Radio Frequency IDentification for Meat Supply-Chain Digitalisation
Abstract
1. Introduction
2. Materials and Methods
2.1. Description of the UHF Test Bench
2.2. Description of the HF Test Bench
2.3. Description of the Tested Tags
2.4. Meat Sample Preparation and Chemical Characterisation
2.5. Statistical Analysis
3. Results
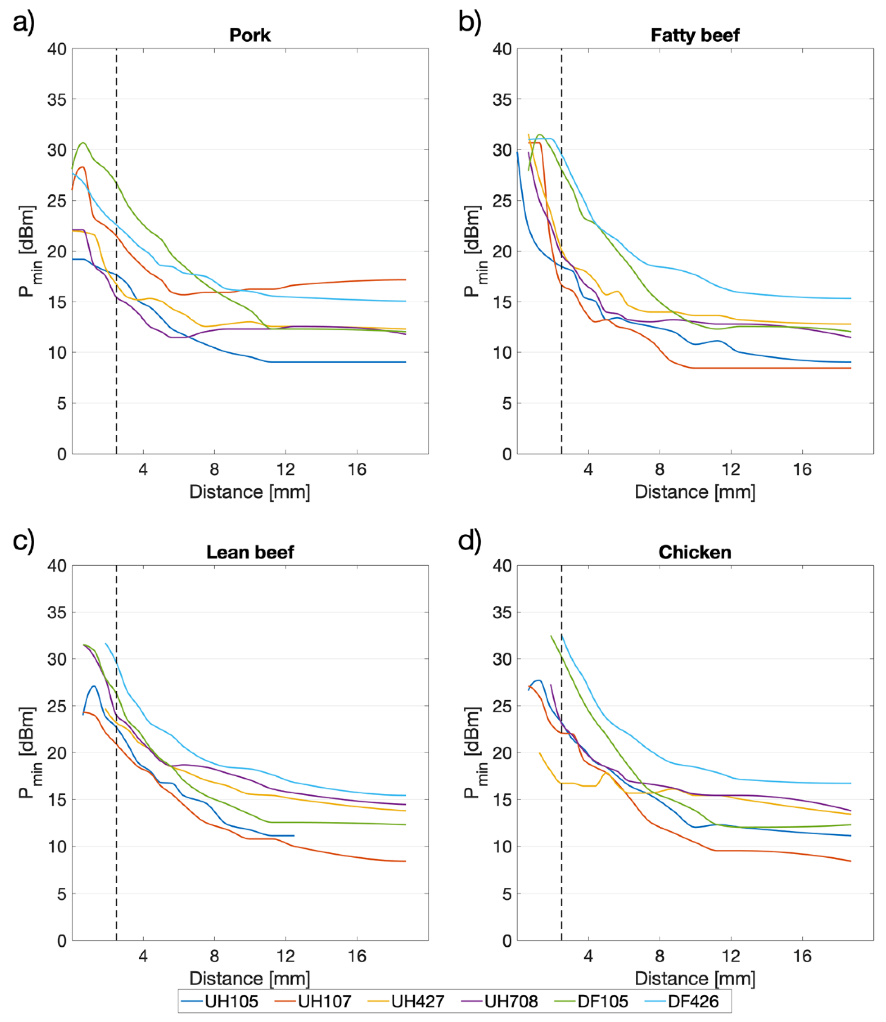
3.1. Effects of Meat Proximity on EPC UHF Tag Detection
3.2. Effects of Meat Proximity on NFC HF Tag Detection
4. Discussion
5. Conclusions
Author Contributions
Funding

Conflicts of Interest
References
- Dabbene, F.; Gay, P.; Tortia, C. Traceability issues in food supply chain management: A review. Biosyst. Eng. 2014, 120, 65–80. [Google Scholar] [CrossRef]
- Italian Bovine Registry, Veterinary System Database. Available online: https://www.vetinfo.it (accessed on 24 February 2020).
