Abstract
In this paper, a compact, integrated, semiconductor-clad strip waveguide label-free biosensor is proposed and analyzed. The device is based on CMOS-compatible materials such as amorphous-Si and silicon oxynitride. The optical sensor performance has been modeled by a three-dimensional beam propagation method. The simulations indicate that a 20-μm-long device can exhibit a surface limit of detection of 3 ng/cm2 for avidin molecules in aqueous solution. The sensor performance compares well to those displayed by other photonic biosensors with much larger footprints. The fabrication tolerances have been also studied in order to analyze the feasibility of the practical implementation of the biosensor.
1. Introduction
Integrated optics-based biosensors offer a number of remarkable features such as their small size, high-scale integration, high sensitivity, robustness and potential for multiplexed detection that make them ideal for lab-on-chip integration [1,2,3]. These compact devices are particularly well-suited for label-free detection schemes since they are able to measure small refractive index changes produced by the recognition of unlabeled analytes [4]. The use of Si-based materials provides additional and important advantages, like the possibility of employing highly developed fabrication techniques based on the CMOS technology and integration with advanced readout electronics on the same chip. Thus, a variety of Si-based integrated photonic biosensors have been reported in the literature, including Mach–Zehnder [5,6,7,8] and Young [9,10] interferometers, bimodal waveguides [11], microcavities [12,13,14,15] and photonic crystals [16,17].
Semiconductor and metal-clad optical waveguides allow for the modulation of the properties of propagating light due to coupling between the lossless modes of the dielectric waveguide and the lossy optical modes supported by the thin cladding layer [18,19,20,21]. This coupling depends on the thickness and refractive index of the cladding layer, as well as on the refractive index of the surrounding medium, which makes this type of guided-wave structures suitable for refractometric (bio)sensing [22,23,24,25,26,27,28]. Compared to metal-clad configurations, the use of a semiconductor layer cladding allows for the use of both transverse electric (TE) (the electric field has no component in the direction of propagation) and transverse magnetic (TM) (the magnetic field has no component in the direction of propagation) polarization modes [18,19] and offers the possibility of obtaining higher refractive index sensitivities [25]. However, despite a semiconductor-clad waveguide is highly amenable to be integrated on planar substrates, scarce work has been devoted to study this prospect for, for example, lab-on-chip biosensing microsystems; the vast majority of semiconductor-clad waveguide biosensors have been demonstrated using optical fibers [25,26,27,28].
In this work, an integrated, semiconductor-clad strip waveguide biosensor based on CMOS-compatible materials is proposed and analyzed. The device optical performance, sensitivity to both bulk refractive index and adlayer (biofilm) thickness, and tolerance to dimensional and material parameter variations have been studied through three-dimensional numerical modeling. Simulations indicate that the proposed device shows good sensing characteristics to be used as a compact photonic label-free biosensor, and provide important information concerning its actual implementation.
2. Device Configuration and Modeling
Figure 1a,b show a perspective and cross-section schematics, respectively, of the proposed guided-wave optical biosensor. It consists of a thin semiconductor layer (cladding) deposited on the top surface of a lossless dielectric strip waveguide on a silicon dioxide (SiO2) substrate. The width of both the cladding layer and the strip waveguide is w = 1 μm. The semiconductor cladding layer thickness equals tc and the height of the strip waveguide is h = 1 μm. The length of the semiconductor cladding layer is denoted as zc. The cladding and waveguide materials are assumed to be amorphous silicon (a-Si) and silicon oxynitride (SiON), respectively. The refractive indices of a-Si, SiON and SiO2 at a free-space wavelength of 632.8 nm (operation wavelength) have been considered to be nSi = 4.1 − j0.21 [29], nwg = 1.52 [30] and nsub = 1.46, respectively. The upper cover region (bulk) has a refractive index of nb. Both the upper cover and substrate regions are assumed to be semi-infinite in extent. For the biosensing analysis, a uniform protein film (biofilm) of thickness tbio, width w, length zc, and refractive index nbio = 1.41 [31] has been assumed to be adhered on the semiconductor cladding layer in an aqueous medium (nb = 1.33).
Figure 1.
Perspective (a) and cross-sectional (b) schematics of a semiconductor-clad dielectric strip waveguide biosensor. The cladding, waveguide and substrate are assumed to be amorphous-Si (a-Si), silicon oxynitride (SiON) and SiO2, respectively. The biofilm consists of a layer of biomolecules such as proteins.
