Abstract
Humic substances (HS) are ubiquitous in the environment, and can act as photosensitizers in the redox reactions of some photochemical processes. The influence of HS in these reactions varies with the HS type and concentration. The total organic carbon content (TOC) of some commercial HS (such as soil and river humic acid, and fulvic acid) was studied. 1-Aminopyrene (1-AP) and 1-hydoxypyrene (1-HP) are carcinogenic and slightly water-soluble polycyclic aromatic hydrocarbons (PAH). The impact of PAH on natural environment is related to their photolysis rates and photoproducts; therefore, it is of interest to study the photolysis of these compounds. Our previous study showed that the photolysis rate of 1-HP was inhibited by HS. In this study, photolysis of 1-AP was conducted with pure water, natural river water, and pure water containing commercial HS. It was found that the photolysis rate of 1-AP can be inhibited or enhanced by HS, depending on the type and concentration. The first order photolysis rate constant of 1-AP (10 μM) in phosphate buffer (pH 7.0, 1 mM) containing a humic acid (20-80 ppm) was enhanced by up to 5 folds. With a fulvic acid (20-80 ppm), it was enhanced by about 2 folds. With a soil humic acid, it was enhanced by about 2 folds at the concentration of 20 ppm and was inhibited by up to 4 folds at the concentration of 80 ppm. Atrazine (2-chloro-4-ethylamine-6-isopropylamino-s-triazine) is a widely used herbicide. It is toxic, often bioaccumulative and persistent. In this study, the effect of HS on the photochemical fate of atrazine was also studied. The results showed that photolysis of atrazine can be enhanced by humic acid, depending on the type and concentration of humic acid. The fulvic acid has no effect on its photolysis within 10 days.
Introduction
Humic substances (HS) are ubiquitous in the environment. They are formed during the microbiological and abiotic transformations of animal and plant materials. Among them, humic acid (HA) is the fraction of HS that is not soluble in water under acidic conditions (pH < 2) but is soluble at higher pH, with average molecular weight of 2,000 to 3,000. Fulvic acid (FA) is the fraction that is soluble at all pH values, with average molecular weight less than 1,000. HS have a high portion of oxygen-containing functional groups [1,2,3].
HS absorb solar energy mostly between 300 and 500 nm. Absorption of irradiation in this region can initiate a number of photochemical processes, producing peroxy and hydroxyl radicals as well as hydrated electrons, hydrogen peroxide, singlet oxygen and superoxide [4]. These chemical species can promote redox reactions.
The photolysis of aquatic organic contaminants can be influenced in several ways by the presence of HS in natural waters. On one hand, direct photolysis can be inhibited because of the competitive absorption by colored HS. This may lead to a decrease in photolysis rates in the presence of HS compared to the reactions in pure water [5]. On the other hand, ultraviolet irradiation (UV) also induces a variety of photochemical changes in dissolved organic carbons and leads to production of reactive oxygen species (e.g., singlet oxygen, peroxy radicals) [4,6,7]. In turn, these reactive chemical species may oxidize the organic contaminants. Therefore, photochemical fate of chemical contaminants in natural aquatic environments may differ significantly from those present in pure water, owing to the presence of naturally occurring irradiation absorbers, quenchers, or sensitizers.
Polycyclic aromatic hydrocarbons (PAH) are a group of organic compounds, which are toxic and many of them are known carcinogens and mutagens [8,9]. They are also listed as the U.S. Environmental Protection Agency priority pollutants [10]. Photolysis transforms many organic pollutants to less toxic or harmless products. However, in the presence of natural or simulated sunlight, many PAH become more toxic to aquatic organisms at concentrations well below the PAH aqueous solubility limits [11,12,13]. Therefore, the photoinduced toxicity may present a greater risk to aquatic organisms and ultimately humans because of direct exposure and/or bioaccumulation through food chains. Amino substituted aromatic compounds, including amino-PAHs (eg., 1-AP), have been recognized as chemical carcinogens [14,15]. Under UV-A irradiation, 1-AP has been shown to cause light-induced DNA single strand cleavage [16].
Atrazine (2-chloro-4-ethylamine-6-isopropylamino-s-triazine) is a widely used herbicide to control broad-leaf weeds in corn or crops, including green vegetables. It is toxic, bioaccumulative and persistent. Its persistence in surface water and groundwater has caused environmental concerns. Consequently, the search for effective remediation methods of removing atrazine from water is important [17,18].
