OCTN1 (SLC22A4) as a Target of Heavy Metals: Its Possible Role in Microplastic Threats
Abstract
1. Introduction
1.1. Microplastics as Carriers of Heavy Metals
1.2. OCTN1 (SLC22A4): A Benchmark for Studying Interactions with Heavy Metals
1.3. OCTN1 in the Non-Neuronal Cholinergic System
2. Results and Discussion
2.1. Reconstitution of Human OCTN1 in Proteoliposomes and Effects of Heavy Metals
2.2. Role of OCTN1-Cys Residues in the Interaction with Heavy Metals
2.3. Computational Analyses on hOCTN1 Homology Model
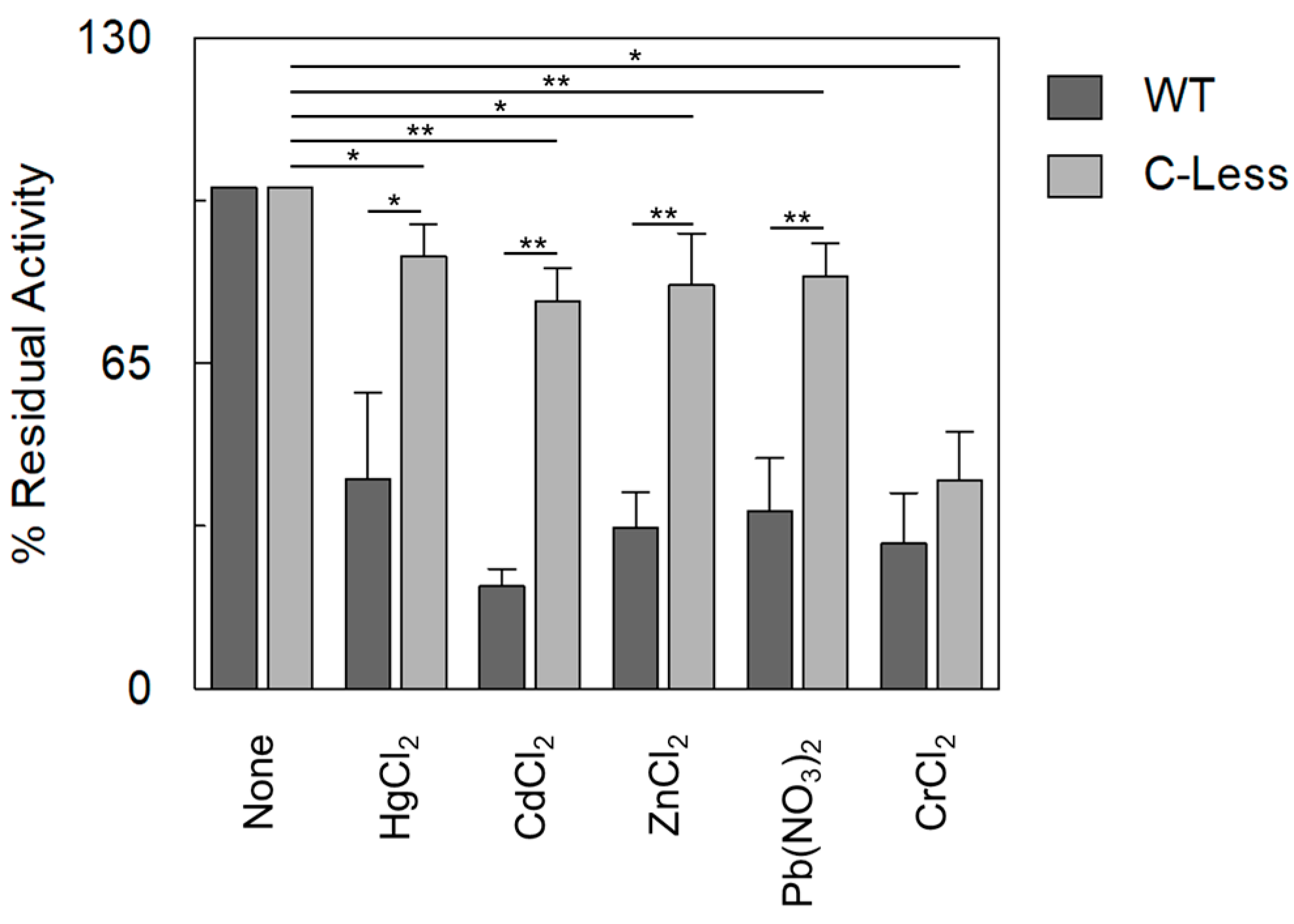
2.4. Analyses of Cys-Less Mutant of the Human OCTN1 Reconstituted in Proteoliposomes
2.5. Acetylcholine-Mediated Transport of OCTN1: Inhibition and Link with NNCS
2.6. OCTN1 as a Meeting Point Between Humans and Fish
3. Materials and Methods
3.1. Materials
3.2. Over-Expression of OCTN1 WT and C-Less Mutant
3.3. Purification of WT and Mutant OCTN1 Transporter
3.4. Liposome Preparation
3.5. Reconstitution of OCTN1 Transporter into Liposomes
3.6. Transport Measurements
3.7. Other Methods
3.8. Data Analysis
4. Conclusions
Author Contributions
Funding
Institutional Review Board Statement
Informed Consent Statement
Data Availability Statement
Conflicts of Interest
References
- Eriksen, M.; Lebreton, L.C.; Carson, H.S.; Thiel, M.; Moore, C.J.; Borerro, J.C.; Galgani, F.; Ryan, P.G.; Reisser, J. Plastic Pollution in the World’s Oceans: More than 5 Trillion Plastic Pieces Weighing over 250,000 Tons Afloat at Sea. PLoS ONE 2014, 9, e111913. [Google Scholar] [CrossRef]
- Gago, J.; Galgani, F.; Maes, T.; Thompson, R.C. Microplastics in Seawater: Recommendations from the Marine Strategy Framework Directive Implementation Process. Front. Mar. Sci. 2016, 3, 219. [Google Scholar] [CrossRef]
- Zhang, Q.; He, Y.; Cheng, R.; Li, Q.; Qian, Z.; Lin, X. Recent advances in toxicological research and potential health impact of microplastics and nanoplastics in vivo. Environ. Sci. Pollut. Res. Int. 2022, 29, 40415–40448. [Google Scholar] [CrossRef]
- Anbumani, S.; Kakkar, P. Ecotoxicological effects of microplastics on biota: A review. Environ. Sci. Pollut. Res. Int. 2018, 25, 14373–14396. [Google Scholar] [CrossRef]
- Ali, N.; Katsouli, J.; Marczylo, E.L.; Gant, T.W.; Wright, S.; Bernardino de la Serna, J. The potential impacts of micro-and-nano plastics on various organ systems in humans. EBioMedicine 2024, 99, 104901. [Google Scholar] [CrossRef]
- Cassio, F.; Batista, D.; Pradhan, A. Plastic Interactions with Pollutants and Consequences to Aquatic Ecosystems: What We Know and What We Do Not Know. Biomolecules 2022, 12, 798. [Google Scholar] [CrossRef]
- Holmes, L.A.; Turner, A.; Thompson, R.C. Adsorption of trace metals to plastic resin pellets in the marine environment. Environ. Pollut. 2012, 160, 42–48. [Google Scholar] [CrossRef]