The bio-sensitive area of the optical device is the top surface of the semiconductor cladding layer, where biomolecule receptors (e.g., antibodies) can be immobilized or adsorbed (biofilm in Figure 1a). Light, at an operating wavelength of 632.8 nm, is injected at the input port of the waveguide and the optical power exiting the output port is used as the sensor response. Analyte recognition by the immobilized bioreceptors produces a change in the biofilm thickness and, therefore, in the local refractive index over the cladding layer, which affects the optical power coupling between the lossy semiconductor layer and the lossless dielectric waveguide. This is displayed as an optical power variation at the output of the waveguide.
A three-dimensional beam propagation method (BPM) [32] was used for the calculation of the modal-field profile and optical power propagating along the waveguide (z-axis). The computational grid and step sizes along x, y and z were Δx = 50 nm, Δy = 0.5 nm and Δz = 50 nm, respectively. Transparent boundary conditions in the computational domain were used in the simulations.
3. Results
The bare dielectric strip waveguide configuration (that is, tc = tbio = 0) exhibits single mode operation for both quasi-TE and quasi-TM polarization modes when the upper cover is assumed to be water (nb = 1.33). Figure 2 shows the corresponding optical mode-field profiles for the quasi-TE (Figure 2a) and quasi-TM (Figure 2b) fundamental modes. The calculated effective refractive indices were 1.4811 and 1.4818, respectively. Thus, the launched (input) fields used in the BPM simulations of the device for tc ≥ 0 were the fundamental modes of the bare dielectric waveguide for the corresponding polarization.
Figure 2.
Transverse electric field profiles of the quasi-transverse electric (TE) (a) and quasi-transverse magnetic (TM) (b) fundamental optical modes in a bare dielectric (SiON) waveguide (tc = tbio = 0) at λ = 632.8 nm in an aqueous medium. Ex (a) and Ey (b) are the electric field components along the x-axis and y-axis, respectively.
Figure 3 plots the calculated output power (Po), normalized to the input power, of the studied guided-wave device as a function of the semiconductor layer thickness tc for quasi-TE (black line) and quasi-TM (red line) polarizations for nb = 1.33, zc = 20 μm and tbio = 0. Quasi-TE and quasi-TM polarizations exhibit different behaviors, indicating different guide-cladding interactions. This is a consequence of the different sets of boundary conditions for each polarization [18,19]. Several transmission dips are observed for both polarizations in Figure 3. These output power transmission minima (attenuation maxima) arise from the periodic coupling effect between the lossless mode of the dielectric waveguide and the lossy mode of the thin semiconductor cladding layer [18,19].
Figure 3.
Normalized power at the output (Po) of a 20-μm-long a-Si-clad SiON strip waveguide as a function of the semiconductor thickness value for quasi-TE (black line) and quasi-TM (red line) polarizations. nb = 1.33 and tbio = 0.
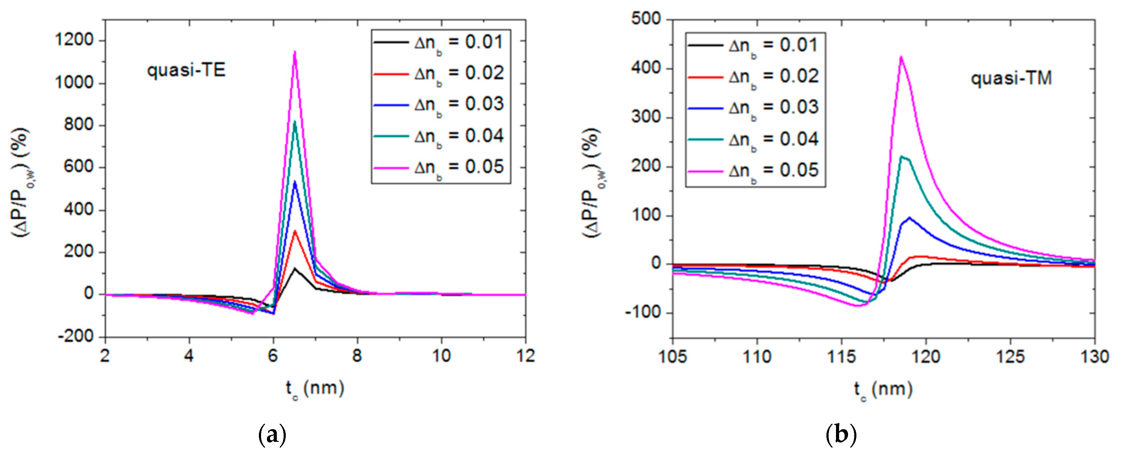
BPM simulations revealed that variations in the bulk refractive index nb leads to shifts of the transmission dips along the tc axis, implying that the output power is sensitive to the bulk refractive index for particular tc values. Figure 4 shows the relative output power variation (ΔP/Po,w), where Po,w is the normalized output power for nb = 1.33, for quasi-TE (Figure 4a) and quasi-TM (Figure 4b) polarizations, and different nb variations (Δnb) in the tc ranges where (ΔP/Po,w) is largest. It is seen that, for quasi-TE mode, the maximum relative power variation occurs for tc = 6.5 nm for all considered Δnb values, whereas, for quasi-TM polarization, the corresponding tc value depends on the bulk refractive index change, and varies between 121 nm (Δnb = 0.01) and 118.5 nm (Δnb = 0.05). It should be noted that the peaks in Figure 4a have larger amplitudes and are sharper than the corresponding curves in Figure 4b, indicating that the quasi-TE operation mode is more sensitive to both nb and tc variations than the quasi-TM polarization mode.