Since the presence of HS has significant influence on the transport and fate of many organic contaminants in natural water environment, it is important to study the influences of HS in order to successfully predict the impact of PAH and atrazine on the environment. In this paper, the effect of dissolved humic substances on the photochemical rate of 1-AP and atrazine has been studied.
Experimental
Materials
All chemicals were used as received. Reagents were analytical or HPLC grade. 1-AP and humic acid were from Aldrich Chemical Co. (Milwaukee, Wisconsin). Atrazine was obtained from Chemservice (West Chester, USA). Standard HS (include river humic and fulvic acid, soil humic acid, fulvic acid standard, river natural organic matter) were purchased from International Humic Substances Society. HS solutions were prepared in different concentrations with 1 mM sodium phosphate buffer (PBS, pH 7.0). River water was collected from Ross Barnett Reservoir, Ridgeland, Mississippi. Its total organic carbon content (TOC) ranged from 30 to 60 ppm. TOC was measured by using a PASTEL UV Spectrophotometer (ESCOMAN, France). The pH of the water samples ranged from 7.0 to 7.5.
1-Aminopyrene and atrazine photo-degradation
To 150-mL quartz flasks (Quartz Scientific, Fairport Harbor, Ohio), 24 mL of media solution (river water, pure water with or without a certain concentration of HS) and 1 mL 250 μM 1-AP or atrazine in acetonitrile were added and shaken to mix. The flasks were exposed to a 100 W UVA lamp (type B, UVP Inc., Upland, CA) indoors or sunlight outdoors for different time periods (depends on the degradation half life of interested compounds).
Transformation (disappearance of parent compound) rate constants were calculated by assuming the reactions were first order. The first-order rate expression is given by ln (Co/C) = kpt, while Co and C refer to the concentrations of the measured compound at to and t, respectively, and kp is the first-order photolysis rate constant, in units of min-l. The half-life of the compound was determined by tl/2 = 0.693/kp.
The HPLC system is the Waters Millennium with two Waters 515 pumps, a Waters 717 plus Autosampler and a Waters 996 photodiode array (PDA) detector. Separation was carried out on a Lichrospher® 100 RP-8 column (25 cmX4.0 mm I.D., 5 µm) (Hewlett Packard, USA) at a flow rate of 1.0 mL/min with gradient elution of acetonitrile/water mixture (40/60 to 90/10 v/v from 0 to 10 min, held at 90/10 v/v from 10 to 18 min, then 90/10 to 40/60 v/v from 18 to 20 min). The wavelength of PDA was set at 254 nm and the temperature of the autosampler was controlled at 12°C.
Results and Discussion
Separation of 1-AP, atrazine and their photoproducts
Figure 1 is a HPLC chromatogram showing the separation of 1-AP, atrazine and their photoproducts obtained after UVA irradiation for 15 min. Diagram (a) is the HPLC chromatogram of 1-AP and its photoproducts. Peak at 9.3 min is 1-AP; peaks at 1.24 and 1.68 min are HS, and others are its photoproducts. Diagram (b) is the HPLC chromatogram of atrazine and its photoproducts. Peak at 9.8 min is atrazine; peaks at 1.35 and 1.70 min are HS, and others are its photoproducts.
Figure 1.
HPLC chromatogram of 1-AP, atrazine and their photoproducts. Column: Lichrospher® 100 RP-8 (25cmX4.0mm I.D., 5 µm), flow rate: 1.0 mL/min, gradient elution: acetonitrile/water mixture (40/60 to 90/10 v/v from 0 to 10 min, held at 90/10 v/v from 10 to 18 min, then 90/10 to 40/60 v/v from 18 to 20 min). (a) is the HPLC chromatogram of 1-AP and its photoproducts: peak at 9.3 min is 1-AP; peaks at 1.24 and 1.68 min are HS, and others are its photoproducts. Figure 1 (b) is the HPLC chromatogram of atrazine and its photoproducts: peak at 9.8 min is atrazine; peaks at 1.35 and 1.70 min are HS, and others are its photoproducts.
Figure 1.
