A Reconfigurable Pseudohairpin Filter Based on MEMS Switches
Abstract
:1. Introduction
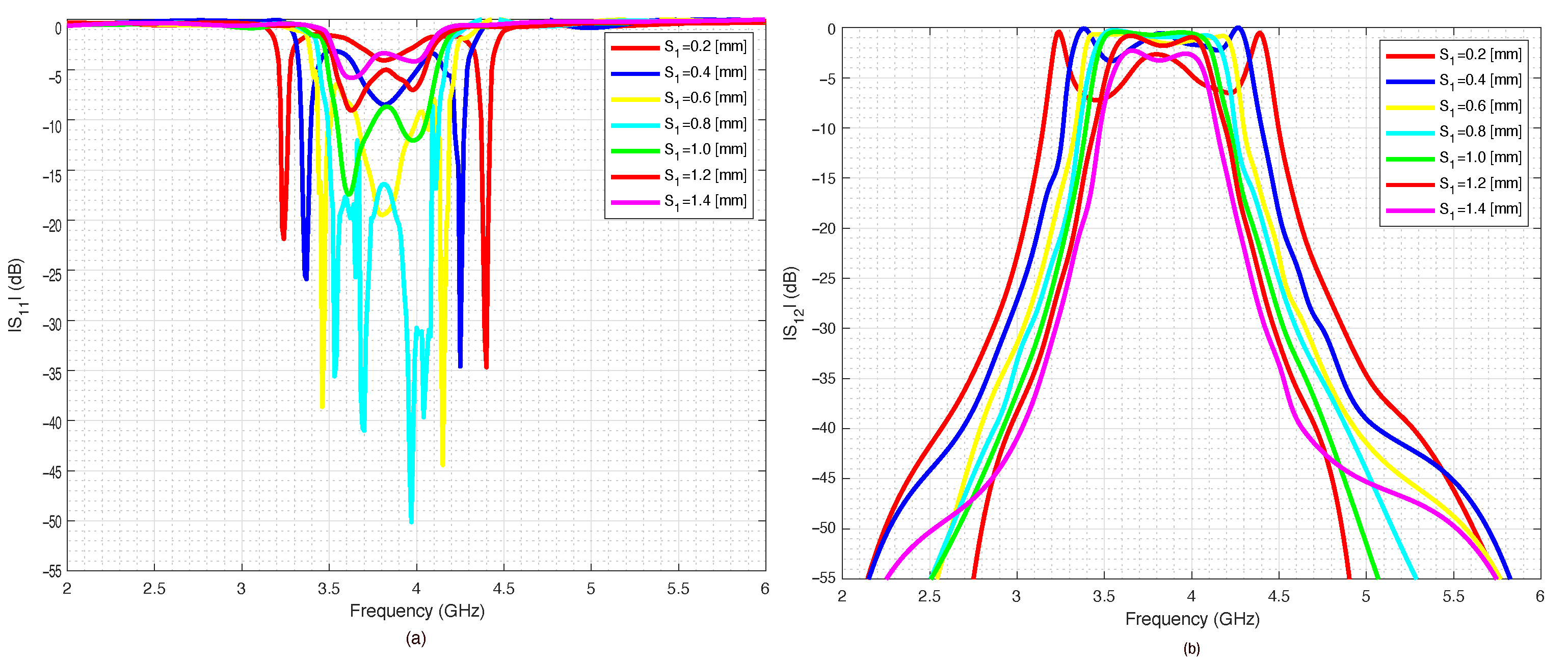
2. Mathematical Formulation and Filter Design
3. RF-MEMS Switch
4. Filter Implementations, Comparison, and Assessment
4.1. Arrangement Based on PIN Diodes
4.2. Comparison
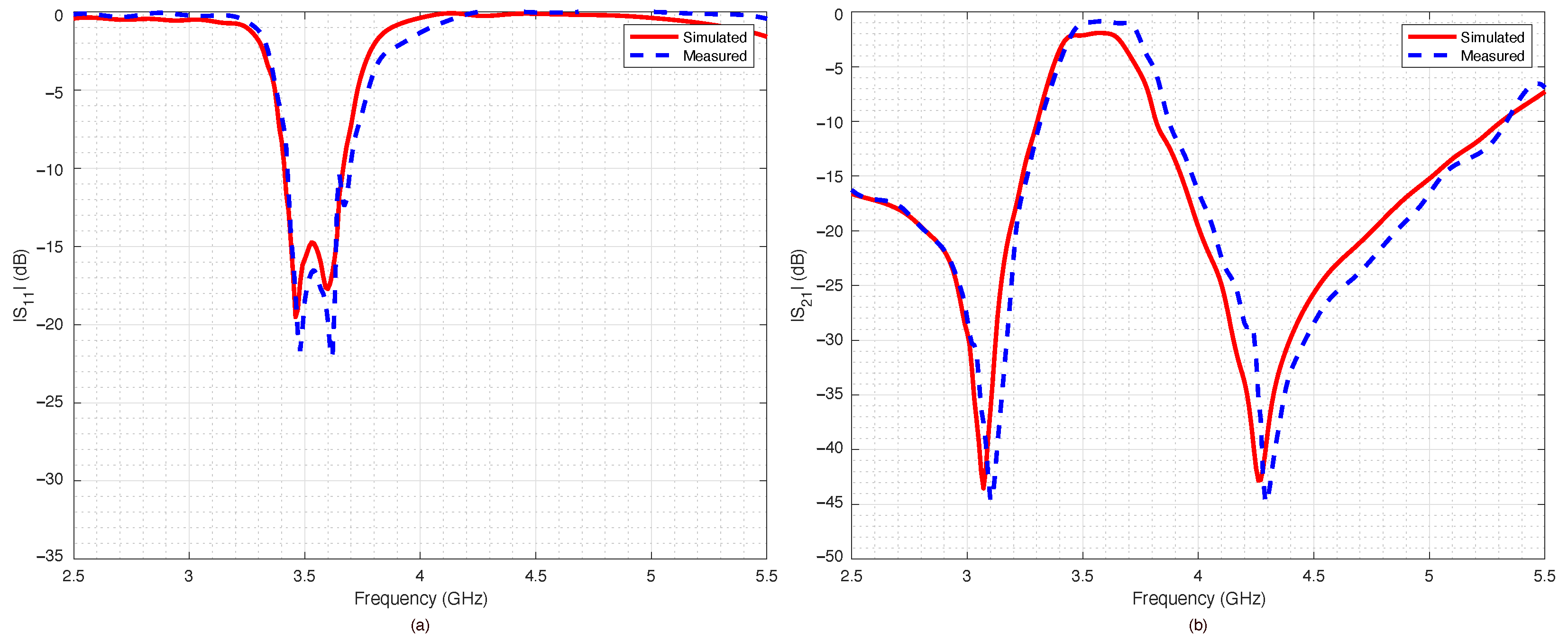
4.3. Experimental Assessment
5. Conclusions
Author Contributions
Funding
Institutional Review Board Statement
Informed Consent Statement
Data Availability Statement
Acknowledgments
Conflicts of Interest
References
- Macedo, D.F.; Guedes, D.; Vieira, L.F.M.; Vieira, M.A.M.; Nogueira, M. Programmable Networks—From Software-Defined Radio to Software-Defined Networking. IEEE Commun. Surv. Tutor. 2015, 17, 1102–1125. [Google Scholar] [CrossRef]
- Barlee, K.W.; Stewart, R.W.; Crockett, L.H.; MacEwen, N.C. Rapid Prototyping and Validation of FS-FBMC Dynamic Spectrum Radio With Simulink and ZynqSDR. IEEE Open J. Commun. Soc. 2021, 2, 113–131. [Google Scholar] [CrossRef]
- Pozar, D. Microwave Engineering; John Wiley & Sons: New York, NY, USA, 1998. [Google Scholar]
- Pierre, J. Categorization of Microwave Filters. In Advanced Design Techniques and Realizations of Microwave and RF Filters; John Wiley & Sons, Inc.: Hoboken, NJ, USA, 2007; pp. 67–81. [Google Scholar] [CrossRef]
- Tunable Filters. Microwave Filters for Communication Systems; John Wiley & Sons, Inc.: Hoboken, NJ, USA, 2018; pp. 731–783. [Google Scholar] [CrossRef]
- Cho, Y.-H.; Park, C.; Yun, S.-W. 0.7-1.0-GHz Switchable Dual-/Single-Band Tunable Bandpass Filter Using a Switchable J-Inverter. IEEE Access 2021, 9, 16967–16974. [Google Scholar] [CrossRef]
- Lai, J.; Yang, T.; Chi, P.-L.; Xu, R. A Novel 1.7–2.85-GHz Filtering Crossover With Independently Tuned Channel Passbands and Reconfigurable Filtering Power-Dividing Function. IEEE Trans. Microw. Theory Technol. 2021, 69, 2458–2469. [Google Scholar] [CrossRef]
- Nam, S.; Koohi, M.Z.; Peng, W.; Mortazawi, A. A Switchless Quad Band Filter Bank Based on Ferroelectric BST FBARs. IEEE Microw. Wirel. Compon. Lett. 2021, 31, 662–665. [Google Scholar] [CrossRef]
