Next Article in Journal
4,4’-(Pyridin-4-ylmethylene)dibenzonitrile
Previous Article in Journal
CF3-Bis-TEMPO-Vis: New Visible Light Active Bis-Benzimidazolequinone Alkoxyamine
 
 
Font Type:
Arial Georgia Verdana
Font Size:
Aa Aa Aa
Line Spacing:
Column Width:
Background:
Short Note

Potassium (3-Methyl-2-oxido-1,2,5-oxadiazol-4-yl)dinitromethanide

by
Egor S. Zhilin
1,
Dmitry B. Meerov
2 and
Leonid L. Fershtat
1,*
1
N.D. Zelinsky Institute of Organic Chemistry, Russian Academy of Sciences, 47 Leninsky Avenue, 119991 Moscow, Russia
2
Semenov Federal Research Center for Chemical Physics, Russian Academy of Sciences, 4 Kosygina Street, 119991 Moscow, Russia
*
Author to whom correspondence should be addressed.
Molbank 2021, 2021(4), M1301; https://doi.org/10.3390/M1301
Submission received: 3 November 2021 / Revised: 19 November 2021 / Accepted: 25 November 2021 / Published: 26 November 2021
(This article belongs to the Section Organic Synthesis and Biosynthesis)

Abstract

:
Furoxan derivatives enriched with explosophoric functionalities are promising compounds in the preparation of novel energetic materials. Herein, a previously unknown potassium (3-methyl-2-oxido-1,2,5-oxadiazol-4-yl)dinitromethanide (also referred to as potassium 4-dinitromethyl-3-methylfuroxanate) was synthesized via tandem nitration-reduction reactions of an available (furoxanyl)chloroxime. The structure of the synthesized compound was established by elemental analysis, IR, 1H, 13C and 14N NMR spectroscopy. Thermal stability and mechanical sensitivity of the prepared compound toward impact and friction were experimentally determined.

