Traffic-Aware Secured Cooperative Framework for IoT-Based Smart Monitoring in Precision Agriculture
Abstract
:1. Introduction
- It provides a strategy to effectively manage IoT resources, identify the redundant nodes that are collecting the same data and forbid using them. Such a scheme is efficient in utilizing the resources of the network and prolonging the system life cycle.
- It develops intelligent methods using distributed machine learning to predict routing decisions for the selection of optimal forwarders with increasing data delivery and load balancing.
- Another aspect of the proposed framework is the usage of a fog system to establish a secure chain in the presence of unidentified and faulty nodes by establishing a reliable group of nodes.
- We verified the proposed framework with other work and the results demonstrate enhanced performance for various network parameters.
2. Related Work
Limitations of the Existing Schemes
3. Material and Methods
3.1. System Model and Background of the Proposed Framework
3.2. Machine Learning-Based Distributed Regressional Analysis
3.3. Fog Systems-Based Security Maintenance
- -
- Sensor’s deployment: In this state, agriculture nodes are randomly dispersed in the targeted area. They have limited constraints and not enough memory, transmissions, and processing resources. They are not able to communicate with the sink node directly;
- -
- Data sense: All the deployed sensors, actuators, and IoT devices collaborate in collecting the data. In addition, the data are transferred to the sink nodes through integrating fog systems. The fog nodes are explored for reducing communication delays;
- -
- Relay node: The data are obtained from the deployed sensors and forwarded towards the relay node. The roles for relay nodes are not predefined, they are chosen using quality-aware parameters;
- -
- Decision making: In this state, a distributed machine learning technique is applied using network statistics to offer the optimal results for attaining a reliable communication system;
- -
- Data security: In this end, security actions are performed in this state. It identifies faulty nodes and false messages to detect the comprised data using private values. It increases the reliability of remote users that are connected to cloud systems.
4. Simulations
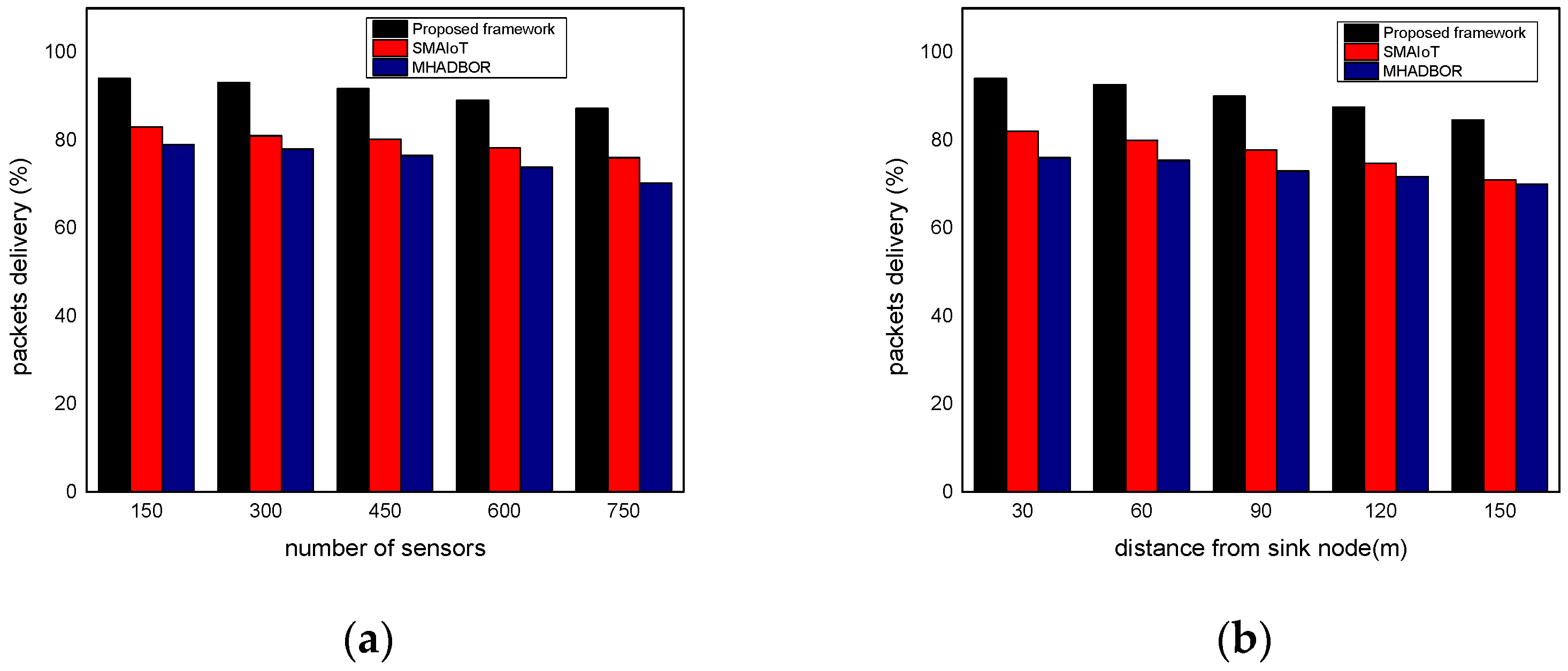
5. Results with Discussion
6. Conclusions
Author Contributions
Funding
Institutional Review Board Statement
Informed Consent Statement
Data Availability Statement
Acknowledgments
Conflicts of Interest
References
- Zhou, I.; Makhdoom, I.; Shariati, N.; Raza, M.A.; Keshavarz, R.; Lipman, J.; Abolhasan, M.; Jamalipour, A. Internet of things 2.0: Concepts, applications, and future directions. IEEE Access 2021, 9, 70961–71012. [Google Scholar] [CrossRef]