- Azzi, R.; Kilany, C.R.; Sokhn, M. The power of a blockchain-based supply chain. Comput. Ind. Eng. 2019, 135, 582–592. [Google Scholar] [CrossRef]
- Westerkamp, M.; Victor, F.; Küpper, A. Tracing manufacturing processes using blockchain-based token compositions. Digit. Commun. Netw. 2020, 6, 167–176. [Google Scholar] [CrossRef]
- Lanko, A.; Vatin, N.; Kaklauskas, A. Application of RFID combined with blockchain technology in logistics of construction materials. In Proceedings of the International Science Conference SPbWOSCE-2017 “Business Technologies for Sustainable Urban Development”, St Petersburg, Russia, 20–22 November 2017; Volume 170. [Google Scholar] [CrossRef]
- Kerry, J.P.; O’Grady, M.N.; Hogan, S.A. Past, current and potential utilization of active and intelligent packaging systems for meat and muscle-based products: A review. Meat Sci. 2006, 74, 113–130. [Google Scholar] [CrossRef] [PubMed]
- McMillin, K.W. Advancements in meat packaging. Meat Sci. 2017, 132, 153–162. [Google Scholar] [CrossRef]
- Comba, L.; Belforte, G.; Gay, P. Plant layout and pick-and-place strategies for improving performances in secondary packaging plants of food products. Packag. Technol. Sci. 2013, 26, 339–354. [Google Scholar] [CrossRef]
- Tian, F. An agri-food supply chain traceability system for China based on RFID & blockchain technology. In Proceedings of the 13th International Conference on Services Systems and Services Management, ICSSSM, Kunming, China, 24–26 June 2016. [Google Scholar] [CrossRef]
- Cena, F.; Boella, G.; Cordero, A.; Guffanti, A.; Rapp, A.; Schifanella, C.; Gay, P.; Tortia, C.; Barge, P.; Comba, L.; et al. Blockchain and Artificial Intelligence for quality food protection and advanced consumer services. In Proceedings of the 5th Italian Conference on ICT for Smart Cities and Communities, Pisa, Italy, 18–20 September 2019. [Google Scholar]
- Mainetti, L.; Mele, F.; Patrono, L.; Simone, F.; Stefanizzi, M.L.; Vergallo, R. An RFID-based tracing and tracking system for the fresh vegetables supply chain. Int. J. Antennas Propag. 2013. [Google Scholar] [CrossRef]
- Fan, B.; Qian, J.; Wu, X.; Du, X.; Li, W.; Ji, Z.; Xin, X. Improving continuous traceability of food stuff by using barcode-RFID bidirectional transformation equipment: Two field experiments. Food Control 2018, 98, 449–456. [Google Scholar] [CrossRef]
- Jedermann, R.; Stein, K.; Becker, M.; Lang, W. UHF-RFID in the Food Chain—From Identification to Smart Labels. In Proceedings of the 3rd International Workshop, Bonn, Germany, 2–3 June 2008. [Google Scholar]
- Laniel, M.; Émond, J.-P.; Altunbas, A.E. Effects of antenna position on readability of RFID tags in a refrigerated sea container of frozen bread at 433 and 915 MHz. Transp. Res. Part C Emerg. Technol. 2011, 19, 1071–1077. [Google Scholar] [CrossRef]
- Barge, P.; Biglia, A.; Comba, L.; Gay, P.; Ricauda Aimonino, D.; Tortia, C. Temperature and position effect on readability of passive UHF RFID labels for beverage packaging. Chem, Eng. Trans. 2017, 58, 169–174. [Google Scholar] [CrossRef]
- Karlsen, K.M.; Donnelly, K.A.M.; Olsen, P. Granularity and its importance for traceability in a farmed salmon supply chain. J. Food Eng. 2011, 102, 1–8. [Google Scholar] [CrossRef]
- Mc Carthy, U.; Ayalew, G.; Butler, F.; McDonnell, K.; Ward, S. The case for UHF RFID application in the meat supply chain in the Irish context: A review perspective. Agric. Eng. Int. CIGR J. 2011. [Google Scholar] [CrossRef]