1. Introduction

High-energy materials (HEMs) are among the most important functional materials and occupy a dominant position in the development of dual-use technologies [1,2,3,4,5,6,7,8,9]. Commonly used cyclic nitramines-1,3,5-trinitro-1,3,5-triazacyclohexane (RDX) and 1,3,5,7-tetranitro-1,3,5,7-tetraazacyclooctane (HMX) synthesized over a century ago are still considered the “golden standard” in the field of energetic materials due to their high detonation performance and facile synthesis. By the end of the 20th century, next-generation HEMs were obtained: 2,4,6,8,10,12-hexanitro-2,4,6,8,10,12-hexaazaisowurtzitane (CL-20) [10,11] and octanitrocubane (ONC) [12]. Their functional properties are significantly higher than those of RDX and HMX; however, their sensitivity to mechanical stress is also much higher. Therefore, the search for new and effective, but less sensitive to mechanical stimuli, HEMs among polynitrogen–oxygen and nitrogen–oxygen heterocyclic compounds remain especially relevant. The use of heterocyclic scaffolds as a synthetic platform for the construction of high-energy structures has a number of advantages: such compounds usually have high enthalpies of formation, higher densities, and high nitrogen content, which allows for reducing the amount of oxidant used in energetic formulations. In a recent decade, new synthetic methodologies for the construction of heterocycle-based energetic materials were developed, and nowadays, a search of new HEMs is mainly performed in the field of heterocyclic chemistry [13,14,15,16,17]. A special interest in the energetic materials’ chemistry is focused on energy-rich substances containing the furoxan (1,2,5-oxadiazole 2-oxide) ring. Compared with other azoles, furoxan derivatives have a number of advantages, including high density, high enthalpy of formation and low volatility (Figure 1) [18,19]. Due to these properties, the furoxan ring became a key structural fragment in the synthesis of a number of high-energy substances [20,21,22,23].
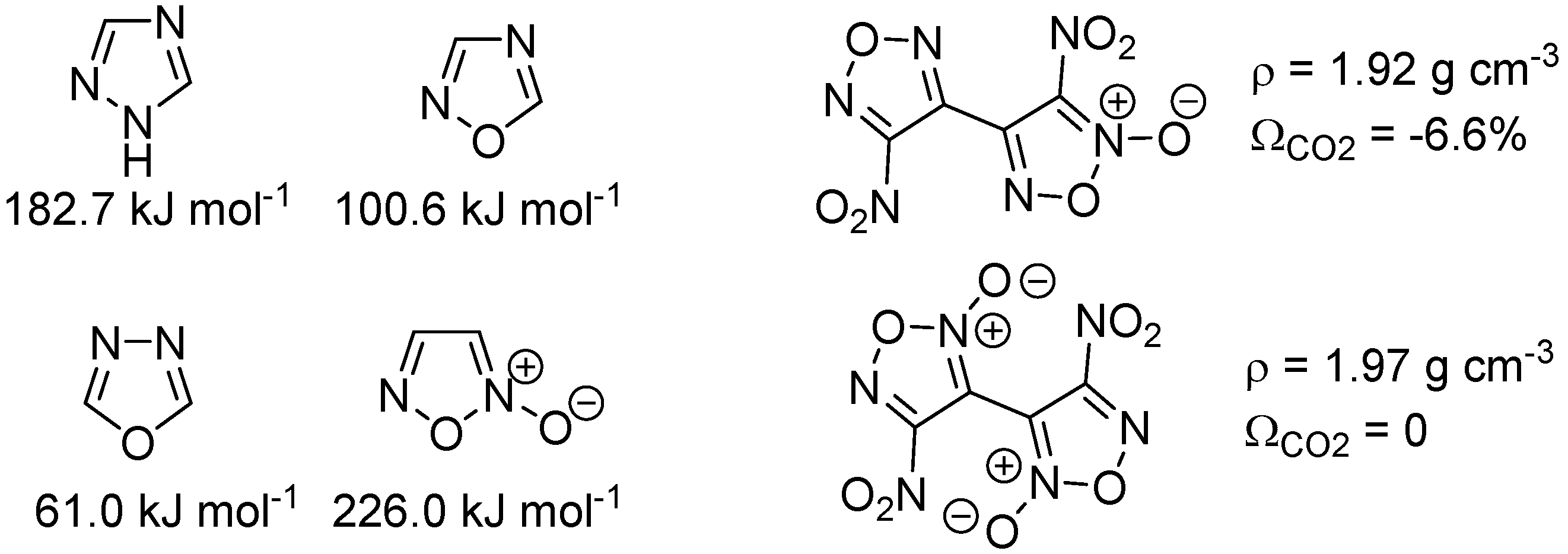
Keeping in mind the desired synthesis of high-energy materials with an increased oxygen content, it seems promising to combine the furoxan cycle and the dinitromethyl functionality in one molecule. Recently, energetic dinitromethylfuroxan potassium salts 1 [24] and 2 [25] exhibiting high densities and thermal stability, as well as a positive oxygen balance to CO, were synthesized (Figure 2). However, both of these substances are highly sensitive to mechanical stress. Therefore, the goal of this work includes the synthesis of energy-rich potassium 4-dinitromethyl-3-methylfuroxanate 3, which will also have a high oxygen content, but due to the presence of a methyl group, it may turn out to be less sensitive to impact and friction.

2. Results and Discussion

A synthetic route to the target compound 3 is based on one-pot transformations of the readily available (furoxanyl)chloroxime 4, which was previously synthesized by our research group from ethyl acetoacetate [26]. We found that nitration of substrate 4 using an excess of N2O4 followed by a one-pot reduction in the intermediate gem-chlorodinitrofuroxan 5 upon its treatment with KI afforded potassium salt 3 in an overall yield of 58% (Scheme 1). The structure of the furoxanate 3 was confirmed by elemental analysis, IR, 1H, 13C and 14N NMR spectroscopy. The 13C NMR spectrum showed four signals of carbon atoms: Me group (8.0 ppm), characteristic signals of C-3 and C-4 carbons of the furoxan ring (113.7 and 152.6 ppm, respectively) and a broadened signal of the C(NO2)2 functionality (123.3 ppm). The presence of the C(NO2)2 moiety was additionally confirmed by 14N NMR spectroscopy (characteristic signal at −23.5 ppm).
A set of important physicochemical properties of the potassium salt 3 was also established (Table 1). It was found that compound 3 has a remarkably high density (1.91 g cm−3), zero oxygen balance (to CO) and quite high combined nitrogen-oxygen content (62.8%). Under linear heating at 5 K min−1 rate, sample 3 first shows a phase transition at 133 °C with the following thermal decomposition after 207 °C (Figure 3). Hence, with this preliminary estimate of thermal stability, compound 3 could be placed in between known dinitromethylfuroxan derivatives 1 and 2. At the same time, the mechanical sensitivity of synthesized 3 is beneficially less than for previous synthesized salts 1 and 2 (Table 1). Impact sensitivity of 3 is on the level of nitramines (see RDX, Table 1), whereas the friction sensitivity of 3 approaches the nitroester’s level (see PETN, Table 1).
In conclusion, a new high-energy potassium 4-dinitromethyl-3-methylfuroxanate was synthesized through tandem nitration-reduction reactions of the readily available 3-methyl-4- (chloroximino)furoxan. Thermal stability and mechanical sensitivity of the synthesized compound were experimentally determined. It was found that thus-prepared potassium salt has a high decomposition temperature (207 °C), high density (1.91 g cm−3) and moderate sensitivity to mechanical stress, which enable its potential application in energetic materials science.