- Gowrish, B.; Mansour, R.R. A Tunable Quarter-Wavelength Coaxial Filter With Constant Absolute Bandwidth Using a Single Tuning Element. IEEE Microw. Wirel. Compon. Lett. 2021, 31, 658–661. [Google Scholar] [CrossRef]
- Fernández-Prieto, A.; Naqui, J.; Martel, J.; Martín, F.; Medina, F. Coupled-resonator balanced bandpass filters with common-mode suppression differential lines. In Balanced Microwave Filters; Martín, F., Zhu, L., Hong, J., Medina, F., Eds.; John Wiley & Sons, Inc.: Hoboken, NJ, USA, 2018; pp. 73–89. [Google Scholar] [CrossRef]
- Nasri, F.; Wang, Z.; Gao, S.; Park, C.W. Analysis and design of dual band-notched interdigital hairpin UWB bandpass filter. In Proceedings of the 2011 11th Mediterranean Microwave Symposium (MMS), Yasmine Hammamet, Tunisia, 8–10 September 2011; pp. 113–116. [Google Scholar] [CrossRef]
- Yang, S.; Li, W.; Vaseem, M.; Shamim, A. Additively Manufactured Dual-Mode Reconfigurable Filter Employing VO2-Based Switches. IEEE Trans. Compon. Packag. Manufact. Technol. 2020, 10, 1738–1744. [Google Scholar] [CrossRef]
- Zhang, X.-K.; Wang, X.-Y.; Tang, S.-C.; Chen, J.-X.; Yang, Y.-J. A Wideband Filtering Dielectric Patch Antenna with Reconfigurable Bandwidth Using Dual-Slot Feeding Scheme. IEEE Access 2021, 9, 96345–96352. [Google Scholar] [CrossRef]
- Wu, D.-S.; Li, Y.C.; Xue, Q.; Hu, B.-J. Balanced Dielectric Resonator Filters With Multiple Reconfigurable Passbands. IEEE Trans. Microw. Theory Techn. 2021, 70, 180–189. [Google Scholar] [CrossRef]
- Agrawal, N.; Ambede, A.; Darak, S.J.; Vinod, A.P.; Madhukumar, A.S. Design and Implementation of Low Complexity Reconfigurable Filtered-OFDM-Based LDACS. IEEE Trans. Circuits Syst. II 2021, 68, 2399–2403. [Google Scholar] [CrossRef]
- Fan, M.; Song, K.; Yang, L.; Gomez-Garcia, R. Frequency-Reconfigurable Input-Reflectionless Bandpass Filter and Filtering Power Divider With Constant Absolute Bandwidth. IEEE Trans. Circuits Syst. II 2021, 68, 2424–2428. [Google Scholar] [CrossRef]
