Vessel Scheduling Optimization Model Based on Variable Speed in a Seaport with One-Way Navigation Channel
Abstract
:1. Introduction
2. Problem Settings
3. Vessel Scheduling Optimization Model Formulation
3.1. Assumptions and Limitations
- There are sufficient berths and anchorage resources, and only the issue of ship entry and exit sequence is considered.
- All the relevant time parameters of ships entering and leaving the port are known in advance, and the trajectory in the channel is also known [16].
- The channel has only one entry position and one exit position where no overtaking is allowed.
3.2. Vessel Scheduling Optimization Model
3.2.1. Scheduling Optimization Model for VSP
3.2.2. Improved Scheduling Optimization Model Based on Variable Speed
4. Solution Approach
- First-in first-out (FIFO): a priority-based scheduling method and one of the manual scheduling methods. Specifically, the order of entry and exit is arranged according to the time of arrival at the port; that is, the ship that arrives first has the priority to use the channel.
- Large draft vessel first-served (LDVFS): a priority-based scheduling method and one of the manual scheduling methods. The sequence for in-wharf vessels and out-wharf vessels is arranged based on the draft. Generally, ships with larger drafts have poor maneuverability, and ports should pay more attention to them. Therefore, some ships with larger drafts are given priority to dispatch.
- Random served (RS): the sequence of both in-wharf vessels and out-wharf vessels is generated randomly. The rationale behind this is that the operator can dynamically determine the sequence of ships entering and leaving the channel without adopting a specific strategy.
5. Numerical Simulation and Analysis
5.1. Simulation Setting
5.2. Data Preprocessing
5.3. Comparison between Different Methodologies
6. Conclusions and Future Work
- The designed heuristic solution method has higher optimization accuracy than general priority scheduling methods such as FIFO, LDVFS, RS, etc. Besides, it can obtain the near-optimal solution for both small-scale instances and large-scale instances.
- Based on the proposed VSP model, the concept of MSTI was proposed for better understanding which reduced the number of constraints by integrating the time constraints of the proposed VSP model.
- The model built based on variable speed has obvious efficiency in optimization solutions. Compared with the fixed-speed scheduling model, it also has obvious practicality in spatio-temporal trajectory and can ensure the safety of the whole voyage.
Author Contributions
Funding
Institutional Review Board Statement
Informed Consent Statement
Data Availability Statement
Acknowledgments
Conflicts of Interest
Appendix A
| Pseudocode of Calculating the Value of MSTI |
|---|