3. Materials and Methods

CAUTION! Although we have encountered no difficulties during preparation and handling of compounds described in this paper, they are potentially explosive energetic materials which are sensitive to impact and friction. Mechanical actions of these energetic materials, involving scratching or scraping, must be avoided. Any manipulations must be carried out by using appropriate standard safety precautions.
All reactions were carried out in well-cleaned oven-dried glassware with magnetic stirring. 1H and 13C NMR spectra were recorded on a Bruker (Billerica, MA, USA) AM-300 (300 and 75.5 MHz, respectively) spectrometer and referenced to residual solvent peak. The 14N NMR spectrum was measured on a Bruker AM-300 (21.7 MHz) spectrometer using MeNO214N = 0.0 ppm) as an external standard. The chemical shifts are reported in ppm (δ). The IR spectrum was recorded on a Bruker “Alpha” spectrometer in the range 400–4000 cm−1 (resolution 2 cm−1). Elemental analysis was performed by the CHN analyzer EuroVector EA (Pavia, Italy). All solvents were purified and dried using standard methods prior to use. All standard reagents were purchased from Aldrich(Burlington, MA, USA) or Acros Organics (Geel, Belgium) and used without further purification. Thermal analysis was performed using Netzsch DSC 204 HP (Selb, Germany) apparatus. Sample weighting 1.1 mg was poured in an aluminum pan, covered with a pierced lid and heated at 5 K min−1 rate up to 300 °C under nitrogen flow (50 mL min−1). Impact and friction sensitivity were determined with standard procedures; the details can be found elsewhere [27]. IR, 1H, 13C and 14N NMR spectra are available in Supplementary Materials.
Synthesis of potassium (3-methyl-2-oxido-1,2,5-oxadiazol-4-yl)dinitromethanide 3. Chloroxime 4 (355 mg, 2 mmol) was placed in a 10 mL round-bottom flask and then N2O4 (2.6 mL, 40 mmol) was added in one portion at 20 °C. The resulting mixture was stirred until the complete dissolution of initial compound 4 and then for additional 24 h at 20 °C;. The thus-formed dark green solution was concentrated on a rotary evaporator and the residue was passed through a short pad of SiO2 (eluent–CH2Cl2). Then, the solvent was evaporated and thus obtained chlorodinitrofuroxan 5 (340 mg) was dissolved in MeOH (4.5 mL) followed by an addition of KI (522 mg, 3.15 mmol) in one portion. The reaction mixture was cooled to 0 °C, stirred for 4 h and left in a refrigerator at 4 °C; for 12 h to initiate crystallization. The solid formed was filtered off, washed with cold MeOH (1 × 1 mL) and hexanes (2 × 5 mL) and dried in air. Yield 280 mg (58%), pale yellow solid. IR spectrum (KBr), ν, cm−1: 2937, 2836, 1618, 1537, 1475, 1373, 1233, 1143, 1021, 818, 749. 1H NMR (300 MHz, DMSO-d6, 300K), δ, ppm: 2.00 (3H, s, Me). 13C NMR (75.5 MHz, DMSO-d6, 300K), δ, ppm: 8.0 (Me), 113.7 (C-3 furoxan), 123.3 (br, C(NO2)2), 152.6 (C-4 furoxan). 14N NMR (21.7 MHz, DMSO-d6, 300K), δ, ppm: −23.5 (C(NO2)2). Anal. calcd for C4H3KN4O6: C, 19.84; H, 1.25; N, 23.13; found: C, 20.12; H, 1.43; N, 22.79%.