- Vedolin, M.C.; Teophilo, C.Y.S.; Turra, A.; Figueira, R.C.L. Spatial variability in the concentrations of metals in beached microplastics. Mar. Pollut. Bull. 2018, 129, 487–493. [Google Scholar] [CrossRef]
- Richard, H.; Carpenter, E.J.; Komada, T.; Palmer, P.T.; Rochman, C.M. Biofilm facilitates metal accumulation onto microplastics in estuarine waters. Sci. Total Environ. 2019, 683, 600–608. [Google Scholar] [CrossRef]
- Turner, A.; Filella, M. Hazardous metal additives in plastics and their environmental impacts. Environ. Int. 2021, 156, 106622. [Google Scholar] [CrossRef]
- Town, R.M.; van Leeuwen, H.P.; Blust, R. Biochemodynamic Features of Metal Ions Bound by Micro- and Nano-Plastics in Aquatic Media. Front. Chem. 2018, 6, 627. [Google Scholar] [CrossRef]
- Vrinda, P.K.; Amal, R.; Abhirami, N.; Mini, D.A.; Kumar, V.J.R.; Devipriya, S.P. Co-exposure of microplastics and heavy metals in the marine environment and remediation techniques: A comprehensive review. Environ. Sci. Pollut. Res. Int. 2023, 30, 114822–114843. [Google Scholar] [CrossRef]
- Chen, X.J.; Ma, J.J.; Yu, R.L.; Hu, G.R.; Yan, Y. Bioaccessibility of microplastic-associated heavy metals using an in vitro digestion model and its implications for human health risk assessment. Environ. Sci. Pollut. Res. Int. 2022, 29, 76983–76991. [Google Scholar] [CrossRef]
- Danovaro, R.; Cocozza di Montanara, A.; Corinaldesi, C.; Dell’Anno, A.; Illuminati, S.; Willis, T.J.; Gambi, C. Bioaccumulation and biomagnification of heavy metals in marine micro-predators. Commun. Biol. 2023, 6, 1206. [Google Scholar] [CrossRef]
- Jara-Marini, M.E.; Molina-Garcia, A.; Martinez-Durazo, A.; Paez-Osuna, F. Trace metal trophic transference and biomagnification in a semiarid coastal lagoon impacted by agriculture and shrimp aquaculture. Environ. Sci. Pollut. Res. Int. 2020, 27, 5323–5336. [Google Scholar] [CrossRef]
- Scalise, M.; Console, L.; Galluccio, M.; Pochini, L.; Tonazzi, A.; Giangregorio, N.; Indiveri, C. Exploiting Cysteine Residues of SLC Membrane Transporters as Targets for Drugs. SLAS Discov. 2019, 24, 867–881. [Google Scholar] [CrossRef]
- Galluccio, M.; Pochini, L.; Peta, V.; Ianni, M.; Scalise, M.; Indiveri, C. Functional and molecular effects of mercury compounds on the human OCTN1 cation transporter: C50 and C136 are the targets for potent inhibition. Toxicol. Sci. 2015, 144, 105–113. [Google Scholar] [CrossRef]
- Koepsell, H.; Endou, H. The SLC22 drug transporter family. Pflugers Arch. 2004, 447, 666–676. [Google Scholar] [CrossRef]
- Pochini, L.; Galluccio, M.; Console, L.; Scalise, M.; Eberini, I.; Indiveri, C. Inflammation and Organic Cation Transporters Novel (OCTNs). Biomolecules 2024, 14, 392. [Google Scholar] [CrossRef]