- Nguyen, V.-L.; Lin, P.-C.; Cheng, B.-C.; Hwang, R.-H.; Lin, Y.-D. Security and Privacy for 6G: A Survey on Prospective Technologies and Challenges. IEEE Commun. Surv. Tutor. 2021, 23, 2384–2428. [Google Scholar] [CrossRef]
- Rehman, A.; Haseeb, K.; Saba, T.; Lloret, J.; Ahmed, Z. Mobility Support 5G Architecture with Real-Time Routing for Sustainable Smart Cities. Sustainability 2021, 13, 9092. [Google Scholar] [CrossRef]
- Rehman, A.; Haseeb, K.; Saba, T.; Lloret, J.; Tariq, U. Secured Big Data Analytics for Decision-Oriented Medical System Using Internet of Things. Electronics 2021, 10, 1273. [Google Scholar] [CrossRef]
- Quy, V.K.; Hau, N.V.; Anh, D.V.; Quy, N.M.; Ban, N.T.; Lanza, S.; Randazzo, G.; Muzirafuti, A. IoT-Enabled Smart Agriculture: Architecture, Applications, and Challenges. Appl. Sci. 2022, 12, 3396. [Google Scholar] [CrossRef]
- Lloret, J.; Garcia, M.; Bri, D.; Sendra, S. A Wireless Sensor Network Deployment for Rural and Forest Fire Detection and Verification. Sensors 2009, 9, 8722–8747. [Google Scholar] [CrossRef] [PubMed]
- Gavrilović, N.; Mishra, A. Software architecture of the internet of things (IoT) for smart city, healthcare and agriculture: Analysis and improvement directions. J. Ambient Intell. Humaniz. Comput. 2021, 12, 1315–1336. [Google Scholar] [CrossRef]
- Raj, M.; Gupta, S.; Chamola, V.; Elhence, A.; Garg, T.; Atiquzzaman, M.; Niyato, D. A survey on the role of Internet of Things for adopting and promoting Agriculture 4.0. J. Netw. Comput. Appl. 2021, 187, 103107. [Google Scholar] [CrossRef]
- Haseeb, K.; Saba, T.; Rehman, A.; Ahmed, Z.; Song, H.H.; Wang, H.H. Trust management with fault-tolerant supervised routing for smart cities using internet of things. IEEE Internet Things J. 2022. [Google Scholar] [CrossRef]
- Khan, A.I.; Alsolami, F.; Alqurashi, F.; Abushark, Y.B.; Sarker, I.H. Novel energy management scheme in IoT enabled smart irrigation system using optimized intelligence methods. Eng. Appl. Artif. Intell. 2022, 114, 104996. [Google Scholar] [CrossRef]
- Singh, R.K.; Berkvens, R.; Weyn, M. AgriFusion: An Architecture for IoT and Emerging Technologies Based on a Precision Agriculture Survey. IEEE Access 2021, 9, 136253–136283. [Google Scholar] [CrossRef]
- Maddikunta, P.K.R.; Hakak, S.; Alazab, M.; Bhattacharya, S.; Gadekallu, T.R.; Khan, W.Z.; Pham, Q.-V. Unmanned Aerial Vehicles in Smart Agriculture: Applications, Requirements, and Challenges. IEEE Sens. J. 2021, 21, 17608–17619. [Google Scholar] [CrossRef]
- Farooq, M.S.; Riaz, S.; Abid, A.; Abid, K.; Naeem, M.A. A Survey on the Role of IoT in Agriculture for the Implementation of Smart Farming. IEEE Access 2019, 7, 156237–156271. [Google Scholar] [CrossRef]