- Badia-Melis, R.; Mishra, P.; Ruiz-García, L. Food traceability: New trends and recent advances. A review. Food Control 2015, 57, 393–401. [Google Scholar] [CrossRef]
- Liang, W.; Cao, J.; Fan, Y.; Zhu, K.; Dai, Q. Modeling and Implementation of Cattle/Beef Supply Chain Traceability Using a Distributed RFID-Based Framework in China. PLoS ONE 2015, 10, e0139558. [Google Scholar] [CrossRef]
- Trebar, M.; Lotrič, M.; Fonda, I.; Pleteršek, A.; Kovačič, K. RFID data loggers in fish supply chain traceability. Int. J. Antennas Propag. 2013, 1–9. [Google Scholar] [CrossRef]
- Regulation (EU) No 1169/2011 of the European Parliament and of the Council of 25 October 2011 on the provision of food information to consumers. Off. J. Eur. Union 2011, 54. [CrossRef]
- International Organization for Standardization. ISO Standard 11785:1996: Radio Frequency Identification of Animals—Technical Concept; International Organization for Standardization: Geneva, Switzerland, 1996. [Google Scholar]
- International Organization for Standardization. ISO Standard 11784:1996 Radio Frequency Identification of Animals—Code Structure; International Organization for Standardization: Geneva, Switzerland, 1996. [Google Scholar]
- Comba, L.; Belforte, G.; Dabbene, F.; Gay, P. Methods for traceability in food production processes involving bulk products. Biosyst. Eng. 2013, 116, 51–63. [Google Scholar] [CrossRef]
- Barge, P.; Gay, P.; Merlino, V.; Tortia, C. RFID technologies for livestock management and meat supply chain traceability. Can. J. Anim. Sci. 2013, 93, 23–33. [Google Scholar] [CrossRef]
- Pigini, D.; Conti, M. NFC-Based Traceability in the Food Chain. Sustainability 2017, 9, 1910. [Google Scholar] [CrossRef]
- Bolić, M.; Simplot-Ryl, D.; Stojmenović, I. RFID Systems: Research Trends and Challenges; John Wiley & Sons Ltd., The Atrium, Southern Gate: Chichester, UK, 2010. [Google Scholar]
- Dabbene, F.; Gay, P.; Tortia, C. Chapter 8: Safety and Traceability. In Supply Chain Management for Sustainable Food Networks; Iakovou, E., Bochtis, D., Vlachos, D., Aidonis, D., Eds.; John Wiley & Sons: Chichester, UK, 2016; pp. 159–182. [Google Scholar] [CrossRef]
- Barge, P.; Gay, P.; Merlino, V.; Tortia, C. Effect of packaging on Radio Frequency IDentification of food products. In Proceedings of the XXXV CIOSTA & CIGR Conference: From effective to intelligent agriculture and forestry, Billund, Denmark, 3–5 July 2013. [Google Scholar]
- Mc Carthy, U.; Ayalew, G.; Butler, F.; Donnell, K.M.; Lyng, J.; Ward, S. Permittivity of Meat Fish and their Components at UHF RFID Frequencies and Industry Relevant Temperatures. Agric. Eng. Int. CIGR J. 2009, 11, 1280. [Google Scholar]
- Barge, P.; Biglia, A.; Comba, L.; Gay, P.; Ricauda Aimonino, D.; Tortia, C. The influence of food composition and tag orientation on UHF RF IDentification. J. Food Eng. 2019, 246, 242–252. [Google Scholar] [CrossRef]
- Rizzi, A.; Volpi, A.; Rinaldi, R.; Bandinelli, R.; Gonzalez, A.; Hardgrave, B. Assessing the performances of RFID UHF and HF dual-frequency apparel tags. Int. J. RF Technol. 2019, 10, 39–63. [Google Scholar] [CrossRef]
- Volpi, A.; Rizzi, A.; Rinaldi, R. Dual Frequency Tag Performances in the Fashion Industry. In Business Models and ICT Technologies for the Fashion Supply Chain; Rinaldi, R., Bandinelli, R., Eds.; Springer Nature Switzerland: Cham. Switzerland, 2019. [Google Scholar] [CrossRef]
- Mayer, L.W.; Scholtz, A.L. Dual-band HF / UHF Antenna for RFID. In Proceedings of the 68th IEEE Vehicular Technology Conference, Calgary, AB, Canada, 21–24 September 2008. [Google Scholar] [CrossRef]