- Tamai, I.; Ohashi, R.; Nezu, J.I.; Sai, Y.; Kobayashi, D.; Oku, A.; Shimane, M.; Tsuji, A. Molecular and functional characterization of organic cation/carnitine transporter family in mice. J. Biol. Chem. 2000, 275, 40064–40072. [Google Scholar] [CrossRef]
- Pochini, L.; Scalise, M.; Galluccio, M.; Amelio, L.; Indiveri, C. Reconstitution in liposomes of the functionally active human OCTN1 (SLC22A4) transporter overexpressed in Escherichia coli. Biochem. J. 2011, 439, 227–233. [Google Scholar] [CrossRef] [PubMed]
- Grundemann, D.; Harlfinger, S.; Golz, S.; Geerts, A.; Lazar, A.; Berkels, R.; Jung, N.; Rubbert, A.; Schomig, E. Discovery of the ergothioneine transporter. Proc. Natl. Acad. Sci. USA 2005, 102, 5256–5261. [Google Scholar] [CrossRef] [PubMed]
- Pochini, L.; Barone, F.; Console, L.; Brunocilla, C.; Galluccio, M.; Scalise, M.; Indiveri, C. OCTN1 (SLC22A4) displays two different transport pathways for organic cations or zwitterions. Biochim. Biophys. Acta Biomembr. 2024, 1866, 184263. [Google Scholar] [CrossRef] [PubMed]
- Newman, B.; Gu, X.; Wintle, R.; Cescon, D.; Yazdanpanah, M.; Liu, X.; Peltekova, V.; Van Oene, M.; Amos, C.I.; Siminovitch, K.A. A risk haplotype in the Solute Carrier Family 22A4/22A5 gene cluster influences phenotypic expression of Crohn’s disease. Gastroenterology 2005, 128, 260–269. [Google Scholar] [CrossRef] [PubMed]
- Bonomini, M.; Di Liberato, L.; Del Rosso, G.; Stingone, A.; Marinangeli, G.; Consoli, A.; Bertoli, S.; De Vecchi, A.; Bosi, E.; Russo, R.; et al. Effect of an L-carnitine-containing peritoneal dialysate on insulin sensitivity in patients treated with CAPD: A 4-month, prospective, multicenter randomized trial. Am. J. Kidney Dis. 2013, 62, 929–938. [Google Scholar] [CrossRef]
- Ferreira, G.C.; McKenna, M.C. L-Carnitine and Acetyl-L-carnitine Roles and Neuroprotection in Developing Brain. Neurochem. Res. 2017, 42, 1661–1675. [Google Scholar] [CrossRef]
- Harwood, M.D.; Zhang, M.; Pathak, S.M.; Neuhoff, S. The Regional-Specific Relative and Absolute Expression of Gut Transporters in Adult Caucasians: A Meta-Analysis. Drug Metab. Dispos. 2019, 47, 854–864. [Google Scholar] [CrossRef]
- Nakamichi, N.; Kato, Y. Physiological Roles of Carnitine/Organic Cation Transporter OCTN1/SLC22A4 in Neural Cells. Biol. Pharm. Bull. 2017, 40, 1146–1152. [Google Scholar] [CrossRef]
- Kawashima, S.K.; Fujii, T. Basic and Clinical Aspects of Non-neuronal Acetylcholine: Overview of Non-neuronal Cholinergic Systems and Their Biological. J. Pharmacol. Sci. 2008, 106, 167–173. [Google Scholar] [CrossRef]
- Wessler, I.; Kirkpatrick, C.J. Acetylcholine beyond neurons: The non-neuronal cholinergic system in humans. Br. J. Pharmacol. 2008, 154, 1558–1571. [Google Scholar] [CrossRef]
- Ribas, G.S.; Vargas, C.R.; Wajner, M. L-carnitine supplementation as a potential antioxidant therapy for inherited neurometabolic disorders. Gene 2014, 533, 469–476. [Google Scholar] [CrossRef] [PubMed]