- Zhu, Y.; Dong, Y. Novel Double-Layer SIW Filter With Mechanically Adjustable Frequency Response. IEEE Microw. Wirel. Compon. Lett. 2021, 31, 357–360. [Google Scholar] [CrossRef]
- Harikrishnan, A.I.; Mridula, S.; Mohanan, P. Reconfigurable Band Stop Filter Using Slotted Elliptical Patch Resonator with Defected Ground. In Proceedings of the 2021 6th International Conference for Convergence in Technology (I2CT), Maharashtra, India, 2–4 April 2021; pp. 1–5. [Google Scholar] [CrossRef]
- Ahmed, R.; Emiri, S.; Imeci, S.T. Design and analysis of a bandpass hairpin filter. In Proceedings of the 2018 International Applied Computational Electromagnetics Society Symposium (ACES), Denver, CO, USA, 25–29 March 2018; pp. 1–2. [Google Scholar] [CrossRef]
- Adli, B.; Mardiati, R.; Maulana, Y.Y. Design of Microstrip Hairpin Bandpass Filter for X-Band Radar Navigation. In Proceedings of the 2018 4th International Conference on Wireless and Telematics (ICWT), Nusa Dua, Bali, Indonesia, 12–13 July 2018; pp. 1–6. [Google Scholar] [CrossRef]
- Shivhare, J.; Jain, S.B. Design and development of a compact and low cost folded-hairpin line bandpass filter for L-band communication. In Proceedings of the 2011 Annual IEEE India Conference, Hyderabad, Varanasi, India, 22–24 December 2011; pp. 1–3. [Google Scholar] [CrossRef]
- Lee, J.-H.; Choi, J.-W.; Wang, X.-G.; Yun, S.-W. Design of tunable bandpass filter using PIN diode with constant absolute bandwidth. In Proceedings of the 2013 Asia-Pacific Microwave Conference Proceedings (APMC), Seoul, Korea, 5–8 November 2013; pp. 191–193. [Google Scholar] [CrossRef]
- Karim, M.F.; Guo, Y.-X.; Chen, Z.N.; Ong, L.C. Miniaturized reconfigurable and switchable filter from UWB to 2.4 GHz WLAN using PIN diodes. In Proceedings of the 2009 IEEE MTT-S International Microwave Symposium Digest, Boston, MA, USA, 7–12 June 2009; pp. 509–512. [Google Scholar] [CrossRef]
- Houssini, M.; Pothier, A.; Crunteanu, A.; Blondy, P. A 2-pole digitally tunable filter using local one bit varactors. In Proceedings of the 2008 IEEE MTT-S International Microwave Symposium Digest, Atlanta, GA, USA, 15–20 June 2008; pp. 37–40. [Google Scholar] [CrossRef]