- AOAC International. AOAC Official Methods of Analysis, 17th ed.; Official Method: Gaithersburg, MD, USA, 2000. [Google Scholar]
- Mc Carthy, U.; Ayalew, G.; Butler, F.; McDonnell, K.; Ward, S. The effect of increased interrogation zone, reader antenna polarization and application factors in the performance of UHF RFID tag detection on modified atmosphere packaged meat. Packag. Technol. Sci. 2010, 23, 339–350. [Google Scholar] [CrossRef]
- Barge, P.; Gay, P.; Merlino, V.; Tortia, C. Item-level Radio-Frequency IDentification for the traceability of food products: Application on a dairy product. J. Food Eng. 2014, 125, 119–130. [Google Scholar] [CrossRef]
- Dabbene, F.; Gay, P.; Tortia, C. Radio-Frequency Identification Usage in Food Traceability. In Advances in Food Traceability Techniques and Technologies: Improving Quality throughout the Food Chain; Woodhead Publishing: Cambridge, UK, 2016; pp. 67–89. [Google Scholar] [CrossRef]
- Barge, P.; Gay, P.; Merlino, V.; Tortia, C. UHF-RFID solutions for logistics units management in the food supply chain. J. Agric. Eng. 2013, 44. [Google Scholar] [CrossRef]
- Hammer, N.; Adrion, F.; Staiger, M.; Holland, E.; Gallmann, E.; Jungbluth, T. Comparison of different ultra-high-frequency transponder ear tags for simultaneous detection of cattle and pigs. Livest. Sci. 2016, 187, 125–137. [Google Scholar] [CrossRef]
- Barge, P.; Gay, P.; Piccarolo, P.; Ricauda Aimonino, D.; Tortia, C.; Caria, M.; Chessa, G.; Murgia, L.; Pazzona, A.; Todde, G. RFID identification and traceability of Agnello Sardo lamb. In Proceedings of the XXXVI CIOSTA CIGR V Conference 2015 “Environmentally Friendly Agriculture and Forestry for Future Generations”, Saint Petersburg, Russia, 26–28 June 2015; pp. 48–56, ISBN 978-5-85983-256-9. [Google Scholar]
- Umstätter, C.; Bhatti, S.A.; Michie, C.; Thomson, S. Overview of Ultra-High Frequency technology in livestock farming and stakeholder opinions. In Proceedings of the International Conference of Agricultural Engineering, Zurich, Switzerland, 6–10 July 2014; pp. 6–10. [Google Scholar]
- Wisanmongkol, J.; Pongpaibool, P. A passive UHF RFID tag for poultry traceability. In Proceedings of the International Symposium on Antennas and Propagation (ISAP), Bangkok, Thailand, 20–23 October 2009; pp. 879–882. [Google Scholar]





| No. | Tag Inlay | Integrated Circuit | Chip Nominal Reading Sensitivity (dBm) | Antenna Size Width × Length (mm) | Inlay Shape 1 |
|---|---|---|---|---|---|
| 1.A | Lab ID UH 105 | Impinj Monza 5 | −20 | 91 × 18 | ![]() |
| 1.B | Lab ID UH 107 | NXP UCODE 7 | −23 | 91 × 18 | ![]() |
| 1.C | Lab ID UH 427 | NXP UCODE 7 | −23 | 50 × 30 | ![]() |
| 1.D | Lab ID UH 708 | NXP UCODE 7 | −23 | 70 × 12 | ![]() |
| No. | Tag Model | Integrated Circuit | Antenna Size Width × Length (mm) | Inlay Shape 1 |
|---|---|---|---|---|
| 2.A | DF 426 | EM Marin 4423 | HF: 30 × 15 UHF: 50 × 30 | ![]() |
| 2.B | SMARTRAC WEB DF | EM Marin 4423 | HF: 19 × 11 UHF: 50 × 30 | ![]() |
| 2.C | DF 105 | EM Marin 4423 | HF: 30 × 15 UHF: 84 × 27.7 | ![]() |
| No. | Tag Model | Integrated Circuit | Antenna Size Width × Length (mm) | Inlay Shape 1 |
|---|---|---|---|---|
| 3.A | Tamper Loop Circus™ | NXP NTAG 213 | ∅ 19 total length 54 19 | ![]() |
| 3.B | NT4H2421 Tx Tamper | NXP NTAG 213 | ∅ 20 total length 35 | ![]() |
| 3.C | Anti-metal NTAG | NXP NTAG 216 | ∅ 25 | ![]() |
| 3.D | Smartrac bullseye™ | NXP NTAG 213 | ∅ 35 | ![]() |
| 3.E | Mini tag | NXP NTAG 213 | ∅ 25 | ![]() |