- Lopez-Otin, C.; Blasco, M.A.; Partridge, L.; Serrano, M.; Kroemer, G. Hallmarks of aging: An expanding universe. Cell 2023, 186, 243–278. [Google Scholar] [CrossRef] [PubMed]
- Pfeiffer, C.; Bach, M.; Bauer, T.; Campos da Ponte, J.; Schomig, E.; Grundemann, D. Knockout of the ergothioneine transporter ETT in zebrafish results in increased 8-oxoguanine levels. Free Radic. Biol. Med. 2015, 83, 178–185. [Google Scholar] [CrossRef]
- Kitsanayanyong, L.; Pahila, J.; Ishikawa, Y.; Koyama, T.; Kiron, V.; Ohshima, T. Functional identification of ergothioneine transporter in rainbow trout (Oncorhynchus mykiss). Comp. Biochem. Physiol. B Biochem. Mol. Biol. 2021, 256, 110631. [Google Scholar] [CrossRef]
- Pochini, L.; Galluccio, M.; Scalise, M.; Console, L.; Pappacoda, G.; Indiveri, C. OCTN1: A Widely Studied but Still Enigmatic Organic Cation Transporter Linked to Human Pathology and Drug Interactions. Int. J. Mol. Sci. 2022, 23, 914. [Google Scholar] [CrossRef]
- Singh, A.K.; Srivastava, S.C. Improved feeding strategy to optimize growth and biomass for up-scaling rainbow trout Oncorhynchus mykiss (Walbaum 1792) farming in Himalayan region. Aquaculture 2021, 542, 736851. [Google Scholar] [CrossRef]
- Vineis, P.; Robinson, O.; Chadeau-Hyam, M.; Dehghan, A.; Mudway, I.; Dagnino, S. What is new in the exposome? Environ. Int. 2020, 143, 105887. [Google Scholar] [CrossRef]
- Tamai, I.; Yabuuchi, H.; Nezu, J.; Sai, Y.; Oku, A.; Shimane, M.; Tsuji, A. Cloning and characterization of a novel human pH-dependent organic cation transporter, OCTN1. FEBS Lett. 1997, 419, 107–111. [Google Scholar] [CrossRef] [PubMed]
- Rubio-Franchini, I.; Rico-Martinez, R. Evidence of lead biomagnification in invertebrate predators from laboratory and field experiments. Environ. Pollut. 2011, 159, 1831–1835. [Google Scholar] [CrossRef]
- Chiang, G.; Kidd, K.A.; Diaz-Jaramillo, M.; Espejo, W.; Bahamonde, P.; O’Driscoll, N.J.; Munkittrick, K.R. Methylmercury biomagnification in coastal aquatic food webs from western Patagonia and western Antarctic Peninsula. Chemosphere 2021, 262, 128360. [Google Scholar] [CrossRef]
- Jomova, K.; Alomar, S.Y.; Nepovimova, E.; Kuca, K.; Valko, M. Heavy metals: Toxicity and human health effects. Arch. Toxicol. 2024, 1–57. [Google Scholar] [CrossRef]
- Liu, B.; Zhao, S.; Qiu, T.; Cui, Q.; Yang, Y.; Li, L.; Chen, J.; Huang, M.; Zhan, A.; Fang, L. Interaction of microplastics with heavy metals in soil: Mechanisms, influencing factors and biological effects. Sci. Total Environ. 2024, 918, 170281. [Google Scholar] [CrossRef]
- Rousselot-Pailley, P.; Seneque, O.; Lebrun, C.; Crouzy, S.; Boturyn, D.; Dumy, P.; Ferrand, M.; Delangle, P. Model peptides based on the binding loop of the copper metallochaperone Atx1: Selectivity of the consensus sequence MxCxxC for metal ions Hg(II), Cu(I), Cd(II), Pb(II), and Zn(II). Inorg. Chem. 2006, 45, 5510–5520. [Google Scholar] [CrossRef] [PubMed]