- Kaiser, A. The potential of MEMS components for re-configurable RF interfaces in mobile communication terminals. In Proceedings of the ESSCIRC, Villach, Austria, 18–20 September 2001; pp. 25–28. [Google Scholar]
- Rebeiz, G.M. RF-MEMS: Theory Design, and Technology, 1st ed.; Wiley: Hoboken, NJ, USA, 2003; pp. 1–512. [Google Scholar]
- Ocera, A.; Farinelli, P.; Mezzanotte, P.; Sorrentino, R.; Margesin, B.; Giacomozzi, F. A Novel MEMS-Tunable Hairpin Line Filter on Silicon Substrate. In Proceedings of the 2006 European Microwave Conference, Manchester, UK, 10–15 September 2006; pp. 803–806. [Google Scholar] [CrossRef]
- Lee, K.C.; Su, H.T.; Haldar, M.K. Performance of a configurable microstrip filter using triple mode resonator and RF-MEMS switches. In Proceedings of the 2010 IEEE Asia-Pacific Conference on Applied Electromagnetics (APACE), Port Dickson, Malaysia, 9–11 November 2010; pp. 1–4. [Google Scholar] [CrossRef]
- Gentili, F.; Pelliccia, L.; Cacciamani, F.; Farinelli, P.; Sorrentino, R. RF MEMS bandwidth-reconfigurable hairpin filters. In Proceedings of the 2012 Asia Pacific Microwave Conference Proceedings, Kaohsiung, Taiwan, 4–7 December 2012; pp. 735–737. [Google Scholar] [CrossRef]
- Mansour, R.R. RF-MEMS for space applications. In Proceedings of the 2005 International Conference on MEMS, NANO and Smart Systems, Banff, AB, Canada, 24–27 July 2005; pp. 191–192. [Google Scholar] [CrossRef]
- Iannacci, J.; Tschoban, C.; Reyes, J.; Maaß, U.; Huhn, M.; Ndip, I.; Pötter, H. RF-MEMS for 5G mobile communications: A basic attenuator module demonstrated up to 50 GHz. In Proceedings of the 2016 IEEE SENSORS, Orlando, FL, USA, 30 October–3 November 2016; pp. 1–3. [Google Scholar] [CrossRef]
- Iannacci, J.; Faes, A.; Mastri, F.; Masotti, D.; Rizzoli, V. A MEMS-Based Wide-Band Multi- State Power Attenuator for Radio Frequency and Microwave Applications. In Proceedings of the TechConnect World, NSTI-Nanotech 2010, Anaheim, CA, USA, 21–24 June 2010; pp. 328–331. [Google Scholar]