Input the basic data of vessels which includes the identified number MMSI, movement type IO, length LEN, sailing time ST, and the navigable time windows NTW; the threshold of safety distance ; the index of the case ; the optimal scheduling sequence ;; the track of vessels .
|
|
| No. | 1 | 2 | 3 | 4 | 5 | 6 | 7 | 8 | 9 | 10 | 11 | 12 | 13 | 14 | 15 | 16 | 17 | 18 |
|---|---|---|---|---|---|---|---|---|---|---|---|---|---|---|---|---|---|---|
| 1 | 0.000 | 0.100 | 0.183 | 0.167 | 0.183 | 0.821 | 0.117 | 0.100 | 0.821 | 0.821 | 0.821 | 0.821 | 0.821 | 0.821 | 0.100 | 0.150 | 0.821 | 0.821 |
| 2 | 0.100 | 0.000 | 0.183 | 0.167 | 0.167 | 0.827 | 0.100 | 0.100 | 0.827 | 0.827 | 0.827 | 0.827 | 0.827 | 0.827 | 0.100 | 0.150 | 0.827 | 0.827 |
| 3 | 0.100 | 0.100 | 0.000 | 0.100 | 0.100 | 0.700 | 0.100 | 0.100 | 0.700 | 0.700 | 0.700 | 0.700 | 0.700 | 0.700 | 0.100 | 0.100 | 0.700 | 0.700 |
| 4 | 0.100 | 0.100 | 0.117 | 0.000 | 0.100 | 0.765 | 0.100 | 0.100 | 0.765 | 0.765 | 0.765 | 0.765 | 0.765 | 0.765 | 0.100 | 0.100 | 0.765 | 0.765 |
| 5 | 0.100 | 0.100 | 0.100 | 0.100 | 0.000 | 0.765 | 0.100 | 0.100 | 0.765 | 0.765 | 0.765 | 0.765 | 0.765 | 0.765 | 0.100 | 0.100 | 0.765 | 0.765 |
| 6 | 0.814 | 0.814 | 0.814 | 0.814 | 0.814 | 0.000 | 0.814 | 0.814 | 0.100 | 0.100 | 0.233 | 0.117 | 0.117 | 0.100 | 0.814 | 0.814 | 0.100 | 0.200 |
| 7 | 0.100 | 0.100 | 0.167 | 0.167 | 0.167 | 0.836 | 0.000 | 0.100 | 0.836 | 0.836 | 0.836 | 0.836 | 0.836 | 0.836 | 0.100 | 0.150 | 0.836 | 0.836 |
| 8 | 0.133 | 0.150 | 0.233 | 0.217 | 0.217 | 0.880 | 0.167 | 0.000 | 0.880 | 0.880 | 0.880 | 0.880 | 0.880 | 0.880 | 0.150 | 0.200 | 0.880 | 0.880 |
| 9 | 0.858 | 0.858 | 0.858 | 0.858 | 0.858 | 0.133 | 0.858 | 0.858 | 0.000 | 0.100 | 0.250 | 0.117 | 0.133 | 0.100 | 0.858 | 0.858 | 0.100 | 0.217 |
| 10 | 0.883 | 0.883 | 0.883 | 0.883 | 0.883 | 0.200 | 0.883 | 0.883 | 0.167 | 0.000 | 0.300 | 0.183 | 0.200 | 0.117 | 0.883 | 0.883 | 0.100 | 0.267 |
| 11 | 0.633 | 0.633 | 0.633 | 0.633 | 0.633 | 0.100 | 0.633 | 0.633 | 0.100 | 0.100 | 0.000 | 0.100 | 0.100 | 0.100 | 0.633 | 0.633 | 0.100 | 0.100 |
| 12 | 0.850 | 0.850 | 0.850 | 0.850 | 0.850 | 0.167 | 0.850 | 0.850 | 0.117 | 0.100 | 0.267 | 0.000 | 0.167 | 0.100 | 0.850 | 0.850 | 0.100 | 0.233 |
| 13 | 0.770 | 0.770 | 0.770 | 0.770 | 0.770 | 0.100 | 0.770 | 0.770 | 0.100 | 0.100 | 0.200 | 0.117 | 0.000 | 0.100 | 0.770 | 0.770 | 0.100 | 0.150 |
| 14 | 0.878 | 0.878 | 0.878 | 0.878 | 0.878 | 0.183 | 0.878 | 0.878 | 0.150 | 0.117 | 0.300 | 0.167 | 0.183 | 0.000 | 0.878 | 0.878 | 0.100 | 0.250 |
| 15 | 0.133 | 0.150 | 0.233 | 0.217 | 0.233 | 0.914 | 0.167 | 0.100 | 0.914 | 0.914 | 0.914 | 0.914 | 0.914 | 0.914 | 0.000 | 0.200 | 0.914 | 0.914 |
| 16 | 0.100 | 0.100 | 0.117 | 0.100 | 0.117 | 0.759 | 0.100 | 0.100 | 0.759 | 0.759 | 0.759 | 0.759 | 0.759 | 0.759 | 0.100 | 0.000 | 0.759 | 0.759 |
| 17 | 0.967 | 0.967 | 0.967 | 0.967 | 0.967 | 0.283 | 0.967 | 0.967 | 0.250 | 0.217 | 0.400 | 0.267 | 0.283 | 0.200 | 0.967 | 0.967 | 0.000 | 0.350 |
