A Fair Channel Hopping Scheme for LoRa Networks with Multiple Single-Channel Gateways
Abstract
:1. Introduction
2. Related Work
3. A Fair MAC Channel Hopping Scheme for LoRa Networks
- Fast-Rate Channel: Due to its short communication range capability, this channel is for EDs closer to a GW, and has excellent signal quality. It is the fastest of the three, so the EDs that use it take less time to transmit a packet. Consequently, the duty-cycle restriction time is shorter, increasing the number of transmissions allowed per ED;
- Slow-Rate or Standard Channel: This channel is for EDs within reach of a GW but has poor signal quality. The ToA of the data packets is the longest. The GWs use it to send synchronization packets, which will be introduced later in this chapter, as it is the one with the longest range;
- Mid-Rate Channel: Used by EDs with intermediate signal strength with a GW, i.e., worse than those using fast-rate but better than those using slow-rate. The ToA of the data packets is longer than in the fast-rate channel due to the more extended range, but shorter than in the slow-rate channel.
| Algorithm 1: LoRa channel hopping protocol: GW execution flow. |
![]() |
| Algorithm 2: LoRa channel hopping protocol: ED idle state execution flow. |
![]() |
4. Performance Evaluation
4.1. Setup and Methodology
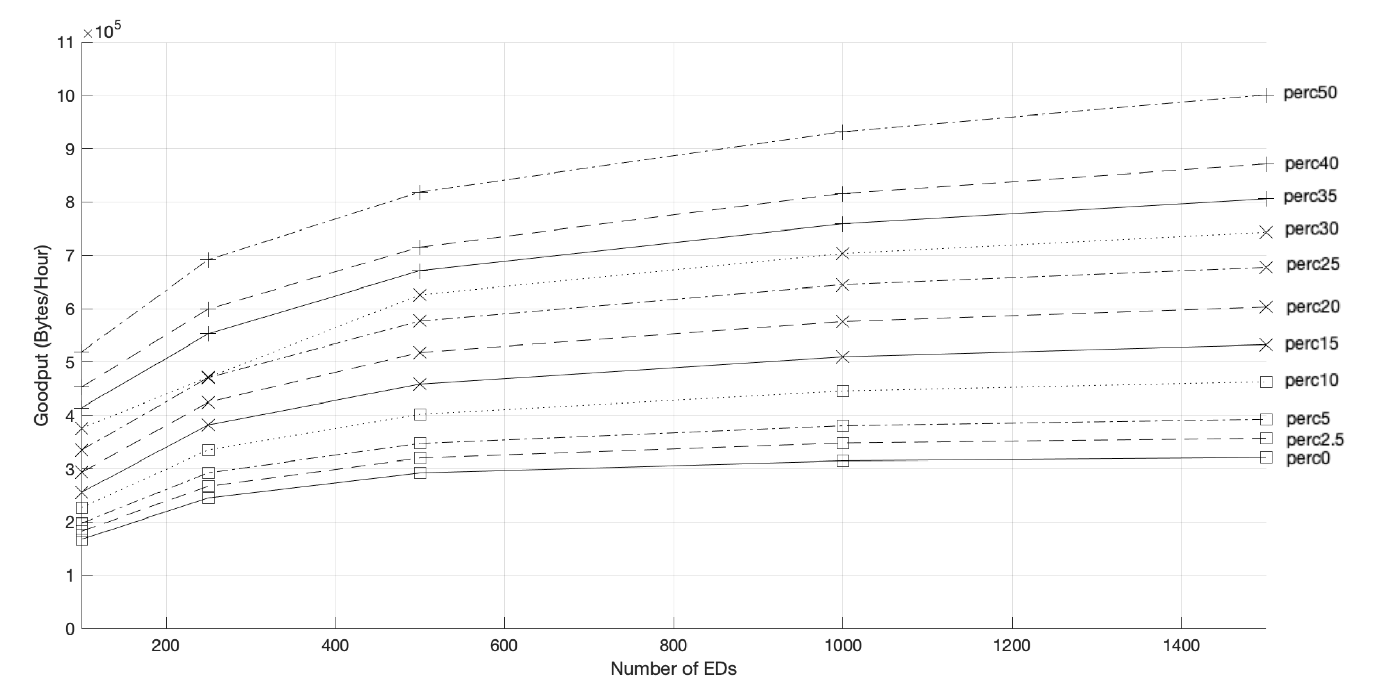
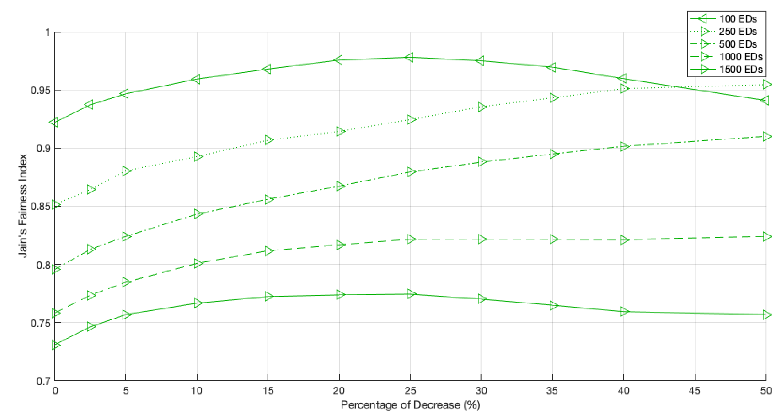
4.2. Performance Results
5. Channel Time Analysis
5.1. Channel Time Allocation for a Single GW Network
5.2. Channel Time Variation for Multiple GW Networks
6. Conclusions
Author Contributions
Funding
Institutional Review Board Statement
Informed Consent Statement
Conflicts of Interest
References
- Barillaro, S.; Rhee, S.; Escudero, G.; Kacker, R.; Badger, L.; Kuhn, D.R. Low-Power Wide Area Networks (LPWAN) for Communications of Mobile Sensor Data. In Proceedings of the 2nd ACM/EIGSCC Symposium on Smart Cities and Communities (SCC ’19), Portland, OR, USA, 10–12 September 2019; Association for Computing Machinery: New York, NY, USA, 2019; pp. 1–8. [Google Scholar]
- Zourmand, A.; Kun Hing, A.L.; Hung, C.W.; AbdulRehman, M. Internet of Things (IoT) using LoRa technology. In Proceedings of the 2019 IEEE International Conference on Automatic Control and Intelligent Systems (I2CACIS), Selangor, Malaysia, 29 June 2019; pp. 324–330. [Google Scholar] [CrossRef]
- Lavric, A.; Petrariu, A.I.; Popa, V. SigFox Communication Protocol: The New Era of IoT? In Proceedings of the 2019 International Conference on Sensing and Instrumentation in IoT Era (ISSI), Lisbon, Portugal, 29–30 August 2019; pp. 1–4. [Google Scholar] [CrossRef]
- Ingenu. How RPMA Works? The Making of RPMA. Available online: https://www.ingenu.com/technology/rpma/how-rpma-works/ (accessed on 13 July 2022).
- Ayoub, W.; Samhat, A.E.; Nouvel, F.; Mroue, M.; Prévotet, J. Internet of Mobile Things: Overview of LoRaWAN, DASH7, and NB-IoT in LPWANs Standards and Supported Mobility. IEEE Commun. Surv. Tutorials 2019, 21, 1561–1581. [Google Scholar] [CrossRef] [Green Version]