Figure 4.
Relative power variation in a 20-μm-long semiconductor-clad dielectric strip waveguide as a function of the semiconductor thickness (tc) for different bulk refractive index variations (Δnb) with respect to nb = 1.33, for quasi-TE (a) and quasi-TM (b) polarizations.
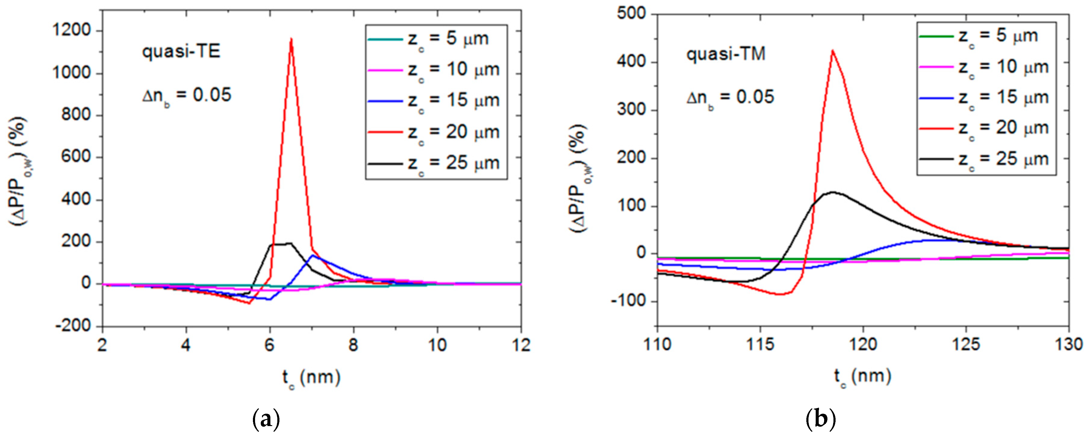
Figure 5 shows the effect of the semiconductor layer length, zc, on the relative output power variation for a particular bulk refractive index variation (Δnb = 0.05) for quasi-TE (Figure 5a) and quasi-TM (Figure 5b) polarizations. In both cases, the maximum relative power values occur for zc = 20 μm. Therefore, hereafter the length of the semiconductor layer will be assumed to be 20 μm for both quasi-TE and quasi-TM operation modes, and, according to Figure 4, the thickness of the semiconductor cladding layer will be 6.5 nm and 118 nm for quasi-TE and quasi-TM polarizations, respectively.
Figure 5.
Relative power variation in the considered semiconductor-clad dielectric strip waveguide configuration as a function of the semiconductor thickness (tc) for a bulk refractive index variation (Δnb) of 0.05 (1.38–1.33) and different semiconductor layer lengths (zc) for quasi-TE (a) and quasi-TM (b) polarizations.