Supplementary Materials

The following are available online: copies of IR, 1H, 13C and 14N NMR spectra.

Author Contributions

Synthetic experiments, analysis of experimental results, and NMR data, E.S.Z.; DSC data and sensitivity measurements, D.B.M.; conceptualization, writing—review and editing, supervision, L.L.F. All authors have read and agreed to the published version of the manuscript.

Funding

This work was supported by the Russian Science Foundation (project № 19-73-20074).

Institutional Review Board Statement

Not applicable.

Informed Consent Statement

Not applicable.

Data Availability Statement

Not applicable.

Conflicts of Interest

The authors declare no conflict of interest.

References

  1. O’Sullivan, O.T.; Zdilla, M.J. Properties and Promise of Catenated Nitrogen Systems as High-Energy—Density Materials. Chem. Rev. 2020, 120, 5682–5744. [Google Scholar] [CrossRef] [PubMed]
  2. Li, G.; Zhang, C. Review of the Molecular and Crystal Correlations on Sensitivities of Energetic Materials. J. Hazard. Mater. 2020, 398, 122910. [Google Scholar] [CrossRef] [PubMed]
  3. Sabatini, J.J.; Johnson, E.C. A Short Review of Nitric Esters and Their Role in Energetic Materials. ACS Omega 2021, 6, 11813–11821. [Google Scholar] [CrossRef] [PubMed]
  4. Das, J.; Shem-Tov, D.; Wang, S.; Zhang, L.; Flaxer, E.; Zhang, S.; Stierstorfer, J.; Wang, K.; Yan, Q.-L.; Dobrovetsky, R.; et al. Hydride- and boron-free solid hypergolic H2O2-ignitophores. Chem. Eng. J. 2021, 426, 131806. [Google Scholar] [CrossRef]
  5. Luo, S.-N.; Gozin, M. Energetic Materials: Novel Syntheses and Diagnostics. Engineering 2020, 6, 974–975. [Google Scholar] [CrossRef]
  6. Larin, A.A.; Fershtat, L.L. High-Energy Hydroxytetrazoles: Design, Synthesis and Performance. Energ. Mater. Front. 2021, 2, 3–13. [Google Scholar] [CrossRef]
  7. Tarchoun, A.F.; Trache, D.; Klapötke, T.M.; Khimeche, K. Tetrazole-Functionalized Microcrystalline Cellulose: A Promising Biopolymer for Advanced Energetic Materials. Chem. Eng. J. 2020, 400, 125960. [Google Scholar] [CrossRef]
  8. Snyder, C.J.; Imler, G.H.; Chavez, D.E.; Parrish, D.A. Synergetic Explosive Performance through Cocrystallization. Cryst. Growth Des. 2021, 21, 1401–1405. [Google Scholar] [CrossRef]
  9. Kuchurov, I.V.; Zharkov, M.N.; Fershtat, L.L.; Makhova, N.N.; Zlotin, S.G. Prospective Symbiosis of Green Chemistry and Energetic Materials. ChemSusChem 2017, 10, 3914–3946. [Google Scholar] [CrossRef]
  10. Simpson, R.L.; Urtiew, P.A.; Ornellas, D.L.; Moody, G.L.; Scribner, K.J.; Hoffman, D.M. CL-20 performance exceeds that of HMX and its sensitivity is moderate. Propellants Explos. Pyrotech. 1997, 22, 249–255. [Google Scholar] [CrossRef]
  11. Fedyanin, I.V.; Lyssenko, K.A.; Fershtat, L.L.; Muravyev, N.V.; Makhova, N.N. Crystal Solvates of Energetic 2,4,6,8,10,12-Hexanitro-2,4,6,8,10,12-hexaazaisowurtzitane Molecule with [bmim]—Based Ionic Liquids. Cryst. Growth Des. 2019, 19, 3660–3669. [Google Scholar] [CrossRef]
  12. Zhang, M.; Eaton, P.E.; Gilardi, R. Hepta-and octanitrocubanes. Angew. Chem. Int. Ed. 2000, 39, 401–404. [Google Scholar] [CrossRef]
  13. Zhou, J.; Zhang, J.; Wang, B.; Qiu, L.; Xu, R.; Sheremetev, A.B. Recent Synthetic Efforts towards High Energy Density Materials: How to Design High-Performance Energetic Structures? FirePhysChem 2021, in press. [Google Scholar] [CrossRef]
  14. Wozniak, D.R.; Salfer, B.; Zeller, M.; Byrd, E.F.C.; Piercey, D.G. Tailoring Energetic Sensitivity and Classification through Regioisomerism. Org. Lett. 2020, 22, 9114–9117. [Google Scholar] [CrossRef] [PubMed]
  15. Yount, J.R.; Zeller, M.; Byrd, E.F.C.; Piercey, D.G. 4,4′,5,5′-Tetraamino-3,3′-azo-bis-1,2,4-triazole and the electrosynthesis of high-performing insensitive energetic materials. J. Mater. Chem. A 2020, 8, 19337–19347. [Google Scholar] [CrossRef]
  16. Wurzenberger, M.H.; Gruhne, M.S.; Lommel, M.; Braun, V.; Szimhardt, N.; Stierstorfer, J. Taming the Dragon: Complexation of Silver Fulminate with Nitrogen-Rich Azole Ligands. Inorg. Chem. 2020, 59, 17875–17879. [Google Scholar] [CrossRef] [PubMed]
  17. Voronin, A.A.; Fedyanin, I.V.; Churakov, A.M.; Pivkina, A.N.; Muravyev, N.V.; Strelenko, Y.A.; Klenov, M.S.; Lempert, D.B.; Tartakovsky, V.A. 4H-[1,2,3]Triazolo[4,5-c][1,2,5]oxadiazole 5-oxide and Its Salts: Promising Multipurpose Energetic Materials. ACS Appl. Energy Mater. 2020, 3, 9401–9407. [Google Scholar] [CrossRef]