- Iannacci, J.; Masotti, D.; Kuenzig, T.; Niessner, M. A reconfigurable impedance matching network entirely manufactured in RF- MEMS technology. Proc. SPIE 2011, 8066, 1–12. [Google Scholar]
- Iannacci, J.; Huhn, M.; Tschoban, C.; Potter, H. RF-MEMS Technology for 5G: Series and Shunt Attenuator Modules Demonstrated up to 110 GHz. IEEE EDL 2016, 37, 1336–1339. [Google Scholar] [CrossRef]
- Iannacci, J.; Huhn, M.; Tschoban, C.; Potter, H. RF-MEMS Technology for future (5G) mobile and high frequency applications: Reconfigurable 8-bit power attenuator tested up to 110 GHz. IEEE EDL 2016, 37, 1646–1649. [Google Scholar] [CrossRef]
- Donelli, M.; Manekiya, M.; Iannacci, J. Broadband MST sensor probes based on a SP3T MEMS switch. In Proceedings of the 2019 IEEE International Symposium on Antennas and Propagation and USNC-URSI Radio Science Meeting, Atlanta, GA, USA, 7–12 July 2019; pp. 649–650. [Google Scholar] [CrossRef]
- Ssejjuuko, P.; Donelli, M.; Iannacci, J. Exploiting RF-MEMS Switches for pattern reconfigurable parasitic antennas. In Proceedings of the 2021 Springer International Conference on Micro/Nanoelectronics Systems Tracks of MNDCS-2021, Assam, India, 29–31 January 2021. [Google Scholar]
- Sharma, P.; Perruisseau-Carrier, J.; Moldovan, C.; Ionescu, A.M. Electromagnetic Performance of RF NEMS Graphene Capacitive Switches. IEEE Trans. Nanotechnol. 2014, 13, 70–79. [Google Scholar] [CrossRef]
- Seki, T.; Uno, Y.; Narise, K.; Masuda, T.; Inoue, K.; Sato, S.; Sato, F.; Imanaka, K.; Sugiyama, S. Development of a large-force low-loss metal-contact RF MEMS switch. Sens. Actuators A Phys. 2006, 132, 683–688. [Google Scholar] [CrossRef]
- Rebeiz, G.M.; Tan, G.-L. Introduction: RF MEMS for Microwave Applications. In RF MEMS; Rebeiz, G.M., Ed.; John Wiley & Sons, Inc.: New York, NY, USA, 2003. [Google Scholar] [CrossRef]
- Mollah, M.N.; Karmakar, N.C. RF-MEMS switches: Paradigms of microwave switching. In Proceedings of the 2001 Asia-Pacific Microwave Conference, Taipei, Taiwan, 3–6 December 2001; Volume 3, pp. 1024–1027. [Google Scholar] [CrossRef]