| 18 | 0.642 | 0.642 | 0.642 | 0.642 | 0.642 | 0.100 | 0.642 | 0.642 | 0.100 | 0.100 | 0.100 | 0.100 | 0.100 | 0.100 | 0.642 | 0.642 | 0.100 | 0.000 |
References
- Elisabeth, G.; Lübbecke, M.E.; Möhring, R.H. Ship traffic optimization for the Kiel canal. In Proceedings of the TRISTAN VII, Tromsø, Norway, 20–25 June 2010; Volume 104, pp. 1–4. [Google Scholar]
- Elisabeth, G.; Lübbecke, M.E.; Möhring, R.H. Challenges in scheduling when planning the ship traffic on the kiel canal. In Proceedings of the Eraerts, Nymburk, Czech Republic, 19–24 June 2011; Volume 23, pp. 23–25. [Google Scholar]
- Lübbecke, E.; Lübbecke, M.E.; Rolf, H.M. Ship traffic optimization for the Kiel Canal. Oper. Res. 2019, 67, 791–812. [Google Scholar] [CrossRef]
- Meisel, F.; Fagerholt, K. Scheduling two-way ship traffic for the Kiel Canal: Model, extensions and a matheuristic. Comput. Oper. Res. 2019, 106, 119–132. [Google Scholar] [CrossRef]
- Skjæveland, G.; Hilstad, K.V. Ship Traffic Scheduling and Disruption Management for the Kiel Canal-A Simulation-Optimization Approach. Master’s Thesis, Norwegian University of Science and Technology, Trondheim, Norwegian, 2018. [Google Scholar]
- Andersen, T.; Hove, J.H.; Fagerholt, K.; Meisel, F. Scheduling ships with uncertain arrival times through the Kiel Canal. Mar. Transport. Res. 2021, 2, 1–17. [Google Scholar]
- Muñuzuri, J.; Barbadilla, E.; Escudero-Santana, A.; Onieva, L. Planning navigation in inland waterways with tidal depth restrictions. J. Navig. 2018, 71, 547–564. [Google Scholar] [CrossRef]
- Kelareva, E.; Brand, S.; Kilby, P.; Thiébaux, S.; Wallace, M. CP and MIP methods for ship scheduling with time-varying draft. In Proceedings of the International Conference on Automated Planning and Scheduling, Sao Paulo, Brazil, 25–29 June 2012; Volume 22, pp. 110–118. [Google Scholar]
- Zhang, B.; Zheng, Z. Model and Algorithm for Vessel Scheduling through a One-Way Tidal Channel. J. Waterw Port. Coast. Ocean. Eng. 2020, 146, 1–8. [Google Scholar] [CrossRef]
- Zhang, B.; Zheng, Z. Model and algorithm for vessel scheduling optimisation through the compound channel with the consideration of tide height. Int. J. Shipp. Transport. Logist. 2021, 13, 445–461. [Google Scholar] [CrossRef]
- Chen, Z.L.; Lei, L.; Zhong, H. Container vessel scheduling with bi-directional flows. Oper. Res. Lett. 2007, 35, 186–194. [Google Scholar] [CrossRef]
- Jia, S.; Li, C.L.; Xu, Z. Managing navigation channel traffic and anchorage area utilization of a container port. Transport. Sci. 2019, 53, 728–745. [Google Scholar] [CrossRef]
- Jia, S.; Wu, L.; Meng, Q. Joint scheduling of vessel traffic and pilots in seaport waters. Transport. Sci. 2020, 54, 1495–1515. [Google Scholar] [CrossRef]