  18. Fershtat, L.L.; Makhova, N.N. 1,2,5-Oxadiazole-Based High-Energy-Density Materials: Synthesis and Performance. ChemPlusChem 2020, 85, 13–42. [Google Scholar] [CrossRef] [Green Version]
  19. Bystrov, D.M.; Fershtat, L.L.; Makhova, N.N. Synthesis and reactivity of aminofuroxans. Chem. Heterocycl. Compd. 2019, 55, 1143–1164. [Google Scholar] [CrossRef]
  20. Larin, A.A.; Bystrov, D.M.; Fershtat, L.L.; Konnov, A.A.; Makhova, N.N.; Monogarov, K.A.; Meerov, D.B.; Melnikov, I.N.; Pivkina, A.N.; Kiselev, V.G.; et al. Nitro-, Cyano-, and Methylfuroxans, and Their Bis-Derivatives: From Green Primary to Melt-Cast Explosives. Molecules 2020, 25, 5836. [Google Scholar] [CrossRef]
  21. Larin, A.A.; Shaferov, A.V.; Epishina, M.A.; Melnikov, I.N.; Muravyev, N.V.; Ananyev, I.V.; Fershtat, L.L.; Makhova, N.N. Pushing the Energy-Sensitivity Balance with High-Performance Bifuroxans. ACS Appl. Energy Mater. 2020, 3, 7764–7771. [Google Scholar] [CrossRef]
  22. Larin, A.A.; Fershtat, L.L.; Makhova, N.N. Tandem Reactions of Thermolysis and [3+2] Cycloaddition in the Synthesis of 3-Hetaryl-4-Nitrofuroxans from 4-Nitrofuroxannitrolic Acid. Chem. Heterocycl. Compd. 2020, 56, 607–610. [Google Scholar] [CrossRef]
  23. Larin, A.A.; Muravyev, N.V.; Pivkina, A.N.; Suponitsky, K.Y.; Ananyev, I.V.; Khakimov, D.V.; Fershtat, L.L.; Makhova, N.N. Assembly of Tetrazolylfuroxan Organic Salts: Multipurpose Green Energetic Materials with High Enthalpies of Formation and Excellent Detonation Performance. Chem. Eur. J. 2019, 25, 4225–4233. [Google Scholar] [CrossRef] [PubMed]
  24. He, C.; Shreeve, J.M. Potassium 4,5-Bis (dinitromethyl) furoxanate: A Green Primary Explosive with a Positive Oxygen Balance. Angew. Chem. Int. Ed. 2016, 55, 772–775. [Google Scholar] [CrossRef]
  25. Liu, Y.; He, C.; Tang, Y.; Imler, G.H.; Parrish, D.A.; Shreeve, J.M. Asymmetric nitrogen-rich energetic materials resulting from the combination of tetrazolyl, dinitromethyl and (1,2,4-oxadiazol-5-yl)nitroamino groups with furoxan. Dalton Trans. 2018, 47, 16558–16566. [Google Scholar] [CrossRef] [PubMed]
  26. Fershtat, L.L.; Larin, A.A.; Epishina, M.A.; Kulikov, A.S.; Ovchinnikov, I.V.; Ananyev, I.V.; Makhova, N.N. Regioselective synthesis of bifuroxanyl systems with the 3-nitrobifuroxanyl core via a one-pot acylation/nitrosation/cyclization cascade. Tetrahedron Lett. 2016, 57, 4268–4272. [Google Scholar] [CrossRef]
  27. Muravyev, N.V.; Meerov, D.B.; Monogarov, K.A.; Melnikov, I.N.; Kosareva, E.K.; Fershtat, L.L.; Sheremetev, A.B.; Dalinger, I.L.; Fomenkov, I.V.; Pivkina, A.N. Sensitivity of Energetic Materials: Evidence of Thermodynamic Factor on a Large Array of CHNOFCl Compounds. Chem. Eng. J. 2021, 421 Pt 1, 129804. [Google Scholar] [CrossRef]
Figure 1. Enthalpies of formation of various azoles and representative furoxan-based HEMs.
Figure 1. Enthalpies of formation of various azoles and representative furoxan-based HEMs.
Molbank 2021 m1301 g001
Figure 2. Structures and some physicochemical properties of dinitromethylfuroxanates.
Figure 2. Structures and some physicochemical properties of dinitromethylfuroxanates.
Molbank 2021 m1301 g002
Scheme 1. Synthesis of potassium 4-dinitromethyl-3-methylfuroxanate 3.
Scheme 1. Synthesis of potassium 4-dinitromethyl-3-methylfuroxanate 3.
Molbank 2021 m1301 sch001
Figure 3. DSC curve for compound 3.
Figure 3. DSC curve for compound 3.
Molbank 2021 m1301 g003
Table 1. Comparison of physicochemical parameters of the compound 3 with known energetic materials.
Table 1. Comparison of physicochemical parameters of the compound 3 with known energetic materials.
CompoundTd 1 [°C]ρ 2 [g cm−3]ΩCO 3 [%]N+O 4 [%]IS 5 [J]FS 6 [N]
32071.91062.8690
12182.13+21.365.925
21862.14+12.265.0360
RDX204 71.80081.18 7140 7
PETN181 71.78+15.278.53 770 7
1 Decomposition temperature (DSC, 5 K min−1). 2 Density measured by gas pycnometry (298 K). 3 Oxygen balance (based on CO) for CaHbOcNd, 1600(c-a-b/2)/MW. 4 Combined nitrogen and oxygen content. 5 Impact sensitivity. 6 Friction sensitivity. 7 Ref. [27].
Publisher’s Note: MDPI stays neutral with regard to jurisdictional claims in published maps and institutional affiliations.