3.1. Bulk Sensitivity
Intensity-based refractive index optical sensors typically use as a figure-of-merit the relative power (or intensity) bulk sensitivity defined as [33,34,35]:
Figure 6a illustrates the calculated sensor response for quasi-TE polarization (black square dots). It is seen that Po increases monotonically in a slightly non-linear fashion as nb increases. This leads to a positive and increasing value of the sensor response derivative. However, Po increases faster with nb than the derivative does, and counteracts the gain effect of the latter on SI,b. The resulting consequence is a bulk sensitivity value that depends on the nb value as shown in Figure 6b (black square dots). For the calculation of SI,b from the data of Figure 6a, the derivative of Po at the i-th point was computed as (Po(i+1) − Po(i−1))/(nb(i+1) − nb(i−1)), and the derivatives for the first (i = 1) and last (i = 6) points were calculated as (Po2 − Po1)/(nb2 − nb1) and (Po6 − Po5)/(nb6 − nb5), respectively. It is seen, in Figure 6b, that SI,b decreases monotonically as nb increases, and exhibits a maximum value of 12,372%/RIU for nb = 1.33. Quasi-TE operation is therefore particularly suitable for refractive index sensing of diluted aqueous solutions. Assuming a minimum detectable intensity difference of 1%, a bulk refractive index resolution of 8 × 10−5 RIU [ = 1%/12,372 (%/RIU)] should be attainable. For the sake of comparison, Table 1 shows the intensity bulk sensitivity, limit of detection (LOD), product LOD × Lsens, where Lsens is the length of the sensing region, and footprint of relevant Si-based planar refractive index optical sensors reported in the literature. It is seen that the device analyzed in this work exhibits better sensitivity than those based on free-space optical interrogation [34,35,36]. Optical sensors based on integrated-optics [8,11] present smaller LODs but at the expense of a long sensing region. In fact, the product LOD × Lsens, which is a convenient figure of merit for these type of sensors, of the studied device is similar or even better (smaller) than those of the other integrated guided-wave devices, while offering a footprint five orders of magnitude smaller. The latter is an important advantage for large-scale integration on a single chip.
Figure 6.
Sensor response (a) and bulk sensitivity (b) of the studied semiconductor-clad dielectric strip waveguide as a function of the bulk refractive index for quasi-TE (black square dots) and quasi-TM (red circular dots) polarizations. The semiconductor layer thickness values are tc = 6.5 nm and tc = 118 nm for quasi-TE and quasi-TM operations, respectively. Data points are connected by dashed lines for the sake of clarity.
Table 1.
Si-based planar refractive index (RI) optical sensors based on intensity interrogation. Refractive index unit (RIU); Mach–Zehnder (M–Z); limit of detection (LOD); length of the sensing region (Lsens); not applicable (N/A).
The sensor response for quasi-TM polarization is also shown in Figure 6a (red circular dots). In this case, the response is clearly non-linear and non-monotonic. This leads to a magnitude and sign nb-dependent behaviour of the bulk sensitivity, as shown in Figure 6b (red circular dots). The maximum sensitivity, 6456%/RIU, is obtained for nb = 1.37. Thus, the quasi-TM operation of the sensor could be useful for testing liquids other than aqueous solutions, such as, for example, some organic solvents.
3.2. Biofilm Sensing
Like the bulk sensitivity, the relative power (or intensity) thickness sensitivity SI,t can be defined as:
Figure 7a shows the sensor response as a function of the biofilm thickness for quasi-TE and quasi-TM polarizations. The corresponding thickness sensitivities are plotted in Figure 7b. For quasi-TE polarization (black square dots) a nearly linear response is obtained in the entire tbio range. The highest quasi-TE sensitivity, SI,t = 16.2%/nm, is achieved for tbio = 0 nm. This thickness sensitivity implies that for a minimum detectable intensity difference of 1%, the smallest detectable biofilm thickness would be 0.06 nm. For a typical protein such as avidin, modeled as a sphere of diameter 5 nm and molecular weight of 50 kD, the surface density of a monolayer of proteins would be 254 ng/cm2 [37]. Thus, assuming that the sensor signal is proportional to the surface coverage, the minimum detection limit would be 3 ng/cm2. This value is larger than high-performance plasmonic [37] and porous Si [38] biosensors based on free-space and wavelength interrogation. However, it compares well to the performance of other intensity-based integrated optics Si-based biosensors as shown in Table 2. In particular, the product LOD × Lsens exhibited by the analyzed device is less than those biosensors based on integrated Mach–Zehnder [6,8] and Young interferometers [10], and its footprint is several orders of magnitude smaller. Figure 7b also shows that the sensitivity for quasi-TE polarization decreases as the biofilm thickness increases, which is mainly a consequence of the increment of Po with tbio. Quasi-TE operation is therefore particularly well suited for detecting very thin layers of proteins deposited directly on the semiconductor cladding layer.
Figure 7.