- Guo, Z.; Cao, Z.; Wang, W.; Jiang, Y.; Xu, X.; Feng, P. An integrated model for vessel traffic and deballasting scheduling in coal export terminals. Transport. Res. E-Log. 2021, 152, 1–23. [Google Scholar] [CrossRef]
- Zhang, X.; Lin, J.; Guo, Z.; Liu, T. Vessel transportation scheduling optimization based on channel–berth coordination. Ocean. Eng. 2016, 112, 145–152. [Google Scholar] [CrossRef]
- Liu, B.; Li, Z.C.; Sheng, D.; Wang, Y. Integrated planning of berth allocation and vessel sequencing in a seaport with one-way navigation channel. Transport. Res. B-Meth. 2021, 143, 23–47. [Google Scholar] [CrossRef]
- Zhang, X.; Chen, X.; Ji, M.; Yao, S. Vessel scheduling model of a one-way port channel. J. Waterw. Port. Coast. Ocean. Eng. 2017, 143, 1–11. [Google Scholar] [CrossRef]
- Zhang, X.; Li, R.; Chen, X.; Li, J.; Wang, C. Multi-object-based Vessel Traffic Scheduling Optimisation in a Compound Waterway of a Large Harbour. J. Navig. 2019, 72, 609–627. [Google Scholar] [CrossRef]
- Lalla-Ruiz, E.; Shi, X.; Voß, S. The waterway ship scheduling problem. Transport. Res. D-Tr. E. 2018, 60, 191–209. [Google Scholar] [CrossRef]
- Hill, A.; Lalla-Ruiz, E.; Voß, S.; Goycoolea, M. A multi-mode resource-constrained project scheduling reformulation for the waterway ship scheduling problem. J. Sched. 2019, 22, 173–182. [Google Scholar] [CrossRef]
- Li, J.; Zhang, X.; Yang, B.; Wang, N. Vessel traffic scheduling optimization for restricted channel in ports. Comput. Ind. Eng. 2021, 152, 1–13. [Google Scholar] [CrossRef]
- Dulebenets, M.A. A comprehensive multi-objective optimization model for the vessel scheduling problem in liner shipping. Int. J. Prod. Econ. 2018, 196, 293–318. [Google Scholar] [CrossRef]
- Dulebenets, M.A.; Pasha, J.; Abioye, O.F.; Kavoosi, M. Vessel scheduling in liner shipping: A critical literature review and future research needs. Flex. Serv. Manuf. J. 2021, 33, 43–106. [Google Scholar] [CrossRef]
- Kang, L.; Meng, Q.; Tan, K.C. Tugboat scheduling under ship arrival and tugging process time uncertainty. Transport. Res. E-Log. 2020, 144, 1–15. [Google Scholar] [CrossRef]
- Ulusçu, Ö.S.; Altiok, T. Waiting time approximation in single-class queueing systems with multiple types of interruptions: Modeling congestion at waterways entrances. Ann. Oper. Res. 2009, 172, 291–313. [Google Scholar] [CrossRef]
- Ulusçu, Ö.S.; Altiok, T. Waiting time approximation in multi-class queueing systems with multiple types of class-dependent interruptions. Ann. Oper. Res. 2013, 202, 185–195. [Google Scholar] [CrossRef] [Green Version]
- Wang, S.; Zhu, M.; Kaku, I.; Chen, G.; Wang, M. An improved discrete pso for tugboat assignment problem under a hybrid scheduling rule in container terminal. Math. Probl. Eng. 2014, 2014, 1–10. [Google Scholar] [CrossRef]
- Wei, X.; Jia, S.; Meng, Q.; Tan, K.C. Tugboat scheduling for container ports. Transport. Res. E-Log. 2020, 142, 102071. [Google Scholar] [CrossRef]