Share and Cite

MDPI and ACS Style

Zhilin, E.S.; Meerov, D.B.; Fershtat, L.L. Potassium (3-Methyl-2-oxido-1,2,5-oxadiazol-4-yl)dinitromethanide. Molbank 2021, 2021, M1301. https://doi.org/10.3390/M1301

AMA Style

Zhilin ES, Meerov DB, Fershtat LL. Potassium (3-Methyl-2-oxido-1,2,5-oxadiazol-4-yl)dinitromethanide. Molbank. 2021; 2021(4):M1301. https://doi.org/10.3390/M1301

Chicago/Turabian Style

Zhilin, Egor S., Dmitry B. Meerov, and Leonid L. Fershtat. 2021. "Potassium (3-Methyl-2-oxido-1,2,5-oxadiazol-4-yl)dinitromethanide" Molbank 2021, no. 4: M1301. https://doi.org/10.3390/M1301

APA Style

Zhilin, E. S., Meerov, D. B., & Fershtat, L. L. (2021). Potassium (3-Methyl-2-oxido-1,2,5-oxadiazol-4-yl)dinitromethanide. Molbank, 2021(4), M1301. https://doi.org/10.3390/M1301

Note that from the first issue of 2016, this journal uses article numbers instead of page numbers. See further details here.

Article Metrics

Back to TopTop