- Cristal, E.G.; Frankel, S. Hairpin-Line and Hybrid Hairpin-Line/Half-Wave Parallel-Coupled-Line Filters. IEEE Trans. Microw. Theory Tech. 1972, 20, 719–728. [Google Scholar] [CrossRef]
- Ma, K.; Yeo, K.S.; Ma, J.; Do, M.A. An Ultra-Compact Hairpin Band Pass Filter With Additional Zero Points. IEEE Microw. Wirel. Components Lett. 2007, 17, 262–264. [Google Scholar] [CrossRef]
- Luo, S.; Zhu, L.; Sun, S. Stopband-Expanded Low-Pass Filters Using Microstrip Coupled-Line Hairpin Units. IEEE Microw. Wirel. Components Lett. 2008, 18, 506–508. [Google Scholar] [CrossRef]
- Wang, H.; Chu, Q.-X. A Narrow-Band Hairpin-Comb Two-Pole Filter With Source-Load Coupling. IEEE Microw. Wirel. Components Lett. 2010, 20, 372–374. [Google Scholar] [CrossRef]
- Zakharov, A.; Rozenko, S.; Litvintsev, S.; Ilchenko, M. Hairpin Resonators in Varactor-Tuned Microstrip Bandpass Filters. IEEE Trans. Circuits Syst. II Express Briefs 2020, 67, 1874–1878. [Google Scholar] [CrossRef]
- Hammerstad, E.; Jensen, O. Accurate Models for Microstrip Computer-Aided Design. In Proceedings of the MTT-S International Microwave Symposium Digest, Washington, DC, USA, 28–30 May 1980; Volume 80, pp. 407–409. [Google Scholar] [CrossRef]
- Hong, J.S.; Lancaster, M.J. Development of new microstrip pseudo-interdigital bandpass filters. IEEE Microw. Guid. Wave Lett. 1995, 5, 261–263. [Google Scholar] [CrossRef]
- Iannacci, J. RF-MEMS technology as an enabler of 5G: Low-loss ohmic switch tested up to 110 GHz. Sens. Actuators A Phys. 2018, 279, 624–629. [Google Scholar] [CrossRef]
- Iannacci, J. Practical Guide to RF-MEMS; John Wiley & Sons, Ltd.: New York, NY, USA, 2013. [Google Scholar]
- Giacomozzi, F.; Mulloni, V.; Colpo, S.; Iannacci, J.; Margesin, B.; Faes, A. A Flexible Fabrication Process for RF MEMS Devices. Rom. J. Inf. Sci. Technol. 2011, 14, 259–268. [Google Scholar]
- Giacomzzi, F.; Iannacci, J. RF MEMS Technology for Next-Generation Wireless Communications. In Handbook of Mems for Wireless and Mobile Applications; Woodhead Publishing: Sawston, UK, 2013; pp. 225–257. [Google Scholar] [CrossRef]
