffulli, N. Biochemical markers of muscular damage. Clin. Chem. Lab. Med. 2010, 48, 757–767. [Google Scholar] [CrossRef] [PubMed]





| Disclaimer/Publisher’s Note: The statements, opinions and data contained in all publications are solely those of the individual author(s) and contributor(s) and not of MDPI and/or the editor(s). MDPI and/or the editor(s) disclaim responsibility for any injury to people or property resulting from any ideas, methods, instructions or products referred to in the content. | 
© 2024 by the authors. Licensee MDPI, Basel, Switzerland. This article is an open access article distributed under the terms and conditions of the Creative Commons Attribution (CC BY) license (https://creativecommons.org/licenses/by/4.0/).
Share and Cite
Prylutskyy, Y.; Nozdrenko, D.; Motuziuk, O.; Prylutska, S.; Bogutska, K.; Abramchuk, O.; Morenko, A.; Franskevych, D.; Scharff, P.; Ritter, U. C60 Fullerene Reduces the Development of Post-Traumatic Dysfunction in Rat Soleus Muscle. Int. J. Mol. Sci. 2024, 25, 12206. https://doi.org/10.3390/ijms252212206
Prylutskyy Y, Nozdrenko D, Motuziuk O, Prylutska S, Bogutska K, Abramchuk O, Morenko A, Franskevych D, Scharff P, Ritter U. C60 Fullerene Reduces the Development of Post-Traumatic Dysfunction in Rat Soleus Muscle. International Journal of Molecular Sciences. 2024; 25(22):12206. https://doi.org/10.3390/ijms252212206
Chicago/Turabian StylePrylutskyy, Yuriy, Dmytro Nozdrenko, Olexandr Motuziuk, Svitlana Prylutska, Kateryna Bogutska, Olga Abramchuk, Alevtyna Morenko, Daria Franskevych, Peter Scharff, and Uwe Ritter. 2024. "C60 Fullerene Reduces the Development of Post-Traumatic Dysfunction in Rat Soleus Muscle" International Journal of Molecular Sciences 25, no. 22: 12206. https://doi.org/10.3390/ijms252212206
APA StylePrylutskyy, Y., Nozdrenko, D., Motuziuk, O., Prylutska, S., Bogutska, K., Abramchuk, O., Morenko, A., Franskevych, D., Scharff, P., & Ritter, U. (2024). C60 Fullerene Reduces the Development of Post-Traumatic Dysfunction in Rat Soleus Muscle. International Journal of Molecular Sciences, 25(22), 12206. https://doi.org/10.3390/ijms252212206
 
        




 
                        