| 3.F | NTAG | NXP NTAG 213 | ∅ 20 | ![]() |
| 3.G | NTAG-X | NXP NTAG 213 | 20 × 35 | ![]() |
| 3.H | Midas tag NFC | NXP NTAG 213 | 10 × 17 | ![]() |
| Meat Type | Water % Content | Ashes % of Dry Matter | Crude Protein % of Dry Matter | Total Fat % of Dry Matter |
|---|---|---|---|---|
| Fatty beef | 70.87 | 3.38 | 76.41 | 14.26 |
| Pork | 73.16 | 3.81 | 75.57 | 13.31 |
| Chicken | 73.90 | 4.75 | 85.44 | 7.06 |
| Lean beef | 73.52 | 4.32 | 85.98 | 4.30 |
| No. | Tag Model | Type 1 | Pork | Fatty Beef | Lean Beef | Chicken | Mean |
|---|---|---|---|---|---|---|---|
| 1.A | UH105 | SF | 0.00 | 0.00 | 1.25 | 0.625 | 0.47 |
| 1.B | UH107 | SF | 0.00 | 1.25 | 0.00 | 0.625 | 0.47 |
| 2.C | DF105 | DF | 0.00 | 0.625 | 0.625 | 1.875 | 0.78 |
| 1.C | UH427 | SF | 1.25 | 0.625 | 1.875 | 1.25 | 1.25 |
| 1.D | UH708 | SF | 0.00 | 1.25 | 1.875 | 1.875 | 1.25 |
| 2.A | DF426 | DF | 0.00 | 1.875 | 1.875 | 2.50 | 1.56 |
| Mean | 0.21 | 0.94 | 1.25 | 1.46 |
| No. | Tag Model | Type | Pmin (dBm) 1 |
|---|---|---|---|
| 1.B | UH 107 | SF | 14.6 a |
| 1.B | UH 105 | SF | 14.2 a |
| 1.C | UH 427 | SF | 16.0 b |
| 1.D | UH 708 | SF | 16.0 b |
| 2.C | DF 105 | DF | 18.4 c |
| 2.A | DF 426 | DF | 20.7 d |
| Meat | Pmin (dBm) 1 |
|---|---|
| Pork | 15.5 a |
| Fatty beef | 15.7 a |
| Lean beef | 17.5 b |
| Chicken | 17.9 b |
| Distance (mm) | Pmin (dBm) |
|---|---|
| 2.50 | 22.67 |
| 3.12 | 21.38 |
| 3.75 | 19.87 |
| 4.37 | 18.83 |
| 5.00 | 17.84 |
| 5.62 | 16.95 |
| 6.25 | 16.29 |
| 7.50 | 15.17 |
| 8.75 | 14.39 |
| 10.00 | 13.78 |
| 11.25 | 13.30 |
| 12.50 | 13.08 |
| 18.75 | 12.48 |
| Rmax (mm) | ||||
|---|---|---|---|---|
| Smartphone Model | Mean 1 | STD dev | Min | Max |
| Samsung Galaxy S8 | 29.16 a | 8.41 | 15.00 | 45.00 |
| Xiaomi Mi 8 | 36.00 b | 7.79 | 18.75 | 51.25 |
| Total | 32.58 | 8.77 | 15.00 | 51.25 |
| No. | Tag | Type | Rmax (mm) 1 | STD dev (mm) |
|---|---|---|---|---|
| 3.D | Smartrac bullseye™ | SF | 44.61 a | 4.13 |
| 3.G | NTAG-X | SF | 42.37 a | 5.16 |
| 3.E | Mini tag | SF | 36.87 b | 4.87 |
| 2.A | DF 426 | DF | 35.47 bc | 5.52 |
| 2.C | DF 105 | DF | 33.24 bc | 8.27 |
| 3.B | NT4H2421TxTamper | SF | 32.24 bcd | 6.53 |
| 3.A | Tamper Loop Circus™ | SF | 30.87 cde | 6.68 |
| 3.F | NTAG | SF | 28.24 def | 7.47 |
| 2.B | Smartrac web DF | DF | 26.24 ef | 5.51 |
| 3.C | Anti-metal NTAG | SF | 24.89 f | 5.24 |
| 3.H | Midas tag NFC | SF | 23.37 f | 6.17 |
© 2020 by the authors. Licensee MDPI, Basel, Switzerland. This article is an open access article distributed under the terms and conditions of the Creative Commons Attribution (CC BY) license (http://creativecommons.org/licenses/by/4.0/).
Share and Cite
Barge, P.; Biglia, A.; Comba, L.; Ricauda Aimonino, D.; Tortia, C.; Gay, P. Radio Frequency IDentification for Meat Supply-Chain Digitalisation. Sensors 2020, 20, 4957. https://doi.org/10.3390/s20174957
Barge P, Biglia A, Comba L, Ricauda Aimonino D, Tortia C, Gay P. Radio Frequency IDentification for Meat Supply-Chain Digitalisation. Sensors. 2020; 20(17):4957. https://doi.org/10.3390/s20174957
Chicago/Turabian StyleBarge, Paolo, Alessandro Biglia, Lorenzo Comba, Davide Ricauda Aimonino, Cristina Tortia, and Paolo Gay. 2020. "Radio Frequency IDentification for Meat Supply-Chain Digitalisation" Sensors 20, no. 17: 4957. https://doi.org/10.3390/s20174957
APA StyleBarge, P., Biglia, A., Comba, L., Ricauda Aimonino, D., Tortia, C., & Gay, P. (2020). Radio Frequency IDentification for Meat Supply-Chain Digitalisation. Sensors, 20(17), 4957. https://doi.org/10.3390/s20174957
