- Iannacci, J. An active heat-based restoring mechanism for high reliability RF-MEMS switches. Microsyst. Technol. 2021, 27, 183–187. [Google Scholar] [CrossRef]
- Persano, A.; Iannacci, J.; Siciliano, P.; Quaranta, F. Out-of-plane deformation and pull-in voltage of cantilevers with residual stress gradient: Experiment and modelling. Microsyst. Technol. 2019, 25, 3581–3588. [Google Scholar] [CrossRef]
- Mulloni, V.; Giacomozzi, F.; Margesin, B. Controlling stress and stress gradient during the release process in gold suspended micro-structures. Sens. Actuators A Phys. 2010, 162, 93–99. [Google Scholar] [CrossRef]
- Mulloni, V.; Colpo, S.; Faes, A.; Margesin, B. A simple analytical method for residual stress measurement on suspended MEM structures using surface profilometry. J. Micromech. Microeng. 2013, 23, 2. [Google Scholar] [CrossRef]
- Soma, A.; Saleem, M.M. Modeling and experimental verification of thermally induced residual stress in RF-MEMS. J. Micromech. Microeng. 2015, 25, 5. [Google Scholar] [CrossRef]


















| Ref No | Filter Type | Center Frequency (GHz) | Resonators | Passband Insertion Loss (dB) | Media | Dielectric | Substrate Height |
|---|---|---|---|---|---|---|---|
| [42] | Hairpin-line, hybrid hairpin-line, half- wave-parallel coupled-line | 1.5 | 4/7 | 26 | Microstrip /MIC | Tellite, = 2.32 Rexohte, = 2.54 99.6% alumina, = 9.7 | b = 0.250 in b = 0.250 in h = 0.025 in*10 |
| [43] | Quasi-hairpin filter | 1.69 | 2/4 | 2 | Microstrip | RT/duroid 6010, = 10.2 | h = 0.635 mm |
| [44] | Coupled hairpin-line | 6.3 | 1/2 | 3.2 | Microstrip | = 10.8 | h = 0.635 mm |
| [45] | Hairpin-comb | 4.32 | 2 | 2 | Microstrip | = 2.56 | h = 0.775 mm |
| [11] | Notched hairpin | 2.14 | 7 | 0.69 | Microstrip | TLX-8-0620-C2/C2, = 2.55 | - |
| [46] | Hairpin resonator in varactor-tuned | 0.3125 | 4 | 0.5 | Microstrip | RT/duroid 6010LM (Rogers), = 10.2 | h = 1.905 mm |
| [19] | U-shaped hairpin filter | 3.1 | 5 | 11 | Microstrip | FR-4, = 4.4 | h = 1.6 mm |
| [20] | Defected ground structure hairpin filter | 9.3 | 5 | 3.719 | Microstrip | Rogers 5880, = 2.2 | h = 1.58 mm |