HPLC chromatogram of 1-AP, atrazine and their photoproducts. Column: Lichrospher® 100 RP-8 (25cmX4.0mm I.D., 5 µm), flow rate: 1.0 mL/min, gradient elution: acetonitrile/water mixture (40/60 to 90/10 v/v from 0 to 10 min, held at 90/10 v/v from 10 to 18 min, then 90/10 to 40/60 v/v from 18 to 20 min). (a) is the HPLC chromatogram of 1-AP and its photoproducts: peak at 9.3 min is 1-AP; peaks at 1.24 and 1.68 min are HS, and others are its photoproducts. Figure 1 (b) is the HPLC chromatogram of atrazine and its photoproducts: peak at 9.8 min is atrazine; peaks at 1.35 and 1.70 min are HS, and others are its photoproducts.

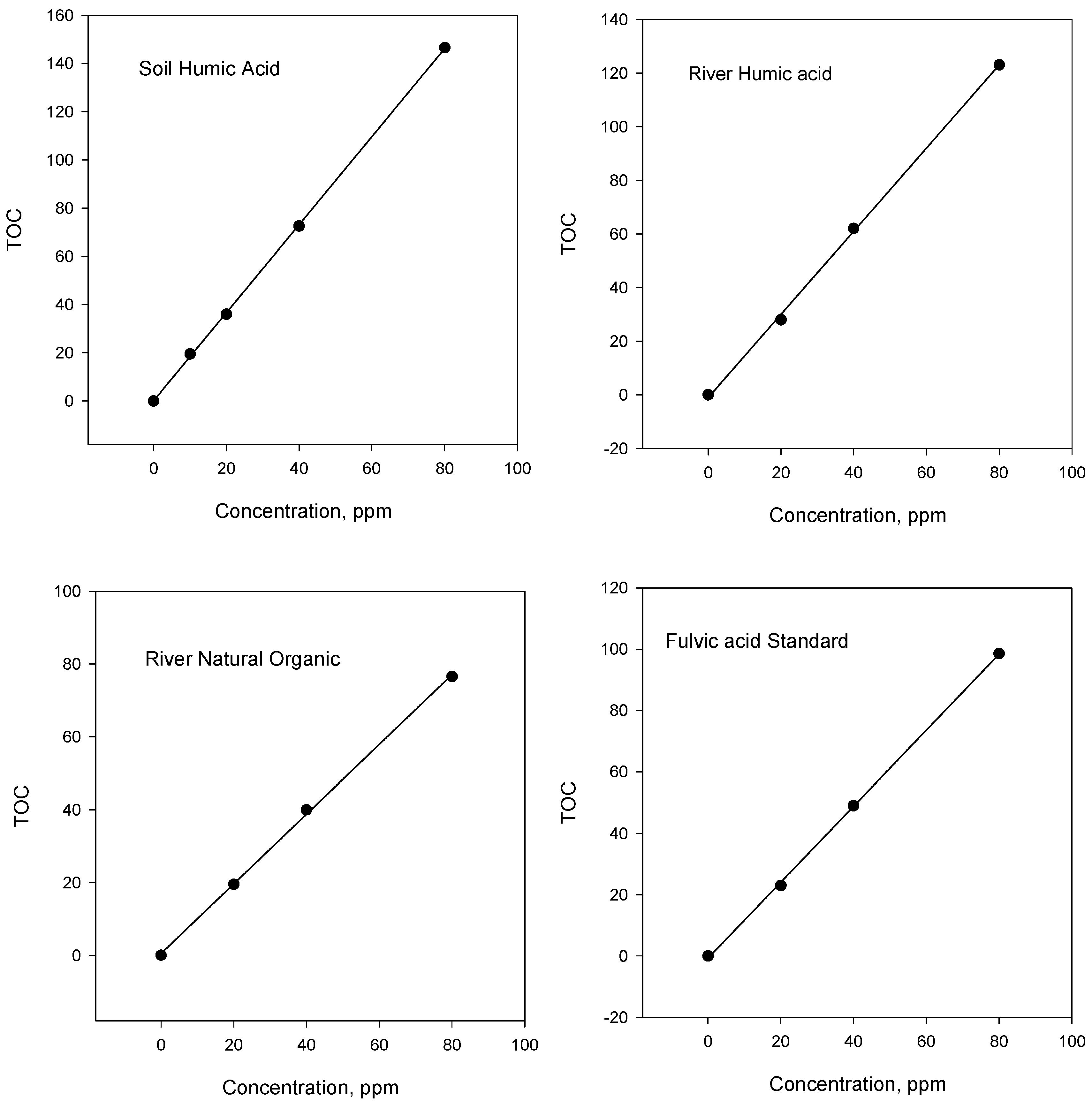
Total organic carbon content of HS
Figure 2 depicts the total organic carbon (TOC) of selected HS. As shown in Figure 2, the TOC value of river natural organic and fulvic acid standard is close to the HS concentration value in ppm. However, the TOC value of soil humic acid and river humic acid is higher than the HS concentration value in ppm, with that of soil humic acid being much higher. The deviation might be caused by the interference of HS color. Among the HS tested, the soil humic acid is the darkest, while the river natural organic and fulvic acid standard appear lighter. The TOC value of the fresh river water is in the range of 30-60 ppm.