Sensor response (a) and thickness sensitivity (b) of the studied semiconductor-clad dielectric strip waveguide as a function of the biofilm thickness for quasi-TE (black square dots) and quasi-TM (red circular dots) polarizations. The semiconductor layer thickness values are tc = 6.5 nm and tc = 118 nm for quasi-TE and quasi-TM operations, respectively. Data points are connected by dashed lines for the sake of clarity.
Table 2.
Si-based integrated optical biosensors based on intensity interrogation. Mach–Zehnder (M–Z); limit of detection (LOD); length of the sensing region (Lsens).
The response for quasi-TM polarization (red circular dots) shows no variation for tbio up to 10 nm and a slight linear variation for larger tbio values. The quasi-TM thickness sensitivity lies between 0.9%/nm and 4.8%/nm, exhibiting similar values to those of quasi-TE polarization for tbio greater than 20 nm. The low sensitivity for tbio = 0 (0.9%/nm) indicates that, for quasi-TM operation, the sensing device should contain a pre-deposited (or immobilized) biofilm of thickness equal or greater than 10 nm in order to function at a higher sensitivity operating point. Such a biofilm could be made up by one or several monolayers of biomolecule receptors such as antibodies.
3.3. Material and Dimension Tolerance
From a fabrication perspective, geometrical and material parameter deviations from the target values can always occur. An analysis of the sensitivity of the device performance to these deviations allows critical fabrication parameters to be identified, assisting the technologists in determining or developing proper processing techniques.
Since the quasi-TE polarization mode exhibits both a larger response variation and surface sensitivity than those obtained for the quasi-TM mode, only the former operation mode has been considered in this tolerance analysis. Thus, for a target device characterized by: h = w = 1 μm, zc = 20 μm, tc = 6.5 nm, Re(nSi) = 4.1, Im(nSi) = 0.21, nwg = 1.52 and λ = 632.8 nm, Figure 8 shows the sensor response (device output power as a function of the biofilm thickness) for individual variations in h (Figure 8a), w (Figure 8b), zc (Figure 8c), tc (Figure 8d), Re(nSi) (Figure 8e), Im(nSi) (Figure 8f), and nwg (Figure 8g).
Figure 8.
Normalized power at the output of a target a-Si-clad SiON strip waveguide as a function of the biofilm thickness for different dimensional and material parameter variations: (a) waveguide height variation, (b) waveguide width variation, (c) semiconductor cladding length variation, (d) semiconductor cladding thickness variation, (e) variation in the real part of the semiconductor cladding refractive index, (f) variation in the imaginary part of the semiconductor cladding refractive index, (g) SiON waveguide refractive index variation, and (h) operation wavelength variation.
These figures reveal that the most critical fabrication parameter is the thickness of the a-Si cladding layer. Acceptable tolerances are obtained for the rest of the considered parameters. From the sensor operation point of view, it is also relevant to analyze the effect of deviations in the operating wavelength on the sensor performance. Wavelength variation can be originated by, for example, thermal fluctuations affecting the light source (laser device). Figure 8h shows that a variation of ± 1 nm in the operating wavelength has a negligible effect on the sensor response.
4. Discussion
The integrated device analyzed in this work is based on a single channel. There is no need for the Y-shape splitters used in integrated Mach–Zehnder and Young interferometer biosensors, which significantly increase the footprint and are complicated to design and fabricate. Besides, the sensor response is obtained by monitoring the waveguide output optical intensity (or power). Intensity-based read-out schemes essentially require a fixed wavelength source (typically a single wavelength laser device) and a photodetector, simplifying the overall sensing system; interrogation schemes based on wavelength shift measurement require more complex and costly equipment such as a tunable laser source or a spectrum analyzer.
The choice of silicon oxynitride for the waveguide material has been motivated by the purpose of obtaining single mode operation at the operating wavelength using micron-sized cross-sectional waveguide dimensions and Si-based materials. Waveguides with micron-sized cross sections facilitate both direct optical coupling (butt coupling) and fabrication compared to submicrometer- size waveguides. SiON can be deposited by conventional chemical vapor deposition (CVD) techniques [6,10,30] and, depending on composition, its refractive index can be varied between that of silicon dioxide and that of silicon nitride, offering high potential and flexibility for optical waveguide design.
