Multiband Spectrum Sensing and Power Allocation for aCognitive Radio-Enabled Smart Grid
Abstract
:1. Introduction
2. Background
2.1. Energy Detection
2.2. System Model
3. Proposed Method for the Interweave-Cognitive-Radio-Enabled Smart Grid Network
| Algorithm 1 Optimal multiband spectrum sensing and power allocation method for interweave-CR-enabled SG communication. |
|
4. Proposed Method for the Underlay-Cognitive-Radio-Enabled Smart Grid Network
| Algorithm 2 Optimal multiband spectrum sensing and power allocation method for underlay-CR-enabled SG communication. |
|
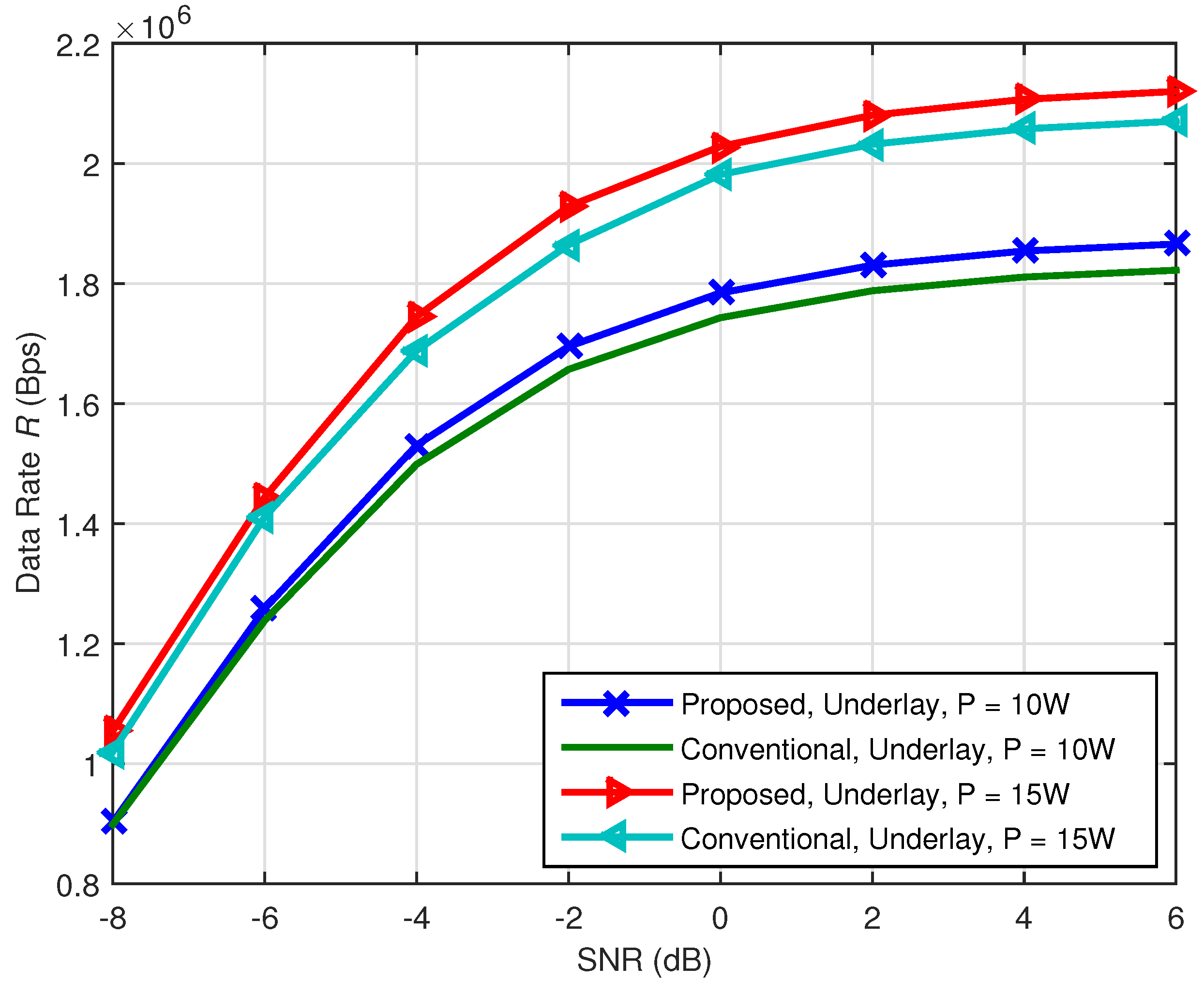
5. Simulation Results
6. Conclusions
Author Contributions
Funding
Institutional Review Board Statement
Informed Consent Statement
Data Availability Statement
Conflicts of Interest
References
- Ghorbanian, M.; Dolatabadi, S.; Masjedi, M.; Siano, P. Communication in smart grids: A comprehensive review on the existing and future communication and information infrastructures. IEEE Syst. J. 2019, 13, 4001–4014. [Google Scholar] [CrossRef]
- Cavalieri, S. Semantic interoperability between IEC 61850 and oneM2M for IoT-enabled smart grids. Sensors 2021, 21, 2571. [Google Scholar] [CrossRef]
- Wang, H.; Qian, Y.; Sharif, H. Multimedia communications over cognitive radio networks for smart grid applications. IEEE Wirel. Commun. 2013, 20, 125–132. [Google Scholar] [CrossRef]
- Hu, B.; Gharavi, H. A hybrid wired/wireless deterministic network for smart grid. IEEE Wirel. Commun. 2021, 28, 138–143. [Google Scholar] [CrossRef]
- Kumari, A.; Tanwar, S.; Tyagi, S.; Kumar, N.; Obaidat, M.; Rodrigues, J. Fog computing for smart grid systems in the 5G environment: Challenges and solutions. IEEE Wirel. Commun. 2021, 26, 47–53. [Google Scholar] [CrossRef]
- Awin, F.; Abdel-Raheem, E.; Tepe, K. Blind spectrum sensing approaches for interweaved cognitive radio system: A tutorial and short course. IEEE Commun. Surv. Tutor. 2019, 26, 238–259. [Google Scholar] [CrossRef]
- Yu, R.; Zhang, Y.; Gjessing, S.; Yuen, C.; Xie, S.; Guizani, M. Cognitive radio based hierarchical communications infrastructure for smart grid. IEEE Netw. 2011, 26, 6–14. [Google Scholar] [CrossRef]