Figure 2.
Total organic carbon (TOC) of selected HS.
Figure 2.
Total organic carbon (TOC) of selected HS.

The effect of river water on the photolysis rate of 1-AP
Figure 3 shows the half-life (t1/2, min) of 1-AP (10μM) in river water and distilled pure water under outdoor sunlight and indoor UVA irradiation. The higher 1-AP photolysis rate in the river water than in the distilled pure water is speculated to be due to the photosensitized effect of HS in river water, where TOC is in the range between 30 and 60 ppm. The lower 1-AP photolysis rate in live river water than in sterile river water (autoclaved) may be due to the sequestration of 1-AP by the living systems in the solution, although the difference between the two groups is not significant. One interesting finding is that 1-AP photolysis rate is lower in river water under indoor UVA irradiation than that in outdoor sunlight. The UVA intensity of UVA irradiation is about 8.9 mW/cm2, which is three times stronger than that of sunlight (about 2.7 mW/cm2). The phenomenon of stronger UVA irradiation and lower 1-AP photolysis rate under UVA irradiation suggests that sensitized photolysis may be activated by both visible and UV irradiation of solar light.
The effect of commercial HS types and concentration on the photolysis rate of 1-AP
Table 1 lists 1-AP photodegradation half-life (t1/2, min) in commercial HS buffer solution under UVA irradiation. It shows that the photolysis rate of 1-AP can be inhibited or enhanced by HS, depending on the type and concentration. The photolysis rate of 1-AP (10 μM) in phosphate buffer (pH 7.0, 1mM) containing humic acid (20-80 ppm) was enhanced by up to 5 folds. With fulvic acid (20-80 ppm), it was enhanced by about 2 folds. With soil humic acid, it was enhanced by about 2 folds at the concentration of 20 ppm and was inhibited by up to 4 folds at the concentration of 80 ppm. Generally speaking, increasing HS concentration lengthens the 1-AP photolysis half-life. Soil humic acid solution is heavily colored and it absorbs light to act as a light filter. In the 40 and 80 ppm groups, the significance of irradiation absorption surpasses the 1-AP photolysis enhancement in soil humic acid solution at higher concentrations. In our previous study, there is no evidence of photolysis enhancement of 1-HP by HS. Therefore the effect of dissolved humic substance on the PAH photochemical rate is different among PAH. The commercially available HS varies in chemical composition from place to place. It may be necessary to study other HS types and PAH to better understand the relationship between HS types and PAH photolysis.
Figure 3.
Photolysis half-life (t1/2, min) of 1-AP (10μM) in river water and distilled pure water under outdoor sunlight and indoor UVA irradiation. LW=live natural water, KW=killed natural water (autoclaved), PW=distilled pure water, Sun= outdoor sunlight, UVA= indoor UVA irradiation.
Figure 3.
Photolysis half-life (t1/2, min) of 1-AP (10μM) in river water and distilled pure water under outdoor sunlight and indoor UVA irradiation. LW=live natural water, KW=killed natural water (autoclaved), PW=distilled pure water, Sun= outdoor sunlight, UVA= indoor UVA irradiation.

Table 1.