- Wu, L.; Jia, S.; Wang, S. Pilotage planning in seaports. Eur. J. Oper. Res. 2020, 287, 90–105. [Google Scholar] [CrossRef]
- Xu, Q.; Mao, J.; Jin, Z. Simulated annealing-based ant colony algorithm for tugboat scheduling optimization. Math. Probl. Eng. 2012, 2012, 1–22. [Google Scholar] [CrossRef] [Green Version]
- Abou Kasm, O.; Diabat, A.; Bierlaire, M. Vessel scheduling with pilotage and tugging considerations. Transport. Res. E-Log. 2021, 148, 1–24. [Google Scholar] [CrossRef]
- Li, S.; Jia, S. The seaport traffic scheduling problem: Formulations and a column-row generation algorithm. Transport. Res. B-Meth. 2019, 128, 158–184. [Google Scholar] [CrossRef]
- Bertsimas, D.; Gupta, V.; Kallus, N. Data-driven robust optimization. Math. Program. 2018, 167, 235–292. [Google Scholar] [CrossRef] [Green Version]
- International Maritime Organization, Resolution, A.857: Guidelines for vessel traffic services, 1997, Volume 15. Available online: http://rise.odessa.ua/texts/A857_20e.php3 (accessed on 13 August 2021).
- Panwalkar, S.S.; Iskander, W. A survey of scheduling rules. Oper. Res. 1977, 25, 45–61. [Google Scholar] [CrossRef]















| No. | Citation | Waterway Structure | Safety Limit | Sailing Speed | Methodology | |||||
|---|---|---|---|---|---|---|---|---|---|---|
| One | Two | Multiple | Compound | TTW | Separation Dist/Time | Fixed | Variable | |||
| 1 | Liu B. et al. (2021) | ✓ | ✓ | ✓ | ✓ | MIP + ALNS | ||||
| 2 | Abou Kasm et al. (2021) | ✓ | ✓ | ✓ | MIP + CS | |||||
| 3 | Lübbecke, E. (2019) | ✓ | ✓ | ✓ | LS + RH | |||||
| 4 | Muñuzuri, J. (2018) | ✓ | ✓ | ✓ | ✓ | ES | ||||
| 5 | Günther, E. (2010, 2011) | ✓ | ✓ | ✓ | MIP | |||||
| 6 | Meisel, F. (2019) | ✓ | ✓ | ✓ | MIP | |||||
| 7 | Andersen, T. (2021) | ✓ | ✓ | ✓ | MIP + ICAM | |||||
| 8 | Guo, Z. (2021) | ✓ | ✓ | ✓ | ✓ | MIP | ||||
| 9 | Lalla-Ruiz et al. (2018) | ✓ | ✓ | ✓ | ✓ | MIP; MIP + SA | ||||
| 10 | Hill et al. (2019) | ✓ | ✓ | ✓ | ✓ | MIP + SA | ||||
| 11 | Zhang B. et al. (2019, 2020, 2021) | ✓ | ✓ | ✓ | ✓ | ✓ | ✓ | GA | ||
| 12 | Li J. et al. (2020) | ✓ | ✓ | ✓ | ✓ | TS + NSGA-II | ||||
| 13 | Elena Kelareva (2012) | ✓ | ✓ | ✓ | ✓ | CP + MIP | ||||
| 14 | Li and Jia (2019) | ✓ | ✓ | ✓ | MIP + CG | |||||
| 15 | Zhang X. et al. (2016, 2017, 2019) | ✓ | ✓ | ✓ | ✓ | SA + GA/MOGA | ||||
| 16 | Our work | ✓ | ✓ | ✓ | ✓ | MILP + GA | ||||
| Ship Name | MMSI | IMO | Call sign | Flag | Ship Type | Length | Width | Draft |
|---|---|---|---|---|---|---|---|---|
| YANTIAN | 256930000 | 9305594 | 9HA4039 | Malta | Bulk | 350 | 43 | 6.4 |
| MSC RIFAYA | 636017685 | 9767388 | D5MF9 | Libya | Container | 85 | 12.8 | 6.2 |
| COSCO UNIVERSE | 477157400 | 9795610 | VRRP4 | Hong Kong | Container | 400 | 59.0 | 12.8 |
| State | Start position | Stop position | ETA | Start time | End time | Channel | Online point | Offline point |
| Out | S5 | O | 2018/3/13 13:00 | 2018/3/13 13:00 | 2018/3/13 13:00 | One-way | Beacon 1 | 5 |