The micrometer dimensions of the dielectric waveguide (1 μm × 1 μm × 20 μm) allow for its fabrication using standard methods from the microelectronics industry such as CVD, photolithography and reactive ion etching (RIE). There is no need for complex and expensive nanolithographic processes. Figure 9 illustrates a schematic description of the main processing steps involved in the fabrication of the studied sensor on a Si wafer. The simulation results have indicated that the most challenging fabrication issue is the deposition of the a-Si layer, whose thickness should be controlled to the monolayer level (approximately, 0.5 nm). This task can be carried out by atomic layer deposition (ALD), which is a well-known and mature technology that allows for the deposition of ultrathin films of dielectric and semiconductor materials, such as Si [39,40,41], with precisely controlled thickness at the atomic scale and high uniformity over large areas. Note that, unlike the difficulties of nanopatterning lateral features, very high-quality thin films can be deposited with sub-nanometer control on a substrate. Finally, the device can be converted into a biosensor by immobilizing biomolecules on the surface of the a-Si cladding film, which could be achieved by contact printing with PDMS (polydimethylsiloxane) inked with proper biomolecules [42,43].
Figure 9.
Schematic diagram of the main processing steps involved in the fabrication of the proposed integrated optical biosensor. Chemical vapor deposition (CVD); reactive ion etching (RIE); atomic layer deposition (ALD); polydimethylsiloxane (PDMS).
To conclude, the performance of the modeled integrated optical biosensor, particularly for quasi-TE polarization, compares well to state-of-the-art Si-based planar optical biosensors based on intensity interrogation while presenting a significantly smaller footprint. The analyzed device is therefore a promising microcomponent for use in lab-on-a-chip biosensing platforms based on Si-based integrated optics.
Funding
This research was funded by the Spanish Ministry “Ministerio de Economía y Competitividad” under project HERON (Ref.: TEC 2017-84846-R).
Conflicts of Interest
The author declares no conflict of interest.
References
- Zinoviev, K.; Carrascosa, L.G.; del Río, J.S.; Sepúlveda, B.; Domínguez, C.; Lechuga, L.M. Silicon photonic biosensors for lab-on-a-chip applications. Adv. Opt. Technol. 2008, 2008, 1–6. [Google Scholar] [CrossRef]
- Washburn, A.L.; Bailey, R.C. Photonics-on-a-chip: Recent advances in integrated waveguides as enabling detection elements for real-world, lab-on-a-chip biosensing applications. Analyst 2011, 136, 227–236. [Google Scholar] [CrossRef] [PubMed]
- Gavela, A.F.; García, D.G.; Ramirez, J.C.; Lechuga, L.M. Last advances in silicon-based optical biosensors. Sensors 2016, 16, 285. [Google Scholar] [CrossRef] [PubMed]
- Luan, E.; Shoman, H.; Ratner, D.M.; Cheung, K.C.; Chrostowski, L. Silicon Photonic Biosensors Using Label-Free Detection. Sensors 2018, 18, 3519. [Google Scholar] [CrossRef] [PubMed]
- Heideman, R.G.; Kooyman, R.P.H.; Greve, J. Performance of a highly sensitive optical waveguide Mach-Zehnder interferometer immunosensor. Sens. Actuators B 1993, 10, 209–217. [Google Scholar] [CrossRef]
- Weisser, M.; Tovar, G.; Mittler-Neher, S.; Knoll, W.; Brosinger, F.; Freimuth, H.; Lacher, M.; Ehrfeld, W. Specific bio-recognition reactions observed with an integrated Mach–Zehnder interferometer. Biosens. Bioelectron. 1999, 14, 405–411. [Google Scholar] [CrossRef]
- Schipper, E.; Brugman, A.; Dominguez, C.; Lechuga, L.; Kooyman, R.; Greve, J. The realization of an integrated Mach–Zehnder waveguide immunosensor in silicon technology. Sens. Actuators B Chem. 1997, 40, 147–153. [Google Scholar] [CrossRef]