- Witkowska, D.; Slowik, J.; Chilicka, K. Heavy Metals and Human Health: Possible Exposure Pathways and the Competition for Protein Binding Sites. Molecules 2021, 26, 6060. [Google Scholar] [CrossRef] [PubMed]
- Ingrassia, R.; Garavaglia, B.; Memo, M. DMT1 Expression and Iron Levels at the Crossroads Between Aging and Neurodegeneration. Front. Neurosci. 2019, 13, 575. [Google Scholar] [CrossRef] [PubMed]
- Tonazzi, A.; Giangregorio, N.; Console, L.; Palmieri, F.; Indiveri, C. The Mitochondrial Carnitine Acyl-carnitine Carrier (SLC25A20): Molecular Mechanisms of Transport, Role in Redox Sensing and Interaction with Drugs. Biomolecules 2021, 11, 521. [Google Scholar] [CrossRef]
- DeSilva, T.M.; Veglia, G.; Porcelli, F.; Prantner, A.M.; Opella, S.J. Selectivity in heavy metal- binding to peptides and proteins. Biopolymers 2002, 64, 189–197. [Google Scholar] [CrossRef]
- Martin, M.B.; Reiter, R.; Pham, T.; Avellanet, Y.R.; Camara, J.; Lahm, M.; Pentecost, E.; Pratap, K.; Gilmore, B.A.; Divekar, S.; et al. Estrogen-like activity of metals in MCF-7 breast cancer cells. Endocrinology 2003, 144, 2425–2436. [Google Scholar] [CrossRef]
- Ramirez-Alonso, J.I.; Sampedro, J.G. Effect of Cations on ATP Binding to the N-domain of Na+, K+-ATPase. J. Fluoresc. 2024. [Google Scholar] [CrossRef]
- Morgan, W.T. Interactions of the histidine-rich glycoprotein of serum with metals. Biochemistry 1981, 20, 1054–1061. [Google Scholar] [CrossRef]
- Kummer, W.; Krasteva-Christ, G. Non-neuronal cholinergic airway epithelium biology. Curr. Opin. Pharmacol. 2014, 16, 43–49. [Google Scholar] [CrossRef] [PubMed]
- Lips, K.S.; Volk, C.; Schmitt, B.M.; Pfeil, U.; Arndt, P.; Miska, D.; Ermert, L.; Kummer, W.; Koepsell, H. Polyspecific cation transporters mediate luminal release of acetylcholine from bronchial epithelium. Am. J. Respir. Cell. Mol. Biol. 2005, 33, 79–88. [Google Scholar] [CrossRef]
- Pochini, L.; Scalise, M.; Galluccio, M.; Indiveri, C. Regulation by physiological cations of acetylcholine transport mediated by human OCTN1 (SLC22A4). Implications in the non-neuronal cholinergic system. Life Sci. 2012, 91, 1013–1016. [Google Scholar] [CrossRef] [PubMed]
- Wessler, I.; Kilbinger, H.; Bittinger, F.; Unger, R.; Kirkpatrick, C.J. The non-neuronal cholinergic system in humans: Expression, function and pathophysiology. Life Sci. 2003, 72, 2055–2061. [Google Scholar] [CrossRef] [PubMed]
- Yabuuchi, H.; Tamai, I.; Nezu, J.; Sakamoto, K.; Oku, A.; Shimane, M.; Sai, Y.; Tsuji, A. Novel membrane transporter OCTN1 mediates multispecific, bidirectional, and pH-dependent transport of organic cations. J. Pharmacol. Exp. Ther. 1999, 289, 768–773. [Google Scholar]