- Devalal, S.; Karthikeyan, A. LoRa Technology—An Overview. In Proceedings of the 2018 Second International Conference on Electronics, Communication and Aerospace Technology (ICECA), Coimbatore, India, 29–31 March 2018; pp. 284–290. [Google Scholar] [CrossRef]
- Fernandes, R.; Oliveira, R.; Luís, M.; Sargento, S. On the Real Capacity of LoRa Networks: The Impact of Non-Destructive Communications. IEEE Commun. Lett. 2019, 23, 2437–2441. [Google Scholar] [CrossRef]
- Hanaffi, H.; Mohamad, R.; Suliman, S.I.; Kassim, M.; Anas, N.M.; Bakar, A.Z.A. Single-Channel LoRaWAN Gateway for Remote Indoor Monitoring System: An Experimental. In Proceedings of the 2020 8th International Electrical Engineering Congress (iEECON), Chiang Mai, Thailand, 4–6 March 2020; pp. 1–4. [Google Scholar] [CrossRef]
- Cuomo, F.; Campo, M.; Caponi, A.; Bianchi, G.; Rossini, G.; Pisani, P. EXPLoRa: Extending the performance of LoRa by suitable spreading factor allocations. In Proceedings of the 2017 IEEE 13th International Conference on Wireless and Mobile Computing, Networking and Communications (WiMob), Rome, Italy, 9–11 October 2017; pp. 1–8. [Google Scholar] [CrossRef]
- Cuomo, F.; Campo, M.; Bassetti, E.; Cartella, L.; Sole, F.; Bianchi, G. Adaptive mitigation of the Air-Time pressure in LoRa multi-gateway architectures. In Proceedings of the European Wireless 2018 24th European Wireless Conference, Aarhus, Denmark, 2–4 May 2019; pp. 1–6. [Google Scholar]
- Liao, W.; Zhao, O.; Ishizu, K.; Kojima, F. Adaptive Parameter Adjustment for Uplink Transmission for Multi-gateway LoRa Systems. In Proceedings of the 2019 22nd International Symposium on Wireless Personal Multimedia Communications (WPMC), Lisbon, Portugal, 24–27 November 2019; pp. 1–5. [Google Scholar] [CrossRef]
- Kim, D.Y.; Kim, S. Gateway Channel Hopping to Improve Transmission Efficiency in Long-range IoT Networks. KSII Trans. Internet Inf. Syst. 2019, 13, 1599–1640. [Google Scholar] [CrossRef] [Green Version]
- Iglesias-Rivera, A.; Van Glabbeek, R.; Guerra, E.O.; Braeken, A.; Steenhaut, K.; Cruz-Enriquez, H. Time-Slotted Spreading Factor Hopping for Mitigating Blind Spots in LoRa-Based Networks. Sensors 2022, 22, 2253. [Google Scholar] [CrossRef] [PubMed]
- Haubro, M.; Orfanidis, C.; Oikonomou, G.; Fafoutis, X. TSCH-over-LoRA: Long Range and Reliable IPv6 Multi-hop Networks for the Internet of Things. Internet Technol. Lett. 2020, 3, e165. [Google Scholar] [CrossRef] [Green Version]
- Kim, S.; Yoo, Y. Contention-Aware Adaptive Data Rate for Throughput Optimization in LoRaWAN. Sensors 2018, 18, 1716. [Google Scholar] [CrossRef] [PubMed] [Green Version]
- Adelantado, F.; Vilajosana, X.; Tuset-Peiro, P.; Martinez, B.; Melia-Segui, J.; Watteyne, T. Understanding the Limits of LoRaWAN. IEEE Commun. Mag. 2017, 55, 34–40. [Google Scholar] [CrossRef] [Green Version]