1-AP photodegradation half-life (t1/2, min) in commercial HS buffer solutions under UVA irradiation
| HS concentration, ppm | ||||
| HS Type | 20 | 40 | 80 | 0 |
| 1 mM PBS (pH 7.0) | 17.4±1.1 | |||
| Aldrich Humic Acid | 3.5±0.5 | 3.3±0.5 | 8.1±0.7 | |
| River Humic Acid | 6.7±0.6 | 6.5±0.6 | 6.9±0.7 | |
| River Fulvic Acid | 16.0±1.3 | 14.9±1.2 | 11.6±1.2 | |
| River Natural Organic | 10.7±1.1 | 9.7±1.2 | 8.2±1.1 | |
| Fulvic Acid | 10.6±1.4 | 10.4±1.2 | 10.2±1.2 | |
| Soil Humic Acid | 7.7±0.5 | 26.0±1.6 | 63.0±4.3 | |
The effect of HS types and concentration on the photolysis rate of atrazine
Photodegradation rate of atrazine (10 μM; calculated as remained) in PBS buffer solution (pH 7.0) with different type and concentration of HA under outdoor sunlight is shown in Figure 4. Atrazine remains the same at 0 ppm of HA within 10 days. In Figure 4 (a) river humic acid was added at concentrations of 60, 120, 240 ppm. It shows that the effect on atrazine photolysis depends on the HS concentration. In this case, the higher the concentration of HA is, the higher the photolysis rate of atrazine becomes. At 120 ppm, about one fifth of atrazine disappeared after 10 days. At 240 ppm, about one third of atrazine disappeared after 10 days. In Figure 4 (b) Aldrich humic acid, IHSS river humic acid and fulvic acid were added at concentration of 120 ppm. It indicates that the effect on atrazine photolysis depends on the HS type. Both river and Aldrich humic acid enhance photolysis of atrazine, and fulvic acid has no effect on atrazine photolysis within 10 days. The photochemical fate of the persistent atrazine will be changed if there is enough HS presents.
In summary, the photolysis rate of 1-AP can be enhanced by HS; however, it could be inhibited in soil humic acid solution at higher concentrations ( eg., 40, 80 ppm). The photolysis of atrazine can be enhanced by humic acid, while fulvic acid has no effect on its photolysis within 10 days.
Figure 4.
Photodegradation rate of atrazine (10μM; calculated as remained) inPBS buffer solution (pH 7.0) with different type and concentration of HA under outdoor sunlight. (a) river humic acid was added at concentration of 60, 120, 240 ppm. Atrazine remains the same at 0 ppm within 10 days (not shown here). (b) Aldrich humic acid, IHSS river humic aci and fulvic acid were addded at concentration of 120 ppm.
Figure 4.
Photodegradation rate of atrazine (10μM; calculated as remained) inPBS buffer solution (pH 7.0) with different type and concentration of HA under outdoor sunlight. (a) river humic acid was added at concentration of 60, 120, 240 ppm. Atrazine remains the same at 0 ppm within 10 days (not shown here). (b) Aldrich humic acid, IHSS river humic aci and fulvic acid were addded at concentration of 120 ppm.

Acknowledgements.
This research was supported by: (1) NIH-RCMI 1G12RR12459-01 and NIH-SCORE S06GM08047 (to JSU); (2) U.S. Department of the Army #DAAD 19-01-1-0733 to JSU; and (3) U.S. Department of Energy #DE-FG02-00ER45830 with subcontract to JSU; (4) The Army HPCRC under the auspices of the Department of the Army, Army Research Laboratory. The content does not necessarily reflect the position/policy/endorsement of the government.