| In | A1 | N1 | 2018/3/13 13:00 | 2018/3/13 13:00 | 2018/3/13 13:00 | Beacon1 | 3 | |
| Move | D34 | D4 | 2018/3/13 13:30 | 2018/3/13 13:30 | 2018/3/13 13:30 | Beacon1 | 4 |
| Vessel No. | Length (m) | Draft (m) | Fixed Speed (m/s) | ETA | Tidal Time Window | State |
|---|---|---|---|---|---|---|
| 1 | 365.5 | 14.44 | 6.37 | 6:00 | [3:48,11:08] | In |
| 2 | 265.98 | 12.36 | 7.20 | 6:00 | [0:00,24:00] | In |
| 3 | 125.0 | 6.13 | 5.47 | 6:00 | [0:00,24:00] | Out |
| 4 | 115.02 | 6.00 | 5.74 | 6:00 | [0:00,24:00] | Out |
| 5 | 170.0 | 8.83 | 5.30 | 6:00 | [0:00,24:00] | Out |
| Index | Schedule Solution |
|---|---|
| 1 | |
| 2 | |
| 3 | |
| 4 | |
| 5 | |
| 6 |
| Sets and Parameters |
|---|
| : Set of movement types:
: Set of in-wharf vessels or out-wharf vessels under movement . Indices , where denotes the number of vessels under movement : Set of periods in the planning horizon, indexed by : The estimated time of arrival of the vessel under movement : The time of end schedule for the vessel under movement : Sailing time for the vessel under movement : Sailing speed for the vessel under movement : Length of the vessel under movement : The lower bound of the navigable time window of the ship under movement constrained by draft and tidal height : The upper bound of the navigable time window of the ship under movement constrained by draft and tidal height : Safe navigation interval between vessels in the same direction : Safe navigation interval between vessels in the opposite direction : Safe navigation interval between vessels : A sufficiently large positive constant Decision Variables : Total waiting time for all in-wharf vessels and out-wharf vessels from the vessel arrival or departure time : Average waiting time for all in-wharf vessels and out-wharf vessels : The time of start scheduling for the vessel under movement : 0–1 variable, 0 if vessel precedes in the sequence under movement ; 1 otherwise : 0–1 variable, 0 if vessel precedes in the sequence; 1 otherwise |
| Mode | Vessel Scheduling Sequence | Waiting Time (h) |
|---|---|---|
| FIFO | 0.2 | |
| LDVFS | 0.21 | |
| RS | 0.31 | |
| CPLEX | 0.2 | |
| GA | 0.2 |
| No. | Length (m) | State | ETA | Tidal Time Windows | Draft (m) | UKC (m) |
|---|---|---|---|---|---|---|
| 1 | 184.95 | In | 8:00:00 | (0.0, 24.0) | 7.50 | 1.30 |
| 2 | 292.00 | In | 8:00:00 | ((5.55, 9.1), (19.05, 22.0)) | 13.90 | 1.60 |
| 3 | 228.99 | In | 8:10:00 | (0.0, 24.0) | 6.39 | 1.06 |
| 4 | 304.60 | In | 8:10:00 | (0.0, 24.0) | 8.60 | 0.90 |
| 5 | 183.00 | In | 8:15:00 | (0.0, 24.0) | 8.20 | 0.94 |
| 6 | 292.00 | Out | 8:25:00 | ((4.37, 10.5), (17.79, 24.0)) | 13.30 | 1.50 |
| 7 | 229.00 | In | 8:30:00 | ((3.74, 11.21), (17.2, 24.0)) | 12.90 | 1.50 |
| 8 | 159.99 | In | 8:40:00 | (0.0, 24.0) | 6.50 | 0.80 |
| 9 | 249.90 | Out | 8:50:00 | (0.0, 24.0) | 7.20 | 0.93 |