- Li, D.; Qi, C.; Zhou, J.; Wen, Z.; Zhu, X.; Xia, H.; Song, J. LPS-induced inflammation delays the transportation of ASP(+) due to down-regulation of OCTN1/2 in alveolar epithelial cells. J. Drug Target. 2020, 28, 437–447. [Google Scholar] [CrossRef]
- Pochini, L.; Scalise, M.; Galluccio, M.; Pani, G.; Siminovitch, K.A.; Indiveri, C. The human OCTN1 (SLC22A4) reconstituted in liposomes catalyzes acetylcholine transport which is defective in the mutant L503F associated to the Crohn’s disease. Biochim. Biophys. Acta 2012, 1818, 559–565. [Google Scholar] [CrossRef]
- Taubert, D.; Grimberg, G.; Jung, N.; Rubbert, A.; Schomig, E. Functional role of the 503F variant of the organic cation transporter OCTN1 in Crohn’s disease. Gut 2005, 54, 1505–1506. [Google Scholar] [CrossRef]
- Friedman, J.R.; Richbart, S.D.; Merritt, J.C.; Brown, K.C.; Nolan, N.A.; Akers, A.T.; Lau, J.K.; Robateau, Z.R.; Miles, S.L.; Dasgupta, P. Acetylcholine signaling system in progression of lung cancers. Pharmacol. Ther. 2019, 194, 222–254. [Google Scholar] [CrossRef]
- Galluccio, M.; Pochini, L.; Amelio, L.; Accardi, R.; Tommasino, M.; Indiveri, C. Over-expression in E. coli and purification of the human OCTN1 transport protein. Protein Expr. Purif. 2009, 68, 215–220. [Google Scholar] [CrossRef]
- Indiveri, C.; Galluccio, M.; Scalise, M.; Pochini, L. Strategies of bacterial over expression of membrane transporters relevant in human health: The successful case of the three members of OCTN subfamily. Mol. Biotechnol. 2013, 54, 724–736. [Google Scholar] [CrossRef] [PubMed]
- Mazza, T.; Scalise, M.; Pappacoda, G.; Pochini, L.; Indiveri, C. The involvement of sodium in the function of the human amino acid transporter ASCT2. FEBS Lett. 2021, 595, 3030–3041. [Google Scholar] [CrossRef] [PubMed]
- Spagnoletta, A.; De Palma, A.; Prezioso, G.; Scalera, V. A micro-batchwise technique method for rapid reconstitution of functionally active mitochondrial ADP/ATP carrier from Jerusalem artichoke (Helianthus tuberosus L.) tubers. J. Biochem. Biophys. Methods. 2008, 70, 954–957. [Google Scholar] [CrossRef] [PubMed]
- Webb, B.; Sali, A. Protein Structure Modeling with MODELLER. Methods Mol. Biol. 2021, 2199, 239–255. [Google Scholar] [CrossRef]
- Lu, C.H.; Chen, C.C.; Yu, C.S.; Liu, Y.Y.; Liu, J.J.; Wei, S.T.; Lin, Y.F. MIB2: Metal ion-binding site prediction and modeling server. Bioinformatics 2022, 38, 4428–4429. [Google Scholar] [CrossRef]
- Madeira, F.; Madhusoodanan, N.; Lee, J.; Eusebi, A.; Niewielska, A.; Tivey, A.R.N.; Lopez, R.; Butcher, S. The EMBL-EBI Job Dispatcher sequence analysis tools framework in 2024. Nucleic Acids Res. 2024, 52, W521–W525. [Google Scholar] [CrossRef]
- UniProt, C. UniProt: The universal protein knowledgebase in 2021. Nucleic Acids Res. 2021, 49, D480–D489. [Google Scholar] [CrossRef]