- Johnson, N.; Kumar, M.S.; Dhannia, T. A study on the significance of smart IoT sensors and Data science in Digital agriculture. In Proceedings of the 2020 Advanced Computing and Communication Technologies for High Performance Applications (ACCTHPA), Cochin, India, 2–4 July 2020. [Google Scholar]
- He, S.; Shi, K.; Liu, C.; Guo, B.; Chen, J.; Shi, Z. Collaborative Sensing in Internet of Things: A Comprehensive Survey. IEEE Commun. Surv. Tutor. 2022, 24, 1435–1474. [Google Scholar] [CrossRef]
- Churcher, A.; Ullah, R.; Ahmad, J.; Rehman, S.U.; Masood, F.; Gogate, M.; Alqahtani, F.; Nour, B.; Buchanan, W. An Experimental Analysis of Attack Classification Using Machine Learning in IoT Networks. Sensors 2021, 21, 446. [Google Scholar] [CrossRef]
- Bagaa, M.; Taleb, T.; Bernabe, J.B.; Skarmeta, A. A Machine Learning Security Framework for Iot Systems. IEEE Access 2020, 8, 114066–114077. [Google Scholar] [CrossRef]
- Demestichas, K.; Peppes, N.; Alexakis, T. Survey on Security Threats in Agricultural IoT and Smart Farming. Sensors 2020, 20, 6458. [Google Scholar] [CrossRef]
- Elijah, O.; Rahman, T.A.; Orikumhi, I.; Leow, C.Y.; Hindia, M.N. An Overview of Internet of Things (IoT) and Data Analytics in Agriculture: Benefits and Challenges. IEEE Internet Things J. 2018, 5, 3758–3773. [Google Scholar] [CrossRef]
- Abunadi, I.; Mengash, H.A.; Alotaibi, S.S.; Asiri, M.M.; Hamza, M.A.; Zamani, A.S.; Motwakel, A.; Yaseen, I. Optimal Multikey Homomorphic Encryption with Steganography Approach for Multimedia Security in Internet of Everything Environment. Appl. Sci. 2022, 12, 4026. [Google Scholar] [CrossRef]
- Ferrag, M.A.; Shu, L.; Yang, X.; Derhab, A.; Maglaras, L. Security and privacy for green IoT-based agriculture: Review, blockchain solutions, and challenges. IEEE Access 2020, 8, 32031–32053. [Google Scholar] [CrossRef]
- Vangala, A.; Das, A.K.; Chamola, V.; Korotaev, V.; Rodrigues, J.J. Security in IoT-enabled smart agriculture: Architecture, security solutions and challenges. Clust. Comput. 2022. [Google Scholar] [CrossRef]
- Haseeb, K.; Ud Din, I.; Almogren, A.; Islam, N. An Energy Efficient and Secure IoT-Based WSN Framework: An Application to Smart Agriculture. Sensors 2020, 20, 2081. [Google Scholar] [CrossRef] [PubMed]
- Rao, P.M.; Deebak, B.D. Security and privacy issues in smart cities/industries: Technologies, applications, and challenges. J. Ambient Intell. Humaniz. Comput. 2022. [Google Scholar] [CrossRef]
- Singh, T.; Solanki, A.; Sharma, S.K.; Nayyar, A.; Paul, A. A Decade Review on Smart Cities: Paradigms, Challenges and Opportunities. IEEE Access 2022, 10, 68319–68364. [Google Scholar] [CrossRef]