| [27] | U-shape RF-MEMS-switch- based hairpin filter | 6.2 | 5 | 0.3 | Microstrip | Silicon, - | - |
| [29] | Reconfigurable hairpin filter | 4.5 | 2 | 0.8/1.4 | Microstrip | Quartz, = 3.78 | h = 0.525 mm |
| Proposed work | U-Shape RF-MEMS-switch-based pseudohairpin filter | 3.8 | 2 | 0.8 | Microstrip | RT/duroid 5880 = 2.2 | h = 0.787 mm |
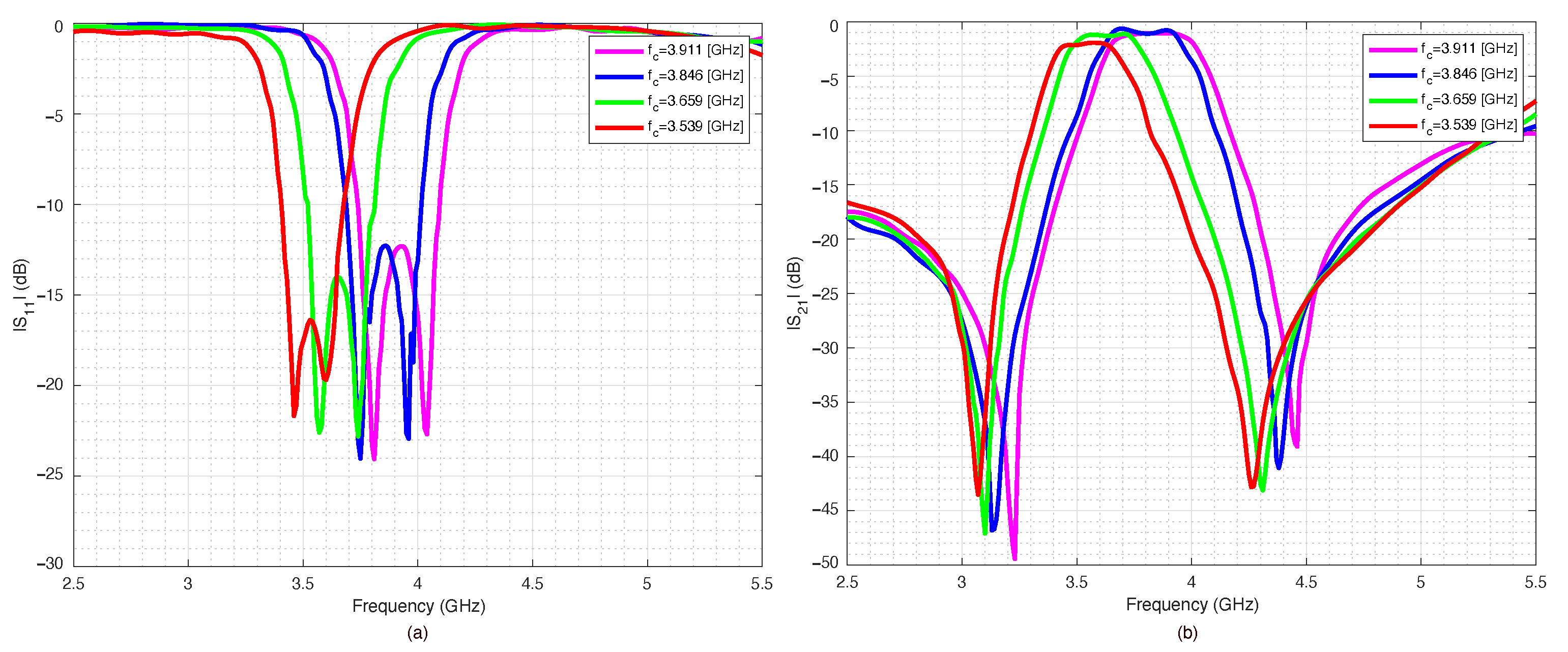
| Switch Activation | (GHz) | (dB) | (dB) | BW (MHz) |
|---|---|---|---|---|
| 000 | 3.911 | 1.444 | 12.25 | 475 |
| 001 | 3.846 | 1.172 | 12.68 | 439 |
| 011 | 3.659 | 1.308 | 14.30 | 403 |
| 111 | 3.539 | 1.961 | 16.66 | 362 |
| Switch | (dB) | (dB) |
|---|---|---|
| PIN | 0.40 | −15.44 |
| MEMS | 0.25 | −19.22 |
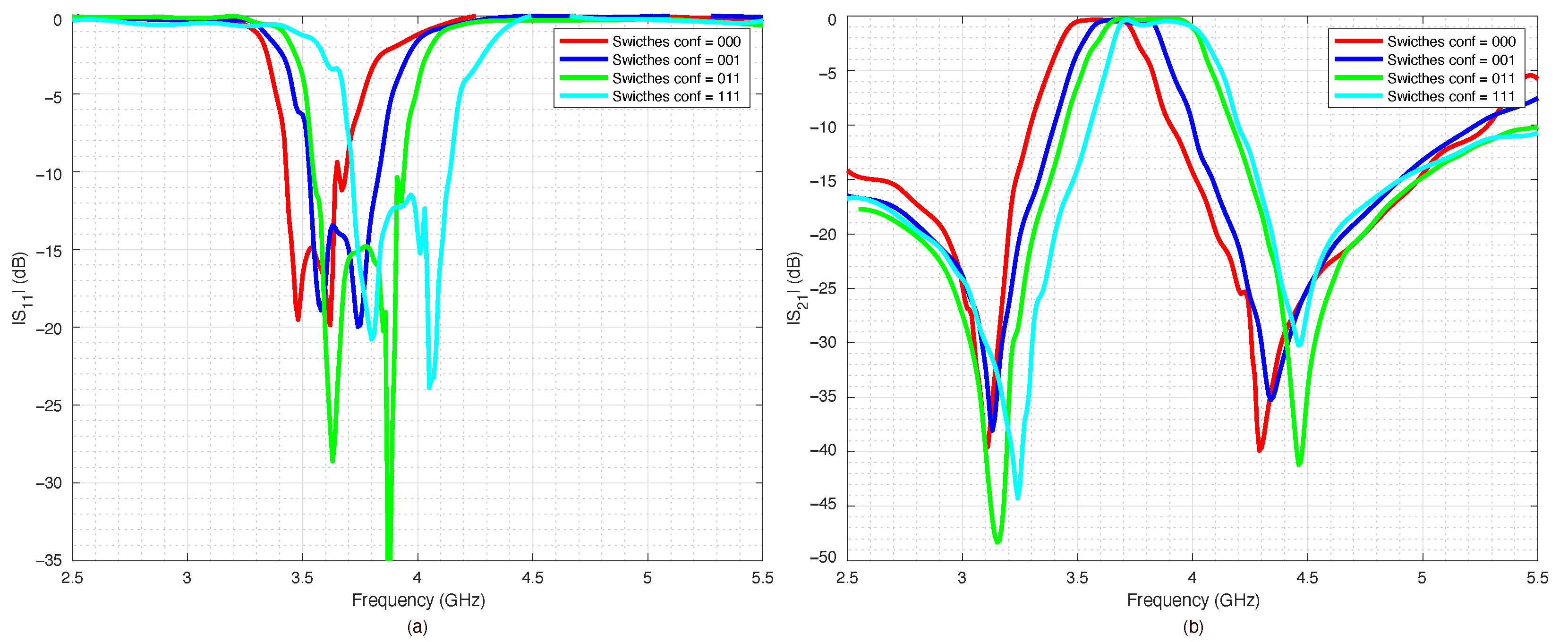
| Switch Activation | (GHz) | (dB) | (dB) | BW(MHz) |
|---|---|---|---|---|
| 000 | 3.92 | 1.1 | 12.2 | 563 |
| 001 | 3.87 | 0.25 | 13.5 | 465 |
| 011 | 3.65 | 1.1 | 14.1 | 437 |
| 111 | 3.55 | 2.1 | 14.8 | 418 |
Publisher’s Note: MDPI stays neutral with regard to jurisdictional claims in published maps and institutional affiliations. |
© 2022 by the authors. Licensee MDPI, Basel, Switzerland. This article is an open access article distributed under the terms and conditions of the Creative Commons Attribution (CC BY) license (https://creativecommons.org/licenses/by/4.0/).
Share and Cite
Donelli, M.; Manekiya, M.; Tagliapietra, G.; Iannacci, J. A Reconfigurable Pseudohairpin Filter Based on MEMS Switches. Sensors 2022, 22, 9644. https://doi.org/10.3390/s22249644
Donelli M, Manekiya M, Tagliapietra G, Iannacci J. A Reconfigurable Pseudohairpin Filter Based on MEMS Switches. Sensors. 2022; 22(24):9644. https://doi.org/10.3390/s22249644
Chicago/Turabian StyleDonelli, Massimo, Mohammedhusen Manekiya, Girolamo Tagliapietra, and Jacopo Iannacci. 2022. "A Reconfigurable Pseudohairpin Filter Based on MEMS Switches" Sensors 22, no. 24: 9644. https://doi.org/10.3390/s22249644
APA StyleDonelli, M., Manekiya, M., Tagliapietra, G., & Iannacci, J. (2022). A Reconfigurable Pseudohairpin Filter Based on MEMS Switches. Sensors, 22(24), 9644. https://doi.org/10.3390/s22249644