- Liu, Q.; Tu, X.; Kim, K.W.; Kee, J.S.; Shin, Y.; Han, K.; Yoon, Y.; Lo, G.; Park, M.K. Highly sensitive Mach-Zehnder interferometer biosensor based on silicon nitride slot waveguide. Sens. Actuators B Chem. 2013, 188, 681–688. [Google Scholar] [CrossRef]
- Brandenburg, A. Differential refractometry by an integrated-optical Young interferometer. Sens. Actuators B Chem. 1997, 39, 266–271. [Google Scholar] [CrossRef]
- Brandenburg, A.; Krauter, R.; Künzel, C.; Stefan, M.; Schulte, H. Interferometric sensor for detection of surface-bound bioreactions. Appl. Opt. 2000, 39, 6396–6405. [Google Scholar] [CrossRef]
- Zinoviev, K.E.; González-Guerrero, A.B.; Domínguez, C.; Lechuga, L.M. Integrated bimodal waveguide interferometric biosensor for label-free analysis. J. Lightwave Technol. 2011, 29, 1926–1930. [Google Scholar] [CrossRef]
- Krioukov, E.; Klunder, D.J.; Driessen, A.; Greve, J.; Otto, C. Sensor based on an integrated optical microcavity. Opt. Lett. 2002, 27, 512–514. [Google Scholar] [CrossRef] [PubMed]
- Yalçin, A.; Popat, K.C.; Aldridge, J.C.; Desai, T.A.; Hryniewicz, J.; Chbouki, N.; Little, B.E.; King, O.; Van, V.; Chu, S.; et al. Optical sensing of biomolecules using microring resonators. IEEE J. Sel. Top. Quantum Electron. 2006, 12, 148–155. [Google Scholar] [CrossRef]
- De Vos, K.; Bartolozzi, I.; Schacht, E.; Bienstman, P.; Baets, R. Silicon-on-Insulator microring resonator for sensitive and label-free biosensing. Opt. Express 2007, 15, 7610–7615. [Google Scholar] [CrossRef]
- Barrios, C.A.; Bañuls, M.J.; Gonzalez-Pedro, V.; Gylfason, K.B.; Sánchez, B.; Griol, A.; Maquieira, A.; Sohlström, H.; Holgado, M.; Casquel, R. Label-free optical biosensing with slot waveguides. Opt. Lett. 2008, 33, 708–710. [Google Scholar] [CrossRef] [PubMed]
- Lee, M.; Fauchet, P.M. Two-dimensional silicon photonic crystal based biosensing platform for protein detection. Opt. Express 2007, 15, 4530–4535. [Google Scholar] [CrossRef]
- Scullion, M.G.; Falco, A.D.; Krauss, T.F. Slotted photonic crystal cavities with integrated microfluidics for biosensing applications. Biosens. Bioelectron. 2011, 27, 101–105. [Google Scholar] [CrossRef]
- Carson, R.F. Periodic Coupling in Semiconductor-Clad Dielectric Optical Guided-Wave Devices. Ph.D. Thesis, The University of Virginia, Charlottesville, VA, USA, 1985. [Google Scholar]
- Carson, R.F.; Batchman, T.E. Multimode phenomena in semiconductor-clad dielectric optical waveguide structures. Appl. Opt. 1990, 19, 2769–2780. [Google Scholar]
- Kaminow, I.P.; Mammel, W.L.; Weber, H.P. Metal-Clad Optical Waveguides: Analytical and Experimental Study. Appl. Opt. 1974, 13, 396. [Google Scholar] [CrossRef]
- Rashliegh, S.C. Planar Metal-Clad Dielectric Optical Waveguides. Ph.D. Thesis, The University of Queensland, Brisbane, Australia, May 1975. [Google Scholar]
- Slavik, R.; Homola, J.; Ctyroky, J.; Brynda, E. Novel spectral fiber optic sensor based on surface plasmon resonance. Sens. Actuators B 2001, 74, 106–111. [Google Scholar] [CrossRef]
- Zourob, M.; Goddard, N.J. Metal clad leaky waveguides for chemical and biosensing applications. Biosens. Bioelectron. 2005, 20, 1718–1727. [Google Scholar] [CrossRef] [PubMed]
- Skivesen, N.; Horvath, R.; Thinggaard, S.; Larsen, N.B.; Pedersen, H.C. Deep-probe metal-clad waveguide biosensors. Biosens. Bioelectron. 2007, 22, 1282–1288. [Google Scholar] [CrossRef] [PubMed]
- Andreev, A.; Pantchev, B.; Danesh, P.; Zafirova, B.; Karakoleva, E.; Vlaikova, E.; Alipieva, E. A refractometric sensor using index-sensitive mode resonance between single-mode fiber and thin film amorphous silicon waveguide. Sens. Actuators B 2005, 106, 484–488. [Google Scholar] [CrossRef]