- Burckhardt, G.; Wolff, N.A. Structure of renal organic anion and cation transporters. Am. J. Physiol. Renal. Physiol. 2000, 278, F853–F866. [Google Scholar] [CrossRef]










| Particles Size (mm) | Classification |
|---|---|
| >5 mm | Macroplastics |
| Between 5 mm and 0.3 mm | Microplastics |
| <0.3 mm | Nanoplastics |
| Heavy Metals | Level of Toxicity | Identifier |
|---|---|---|
| Mercury | +++ | https://www.atsdr.cdc.gov/toxprofiles/tp46.pdf (accessed on 21 October 2024) |
| Cadmium | +++ | https://www.atsdr.cdc.gov/toxprofiles/tp5.pdf (accessed on 21 October 2024). |
| Zinc | + | https://www.atsdr.cdc.gov/toxprofiles/tp60.pdf (accessed on 21 October 2024). |
| Lead | +++ | https://www.atsdr.cdc.gov/toxprofiles/tp13.pdf (accessed on 21 October 2024). |
| Chromium | +++ | https://www.atsdr.cdc.gov/toxprofiles/tp7.pdf (accessed on 21 October 2024). |
| Heavy Metals | IC50 (µM) |
|---|---|
| HgCl2 | 121 ± 7 |
| CdCl2 | 56 ± 4 |
| ZnCl2 | 57 ± 17 |
| Pb(NO3)2 | 90 ± 19 |
| CrCl2 | 170 ± 15 |
Disclaimer/Publisher’s Note: The statements, opinions and data contained in all publications are solely those of the individual author(s) and contributor(s) and not of MDPI and/or the editor(s). MDPI and/or the editor(s) disclaim responsibility for any injury to people or property resulting from any ideas, methods, instructions or products referred to in the content. |
© 2024 by the authors. Licensee MDPI, Basel, Switzerland. This article is an open access article distributed under the terms and conditions of the Creative Commons Attribution (CC BY) license (https://creativecommons.org/licenses/by/4.0/).
Share and Cite
Brunetti, L.S.; Scalise, M.; Scanga, R.; Console, L.; Galluccio, M.; La Russa, M.F.; Pochini, L.; Indiveri, C. OCTN1 (SLC22A4) as a Target of Heavy Metals: Its Possible Role in Microplastic Threats. Int. J. Mol. Sci. 2024, 25, 13218. https://doi.org/10.3390/ijms252313218
Brunetti LS, Scalise M, Scanga R, Console L, Galluccio M, La Russa MF, Pochini L, Indiveri C. OCTN1 (SLC22A4) as a Target of Heavy Metals: Its Possible Role in Microplastic Threats. International Journal of Molecular Sciences. 2024; 25(23):13218. https://doi.org/10.3390/ijms252313218
Chicago/Turabian StyleBrunetti, Luana S., Mariafrancesca Scalise, Raffaella Scanga, Lara Console, Michele Galluccio, Mauro F. La Russa, Lorena Pochini, and Cesare Indiveri. 2024. "OCTN1 (SLC22A4) as a Target of Heavy Metals: Its Possible Role in Microplastic Threats" International Journal of Molecular Sciences 25, no. 23: 13218. https://doi.org/10.3390/ijms252313218
APA StyleBrunetti, L. S., Scalise, M., Scanga, R., Console, L., Galluccio, M., La Russa, M. F., Pochini, L., & Indiveri, C. (2024). OCTN1 (SLC22A4) as a Target of Heavy Metals: Its Possible Role in Microplastic Threats. International Journal of Molecular Sciences, 25(23), 13218. https://doi.org/10.3390/ijms252313218