- Alam, S.; Sohail, M.; Ghaurib, S.; Qureshib, I.; Aqdasb, N. Cognitive radio based smart grid communication network. Renew. Sust. Energ. Rev. 2017, 72, 535–548. [Google Scholar] [CrossRef]
- Deng, R.; Chen, J.; Cao, X.; Zhang, Y.; Maharjan, S.; Gjessing, S. Sensing-performance tradeoff in cognitive radio enabled smart grid. IEEE Trans. Smart Grid 2013, 4, 302–310. [Google Scholar] [CrossRef]
- Li, Q.; Feng, Z.; Gulliver, T.; Ping, Z. Joint spatial and temporal spectrum sharing for demand response management in cognitive radio enabled smart grid. IEEE Trans. Smart Grid 2014, 5, 1993–2001. [Google Scholar] [CrossRef]
- Hattab, G.; Ibnkahla, M. Multiband spectrum access: Great promises for future cognitive radio networks. Proc. IEEE 2014, 102, 282–306. [Google Scholar] [CrossRef] [Green Version]
- Quan, Z.; Cui, S.; Sayed, A.; Poor, H. Optimal multiband joint detection for spectrum sensing in cognitive radio networks. IEEE Trans. Signal Process. 2009, 57, 1128–1140. [Google Scholar] [CrossRef] [Green Version]
- Stotas, S.; Nallanathan, A. Optimal sensing time and power allocation in multiband cognitive radio networks. IEEE Trans. Commun. 2011, 59, 226–235. [Google Scholar] [CrossRef]
- Ejaz, W.; Ibnkahla, M. Multiband spectrum sensing and resource allocation for IoT in cognitive 5G networks. IEEE Internet Things J. 2018, 5, 150–163. [Google Scholar] [CrossRef]
- Molina-Tenorio, Y.; Prieto-Guerrero, A.; Aguilar-Gonzalez, R. Real-time implementation of multiband spectrum sensing using SDR technology. Sensors 2021, 21, 3506. [Google Scholar] [CrossRef] [PubMed]
- Liu, X.; Sun, C.; Zhou, M.; Wu, C.; Peng, B.; Li, P. Reinforcement learning-based multislot double-threshold spectrum sensing with bayesian fusion for industrial big spectrum data. IEEE Trans. Industr. Inform. 2021, 17, 3391–3400. [Google Scholar] [CrossRef]
- Molokomme, D.; Chabalala, C.; Bokoro, P. A review of cognitive radio smart grid communication infrastructure systems. Energies 2020, 13, 3245. [Google Scholar] [CrossRef]
- Sharma, S.; Chatzinotas, S.; Ottersten, B. SNR estimation for multi-dimensional cognitive receiver under correlated channel/noise. IEEE Trans. Wirel. Commun. 2013, 12, 6392–6405. [Google Scholar] [CrossRef] [Green Version]