- Sodhro, A.H.; Pirbhulal, S.; Luo, Z.; de Albuquerque, V.H.C. Towards an optimal resource management for IoT based Green and sustainable smart cities. J. Clean. Prod. 2019, 220, 1167–1179. [Google Scholar] [CrossRef]
- Abidoye, A.P.; Kabaso, B. Energy-efficient hierarchical routing in wireless sensor networks based on fog computing. EURASIP J. Wirel. Commun. Netw. 2021, 2021, 8. [Google Scholar] [CrossRef]
- Wang, T.; Zhang, G.; Alam Bhuiyan, Z.; Liu, A.; Jia, W.; Xie, M. A novel trust mechanism based on Fog Computing in Sensor–Cloud System. Future Gener. Comput. Syst. 2020, 109, 573–582. [Google Scholar] [CrossRef]
- Ahmed, S.; Hossain, F.; Kaiser, M.S.; Noor, M.B.T.; Mahmud, M.; Chakraborty, C. Artificial Intelligence and Machine Learning for Ensuring Security in Smart Cities. In Data-Driven Mining, Learning and Analytics for Secured Smart Cities; Springer: Cham, Switzerland, 2021; pp. 23–47. [Google Scholar] [CrossRef]
- Alam, T. Cloud-Based IoT Applications and Their Roles in Smart Cities. Smart Cities 2021, 4, 1196–1219. [Google Scholar] [CrossRef]
- Aldegheishem, A.; Alrajeh, N.; Garcia, L.; Lloret, J. SWAP: Smart WAter Protocol for the Irrigation of Urban Gardens in Smart Cities. IEEE Access 2022, 10, 39239–39247. [Google Scholar] [CrossRef]
- Zikria, Y.; Ali, R.; Afzal, M.; Kim, S. Next-Generation Internet of Things (IoT): Opportunities, Challenges, and Solutions. Sensors 2021, 21, 1174. [Google Scholar] [CrossRef]
- Maksimovic, M. Greening the future: Green Internet of Things (G-IoT) as a key technological enabler of sustainable develop-ment. In Internet of Things and Big Data Analytics Toward Next-Generation Intelligence; Springer: Cham, Switzerland, 2018; pp. 283–313. [Google Scholar]
- Mahajan, B.H.; Badarla, A.; Junnarkar, A.A. CL-IoT: Cross-layer Internet of Things protocol for intelligent manufacturing of smart farming. J. Ambient. Intell. Humaniz. Comput. 2021, 12, 7777–7791. [Google Scholar] [CrossRef]
- Tabassum, M.; Perumal, S.; Kashem, S.B.A.; Ponnan, S.; Chakraborty, C.; Chowdhury, M.E.H.; Khandakar, A. Enhance data availability and network consistency using artificial neural network for IoT. Multimedia Tools Appl. 2022. [Google Scholar] [CrossRef]
- Pandiyaraju, V.; Logambigai, R.; Ganapathy, S.; Kannan, A. An Energy Efficient Routing Algorithm for WSNs Using Intelligent Fuzzy Rules in Precision Agriculture. Wirel. Pers. Commun. 2020, 112, 243–259. [Google Scholar] [CrossRef]
- Adil, M.; Khan, M.K.; Jamjoom, M.; Farouk, A. MHADBOR: AI-Enabled Administrative-Distance-Based Opportunistic Load Balancing Scheme for an Agriculture Internet of Things Network. IEEE Micro 2021, 42, 41–50. [Google Scholar] [CrossRef]