- Benkahla, N.; Tounsi, H.; Song, Y.; Frikha, M. Enhanced ADR for LoRaWAN networks with mobility. In Proceedings of the 2019 15th International Wireless Communications Mobile Computing Conference (IWCMC), Tangier, Morocco, 24–28 June 2019; pp. 1–6. [Google Scholar] [CrossRef]
- Fernandes, R.; Oliveira, R.; Luís, M.; Sargento, S. Exploring the Use of Control Packets in LoRa Medium Access: A Scalability Analysis. In Proceedings of the 21st International Symposium on a World of Wireless, Mobile and Multimedia Networks (IEEE WoWMoM 2020), Cork, Ireland, 31 August–3 September 2020. [Google Scholar] [CrossRef]
- Waspmote-LoRa-868MHz_915MHz-SX1272 Networking Guide. Available online: https://usermanual.wiki/Document/waspmotelora868mhz915mhzsx1272networkingguide.548782060/view/ (accessed on 2 June 2022).
- Oliveira, R.; Guardalben, L.; Sargento, S. Long range communications in urban and rural environments. In Proceedings of the IEEE Symposium on Computers and Communications (ISCC 2017), Heraklion, Greece, 3–6 July 2017. [Google Scholar] [CrossRef]





















| Standard Channel | Mid-Rate Channel | Fast-Rate Channel | |
|---|---|---|---|
| RTS Packet | 286.55 ms | 75.52 ms | 12.39 ms |
| CM Packet | 307.05 ms | - | - |
| BW (kHz) | CR | SF | Sensitivity (dBm) | |
|---|---|---|---|---|
| Standard Channel | 125 | 4/5 | 10 | −129 |
| Mid-Rate Channel | 250 | 4/5 | 9 | −123 |
| Fast-Rate Channel | 500 | 4/5 | 7 | −114 |
| Range (m) | RSSI Range (dBm) | |
|---|---|---|
| Fast-Rate | 1210 | [−100, −90] |
| Mid-Rate | 2890 | [−110, −101] |
| Standard | 4030 | [−125, −111] |
| Number of EDs | Mid-Rate Channel (ms) | Fast-Rate Channel (ms) |
|---|---|---|
| 100 | 9205 | 4336 |
| 250 | 9133 | 2805 |
| 500 | 8774 | 2211 |
| 1000 | 7957 | 1820 |
| 1500 | 7568 | 1663 |
| 2000 | 7483 | 1628 |
Publisher’s Note: MDPI stays neutral with regard to jurisdictional claims in published maps and institutional affiliations. |
© 2022 by the authors. Licensee MDPI, Basel, Switzerland. This article is an open access article distributed under the terms and conditions of the Creative Commons Attribution (CC BY) license (https://creativecommons.org/licenses/by/4.0/).
Share and Cite
Figueiredo, A.; Luís, M.; Zúquete, A. A Fair Channel Hopping Scheme for LoRa Networks with Multiple Single-Channel Gateways. Sensors 2022, 22, 5260. https://doi.org/10.3390/s22145260
Figueiredo A, Luís M, Zúquete A. A Fair Channel Hopping Scheme for LoRa Networks with Multiple Single-Channel Gateways. Sensors. 2022; 22(14):5260. https://doi.org/10.3390/s22145260
Chicago/Turabian StyleFigueiredo, Alexandre, Miguel Luís, and André Zúquete. 2022. "A Fair Channel Hopping Scheme for LoRa Networks with Multiple Single-Channel Gateways" Sensors 22, no. 14: 5260. https://doi.org/10.3390/s22145260
APA StyleFigueiredo, A., Luís, M., & Zúquete, A. (2022). A Fair Channel Hopping Scheme for LoRa Networks with Multiple Single-Channel Gateways. Sensors, 22(14), 5260. https://doi.org/10.3390/s22145260