- Wang, J.; Li, B.; Liu, M.; Li, J. SNR estimation of time-frequency overlapped signals for underlay cognitive radio. IEEE Commun. Lett. 2015, 19, 1925–1928. [Google Scholar] [CrossRef]
- Boyd, S.; Vandenberghe, L. Convex Optimization; Cambridge University Press: Cambridge, UK, 2004. [Google Scholar]
- Alonso, R.; Plets, D.; Deruyck, M.; Martens, L.; Nieto, G.; Joseph, W. TV white space and LTE network optimization toward energy efficiency in suburban and rural scenarios. IEEE Trans. Broadcast. 2018, 64, 164–171. [Google Scholar] [CrossRef]
- Sengottuvelan, S.; Ansari, J.; Mahonen, P.; Venkatesh, T.; Petrova, M. Channel selection algorithm for cognitive radio networks with heavy-tailed idle times. IEEE Trans. Mob. Comput. 2017, 16, 1258–1271. [Google Scholar] [CrossRef] [Green Version]








| Operations | Multiplications | Additions | Square Roots | |
|---|---|---|---|---|
| Methods | ||||
| Proposed, Interweave | 0 | |||
| Conventional, Interweave | 0 | |||
| Proposed, Underlay | ||||
| Conventional, Underlay | ||||
Publisher’s Note: MDPI stays neutral with regard to jurisdictional claims in published maps and institutional affiliations. |
© 2021 by the authors. Licensee MDPI, Basel, Switzerland. This article is an open access article distributed under the terms and conditions of the Creative Commons Attribution (CC BY) license (https://creativecommons.org/licenses/by/4.0/).
Share and Cite
Wang, J.; Jiang, W.; Wang, H.; Huang, Y.; Chen, R.; Lin, R. Multiband Spectrum Sensing and Power Allocation for aCognitive Radio-Enabled Smart Grid. Sensors 2021, 21, 8384. https://doi.org/10.3390/s21248384
Wang J, Jiang W, Wang H, Huang Y, Chen R, Lin R. Multiband Spectrum Sensing and Power Allocation for aCognitive Radio-Enabled Smart Grid. Sensors. 2021; 21(24):8384. https://doi.org/10.3390/s21248384
Chicago/Turabian StyleWang, Jun, Weibin Jiang, Hongjun Wang, Yanwei Huang, Riqing Chen, and Ruiquan Lin. 2021. "Multiband Spectrum Sensing and Power Allocation for aCognitive Radio-Enabled Smart Grid" Sensors 21, no. 24: 8384. https://doi.org/10.3390/s21248384
APA StyleWang, J., Jiang, W., Wang, H., Huang, Y., Chen, R., & Lin, R. (2021). Multiband Spectrum Sensing and Power Allocation for aCognitive Radio-Enabled Smart Grid. Sensors, 21(24), 8384. https://doi.org/10.3390/s21248384