| 10 | 294.00 | Out | 9:00:00 | (0.0, 24.0) | 10.25 | 1.10 |
| 11 | 182.50 | Out | 9:00:00 | (0.0, 24.0) | 7.60 | 1.00 |
| 12 | 330.00 | Out | 9:05:00 | (0.0, 24.0) | 10.80 | 1.20 |
| 13 | 291.98 | Out | 9:10:00 | ((0.0, 13.94), (14.9, 24.0) | 11.90 | 1.30 |
| 14 | 189.99 | Out | 9:15:00 | (0.0, 24.0) | 6.40 | 0.80 |
| 15 | 294.12 | In | 9:20:00 | (0.0, 24.0) | 7.80 | 0.85 |
| 16 | 330.00 | In | 9:25:00 | ((0.0, 13.23), (15.55, 24.0)) | 12.00 | 1.40 |
| 17 | 116.85 | Out | 9:30:00 | (0.0, 24.0) | 4.50 | 0.50 |
| 18 | 225.00 | Out | 9:30:00 | (0.0, 24.0) | 11.20 | 1.40 |
| Case | Vessel Index Combination |
|---|---|
| Inst_5_1 | 17,5,3,13,8 |
| Inst_5_2 | 18,11,9,8,16 |
| Inst_5_3 | 3,13,10,16,6 |
| Inst_5_4 | 17,18,1,9,8 |
| Inst_10_1 | 11,8,13,9,5,1,17,18,14,3 |
| Inst_10_2 | 2,10,12,7,13,11,15,3,9,16 |
| Inst_10_3 | 6,10,14 18 13,2,11,9,4,5 |
| Inst_10_4 | 6,8,4,10,9,2,16,14,3,17 |
| Inst_15_1 | 6,5,18,1,4,12,3,15,13,7,10,2,14,11,9 |
| Inst_15_2 | 18,6,12,10,2,4,14,9,8,7,13,1,15,17,5 |
| Inst_15_3 | 15,17,2,4,6,8,12,16,5,1,7,11,18,13,10 |
| Inst_15_4 | 2,14,15,8,1,7,12,13,16,4,3,18,17,6,11 |
| Inst_18_1 | 2,3,17,6,14,16,12,11,5,10,4,9,1,7,18,8,13,15 |
| Time | 0000 | 0100 | 0200 | 0300 | 0400 | 0500 | 0600 | 0700 | 0800 | 0900 | 1000 | 1100 |
| TH/cm | 179 | 143 | 130 | 153 | 206 | 270 | 320 | 344 | 336 | 304 | 257 | 202 |
| Time | 1200 | 1300 | 1400 | 1500 | 1600 | 1700 | 1800 | 1900 | 2000 | 2100 | 2200 | 2300 |
| TH/cm | 146 | 99 | 69 | 72 | 112 | 176 | 244 | 298 | 324 | 323 | 300 | 268 |
| No. | NTW (H) |
|---|---|
| 2 | ((5.55, 9.1), (19.05, 22.0)) |
| 6 | ((4.37, 10.5), (17.79, 24.0)) |
| 7 | ((3.74, 11.21), (17.2, 24.0)) |
| 13 | ((0.0, 13.94), (14.9, 24.0)) |
| 16 | ((0.0, 13.23), (15.55, 24.0)) |
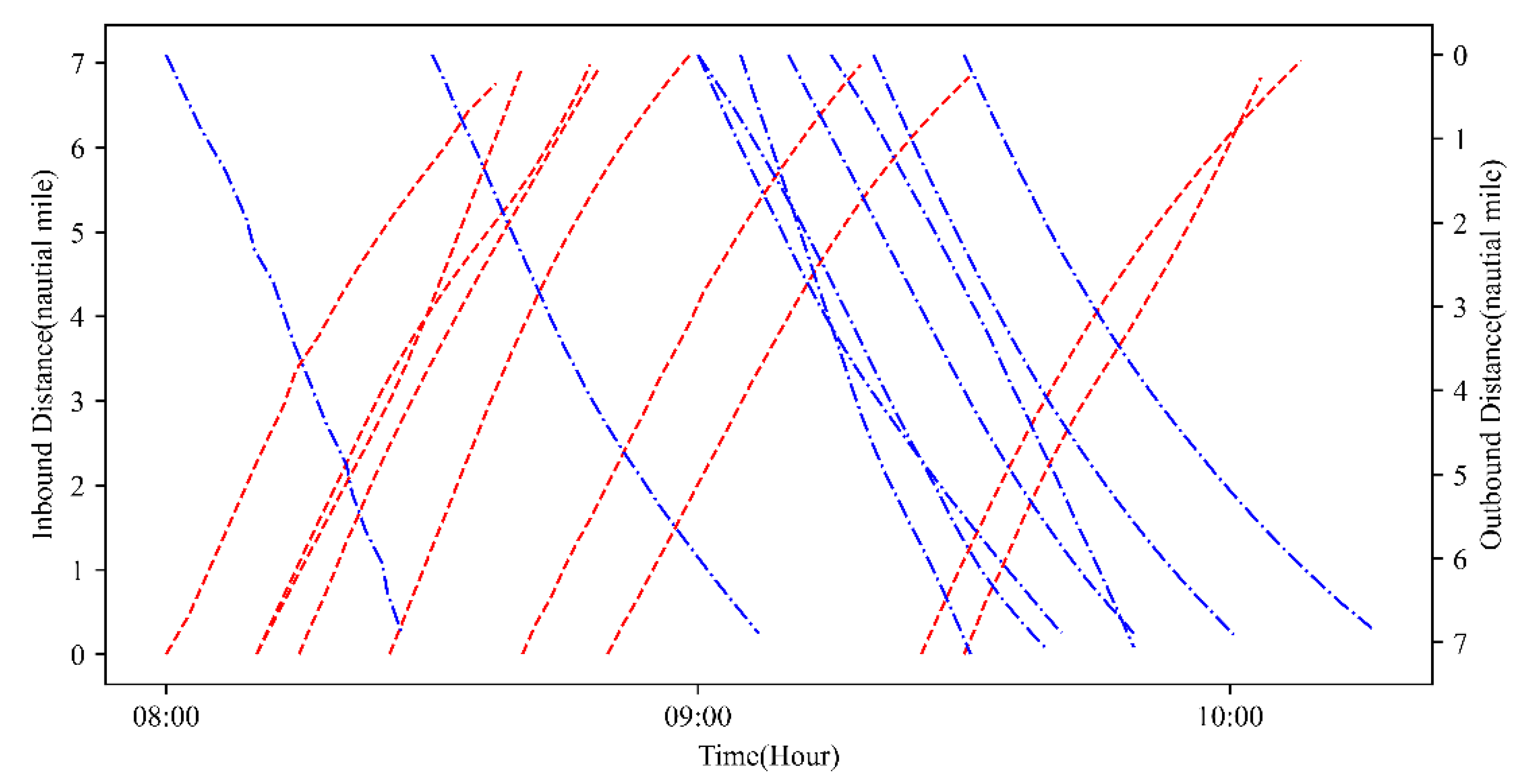
| No. | ST | Index | Order | TSS | TES |
|---|---|---|---|---|---|
| 1 | 0.627 | 2 | 1 | 8.0 | 8.627 |
| 2 | 0.500 | 3 | 13 | 8.1 | 8.721 |
| 3 | 0.767 | 17 | 11 | 8.267 | 8.832 |
| 4 | 0.614 | 6 | 9 | 8.367 | 8.932 |
| 5 | 0.678 | 14 | 14 | 8.5 | 9.136 |
| 6 | 0.559 | 16 | 2 | 8.667 | 9.167 |
| 7 | 0.65 | 12 | 8 | 9.367 | 9.8 |
| 8 | 0.433 | 11 | 17 | 9.467 | 10.037 |
| 9 | 0.565 | 5 | 4 | 9.567 | 10.181 |
| 10 | 0.683 | 10 | 12 | 9.667 | 10.325 |
| 11 | 0.565 | 4 | 7 | 9.784 | 10.434 |
| 12 | 0.658 | 9 | 10 | 9.884 | 10.567 |
| 13 | 0.621 | 1 | 3 | 9.984 | 10.751 |
| 14 | 0.636 | 7 | 5 | 10.184 | 10.862 |
| 15 | 0.442 | 18 | 15 | 10.434 | 10.876 |
| 16 | 0.680 | 8 | 6 | 11.076 | 11.635 |
| 17 | 0.570 | 13 | 18 | 11.176 | 11.89 |
| 18 | 0.714 | 15 | 16 | 11.276 | 11.956 |
| Mode. | Vessel Scheduling Sequence | CPU (s) | Waiting Time (h) | GAP (%) |
|---|---|---|---|---|
| Select | 2,3,17,6,14,16,12,11,5,10,4,9,1,7,18,8,13,15 | -- | -- | -- |
| CPLEX | 1,13,11,9,2,14,16,8,15,17,4,12,7,10,5,3,6,18 | 77.531 | 0.702 | <0.0089% |
| FIFO | 1,13,2,11,9,4,14,16,12,8,10,7,17,5,18,6,3,15 | -- | -- | -- |