- Jani, K.A.; Chaubey, N.K. A Novel Model for Optimization of Resource Utilization in Smart Agriculture System Using IoT (SMAIoT). IEEE Internet Things J. 2021, 9, 11275–11282. [Google Scholar] [CrossRef]
- Ren, W.; Wan, X.; Gan, P. A double-blockchain solution for agricultural sampled data security in Internet of Things network. Futur. Gener. Comput. Syst. 2020, 117, 453–461. [Google Scholar] [CrossRef]
- Dilek, S.; Irgan, K.; Guzel, M.; Ozdemir, S.; Baydere, S.; Charnsripinyo, C. QoS-aware IoT networks and protocols: A comprehensive survey. Int. J. Commun. Syst. 2022, 35, e5156. [Google Scholar] [CrossRef]
- Khan, S.; Parkinson, S.; Qin, Y. Fog computing security: A review of current applications and security solutions. J. Cloud Comput. 2017, 6, 19. [Google Scholar] [CrossRef]
- Kumar, D.P.; Amgoth, T.; Annavarapu, C.S.R. Machine learning algorithms for wireless sensor networks: A survey. Inf. Fusion 2019, 49, 1–25. [Google Scholar] [CrossRef]









| 1 Byte | 1 Byte | 1 Bit | 2 Bytes | 1 Byte |
|---|---|---|---|---|
| Parameter | Value |
|---|---|
| Agriculture sensors | Varying 150–750 |
| Sensor’s type | Temperature, air humidity, water quality, soil moisture |
| Fog nodes | 10–15 |
| Interface | IEEE 802.15.4 |
| Round step | 20 s |
| Sink nodes | 2 |
| Number of rounds | 2000 |
| Initial energy | 5 J |
| Field dimension | 1000 × 1000 |
| Simulations | 20 |
Publisher’s Note: MDPI stays neutral with regard to jurisdictional claims in published maps and institutional affiliations. |
© 2022 by the authors. Licensee MDPI, Basel, Switzerland. This article is an open access article distributed under the terms and conditions of the Creative Commons Attribution (CC BY) license (https://creativecommons.org/licenses/by/4.0/).
Share and Cite
Abunadi, I.; Rehman, A.; Haseeb, K.; Parra, L.; Lloret, J. Traffic-Aware Secured Cooperative Framework for IoT-Based Smart Monitoring in Precision Agriculture. Sensors 2022, 22, 6676. https://doi.org/10.3390/s22176676
Abunadi I, Rehman A, Haseeb K, Parra L, Lloret J. Traffic-Aware Secured Cooperative Framework for IoT-Based Smart Monitoring in Precision Agriculture. Sensors. 2022; 22(17):6676. https://doi.org/10.3390/s22176676
Chicago/Turabian StyleAbunadi, Ibrahim, Amjad Rehman, Khalid Haseeb, Lorena Parra, and Jaime Lloret. 2022. "Traffic-Aware Secured Cooperative Framework for IoT-Based Smart Monitoring in Precision Agriculture" Sensors 22, no. 17: 6676. https://doi.org/10.3390/s22176676
APA StyleAbunadi, I., Rehman, A., Haseeb, K., Parra, L., & Lloret, J. (2022). Traffic-Aware Secured Cooperative Framework for IoT-Based Smart Monitoring in Precision Agriculture. Sensors, 22(17), 6676. https://doi.org/10.3390/s22176676