References
- Matthews, J. C.; Ekuta, J. E.; Drake, K. D.; Watson, C. F.; Benson, W. H. Nature and extent of the interactions of humic acids with water treatment algicide and a fungicide. Chemosphere 1995, 30, 1565–1572. [Google Scholar] [CrossRef]
- Dawson, H. J.; Hrutfiord, B. F.; Zasoski, R. J.; and Ugolini, F. C. The molecular weight and origin of yellow organic acids. Soil Sci. 1981, 132, 191–199. [Google Scholar] [CrossRef]
- Thurman, E. M. Organic Geochemistry of Natural WatersMartinus Nijhoff/Dr. Junk, W. Publishers, 1985, 1st ed. [Google Scholar]
- Cooper, W. J.; Zika, R. G.; Petasne, R. G; Fischer, A. M. Sunlight-induced photochemistry pf humic substances in natural waters: major reactive species. In Aquatic Humic Substances: Influence on Fate and Treatment of Pollutants; Suffet, I. H., MacCarthy, P., Eds.; American Chemical Society: Washington, DC, 1989; pp. 333–362. [Google Scholar]
- Frimmel, F. R.; Hessler, D. P. Photochemical degradation of triazine and anilide pesticides in natural waters. In Aquatic and Surface Photochemistry; Relz, G. R., Zepp, R. G., Crosby, D. G., Eds.; Lewis Publishers: Boca Raton, FL, 1994; pp. 137–147. [Google Scholar]
- Zepp, R. G. Environmental photoprocesses involving natural organic matter. In Humic Substances and Their Role in the Environment; Frimmel, F.H., Christman, R. F., Eds.; Wiley: New York, 1988; pp. 193–214. [Google Scholar]
- Bushaw, K. L.; Zepp, R. G.; Tarr, M. A.; Schulz-Jander, D.; Bourbonniere, R. A.; Hodson, R. E.; Miller, W. L.; Bronk, D. A.; Moran, M.A. Photochemical release of biologically available nitrogen from aquatic dissolved organic matter. Nature 1996, 381, 404–407. [Google Scholar] [CrossRef]
- IARC (International Agency for Research on Cancer). Polynuclear aromatic compounds. Part I: chemical, environmental and experimental data. Lyon, 1983. [Google Scholar]
- U.S. Department of Health and Human Services. P.H.S., ATSDR Toxicological Profile for Polycyclic Aromatic Hydrocarbons (PAHs). Atlanta, GA, 1995. [Google Scholar]
- Keith, L. H.; Telliard, W. A. Priority pollutants I – A perspective view. Environ. Sci. Technol. 1979, 13, 15. [Google Scholar]
- Landrum, P. F.; Giesy, J. P.; Oris, J. T.; Allred, P. M. Oil in freshwater: chemistry, biology Countermeasure Technology; Vandermeulen, J.H., Hrudy, H., Eds.; Pergamon: Elmsford, USA, 1987; p. 304. [Google Scholar]
- McConkey, B. J.; Duxbury, C. L.; Dixon, D. G.; Greenberg, B. M. Toxicity of a PAH photooxidation product to the bacteria photobacterium phosphoreum and the Duckeweed lemna gibba: effects of phenanthrene and its primary photoproduct, phenanthrenequinenone. Environ. Toxicol. Chem. 1997, 16, 892–899. [Google Scholar] [CrossRef]
- Hatch, A. C.; Burton, G. A., Jr. Effects of photoinduced toxicity of fluoranthene on amphibian embryos and larvae. Environ. Toxicol. Chem. 1998, 17, 1777–1785. [Google Scholar] [CrossRef]
- Fujikawa, K.; Fort, F.L.; Samejima, K.; Sakamoto, Y. Genotoxic potency in Drosophila melanogaster of selected aromatic amines and polycyclic aromatic hydrocarbons as assayed in the DNA repair test. Mutat. Res. 1993, 290(2), 175–182. [Google Scholar] [CrossRef] [PubMed]
- Lafi, A; Parry, J. M. Chromosome aberrations induced by nitro-, nitroso- and aminopyrenes in cultured Chinese hamster cells. Mutagenesis 1987, 2(1), 23–26. [Google Scholar] [CrossRef] [PubMed]
- Dong, S.; Hwang, H.-M.; Harrison, C.; Holloway, L.; Shi, X.; Yu, H. UVA light-induced DNA cleavage by selected polycyclic aromatic hydrocarbons. Bull. Environ. Contam. Toxicol. 2000, 64, 467–476. [Google Scholar] [CrossRef] [PubMed]
- Hapeman-Somich, C.J. Pesticide Transformation Products; Somasundaran, Ed.; ACS Symp. Series 459; Washington DC, 1991; Chap. 10. [Google Scholar]
- Fallon, R. D. Evidence of hydrolytic route for anaerobic cyanide degradation. Appl. Environ. Microbiol. 1992, 58, 3163–3164. [Google Scholar] [PubMed]
© 2002 by MDPI (http://www.mdpi.org).