| LDVFS | 1,4,14,6,17,15,7,10,11,9,13,18,8,12,2,16,5,3 | -- | 2.930 | 317.3789% |
| RS | 1,9,12,4,17,18,6,16,14,15,10,7,11,2,5,13,3,8 | -- | 2.434 | 246.7236% |
| GA | 1,13,11,9,14,2,8,17,4,12,7,10,3,5,15,6,18,16 | 7.074 | 0.750 | 6.83760% |
| Case | CPLEX | CPU (s) | GAP | GA | CPU (s) | GAP | FIFO | GAP | LDVFS | GAP | RS | GAP |
|---|---|---|---|---|---|---|---|---|---|---|---|---|
| Inst_5_1 | 0.11 | 0.016 | 0% | 0.11 | 1.12 | 0% | 0.11 | 0% | 1.31 | 1091% | 1.12 | 918% |
| Inst_5_2 | 0.48 | 0.016 | 0% | 0.48 | 0.98 | 0% | 0.85 | 78% | 1.22 | 156% | 1.83 | 285% |
| Inst_5_3 | 0.21 | 0.000 | 0% | 0.21 | 1.06 | 0% | 0.21 | 0% | 1.06 | 413% | 0.73 | 252% |
| Inst_5_4 | 0.22 | 0.015 | 0% | 0.22 | 1.06 | 0% | 0.27 | 22% | 2.13 | 849% | 1.21 | 439% |
| Inst_10_1 | 0.28 | 0.031 | 0% | 0.29 | 2.33 | 3% | 0.46 | 63% | 2.32 | 719% | 2.24 | 690% |
| Inst_10_2 | 0.45 | 0.031 | 0% | 0.45 | 2.65 | 0% | 0.64 | 42% | 1.72 | 282% | 1.88 | 317% |
| Inst_10_3 | 0.25 | 0.047 | 0% | 0.26 | 2.38 | 4% | 0.32 | 31% | 1.29 | 425% | 0.51 | 107% |
| Inst_10_4 | 0.41 | 0.032 | 0% | 0.41 | 2.46 | 0% | 1.25 | 202% | 2.66 | 543% | 1.45 | 250% |
| Inst_15_1 | 0.54 | 20.422 | 0% | 0.55 | 6.14 | 1% | 1.58 | 192% | 2.69 | 397% | 2.31 | 328% |
| Inst_15_2 | 0.59 | 1.703 | 0% | 0.59 | 7.68 | 0% | 1.68 | 187% | 2.74 | 367% | 2.61 | 345% |
| Inst_15_3 | 0.62 | 0.781 | 0% | 0.62 | 7.51 | 0% | 1.70 | 174% | 2.41 | 289% | 1.69 | 173% |
| Inst_15_4 | 0.61 | 0.828 | 0% | 0.70 | 11.01 | 15% | 1.63 | 169% | 2.66 | 338% | 1.83 | 201% |
| Average | 0.40 | 1.994 | 0% | 0.41 | 3.865 | 2% | 0.89 | 97% | 2.01 | 489% | 1.62 | 359% |
Publisher’s Note: MDPI stays neutral with regard to jurisdictional claims in published maps and institutional affiliations. |
© 2021 by the authors. Licensee MDPI, Basel, Switzerland. This article is an open access article distributed under the terms and conditions of the Creative Commons Attribution (CC BY) license (https://creativecommons.org/licenses/by/4.0/).
Share and Cite
Liu, D.; Shi, G.; Hirayama, K. Vessel Scheduling Optimization Model Based on Variable Speed in a Seaport with One-Way Navigation Channel. Sensors 2021, 21, 5478. https://doi.org/10.3390/s21165478
Liu D, Shi G, Hirayama K. Vessel Scheduling Optimization Model Based on Variable Speed in a Seaport with One-Way Navigation Channel. Sensors. 2021; 21(16):5478. https://doi.org/10.3390/s21165478
Chicago/Turabian StyleLiu, Dongdong, Guoyou Shi, and Katsutoshi Hirayama. 2021. "Vessel Scheduling Optimization Model Based on Variable Speed in a Seaport with One-Way Navigation Channel" Sensors 21, no. 16: 5478. https://doi.org/10.3390/s21165478
APA StyleLiu, D., Shi, G., & Hirayama, K. (2021). Vessel Scheduling Optimization Model Based on Variable Speed in a Seaport with One-Way Navigation Channel. Sensors, 21(16), 5478. https://doi.org/10.3390/s21165478