- Socorro, A.B.; Corres, J.M.; Del Villar, I.; Arregui, F.J.; Matias, I.R. Fiber-optic biosensor based on lossy mode resonances. Sens. Actuators B 2012, 174, 263–269. [Google Scholar] [CrossRef]
- Paliwal, N.; John, J. Lossy Mode Resonance (LMR) Based Fiber Optic Sensors: A Review. IEEE Sens. J. 2015, 15, 5367–5371. [Google Scholar] [CrossRef]
- Del Villar, I.; Arregui, F.J.; Zamarreño, C.R.; Corres, J.M.; Bariain, C.; Goicoechea, J.; Elosua, C.; Hernaez, M.; Rivero, P.J.; Socorro, A.B.; et al. Optical sensors based on lossy-mode resonances. Sens. Actuators B 2017, 240, 174–185. [Google Scholar] [CrossRef]
- Pierce, D.T.; Spicer, W.E. Electronic Structure of Amorphous Si from Photoemission and Optical Studies. Phys. Rev. B 1972, 5, 3017–3029. [Google Scholar] [CrossRef]
- Bossi, D.E.; Hammer, J.M.; Shaw, J.M. Optical properties of silicon oxynitride dielectric waveguides. Appl. Opt. 1987, 26, 609–611. [Google Scholar] [CrossRef]
- Vorös, J. The density and refractive index of adsorbing protein layers. Biophys. J. 2004, 87, 553–561. [Google Scholar] [CrossRef]
- Rsoft Photonic Device Tools. Available online: https://www.synopsys.com/photonic-solutions/rsoft-photonic-device-tools.html (accessed on 9 April 2020).
- Perera, C.; Vernon, K.; Cheng, E.; Sathian, J.; Jaatinen, E.; Davis, T. Highly compact refractive index sensor based on stripe waveguides for lab-on-a-chip sensing applications. Beilstein J. Nanotechnol. 2016, 7, 751–757. [Google Scholar] [CrossRef]
- Rodionov, S.A.; Remnev, M.A.; Klimov, V.V. Refractive index sensor based on all-dielectric gradient metasurface. Sens. Bio-Sens. Res. 2019, 22, 100263. [Google Scholar] [CrossRef]
- Takashima, Y.; Kusaba, K.; Haraguchi, M.; Naoi, Y. Highly sensitive refractive index sensor using dual resonance in subwavelength grating/waveguide with normally incident optical geometry. IEEE Sens. J. 2019, 19, 6147–6153. [Google Scholar] [CrossRef]
- Shakoor, A.; Grande, M.; Grant, J.; Cumming, D.R.S. One dimensional silicon nitride grating refractive index sensor suitable for integration with CMOS detectors. IEEE Photonics J. 2017, 9, 6800711. [Google Scholar]
- Dahlin, A.B. Plasmonic Sensors: An Integrated View of Refractometric Detection; IOS Press: Amsterdam, The Netherlands, 2012. [Google Scholar] [CrossRef]
- Lin, V.S.-Y.; Motesharei, K.; Dancil, K.-P.S.; Sailor, M.J.; Ghadiri, M.R. A porous silicon-based optical interferometric biosensor. Science 1997, 278, 840–843. [Google Scholar] [CrossRef]
- Imai, S.; Iizuka, T.; Sugiura, O.; Matsumura, M. Atomic layer epitaxy of Si using atomic H. Thin Solid Films 1993, 225, 168–172. [Google Scholar] [CrossRef]
- Hasunuma, E.; Sugahara, S.; Hoshino, S.; Imai, S.; Ikeda, K.; Matsumura, M. Gas-phase-reaction-controlled atomic-layer-epitaxy of silicon. J. Vac. Sci. Technol. A 1998, 16, 679–684. [Google Scholar] [CrossRef]
- Ikeda, K.; Yanase, J.; Sugahara, S.; Matsumura, M. Atomic-Layer-Epitaxy of Si. J. Korean Phys. Soc. 2001, 39, S447–S458. [Google Scholar]
- Bernard, A.; Renault, J.P.; Michel, B.; Bosshard, H.R.; Delamarche, E. Microcontact printing of proteins. Adv. Mater. 2000, 12, 1067–1070. [Google Scholar] [CrossRef]
- LaGraff, J.R.; Chu-LaGraff, Q. Scanning force microscopy and fluorescence microscopy of microcontact printed antibodies and antibody fragments. Langmuir 2006, 22, 4685–4693. [Google Scholar] [CrossRef]
© 2020 by the author. Licensee MDPI, Basel, Switzerland. This article is an open access article distributed under the terms and conditions of the Creative Commons Attribution (CC BY) license (http://creativecommons.org/licenses/by/4.0/).








